第 7 期
商標之保護
二零零零年二月十六日,星期三
經濟局
商標之保護
發明專利、工業新型及實用新型之保護
根據刊登於一九九九年六月二日第二十二期第二組《政府公報》內,由經濟司與葡國國家工業產權署根據一九九九年一月十二日議定書訂立的合作計劃,茲公佈自以下日期獲批准之專利權:
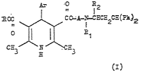
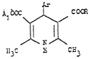
發明專利編號: 79 963
批示日期:一九八六年十一月十日
Recordati, S.A., suíça, industrial, com sede em Corso San Gottardo, 54, 6830 Chiasso, Suíça.
"Processo para a preparação de diésteres assimétricos"
Descreve-se um processo para a preparação de diésteres alquilo difenilalquilaminoalquílicos assimétricos de ácido 1, 4-dihidro-2, 6-dimetil-piridin-3, 5-dicarboxílico

na qual Ph representa um grupo fenilo, Ar representa um grupo 2-nitrofenilo, 3-nitrofenilo, 2,3-diclorofenilo ou benzofurazan-4-ilo, A representa um grupo alquileno de cadeia linear ou ramificada que contém de 2 a 6 átomos de carbono, R representa um grupo alquilo de cadeia linear ou ramificada que contém de 1 a 6 átomos de carbono, facultativamente monosubstituído por um grupo alcoxi que contém de 1 a 6 átomos de carbono, R1 representa um átomo de hidrogénio, um grupo hidroxi ou um grupo alquilo que contém de 1 a 4 átomos de carbono, e R2 representa um átomo de hidrogénio ou um grupo metilo; e bem assim para a preparação de uma forma esterequimicamente isomérica do mesmo produto; ou de um sal por adição de ácido farmaceuticamente aceitável; em que se condensa um composto de fórmula geral II: Ar-CHO (II)
fazendo reagir o condensado com um composto de fórmula geral V
![]()
para se obter um composto de fórmula geral VI

———
工業新型編號: 27 949 分類:Loc (6) Cl. 07;09
批示日期:一九九七年六月三日
Martell & Co., sociedade anónima francesa, com sede em Place Edouard Martell, Cognac (Charente) França
"Garrafa"
Cuja novidade consiste em forma geométrica característica da garrafa que se observa nas figuras dos desenhos em anexo, e nomeadamente por ser constituída por um corpo, um gargalo e uma rolha, em que o corpo tem umas das faces plana e a outra uma forma semiesférica cortada pela base inferior a qual possui uma reentrância oval, existindo aproximadamente a meio da face semiesférica três reentrâncias sensivelmente paralelas, com uma disposição diagonal e com uma forma semelhante a folhas, tendo o gargalo uma forma cilíndrica com um pequeno anel no seu topo superior, sendo a rolha constituída por um pequeno corpo inferior cilíndrico adaptável ao interior do gargalo da garrafa a que se sobrepõe uma cabeça com a forma de uma calote semi-esférica (Fig. 1.1),
ou numa variante de forma de realização (Fig.2.1), a garrafa possuir além da face plana anteriormente descrita (Fig.1.1), mas possuindo a face curva uma forma cilíndrica cortada pela face plana oposta segundo um plano inclinado de modo a que a base superior do cilindro é um semicírculo e a base inferior é quase um círculo completo.

———
實用新型編號: 9 259
批示日期:一九九九年八月三十一日
American Standard Inc., norte-americana, One Centennial Avenue, P.O. Box 6820, Piscataway, New Jersey 08855-6820, Estados Unidos da América.
發明人:Wade W. Smith, Estados Unidos da América.
"Dispositivo de trasbordamento encamisado para banheiras e semelhantes"
O presente invento refere-se a um dispositivo de trasbordamento (12) para uma peça sanitária. O dispositivo inclui uma conduta de peça única (35) com a forma de uma calha, formada para se ajustar à curvatura da peça sanitária. A primeira extremidade da conduta é configurada para cobrir a abertura de trasbordamento (34) do invólucro (20, 22, 24, 26) e a segunda extremidade (37) é configurada para a descarga de água na conduta para o dreno (30, 32). A conduta (35) pode ser soldada ou ligada de outro modo ao invólucro (20, 22, 24, 26). Além disso, pode ser subsequentemente encamisada dentro de uma camada de material plástico.
O presente invento é aplicável, por exemplo, na indústria de peças sanitárias.

二零零零年二月十日於經濟局
代局長 蘇添平



