第 44 期
商標之保護
二零一零年十一月三日,星期三
經濟局
通告
商標之保護
N/50456 ... N/52010 - N/52011 ... N/52029
商標編號:N/52011 類別: 5
申請人:JOHNSON & JOHNSON, One Johnson & Johnson Plaza, New Brunswick, New Jersey, 08933, Estados Unidos da América.
國籍:美國
活動:商業及工業
申請日期:2010/10/06
產品:消毒、除污染或殺菌用製劑;用於消毒、除污染及殺菌含有雙氧水、殺孢子劑、殺病毒劑、殺細菌劑或殺真菌劑的製劑;與感染控制設備一起使用的消毒劑、除污染劑或殺菌劑。
商標構成:

商標編號:N/52012 類別: 10
申請人:JOHNSON & JOHNSON, One Johnson & Johnson Plaza, New Brunswick, New Jersey, 08933, Estados Unidos da América.
國籍:美國
活動:商業及工業
申請日期:2010/10/06
產品:醫學用機器,用於外科或健康護理環境的消毒、除污染或殺菌的儀器及設備;上述產品用的零件及配件。
商標構成:

商標編號:N/52013 類別: 5
申請人:Galderma S.A., Zugerstrasse 8, CH 6330 Cham, Switzerland.
國籍:瑞士
活動:商業及工業
申請日期:2010/10/06
產品:藥劑。
商標構成:

商標編號:N/52014 類別: 5
申請人:Galderma S.A., Zugerstrasse 8, CH 6330 Cham, Switzerland.
國籍:瑞士
活動:商業及工業
申請日期:2010/10/06
產品:藥劑。
商標構成:

商標編號:N/52015 類別: 14
申請人:Cartier International AG, 22, Hinterbergstrasse, Postfach 61, 6312 Steinhausen, Switzerland.
國籍:瑞士
活動:商業及工業
申請日期:2010/10/06
產品:袖口鈕,領帶夾,指環,手鐲,耳環,頸鍊,胸針(珠寶物品),鎖匙環;鐘錶,計時儀器,掛牆鐘及座檯鐘,鐘錶用帶,鐘錶用手鐲,鐘錶及珠寶物品用貴重金屬製盒。
商標構成:

優先權日期:2010/04/30;優先權國家/地區:瑞士;優先權編號:54290/2010。
商標編號:N/52016 類別: 14
申請人:Concepts Management (H.K.) Limited, G/F., Block B, Summit Building, 30 Man Yue Street, Hunghom, Kowloon, Hong Kong.
國籍:根據香港法例成立
活動:商業及工業
申請日期:2010/10/06
產品:貴重金屬及其合金以及不屬別類的貴重金屬製品或鍍有貴重金屬的物品;珠寶/首飾,寶石;鐘錶和計時儀器;鑽石;腕錶或袋錶。
商標構成:

商標編號:N/52022 類別: 18
申請人:Alviero Martini S.p.A., Via Filippo Argelati 1/A – 20143 Milano, Italy.
國籍:意大利
活動:商業及工業
申請日期:2010/10/06
產品:皮革及人造皮革,及不屬別類的皮革及人造皮革製品;動物皮,毛皮;衣箱/箱子及旅行袋;雨傘,陽傘及手杖;鞭,馬具及鞍具。
商標構成:

商標編號:N/52023 類別: 25
申請人:Alviero Martini S.p.A., Via Filippo Argelati 1/A – 20143 Milano, Italy.
國籍:意大利
活動:商業及工業
申請日期:2010/10/06
產品:服裝,鞋,帽。
商標構成:

商標編號:N/52024 類別: 9
申請人:ithk tm limited, P.O. Box 3340, Road Town, Tortola, British Virgin Islands.
國籍:英屬維爾京斯島
活動:商業及工業
申請日期:2010/10/06
產品:光學品,眼鏡,太陽眼鏡,眼鏡框,放大鏡,眼鏡及太陽眼鏡盒,上述提及所有產品的零件及配件;全屬第9類。
商標構成:

商標編號:N/52025 類別: 14
申請人:ithk tm limited, P.O. Box 3340, Road Town, Tortola, British Virgin Islands.
國籍:英屬維爾京斯島
活動:商業及工業
申請日期:2010/10/06
產品:貴重金屬及其合金以及貴重金屬製品或鍍有貴重金屬的物品;珠寶/首飾,寶石,耳環,指環,鏈/線,腕鐲/手鐲,吊墜,胸針/別針;鐘錶及計時儀器;腕錶或袋錶,掛牆鐘或室鐘;上述提及所有產品的零件及配件;全屬第14類。
商標構成:

商標編號:N/52026 類別: 16
申請人:ithk tm limited, P.O. Box 3340, Road Town, Tortola, British Virgin Islands.
國籍:英屬維爾京斯島
活動:商業及工業
申請日期:2010/10/06
產品:寵物用紙製或纖維吸濕尿片;不屬別類的紙、紙板及其製品;印刷品;裝訂材料;照片;文具用品;文具或家庭用黏合劑;美術用品;畫筆;打字機及辦公室用品(傢俱除外);教育及教學材料(儀器除外);包裝用塑料(不屬別類);印刷鉛字(鉛字);印版,書寫工具,書寫工具用袋,書寫工具用包裝盒(禮品用),墨水及補充裝,書寫用具用盒,個人記事簿,辦公桌套裝,自來水筆,圓珠筆及鉛筆,鋼筆及鉛筆用架;紙鎮,日記,墨水瓶及墨水瓶用座;護照用夾,支票簿用夾,支票簿用套;上述提及物品的部件及配件;全屬第16類。
商標構成:

商標編號:N/52027 類別: 18
申請人:ithk tm limited, P.O. Box 3340, Road Town, Tortola, British Virgin Islands.
國籍:英屬維爾京斯島
活動:商業及工業
申請日期:2010/10/06
產品:寵物服裝,動物用頸圈及動物用套,動物用配件包括皮革製帶,拴繫動物用皮革或人造皮革製品;皮革及人造皮革頸圈;供咀嚼及啃咬用的皮革製玩具及其他物件;馬具;皮革及人造皮革及這些材料的製品,動物皮,衣箱/箱子及旅行袋,雨傘,陽傘,手杖,行李,袋,盒,個人衛生物品用盒,旅行箱,手提箱,掛肩袋,零錢包,腰袋/小手提箱,運輸物件用的大袋,背包,帆布背包,手杖摺凳/射擊支架,公文夾,公事包/公事包,皮革及人造皮革製的文件夾及文件盒,旅行袋/多用途袋,腰袋,西服套(旅行用),信用卡套(夾及盒),鎖匙盒,零錢包/零錢袋,皮革或人造皮革製的眼鏡盒(非指定適用),鋼筆袋,皮革或人造皮革製記事本套,皮革或人造皮革製旅行計劃本,皮革或人造皮革製領帶用支架,皮革或人造皮革製鎖匙包,錢包,上述提及所有產品用的零件及配件;全屬第18類。
商標構成:

商標編號:N/52028 類別: 25
申請人:ithk tm limited, P.O. Box 3340, Road Town, Tortola, British Virgin Islands.
國籍:英屬維爾京斯島
活動:商業及工業
申請日期:2010/10/06
產品:服裝,帽,鞋,外穿服裝產品及內衣,西服,長襪,緊身衣褲,襪褲,襯衫,短袖棉襯衣(T恤),無袖襯衫(背心),襯恤,褲子,半截裙,典禮服裝品,連衣裙,長袍,典禮連衣裙,外套/夾克,連衣褲/工作袍,針織背心,皮外套,皮革外套,風雨衣/防水衣,運動外套,西服外套,長大衣,經編針織服裝產品及針織布製服裝產品,領帶,浴袍,運動用服裝產品,睡衣,帽,短襪/襪,腰帶,頸巾及頭巾,手套,無邊圓帽,圍裙,牛仔褲,用於頸部的物品(領帶物品),泳衣/游泳衣,腰帶(服裝),田徑運動用鞋類,田徑運動用鞋,高爾夫球鞋,木屐,拖鞋,靴,鞋;全屬第25類。
商標構成:

商標編號:N/52029 類別: 35
申請人:ithk tm limited, P.O. Box 3340, Road Town, Tortola, British Virgin Islands.
國籍:英屬維爾京斯島
活動:商業及工業
申請日期:2010/10/06
服務:在線零售服務;零售店服務;透過郵寄訂購、目錄及分配服務;透過互聯網及電腦在線的訂購、零售及分配服務;透過電話訂購服務及透過其他電訊工具的訂購服務;所有與光學品,眼鏡,太陽眼鏡,眼鏡框,放大鏡,眼鏡及太陽眼鏡盒,貴重金屬及其合金以及貴重金屬製品或鍍有貴重金屬的物品,珠寶/首飾,寶石,耳環,指環,鏈/線,手鐲,吊墜,胸針/別針,鐘錶及計時儀器,腕錶或袋錶,掛牆鐘或室鐘,寵物用紙製或纖維吸濕尿片,紙、紙板及其製品,印刷品,裝訂材料,照片,文具或家庭用黏合劑,美術用品,畫筆,打字機及辦公室用品,教育及教學材料,包裝用塑料,印刷鉛字(鉛字),印版,書寫工具,書寫工具用袋,書寫工具用包裝盒(禮品用),墨水及補充裝,書寫用具用盒,個人記事簿,辦公桌套裝,自來水筆,圓珠筆及鉛筆,鋼筆及鉛筆用架,紙鎮,日記,墨水瓶及墨水瓶用座,護照用夾,支票簿用夾,寵物服裝,動物用頸圈及動物用套,動物用配件包括皮革製帶,拴繫動物用皮革或人造皮革製品;皮革及人造皮革頸圈;供咀嚼及啃咬用的皮革製玩具及其他物件,馬具,皮革及人造皮革及這些材料的製品,動物皮,衣箱/箱子及旅行袋,雨傘,陽傘,手杖,行李,袋,盒,個人衛生物品用盒,旅行箱,手提箱,掛肩袋,零錢包,腰袋/小手提箱,掛肩袋,運輸物件用的大袋,背包,帆布背包,手杖摺凳/射擊支架,公文夾,公事包/公事包,皮革及人造皮革製的文件夾及文件盒,旅行袋/多用途袋,腰袋,西服套(旅行用),信用卡套(夾及盒),鎖匙盒,零錢包/零錢袋,皮革或人造皮革製護照套,皮革製支票簿套,皮革或人造皮革製的眼鏡盒(非指定適用),鋼筆袋,皮革或人造皮革製記事本套,皮革或人造皮革製旅行計劃本,皮革或人造皮革製領帶用支架,皮革或人造皮革製鎖匙包,錢包,服裝,帽,鞋,外穿服裝產品及內衣,西服,長襪,緊身衣褲,襪褲,襯衫,短袖棉襯衣(T恤),無袖襯衫(背心),襯恤,褲子,半截裙,典禮服裝品,連衣裙,長袍,典禮連衣裙,外套/夾克,連衣褲/工作袍,針織背心,皮外套,皮革外套,風雨衣/防水衣,運動外套,西服外套,長大衣,經編針織服裝產品及針織布製服裝產品,領帶,浴袍,運動用服裝產品,睡衣,帽,短襪/襪,腰帶,頸巾及頭巾,手套,無邊圓帽,圍裙,牛仔褲,用於頸部的物品(領帶物品),泳衣/游泳衣,腰帶(服裝),田徑運動用鞋類,田徑運動用鞋,高爾夫球鞋,木屐,拖鞋,靴,鞋有關;透過與上述提及產品的零售店及分配服務的全球電腦網絡的訂購服務;透過全球電腦網絡媒體於有關提及產品的電腦數據庫的資訊匯編。
商標構成:

設計及新型之保護
根據經十二月十三日第97/99/M號法令核准之《工業產權法律制度》第十條及第一百六十五條之規定,公布下列在澳門特別行政區提出的設計及新型註冊申請,並按照相同法規第一百六十六條,自此公布日起至給予註冊之日止,任何第三人均得提出聲明異議。
設計或新型公佈
設計編號:D/000629
申請日期:2009/11/11
申請人:Sony Computer Entertainment Inc.
國籍:日本
住址/地址:2-6-21, Minami-Aoyama, Minato-ku, Tokyo, Japan
標題:遙控器。
摘要:O artigo «Controlo Remoto» a que este modelo se refere é usado para controlar uma unidade aritmética e de controlo usado, por exemplo, como um leitor de jogos de vídeo, um computador pessoal, um leitor para gravar meios (meios de gravação do tipo disco, por exemplo, Discos «Blu-ray», CDs, DVDs, etc., meios de gravação tipo cartão e meios de gravação tipo vara, etc.), ou um gravador para esses ditos meios de gravação.
分類:14-03
創作人:Ken Yano
優先權日期:2009/10/28
優先權國家/地區:日本
優先權編號:2009-25261
附圖

設計編號:D/000632
申請日期:2009/11/24
申請人:泰偉電子股份有限公司
住址/地址:中國台灣台北縣三重市興德路111之1號10樓
標題:遊戲機。
摘要:本創作是一種立式觸控電子遊戲機。
分類:21-03
創作人:楊南平
優先權日期:2009/10/30
優先權國家/地區:中國台灣
優先權編號:098305169
附圖

設計編號:D/000633
申請日期:2009/11/24
申請人:泰偉電子股份有限公司
住址/地址:中國台灣台北縣三重市興德路111之1號10樓
標題:遊戲機。
摘要:本創作是一種可供多人參與的遊戲機。
分類:21-03
創作人:楊南平
優先權日期:2009/10/30
優先權國家/地區:中國台灣
優先權編號:098305170
附圖

授權的發明專利之延伸
根據經十二月十三日第97/99/M號法令核准之《工業產權法律制度》第十條及第一百二十九至一百三十五條之規定,結合《國家知識產權局與澳門特別行政區經濟局關於在知識產權領域合作的協議》第四條及第五條之規定,公佈下列授權的發明專利申請之延伸。
授權的發明專利之延伸
編號:J/000503
延伸申請日期:2010/08/11
延伸批示日期:2010/10/11
申請人:惠氏公司
國籍:美國
住址/地址:Five Giralda Farms, Madison, New Jersey 07940-0874, U.S.A.
標題:用作抗精神病和抗肥胖藥物的〔1,4〕二氮雜庚因并〔6,7,1—IJ〕喹啉衍生物。
摘要:本發明提供式I化合物或其藥物學上可接受的鹽:其中R1—R7見本文定義。式I化合物為5HT2C激動劑或部分激動劑,可用於治療多種疾病。
內地申請日:2003/04/24
內地專利號:ZL200610146465.3
內地公開日:2007/05/02
內地公告日:2010/07/14
內地公告號:CN 1955179B
分類:C07D471/06, A61K31/551, A61P25/00
發明人:S.P.拉馬穆爾錫
優先權日期:2002/04/25
優先權國家/地區:美國
優先權編號:60/375592
附圖

編號:J/000504
延伸申請日期:2010/08/11
延伸批示日期:2010/10/11
申請人:惠氏公司
國籍:美國
住址/地址:Five Giralda Farms, Madison, New Jersey 07940-0874, U.S.A.
標題:在吲哚C—3位還原烷基化的合成方法。
摘要:在吲哚化合物C—3位還原烷基化的方法,其中所述吲哚在路易斯酸和硅烷還原劑存在下用醛處理。所述方法對N—1位有酸敏感性取代基的吲哚C—3位烷基化是有效的。
內地申請日:2004/12/15
內地專利號:ZL200480041673.6
內地公開日:2007/02/14
內地公告日:2010/07/14
內地公告號:CN 1914170B
分類:C07D209/18
| 發明人: | R.S.米查拉克 |
| P.拉韋恩德拉納思 |
優先權日期:2003/12/16
優先權國家/地區:美國
優先權編號:60/529,797
編號:J/000514
延伸申請日期:2010/08/17
延伸批示日期:2010/10/11
申請人:輝瑞有限公司
國籍:英國
住址/地址:Ramsgate Road, Sandwich, Kent CT13 9NJ, UK
標題:包含藥物的包裝和分配裝置。
摘要:本發明提供了包含藥物的包裝和分配裝置,該分配裝置與包含藥物的包裝(2)一起使用,該包裝具有相對的第一和第二表面(10,12),並包括:基底(4),其具有形成在所述第一表面(10)處的至少一個凹穴(6);封蓋板(8),其在第一表面處固定在所述基底上,從而與至少一個凹穴形成用於容納藥物的密封隔室(14);以及裝在隔室中的大體杯形的剛性部件(16),分配裝置包括:分配出口(68);以及促動器,用於從第二表面推壓大體杯形的剛性部件,從而在第一表面處向外弄破封蓋板,分配裝置設置成這樣,以便在使用中,促動器的操作暴露出杯的內部,從而允許借助穿過分配出口的氣流從杯的內部分配藥物。
內地申請日:2002/08/16
內地專利號:ZL200610162937.4
內地公開日:2007/04/25
內地公告日:2010/05/19
內地公告號:CN 1951356B
分類:A61J1/03, B65D75/36, B65D83/06, B65D83/04, B67B7/92
| 發明人: | 安德魯.約翰.伊德 |
| 道格拉斯.伊萬.詹寧斯 |
優先權日期:2001/08/16
優先權國家/地區:英國
優先權編號:0120018.7
附圖

編號:J/000535
延伸申請日期:2010/09/16
延伸批示日期:2010/10/11
申請人:大日本住友製藥株式會社
國籍:日本
住址/地址:6-8, Dosho-machi 2-chome, Chuo-ku, Osaka-shi, Osaka 5418524, Japan
申請人:阿斯利康(瑞典)有限公司
國籍:瑞典
住址/地址:SE-151, 85 Sodertalje, Sweden
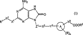
標題:9—取代的8—氧化腺嘌呤。
摘要:一種式(1)表示的8—氧代腺嘌呤化合物,〔其中環A代表6—10元芳族碳環等;R代表鹵素、烷基等;n代表0—2的整數;Z1代表亞烷基;X2代表氧、硫、SO2、NR5、CO、CONR5、NR5CO等;Y1、Y2和Y3各自獨立地代表單鍵或亞烷基;X1代表氧、硫、NR4(其中R4是氫原子或烷基)或單鍵;R2代表取代或未取代的烷基等;和R1代表氫、羥基、烷氧基、烷氧羰基、鹵代烷基等;〕或其藥學上可接受的鹽。其具有免疫調節活性,例如干擾素誘導活性,適用作抗病毒劑、抗應變劑等。
內地申請日:2005/03/24
內地專利號:ZL200580009706.3
內地公開日:2007/03/28
內地公告日:2010/06/16
內地公告號:CN 1938307B
分類:C07D473/18, A61K31/522, A61K31/5377, A61P31/12, A61P35/00, A61P37/02, A61P37/08
| 發明人: | 栗本步 |
| 橋本和樹 | |
| 磯部義明 | |
| S.布羅格 | |
| I.米利齊普 | |
| 和田博喜 | |
| R.邦納特 | |
| T.麥金納利 |
優先權日期:2004/03/26
優先權國家/地區:日本
優先權編號:093672/2004
附圖

編號:J/000537
延伸申請日期:2010/09/24
延伸批示日期:2010/10/11
申請人:環球娛樂株式會社
國籍:日本
住址/地址:Ariake Frontier Building, Tower A, 3-7-26, Ariake, Koto-ku, Tokyo 135-0063, Japan
標題:遊戲機。
摘要:一種遊戲機(1)的遊戲結果顯示裝置,包括:轉筒(3L、3C、3R)和設置在轉筒(3L、3C、3R)的前側的液晶顯示裝置(31),並且液晶顯示裝置(31)具有多個符號顯示區域,通過這些符號顯示區域可以可透光地顯示轉筒(3L、3C、3R)的符號,並且在這些符號顯示區域周圍形成窗口框顯示區域(22L、22C、22R)。
內地申請日:2004/03/01
內地專利號:ZL200410008271.8
內地公開日:2005/09/07
內地公告日:2010/07/07
內地公告號:CN 1663650B
分類:A63F5/04, A63F7/00, A63F13/00
| 發明人: | 田代浩久 |
| 藤井英明 | |
| 岡田涉 |
附圖

編號:J/000538
延伸申請日期:2010/09/24
延伸批示日期:2010/10/11
申請人:大城清利
國籍:日本
住址/地址:27-21, Kyohara-cho, Naha-shi, Okinawa 901-0151, Japan
標題:促進吸收的含草藥成分的組合物及其製備方法。
摘要:本發明的目的是,通過在二酰甘油中添加一種乳化劑來提取草藥中含有的有效的油溶性成分及有效的水溶性成分,從而提供了促進油溶性成分在小腸中的吸收的草藥成分及其製備方法。將草藥的粉末添加到溶劑油中,所述溶劑油選自:添加了卵磷脂和/或W/O型乳化劑的二 酰甘油和/或三酰甘油食用油;加熱並提取或溶解草藥成分。通過這樣的方法,可以製備含有全部含於草藥中的有效的油溶性和水溶性成分的藥物和保健食品,所述藥物和保健食品促進油溶性成分在小腸中的吸收。
內地申請日:2005/06/30
內地專利號:ZL200510080739.9
內地公開日:2006/03/08
內地公告日:2010/09/08
內地公告號:CN 1742983B
分類:A61K36/9066, A61K36/00
發明人:大城清利
優先權日期:2004/08/31
優先權國家/地區:日本
優先權編號:2004-252417
編號:J/000539
延伸申請日期:2010/09/24
延伸批示日期:2010/10/11
申請人:株式會社日立製作所
國籍:日本
住址/地址:6-6, Marunouchi 1-chome, Chiyoda-ku, Tokyo 100-8280, Japan
標題:車軸間轉矩產生裝置。
摘要:本發明提供一種小型且設計自由度高的車軸間轉矩產生裝置,其降低傳遞給反動轉矩機構的轉矩,且不使用複雜的差動機構。該車軸間轉矩產生裝置具備:各一對行星齒輪機構中將第一行星齒輪機構和第一車軸單元連接的第一減速機構、和將第二行星齒輪機構和第二車軸單元連接的第二減速機構,將行星齒輪機構的旋轉單元之一經由第一減速機構或第二減速機構與通過差動機構以一對車輪的平均速度旋轉的第二車軸單元連接。由此,通過在行星齒輪機構和車軸單元之間連接減速機構,可降低用行星齒輪機構傳遞的轉矩,進而由於可共用減速機構和差動機構的部件,因此,可提供小型且設計自由度高的車軸間轉矩產生裝置。
內地申請日:2006/11/16
內地專利號:ZL200610148578.7
內地公開日:2007/05/23
內地公告日:2010/07/28
內地公告號:CN 1966334B
分類:B62D11/12
| 發明人: | 橫山篤 |
| 山門誠 | |
| 山本立行 |
優先權日期:2005/11/16
優先權國家/地區:日本
優先權編號:2005-331030
附圖

編號:J/000540
延伸申請日期:2010/09/24
延伸批示日期:2010/10/11
申請人:研能科技股份有限公司
住址/地址:中國台灣省新竹市科學園區研發二路28號1樓
標題:環狀式打印裝置及打印方法。
摘要:本發明的目的是提供一種環狀式打印裝置,其是可對具有曲面的待打印物件進行環狀式打印。本發明的環狀式打印裝置包含打印組件以及定位機構。打印組件設於環型導軌上,且包含打印材料匣。定位機構包含至少一容置空間、滑座、支杆以及定位杆,其中容置空間是供容置一待打印物件,而滑座設于容置空間的尾端,且具有彈性元件,支杆的一端連接於滑座的底部,另一端連接於定位杆,當定位杆向前推進時,支杆受連帶作用向上推動滑座,進而使彈性元件抵頂待打印物件,以完成定位該待打印物件。其中,該環型導軌是環繞該定位機構,借以使得待打印物件定位後,該打印組件得以對該待打印物件進行環狀式打印。
內地申請日:2007/03/12
內地專利號:ZL200710087657.6
內地公開日:2008/09/17
內地公告日:2010/07/28
內地公告號:CN 101264697B
分類:B41J3/407, B41J25/24
發明人:奚國元
附圖

編號:J/000541
延伸申請日期:2010/09/27
延伸批示日期:2010/10/11
申請人:江良一成
國籍:日本
住址/地址:4-1-11-201, Matsuba-cho, Kashiaw-shi, Chiba 277-0827, Japan
標題:三維圖像再現設備。
摘要:本發明可以生成具有自然的3D感覺的3D圖像,而同時抑制圖像失真。在3D圖像生成設備中,RAM(23)包含對於組成原始圖像(IMG0)的每個像素Pix的像素值G。CPU(10)根據每個像素Pix的像素值G與在原始方向上與像素Pix相鄰的像素Pix的像素值G之間的相對大小決定深度值Z,並根據深度值Z生成3D圖像。
內地申請日:2005/09/07
內地專利號:ZL200580030349.9
內地公開日:2007/08/08
內地公告日:2010/08/18
內地公告號:CN 101015220B
分類:H04N13/02, G06T17/40
發明人:江良一成
優先權日期:2004/09/10
優先權國家/地區:日本
優先權編號:264002/2004
附圖

發明專利之保護
根據經十二月十三日第97/99/M號法令核准之《工業產權法律制度》第十條及第八十三條之規定,公布下列在澳門特別行政區提出的發明專利註冊申請,並按照相同法規第八十四條,自此公布日起至授予專利之日止,任何第三人均得提出聲明異議。
發明專利公佈
發明專利編號:I/001029
申請日期:2010/04/16
申請人:IGT
國籍:美國
住址/地址:9295 Prototype Drive, Reno, Nevada 89521, E.U.A.
標題:用於遊戲系統的遠程主機和本地顯示內容的呈現。
摘要:一種遊戲系統,包括每個都連接一個或多個遊戲機的多個主機設備,其中主機設備提供的內容在遊戲機上輸出。為了輸出遠程主機提供的內容,可以利用主機控制進程,該主機控制進程由遊戲機驗證並在安全存儲單元中執行,使得其與遊戲上執行的其他進程隔離。主機控制進程可以與用於執行遊戲機上進行的機會遊戲的進程分離,使得主機控制進程輸出的內容不改變機會遊戲的進行。
分類:A63F9/24
| 發明人: | LE MAY, Steven G. |
| NELSON, Dwayne R. |
優先權日期:2009/04/17
優先權國家/地區:美國
優先權編號:12/426,165
附圖

實用專利之保護
根據經十二月十三日第97/99/M號法令核准之《工業產權法律制度》第十條及由第一百二十四條而援引的第八十三條及第八十四條之規定,公布下列在澳門特別行政區提出的實用專利註冊申請,並自此公布日起至授予專利之日止,任何第三人均得提出聲明異議。
實用專利公佈
實用專利編號:U/000058
申請日期:2009/04/14
申請人:李樹衡
國籍:中國
住址/地址:中國廣東省東莞市南城區元美路華凱廣場A座1716室
標題:安全型電源插座。
摘要:本實用新型公開了一種安全型電源插座,該安全型電源插座包括內部設有火線接線腳和火線導電彈片的插座殼體,其中,所述的火線接線腳上套設有保護裝置,該保護裝置具有一外殼,外殼內設有活動的連接塊以及連接塊復位彈簧;當插頭的插腳插入插座時,連接塊動作而使火線導電彈片和插頭的火線插腳導通。由於在插座殼體內的火線接線腳上套設有保護裝置,一般的金屬物體或其他導體伸入即使不小心伸入電源插孔內,也無法與火線導電彈片接觸而引發觸電和漏電現象;只有當插頭的插腳在施加一定力量而插入電源插孔內後,才可使火線導電彈片和插頭的火線插腳導通供電,安全性非常好。
分類:H01R13/70
發明人:李樹衡
附圖

實用專利編號:U/000059
申請日期:2009/04/17
申請人:何培年
國籍:中國
住址/地址:澳門水手東街和德大廈5號A地下
標題:半導體和螢光燈混合照明遙控天花板及反射燈盤。
摘要:一種半導體和螢光燈混合照明遙控天花板及反射燈盤。一方面,一種半導體和螢光燈混合照明遙控天花板,包括板體;在板體正面設有若干個螢光燈和若干組LED燈,在板體內裝有無線接收模塊、鎮流器、LED驅動模塊;無線接收模塊與市電連接,無線接收模塊經鎮流器後與螢光燈連接,無線接收模塊經LED驅動模塊後與LED燈連接;還包括遙控器,遙控器具有發射模塊,發射模塊與無線接收模塊無線連接。另一方面,一種半導體和螢光燈混合照明遙控反射燈盤,包括盤體及無線接收模塊、鎮流器、LED驅動模塊、遙控器,遙控器具有發射模塊;在盤體正面設有若干個螢光燈和若干組LED燈。本實用新型使用方便並可單獨控制兩種燈的開關,其節能高效。
分類:F21S2/00
發明人:何培年
附圖

實用專利編號:U/000063
申請日期:2009/10/23
申請人:泰時工程有限公司
國籍:根據香港法例成立
住址/地址:Unit 1-2, 14/F, Hung Tai Industrial Building, 37-39 Hung To Road, Kwun Tong, Kowloon, Hong Kong
標題:安全百葉窗。
摘要:組合式百葉窗組件包括多個節,在關閉位置這些節的邊緣一個堆叠在另一個上,在打開位置這些節被懸掛且相對主表面彼此鄰近。每個節包括具有相對縱向邊緣的至少一個面板,邊緣橫擋被固定到每個縱向邊緣上,每個邊緣橫擋具有第一和第二細長相對的側面。照明顯示器被設置在一個節中,電路將電力供應到其上。第一側面面對板並包括平行的凹陷,每個具有形成在凹陷的口的相對側上的向內突出的唇表面。所述邊緣直接保持在凹陷中或保持在凹陷中的連接條容納所述邊緣,唇部與每個面板或連接條的縱向邊緣配合。第二側面具有鄰接表面,與另一邊緣橫擋的鄰接表面鄰接。鄰接表面具有旋轉對稱性,包括凹狀結構和互補的凸狀結構以及在邊緣橫擋的一側的細長肋。
分類:E06B9/02
發明人:葉文馨
優先權日期:2008/10/27
優先權國家/地區:中國香港
優先權編號:08111787.6
附圖

實用專利編號:U/000067
申請日期:2010/03/04
申請人:周志堅
國籍:中國
住址/地址:中國廣東省中山市石岐區碧湖東街11號402房
標題:多面體LED燈具。
摘要:本實用新型公開了一種多面體LED燈具,其特徵在於其包括一多面體,所述多面體的各側面及頂部安裝有LED芯片;本實用新型具有多個面同時發光、發光角度可達270度以上、發熱量低、光強度衰減減少、使用壽命長等特點;並且通過頂部LED芯片發出的光線可起到直射效果,該燈具結構較簡單,燈具維修簡便,且單位瓦數的光通量可達到110流明。
分類:F21S2/00, F21Y101/02
發明人:周志堅
附圖

根據經十二月十三日第97/99/M號法令核准之《工業產權法律制度》第十條第一款d)項、第二款及第二百七十五條至第二百七十七條之規定,可於本公佈日起計一個月期限內就下列批示向初級法院提起上訴。
商標之保護
批給
| 程序編號 | 註冊日期 | 批示日期 | 註冊權利人之名稱 | 所屬國/地區 | 分類 |
| N/044648 | 2010/10/08 | 2010/10/08 | H&M Hennes & Mauritz AB | SE | 25 |
| N/046250 | 2010/10/08 | 2010/10/08 | 奧田一人 | JP | 39 |
| N/047256 | 2010/10/08 | 2010/10/08 | 重慶美心(集團)有限公司 CHONGQING MEXIN (GROUP) INDUSTRY CO., LTD |
CN | 06 |
| N/048121 | 2010/10/08 | 2010/10/08 | Universal Entertainment Corporation | JP | 09 |
| N/048122 | 2010/10/08 | 2010/10/08 | CAVES DO CASALINHO, S.A. | PT | 33 |
| N/048136 | 2010/10/08 | 2010/10/08 | 永南食品有限公司 Winner Food Products Limited |
HK | 30 |
| N/048137 | 2010/10/08 | 2010/10/08 | 永南食品有限公司 Winner Food Products Limited |
HK | 30 |
| N/048138 | 2010/10/08 | 2010/10/08 | 永南食品有限公司 Winner Food Products Limited |
HK | 30 |
| N/048265 | 2010/10/08 | 2010/10/08 | LEAF INC. | MP | 29 |
| N/048266 | 2010/10/08 | 2010/10/08 | LEAF INC. | MP | 30 |
| N/048267 | 2010/10/08 | 2010/10/08 | LEAF INC. | MP | 32 |
| N/048316 | 2010/10/08 | 2010/10/08 | Aristocrat Technologies Australia Pty Ltd | AU | 28 |
| N/048639 | 2010/10/08 | 2010/10/08 | Aristocrat Technologies Australia Pty Ltd | AU | 28 |
| N/048640 | 2010/10/08 | 2010/10/08 | Aristocrat Technologies Australia Pty Ltd | AU | 28 |
| N/048641 | 2010/10/08 | 2010/10/08 | Aristocrat Technologies Australia Pty Ltd | AU | 28 |
| N/048642 | 2010/10/08 | 2010/10/08 | Aristocrat Technologies Australia Pty Ltd | AU | 28 |
| N/048643 | 2010/10/08 | 2010/10/08 | Aristocrat Technologies Australia Pty Ltd | AU | 28 |
| N/048644 | 2010/10/08 | 2010/10/08 | Aristocrat Technologies Australia Pty Ltd | AU | 28 |
| N/048645 | 2010/10/08 | 2010/10/08 | Aristocrat Technologies Australia Pty Ltd | AU | 28 |
| N/048646 | 2010/10/08 | 2010/10/08 | Aristocrat Technologies Australia Pty Ltd | AU | 28 |
| N/048647 | 2010/10/08 | 2010/10/08 | Aristocrat Technologies Australia Pty Ltd | AU | 28 |
| N/048648 | 2010/10/08 | 2010/10/08 | Aristocrat Technologies Australia Pty Ltd | AU | 28 |
| N/048649 | 2010/10/08 | 2010/10/08 | Aristocrat Technologies Australia Pty Ltd | AU | 28 |
| N/048650 | 2010/10/08 | 2010/10/08 | Aristocrat Technologies Australia Pty Ltd | AU | 28 |
| N/048651 | 2010/10/08 | 2010/10/08 | Aristocrat Technologies Australia Pty Ltd | AU | 28 |
| N/048652 | 2010/10/08 | 2010/10/08 | Aristocrat Technologies Australia Pty Ltd | AU | 28 |
| N/048653 | 2010/10/08 | 2010/10/08 | Aristocrat Technologies Australia Pty Ltd | AU | 28 |
| N/048654 | 2010/10/08 | 2010/10/08 | Aristocrat Technologies Australia Pty Ltd | AU | 28 |
| N/048655 | 2010/10/08 | 2010/10/08 | Aristocrat Technologies Australia Pty Ltd | AU | 28 |
| 1 N/048696 | 2010/10/08 | 2010/10/08 | Aristocrat Technologies Australia Pty Ltd | AU | 28 |
| N/048725 | 2010/10/08 | 2010/10/08 | Queen Productions Limited | GB | 09 |
| N/048744 | 2010/10/08 | 2010/10/08 | Jumeirah International LLC | AE | 35 |
| N/048745 | 2010/10/08 | 2010/10/08 | Jumeirah International LLC | AE | 36 |
| N/048746 | 2010/10/08 | 2010/10/08 | Jumeirah International LLC | AE | 39 |
| N/048747 | 2010/10/08 | 2010/10/08 | Jumeirah International LLC | AE | 43 |
| N/049048 | 2010/10/08 | 2010/10/08 | PHILIP MORRIS PRODUCTS S.A. | CH | 34 |
| N/049065 | 2010/10/08 | 2010/10/08 | PHILIP MORRIS PRODUCTS S.A. | CH | 34 |
| N/049098 | 2010/10/08 | 2010/10/08 | PHILIP MORRIS PRODUCTS S.A. | CH | 34 |
| N/049099 | 2010/10/08 | 2010/10/08 | AstraZeneca AB | SE | 05 |
| N/049112 | 2010/10/08 | 2010/10/08 | MIGUEL VILLAESCUSA CALATAYUD | ES | 18 |
| N/049113 | 2010/10/08 | 2010/10/08 | MIGUEL VILLAESCUSA CALATAYUD | ES | 25 |
| N/049158 | 2010/10/08 | 2010/10/08 | 慕德萊斯集團 MODELABS GROUP |
FR | 09 |
| N/049159 | 2010/10/08 | 2010/10/08 | 慕德萊斯集團 MODELABS GROUP |
FR | 35 |
| N/049160 | 2010/10/08 | 2010/10/08 | 慕德萊斯集團 MODELABS GROUP |
FR | 38 |
| N/049177 | 2010/10/08 | 2010/10/08 | NOVABELL S.p.A. - CERAMICHE ITALIANE que também exerce o comércio sob a designação NOVABELL S.p.A. | IT | 19 |
| N/049180 | 2010/10/08 | 2010/10/08 | Britax Excelsior Limited | GB | 09 |
| N/049181 | 2010/10/08 | 2010/10/08 | Britax Excelsior Limited | GB | 12 |
| N/049182 | 2010/10/08 | 2010/10/08 | Britax Excelsior Limited | GB | 20 |
| N/049258 | 2010/10/08 | 2010/10/08 | Montblanc-Simplo GmbH | DE | 14 |
| N/049259 | 2010/10/08 | 2010/10/08 | Montblanc-Simplo GmbH | DE | 14 |
| N/049505 | 2010/10/08 | 2010/10/08 | Vinum Holdings Pte Ltd | SG | 33 |
| N/049506 | 2010/10/08 | 2010/10/08 | Vinum Holdings Pte Ltd | SG | 33 |
| N/049507 | 2010/10/08 | 2010/10/08 | Vinum Holdings Pte Ltd | SG | 33 |
| N/049594 | 2010/10/08 | 2010/10/08 | 嚮茶有限公司 SHINY TEA CO., LTD. |
TW | 30 |
| N/049595 | 2010/10/08 | 2010/10/08 | 嚮茶有限公司 SHINY TEA CO., LTD. |
TW | 32 |
| N/049596 | 2010/10/08 | 2010/10/08 | 嚮茶有限公司 SHINY TEA CO., LTD. |
TW | 43 |
| N/049614 | 2010/10/08 | 2010/10/08 | 澳門貿易投資促進局 | MO | 35 |
| N/049615 | 2010/10/08 | 2010/10/08 | 澳門貿易投資促進局 | MO | 35 |
| N/049633 | 2010/10/08 | 2010/10/08 | IGT | US | 09 |
| N/049635 | 2010/10/08 | 2010/10/08 | HONG KONG DESIGN CENTRE LIMITED | HK | 16 |
| N/049636 | 2010/10/08 | 2010/10/08 | HONG KONG DESIGN CENTRE LIMITED | HK | 16 |
| N/049637 | 2010/10/08 | 2010/10/08 | HONG KONG DESIGN CENTRE LIMITED | HK | 35 |
| N/049638 | 2010/10/08 | 2010/10/08 | HONG KONG DESIGN CENTRE LIMITED | HK | 35 |
| N/049639 | 2010/10/08 | 2010/10/08 | HONG KONG DESIGN CENTRE LIMITED | HK | 41 |
| N/049640 | 2010/10/08 | 2010/10/08 | HONG KONG DESIGN CENTRE LIMITED | HK | 41 |
| N/049641 | 2010/10/08 | 2010/10/08 | SINGAPORE MACAU EDUCATION AND TRAINING LIMITED | MO | 41 |
| N/049642 | 2010/10/08 | 2010/10/08 | SINGAPORE MACAU EDUCATION AND TRAINING LIMITED | MO | 41 |
| N/049643 | 2010/10/08 | 2010/10/08 | SINGAPORE MACAU EDUCATION AND TRAINING LIMITED | MO | 41 |
| N/049644 | 2010/10/08 | 2010/10/08 | SINGAPORE MACAU EDUCATION AND TRAINING LIMITED | MO | 41 |
| N/049645 | 2010/10/08 | 2010/10/08 | SINGAPORE MACAU EDUCATION AND TRAINING LIMITED | MO | 41 |
| N/049646 | 2010/10/08 | 2010/10/08 | Martell & Co. | FR | 33 |
| N/049652 | 2010/10/08 | 2010/10/08 | 譚偉英 Tam Wai Ieng |
MO | 25 |
| N/049653 | 2010/10/08 | 2010/10/08 | 譚偉英 Tam Wai Ieng |
MO | 25 |
| N/049676 | 2010/10/08 | 2010/10/08 | 狗不理集團股份有限公司 | CN | 30 |
| N/049677 | 2010/10/08 | 2010/10/08 | 狗不理集團股份有限公司 | CN | 43 |
| N/049689 | 2010/10/08 | 2010/10/08 | 古丈縣茶業發展研究中心 | CN | 30 |
| N/049733 | 2010/10/08 | 2010/10/08 | Parfums Christian Dior | FR | 03 |
| N/049734 | 2010/10/08 | 2010/10/08 | MARC JACOBS TRADEMARKS L.L.C. | US | 03 |
| N/049735 | 2010/10/08 | 2010/10/08 | MARC JACOBS TRADEMARKS L.L.C. | US | 09 |
| N/049736 | 2010/10/08 | 2010/10/08 | MARC JACOBS TRADEMARKS L.L.C. | US | 14 |
| N/049737 | 2010/10/08 | 2010/10/08 | MARC JACOBS TRADEMARKS L.L.C. | US | 18 |
| N/049738 | 2010/10/08 | 2010/10/08 | MARC JACOBS TRADEMARKS L.L.C. | US | 25 |
| N/049739 | 2010/10/08 | 2010/10/08 | MARC JACOBS TRADEMARKS L.L.C. | US | 35 |
| N/049743 | 2010/10/08 | 2010/10/08 | Universal Entertainment Corporation | JP | 09 |
| N/049753 | 2010/10/08 | 2010/10/08 | 梅花傘業股份有限公司 | CN | 18 |
| N/049773 | 2010/10/08 | 2010/10/08 | Alibaba.com Limited | KY | 09 |
| N/049774 | 2010/10/08 | 2010/10/08 | Alibaba.com Limited | KY | 16 |
| N/049775 | 2010/10/08 | 2010/10/08 | Alibaba.com Limited | KY | 35 |
| N/049776 | 2010/10/08 | 2010/10/08 | Alibaba.com Limited | KY | 38 |
| N/049777 | 2010/10/08 | 2010/10/08 | Alibaba.com Limited | KY | 41 |
| N/049778 | 2010/10/08 | 2010/10/08 | Alibaba.com Limited | KY | 42 |
| N/049788 | 2010/10/08 | 2010/10/08 | Zinnia Profit Company Limited | VG | 14 |
| N/049789 | 2010/10/08 | 2010/10/08 | Zinnia Profit Company Limited | VG | 18 |
| N/049790 | 2010/10/08 | 2010/10/08 | Zinnia Profit Company Limited | VG | 25 |
| N/049791 | 2010/10/08 | 2010/10/08 | Zinnia Profit Company Limited | VG | 35 |
| N/049830 | 2010/10/08 | 2010/10/08 | NUOVA CENTAURO S.r.l. | IT | 09 |
| N/049831 | 2010/10/08 | 2010/10/08 | NUOVA CENTAURO S.r.l. | IT | 18 |
| N/049832 | 2010/10/08 | 2010/10/08 | NUOVA CENTAURO S.r.l. | IT | 25 |
| N/049833 | 2010/10/08 | 2010/10/08 | NUOVA CENTAURO S.r.l. | IT | 09 |
| N/049834 | 2010/10/08 | 2010/10/08 | NUOVA CENTAURO S.r.l. | IT | 18 |
| N/049835 | 2010/10/08 | 2010/10/08 | NUOVA CENTAURO S.r.l. | IT | 25 |
| N/049847 | 2010/10/08 | 2010/10/08 | 2ELMS PTE. LTD. | SG | 35 |
| N/049848 | 2010/10/08 | 2010/10/08 | 2ELMS PTE. LTD. | SG | 40 |
| N/049849 | 2010/10/08 | 2010/10/08 | 2ELMS PTE. LTD. | SG | 42 |
| N/049850 | 2010/10/08 | 2010/10/08 | 2ELMS PTE. LTD. | SG | 45 |
| N/049851 | 2010/10/08 | 2010/10/08 | 2ELMS PTE. LTD. | SG | 35 |
| N/049852 | 2010/10/08 | 2010/10/08 | 2ELMS PTE. LTD. | SG | 40 |
| N/049853 | 2010/10/08 | 2010/10/08 | 2ELMS PTE. LTD. | SG | 42 |
| N/049854 | 2010/10/08 | 2010/10/08 | 2ELMS PTE. LTD. | SG | 45 |
| N/049868 | 2010/10/08 | 2010/10/08 | Hunter Boot Limited | GB | 25 |
| N/049892 | 2010/10/08 | 2010/10/08 | WYNN RESORTS HOLDINGS, LLC | US | 43 |
| N/049893 | 2010/10/08 | 2010/10/08 | WYNN RESORTS HOLDINGS, LLC | US | 43 |
| N/049895 | 2010/10/08 | 2010/10/08 | WYNN RESORTS HOLDINGS, LLC | US | 43 |
| N/049911 | 2010/10/08 | 2010/10/08 | LYL | FR | 25 |
| N/049920 | 2010/10/08 | 2010/10/08 | 江門仁科綠洲紙業有限公司 | CN | 16 |
| N/049921 | 2010/10/08 | 2010/10/08 | 江門仁科綠洲紙業有限公司 | CN | 16 |
| N/049922 | 2010/10/08 | 2010/10/08 | 江門仁科綠洲紙業有限公司 | CN | 16 |
| N/049923 | 2010/10/08 | 2010/10/08 | 江蘇艾寶紡織製衣有限公司 | CN | 25 |
| N/049924 | 2010/10/08 | 2010/10/08 | 中國五礦集團公司 China Minmetals Corporation |
CN | 01 |
| N/049925 | 2010/10/08 | 2010/10/08 | 中國五礦集團公司 China Minmetals Corporation |
CN | 04 |
| N/049926 | 2010/10/08 | 2010/10/08 | 中國五礦集團公司 China Minmetals Corporation |
CN | 06 |
| N/049927 | 2010/10/08 | 2010/10/08 | 中國五礦集團公司 China Minmetals Corporation |
CN | 35 |
| N/049961 | 2010/10/08 | 2010/10/08 | 鉅記食品有限公司 COMPANHIA DE PRODUTOS ALIMENTARES KOI KEI LIMITADA |
MO | 05 |
| N/049962 | 2010/10/08 | 2010/10/08 | 鉅記食品有限公司 COMPANHIA DE PRODUTOS ALIMENTARES KOI KEI LIMITADA |
MO | 29 |
| N/049963 | 2010/10/08 | 2010/10/08 | 鉅記食品有限公司 COMPANHIA DE PRODUTOS ALIMENTARES KOI KEI LIMITADA |
MO | 30 |
| N/049964 | 2010/10/08 | 2010/10/08 | 羅志雄設計有限公司 MOTY’S DESIGN LIMITED |
HK | 42 |
| N/049984 | 2010/10/08 | 2010/10/08 | 澳大創科有限公司 | MO | 41 |
| N/049985 | 2010/10/08 | 2010/10/08 | 澳大創科有限公司 | MO | 42 |
| N/049986 | 2010/10/08 | 2010/10/08 | 澳大創科有限公司 | MO | 41 |
| N/049987 | 2010/10/08 | 2010/10/08 | 澳大創科有限公司 | MO | 42 |
| N/049988 | 2010/10/08 | 2010/10/08 | 澳大創科有限公司 | MO | 41 |
| N/049989 | 2010/10/08 | 2010/10/08 | 澳大創科有限公司 | MO | 42 |
| N/049990 | 2010/10/08 | 2010/10/08 | 曾旭惠 CHANG IOK WAI |
MO | 35 |
| N/049991 | 2010/10/08 | 2010/10/08 | 曾旭惠 CHANG IOK WAI |
MO | 35 |
| N/049992 | 2010/10/08 | 2010/10/08 | Starwood Hotels & Resorts Worldwide, Inc. | US | 43 |
| N/049993 | 2010/10/08 | 2010/10/08 | 美麗寶鞋業有限公司 Mirabell Footwear Limited |
HK | 18 |
| N/049994 | 2010/10/08 | 2010/10/08 | 美麗寶鞋業有限公司 Mirabell Footwear Limited |
HK | 18 |
| N/049995 | 2010/10/08 | 2010/10/08 | 美麗寶鞋業有限公司 Mirabell Footwear Limited |
HK | 25 |
| N/049996 | 2010/10/08 | 2010/10/08 | 美麗寶鞋業有限公司 Mirabell Footwear Limited |
HK | 35 |
| N/049997 | 2010/10/08 | 2010/10/08 | 美麗寶鞋業有限公司 Mirabell Footwear Limited |
HK | 18 |
| N/049998 | 2010/10/08 | 2010/10/08 | 美麗寶鞋業有限公司 Mirabell Footwear Limited |
HK | 25 |
| N/049999 | 2010/10/08 | 2010/10/08 | 美麗寶鞋業有限公司 Mirabell Footwear Limited |
HK | 35 |
| N/050000 | 2010/10/08 | 2010/10/08 | MPOF MACAU (SITE 1) LIMITED | MO | 36 |
| N/050001 | 2010/10/08 | 2010/10/08 | 文加醒 MAN, KA SING MACOR |
HK | 43 |
| N/050007 | 2010/10/08 | 2010/10/08 | TINCATI MILANO S.p.A. | IT | 18 |
| N/050008 | 2010/10/08 | 2010/10/08 | TINCATI MILANO S.p.A. | IT | 25 |
| N/050009 | 2010/10/08 | 2010/10/08 | YUGEN KAISHA SATOH YOSUKE SHOTEN | JP | 30 |
| N/050010 | 2010/10/08 | 2010/10/08 | YUGEN KAISHA SATOH YOSUKE SHOTEN | JP | 35 |
| N/050011 | 2010/10/08 | 2010/10/08 | YUGEN KAISHA SATOH YOSUKE SHOTEN | JP | 43 |
| N/050012 | 2010/10/08 | 2010/10/08 | YUGEN KAISHA SATOH YOSUKE SHOTEN | JP | 30 |
| N/050013 | 2010/10/08 | 2010/10/08 | YUGEN KAISHA SATOH YOSUKE SHOTEN | JP | 35 |
| N/050014 | 2010/10/08 | 2010/10/08 | YUGEN KAISHA SATOH YOSUKE SHOTEN | JP | 43 |
| N/050015 | 2010/10/08 | 2010/10/08 | Brown Shoe Company, Inc. | US | 09 |
| N/050016 | 2010/10/08 | 2010/10/08 | Brown Shoe Company, Inc. | US | 18 |
| N/050017 | 2010/10/08 | 2010/10/08 | Brown Shoe Company, Inc. | US | 09 |
| N/050018 | 2010/10/08 | 2010/10/08 | Brown Shoe Company, Inc. | US | 18 |
| N/050019 | 2010/10/08 | 2010/10/08 | Brown Shoe Company, Inc. | US | 25 |
| N/050020 | 2010/10/08 | 2010/10/08 | Brown Shoe Company, Inc. | US | 09 |
| N/050021 | 2010/10/08 | 2010/10/08 | Brown Shoe Company, Inc. | US | 18 |
| N/050022 | 2010/10/08 | 2010/10/08 | Brown Shoe Company, Inc. | US | 25 |
| N/050023 | 2010/10/08 | 2010/10/08 | Brown Shoe Company, Inc. | US | 09 |
| N/050024 | 2010/10/08 | 2010/10/08 | Brown Shoe Company, Inc. | US | 18 |
| N/050025 | 2010/10/08 | 2010/10/08 | 楊華 | CN | 01 |
| N/050026 | 2010/10/08 | 2010/10/08 | ithk tm limited | VG | 09 |
| N/050027 | 2010/10/08 | 2010/10/08 | ithk tm limited | VG | 14 |
| N/050028 | 2010/10/08 | 2010/10/08 | ithk tm limited | VG | 16 |
| N/050029 | 2010/10/08 | 2010/10/08 | ithk tm limited | VG | 18 |
| N/050030 | 2010/10/08 | 2010/10/08 | ithk tm limited | VG | 25 |
| N/050031 | 2010/10/08 | 2010/10/08 | ithk tm limited | VG | 35 |
| N/050032 | 2010/10/08 | 2010/10/08 | ithk tm limited | VG | 09 |
| N/050033 | 2010/10/08 | 2010/10/08 | ithk tm limited | VG | 14 |
| N/050034 | 2010/10/08 | 2010/10/08 | ithk tm limited | VG | 16 |
| N/050035 | 2010/10/08 | 2010/10/08 | ithk tm limited | VG | 18 |
| N/050036 | 2010/10/08 | 2010/10/08 | ithk tm limited | VG | 25 |
| N/050037 | 2010/10/08 | 2010/10/08 | ithk tm limited | VG | 35 |
| N/050038 | 2010/10/08 | 2010/10/08 | AOB慧央控股株式會社 AOB KEIOH HOLDINGS CORPORATION |
JP | 03 |
| N/050039 | 2010/10/08 | 2010/10/08 | AOB慧央控股株式會社 AOB KEIOH HOLDINGS CORPORATION |
JP | 11 |
| N/050040 | 2010/10/08 | 2010/10/08 | AOB慧央控股株式會社 AOB KEIOH HOLDINGS CORPORATION |
JP | 18 |
| N/050041 | 2010/10/08 | 2010/10/08 | AOB慧央控股株式會社 AOB KEIOH HOLDINGS CORPORATION |
JP | 21 |
| N/050042 | 2010/10/08 | 2010/10/08 | AOB慧央控股株式會社 AOB KEIOH HOLDINGS CORPORATION |
JP | 29 |
| N/050043 | 2010/10/08 | 2010/10/08 | AOB慧央控股株式會社 AOB KEIOH HOLDINGS CORPORATION |
JP | 30 |
| N/050044 | 2010/10/08 | 2010/10/08 | AOB慧央控股株式會社 AOB KEIOH HOLDINGS CORPORATION |
JP | 32 |
| N/050045 | 2010/10/08 | 2010/10/08 | AOB慧央控股株式會社 AOB KEIOH HOLDINGS CORPORATION |
JP | 41 |
| N/050046 | 2010/10/08 | 2010/10/08 | AOB慧央控股株式會社 AOB KEIOH HOLDINGS CORPORATION |
JP | 43 |
| N/050047 | 2010/10/08 | 2010/10/08 | AOB慧央控股株式會社 AOB KEIOH HOLDINGS CORPORATION |
JP | 44 |
| N/050048 | 2010/10/08 | 2010/10/08 | Starbucks Corporation | US | 30 |
| N/050049 | 2010/10/08 | 2010/10/08 | 珠海賽納科技有限公司 Zhuhai Seine Technology Co. Ltd. |
CN | 02 |
| N/050050 | 2010/10/08 | 2010/10/08 | 珠海賽納科技有限公司 Zhuhai Seine Technology Co. Ltd. |
CN | 09 |
| N/050051 | 2010/10/08 | 2010/10/08 | 珠海賽納科技有限公司 Zhuhai Seine Technology Co. Ltd. |
CN | 16 |
| N/050052 | 2010/10/08 | 2010/10/08 | 珠海賽納科技有限公司 Zhuhai Seine Technology Co. Ltd. |
CN | 35 |
| N/050053 | 2010/10/08 | 2010/10/08 | 珠海賽納科技有限公司 Zhuhai Seine Technology Co. Ltd. |
CN | 37 |
| N/050054 | 2010/10/08 | 2010/10/08 | OMRON Corporation | JP | 09 |
| N/050055 | 2010/10/08 | 2010/10/08 | OMRON Corporation | JP | 10 |
| N/050056 | 2010/10/08 | 2010/10/08 | OMRON Corporation | JP | 21 |
| N/050057 | 2010/10/08 | 2010/10/08 | IGT | US | 09 |
| N/050058 | 2010/10/08 | 2010/10/08 | IGT | US | 09 |
| N/050061 | 2010/10/08 | 2010/10/08 | 泉飲有限公司 Spring Beverages Pte Ltd |
SG | 32 |
| N/050063 | 2010/10/08 | 2010/10/08 | ADENE – AGÊNCIA PARA A ENERGIA | PT | 09 |
| N/050066 | 2010/10/08 | 2010/10/08 | 澳門中華宗教文化交流協會 | MO | 41 |
| N/050067 | 2010/10/08 | 2010/10/08 | TAISHO PHARMACEUTICAL CO., LTD. | JP | 05 |
| N/050070 | 2010/10/08 | 2010/10/08 | 盛世順廣告有限公司 Sensation Advertising Ltd. |
MO | 35 |
| N/050071 | 2010/10/08 | 2010/10/08 | 盛世順廣告有限公司 Sensation Advertising Ltd. |
MO | 35 |
| N/050072 | 2010/10/08 | 2010/10/08 | NBA Properties, Inc. | US | 25 |
| N/050073 | 2010/10/08 | 2010/10/08 | NBA Properties, Inc. | US | 41 |
| N/050074 | 2010/10/08 | 2010/10/08 | NBA Properties, Inc. | US | 25 |
| N/050075 | 2010/10/08 | 2010/10/08 | NBA Properties, Inc. | US | 41 |
| N/050076 | 2010/10/08 | 2010/10/08 | 深圳市怡海源實業發展有限公司 | CN | 11 |
| N/050078 | 2010/10/08 | 2010/10/08 | 公主美容有限公司 | MO | 44 |
| N/050079 | 2010/10/08 | 2010/10/08 | Crocodile International Pte Ltd. | SG | 18 |
| N/050080 | 2010/10/08 | 2010/10/08 | Crocodile International Pte Ltd. | SG | 25 |
| N/050081 | 2010/10/08 | 2010/10/08 | 中國國際金融有限公司 China International Capital Corporation Limited |
CN | 16 |
| N/050082 | 2010/10/08 | 2010/10/08 | 中國國際金融有限公司 China International Capital Corporation Limited |
CN | 35 |
| N/050083 | 2010/10/08 | 2010/10/08 | 中國國際金融有限公司 China International Capital Corporation Limited |
CN | 36 |
| N/050084 | 2010/10/08 | 2010/10/08 | 中國國際金融有限公司 China International Capital Corporation Limited |
CN | 38 |
| N/050085 | 2010/10/08 | 2010/10/08 | 中國國際金融有限公司 China International Capital Corporation Limited |
CN | 41 |
| N/050086 | 2010/10/08 | 2010/10/08 | 中國國際金融有限公司 China International Capital Corporation Limited |
CN | 42 |
| N/050087 | 2010/10/08 | 2010/10/08 | 中國國際金融有限公司 China International Capital Corporation Limited |
CN | 16 |
| N/050088 | 2010/10/08 | 2010/10/08 | 中國國際金融有限公司 China International Capital Corporation Limited |
CN | 35 |
| N/050089 | 2010/10/08 | 2010/10/08 | 中國國際金融有限公司 China International Capital Corporation Limited |
CN | 36 |
| N/050090 | 2010/10/08 | 2010/10/08 | 中國國際金融有限公司 China International Capital Corporation Limited |
CN | 38 |
| N/050091 | 2010/10/08 | 2010/10/08 | 中國國際金融有限公司 China International Capital Corporation Limited |
CN | 41 |
| N/050092 | 2010/10/08 | 2010/10/08 | 中國國際金融有限公司 China International Capital Corporation Limited |
CN | 42 |
| N/050093 | 2010/10/08 | 2010/10/08 | DSM IP Assets B.V. | NL | 05 |
| N/050094 | 2010/10/08 | 2010/10/08 | 依貴雅有限公司 Equip Asia Limited |
HK | 35 |
| N/050095 | 2010/10/08 | 2010/10/08 | 廈門通士達有限公司 | CN | 11 |
| N/050096 | 2010/10/08 | 2010/10/08 | 龔季龍 GONG JILONG |
CN | 43 |
| N/050097 | 2010/10/08 | 2010/10/08 | 莊庭禎 | TW | 36 |
| N/050098 | 2010/10/08 | 2010/10/08 | 廣東五葉神實業發展有限公司 | CN | 33 |
| N/050099 | 2010/10/08 | 2010/10/08 | 深圳市阿里山經貿有限公司 | CN | 33 |
| N/050100 | 2010/10/08 | 2010/10/08 | 深圳市阿里山經貿有限公司 | CN | 33 |
| N/050101 | 2010/10/08 | 2010/10/08 | 大百匯實業集團有限公司 | CN | 34 |
| N/050109 | 2010/10/08 | 2010/10/08 | Sumol+Compal Marcas, S.A. | PT | 32 |
| N/050110 | 2010/10/08 | 2010/10/08 | SCHERING-PLOUGH LTD. | CH | 05 |
| N/050111 | 2010/10/08 | 2010/10/08 | SCHERING-PLOUGH LTD. | CH | 05 |
| N/050112 | 2010/10/08 | 2010/10/08 | SCHERING-PLOUGH LTD. | CH | 05 |
| N/050113 | 2010/10/08 | 2010/10/08 | 山西杏花村汾酒廠股份有限公司 SHANXI XINGHUACUN FENJIU DISTILLERY CO. LTD |
CN | 33 |
| N/050114 | 2010/10/08 | 2010/10/08 | 山西杏花村汾酒廠股份有限公司 SHANXI XINGHUACUN FENJIU DISTILLERY CO. LTD |
CN | 33 |
| N/050115 | 2010/10/08 | 2010/10/08 | GLOBAL TIMEPIECES LIMITED | HK | 35 |
| N/050116 | 2010/10/08 | 2010/10/08 | 湖南電視台 | CN | 35 |
| N/050117 | 2010/10/08 | 2010/10/08 | 湖南電視台 | CN | 38 |
| N/050118 | 2010/10/08 | 2010/10/08 | 湖南電視台 | CN | 41 |
| N/050119 | 2010/10/08 | 2010/10/08 | Abrakadoodle, Inc. | US | 41 |
| N/050120 | 2010/10/08 | 2010/10/08 | 石獅市愛登堡製衣發展有限公司 | CN | 03 |
| N/050121 | 2010/10/08 | 2010/10/08 | 石獅市愛登堡製衣發展有限公司 | CN | 25 |
| N/050122 | 2010/10/08 | 2010/10/08 | 石獅市愛登堡製衣發展有限公司 | CN | 35 |
| N/050123 | 2010/10/08 | 2010/10/08 | 石獅市愛登堡製衣發展有限公司 | CN | 18 |
| N/050125 | 2010/10/08 | 2010/10/08 | TAIZI ENTRETENIMENTO, LDA | MO | 14 |
| N/050126 | 2010/10/08 | 2010/10/08 | TAIZI ENTRETENIMENTO, LDA | MO | 14 |
| N/050127 | 2010/10/08 | 2010/10/08 | TAIZI ENTRETENIMENTO, LDA | MO | 14 |
| N/050128 | 2010/10/08 | 2010/10/08 | TAIZI ENTRETENIMENTO, LDA | MO | 14 |
| N/050129 | 2010/10/08 | 2010/10/08 | TAIZI ENTRETENIMENTO, LDA | MO | 41 |
| N/050130 | 2010/10/08 | 2010/10/08 | TAIZI ENTRETENIMENTO, LDA | MO | 41 |
| N/050131 | 2010/10/08 | 2010/10/08 | TAIZI ENTRETENIMENTO, LDA | MO | 41 |
| N/050132 | 2010/10/08 | 2010/10/08 | TAIZI ENTRETENIMENTO, LDA | MO | 41 |
| N/050133 | 2010/10/08 | 2010/10/08 | Scandinavian Tobacco Group Eersel B.V. | NL | 34 |
| N/050134 | 2010/10/08 | 2010/10/08 | Scandinavian Tobacco Group Eersel B.V. | NL | 34 |
| N/050135 | 2010/10/08 | 2010/10/08 | KING PARROT HOLDINGS LIMITED | HK | 43 |
| N/050136 | 2010/10/08 | 2010/10/08 | KING PARROT HOLDINGS LIMITED | HK | 43 |
| N/050137 | 2010/10/08 | 2010/10/08 | TOD’S S.p.A. | IT | 09 |
| N/050138 | 2010/10/08 | 2010/10/08 | TOD’S S.p.A. | IT | 14 |
| N/050140 | 2010/10/08 | 2010/10/08 | TOD’S S.p.A. | IT | 25 |
| N/050141 | 2010/10/08 | 2010/10/08 | BI-INVEST HOLDINGS S.A. | LU | 35 |
| N/050142 | 2010/10/08 | 2010/10/08 | BI-INVEST HOLDINGS S.A. | LU | 36 |
| N/050143 | 2010/10/08 | 2010/10/08 | BI-INVEST HOLDINGS S.A. | LU | 35 |
| N/050144 | 2010/10/08 | 2010/10/08 | BI-INVEST HOLDINGS S.A. | LU | 36 |
| N/050145 | 2010/10/08 | 2010/10/08 | Costa Limited | GB | 30 |
| N/050146 | 2010/10/08 | 2010/10/08 | Costa Limited | GB | 43 |
| N/050150 | 2010/10/08 | 2010/10/08 | Guccio Gucci S.p.A. | IT | 14 |
| N/050151 | 2010/10/08 | 2010/10/08 | Guccio Gucci S.p.A. | IT | 18 |
| N/050152 | 2010/10/08 | 2010/10/08 | Guccio Gucci S.p.A. | IT | 25 |
| N/050155 | 2010/10/08 | 2010/10/08 | 衍生行有限公司 | HK | 03 |
| N/050156 | 2010/10/08 | 2010/10/08 | 衍生行有限公司 | HK | 05 |
| N/050157 | 2010/10/08 | 2010/10/08 | 衍生行有限公司 | HK | 30 |
| N/050158 | 2010/10/08 | 2010/10/08 | 衍生行有限公司 | HK | 05 |
| N/050159 | 2010/10/08 | 2010/10/08 | 衍生行有限公司 | HK | 30 |
| N/050160 | 2010/10/08 | 2010/10/08 | 衍生行有限公司 | HK | 35 |
| N/050161 | 2010/10/08 | 2010/10/08 | 衍生行有限公司 | HK | 05 |
| N/050162 | 2010/10/08 | 2010/10/08 | 衍生行有限公司 | HK | 30 |
| N/050163 | 2010/10/08 | 2010/10/08 | 衍生行有限公司 | HK | 35 |
| N/050164 | 2010/10/08 | 2010/10/08 | 衍生行有限公司 | HK | 05 |
| N/050165 | 2010/10/08 | 2010/10/08 | 衍生行有限公司 | HK | 30 |
| N/050166 | 2010/10/08 | 2010/10/08 | 衍生行有限公司 | HK | 35 |
| N/050167 | 2010/10/08 | 2010/10/08 | Chevron Intellectual Property LLC | US | 04 |
| N/050168 | 2010/10/08 | 2010/10/08 | Chevron Intellectual Property LLC | US | 04 |
| N/050169 | 2010/10/08 | 2010/10/08 | Montres Tudor S.A. | CH | 14 |
| N/050170 | 2010/10/08 | 2010/10/08 | Sheraton International, Inc. | US | 44 |
| N/050173 | 2010/10/08 | 2010/10/08 | 博來有限公司 | TW | 03 |
| N/050179 | 2010/10/08 | 2010/10/08 | 楊繼有 Ieong Kai Iao |
MO | 35 |
| N/050180 | 2010/10/08 | 2010/10/08 | 楊繼有 Ieong Kai Iao |
MO | 35 |
| N/050181 | 2010/10/08 | 2010/10/08 | Stitt Spark Plug Company | US | 07 |
| N/050184 | 2010/10/08 | 2010/10/08 | GIGA-BYTE Technology Co., Ltd. | TW | 09 |
| N/050185 | 2010/10/08 | 2010/10/08 | GIGA-BYTE Technology Co., Ltd. | TW | 09 |
| N/050186 | 2010/10/08 | 2010/10/08 | GIGA-BYTE Technology Co., Ltd. | TW | 09 |
| N/050187 | 2010/10/08 | 2010/10/08 | GIGA-BYTE Technology Co., Ltd. | TW | 09 |
| N/050188 | 2010/10/08 | 2010/10/08 | GIGA-BYTE Technology Co., Ltd. | TW | 09 |
| N/050189 | 2010/10/08 | 2010/10/08 | GIGA-BYTE Technology Co., Ltd. | TW | 09 |
| N/050190 | 2010/10/08 | 2010/10/08 | GIGA-BYTE Technology Co., Ltd. | TW | 09 |
| N/050194 | 2010/10/08 | 2010/10/08 | NIEPOORT (VINHOS), S.A. | PT | 33 |
| N/050212 | 2010/10/08 | 2010/10/08 | 范紅蘭 | HK | 03 |
| N/050213 | 2010/10/08 | 2010/10/08 | 范紅蘭 | HK | 03 |
| N/050236 | 2010/10/08 | 2010/10/08 | SHIMANO INC. | JP | 28 |
| N/050237 | 2010/10/08 | 2010/10/08 | SHIMANO INC. | JP | 28 |
| N/050238 | 2010/10/08 | 2010/10/08 | SHIMANO INC. | JP | 28 |
| N/050254 | 2010/10/08 | 2010/10/08 | 遠東電纜有限公司 | CN | 09 |
| N/050261 | 2010/10/08 | 2010/10/08 | 馬有仁 MA IAO IAN |
MO | 32 |
| N/050262 | 2010/10/08 | 2010/10/08 | 馬有仁 MA IAO IAN |
MO | 33 |
1 不批給“JACKPOT”詞語的專屬使用權利。
設計及新型之保護
批給
| 程序編號 | 註冊日期 | 批示日期 | 註冊權利人之名稱 | 所屬國/ 地區 |
| D/000638 | 2010/10/11 | 2010/10/11 | Marcus A. KATZ | US |
| D/000644 | 2010/10/11 | 2010/10/11 | Sony Computer Entertainment Inc. | JP |
商標之保護
拒絕
| 程序編號 | 批示日期 | 申請人之名稱 | 所屬國/ 地區 |
分類 | 備註 根據經12月13日第97/99/M號法令核准之《工業產權法律制度》 |
| N/048120 | 2010/10/08 | Universal Entertainment Corporation | JP | 9 | 第9條第1款e)項。 |
| N/048438 | 2010/10/08 | 李任 | CN | 34 | 第214條第1款a)項,結合第9條第1款c)項。 |
營業場所名稱之保護
拒絕
| 程序編號 | 批示日期 | 申請人之名稱 | 所屬國/ 地區 |
備註 根據經12月13日第97/99/M號法令核准之《工業產權法律制度》 |
| E/000137 | 2010/10/08 | 怡和工程(澳門)有限公司 JARDINE ENGINEERING CORPORATION (MACAU) LIMITED |
MO | 第9條第1款e)項。 |
商標之保護
續期
| 程序編號 | 商標編號 | 續展日期 | 註冊權利人之名稱 | 所屬國 /地區 |
| P/009708 | 9550-M | 2010/10/04 | EYGN LIMITED | BS |
| P/011263 | 11285-M | 2010/10/12 | CHEVRON INTELLECTUAL PROPERTY LLC, norte-americana (Estado de Delaware) | US |
| P/011264 | 11286-M | 2010/10/12 | CHEVRON INTELLECTUAL PROPERTY LLC, norte-americana (Estado de Delaware) | US |
| P/011271 | 11294-M | 2010/10/08 | THOMAS HINE & CO. Société anonyme | FR |
| P/011559 | 11522-M | 2010/10/12 | SOCIETÁ APOSTOLATO SAN PAOLO S.R.L. | IT |
| P/011700 | 11627-M | 2010/10/08 | Jardine Motors Group Holdings Limited | BM |
| P/011701 | 11628-M | 2010/10/08 | Jardine Motors Group Holdings Limited | BM |
| P/011702 | 11629-M | 2010/10/08 | Jardine Motors Group Holdings Limited | BM |
| P/011703 | 11630-M | 2010/10/08 | Jardine Motors Group Holdings Limited | BM |
| P/011704 | 11631-M | 2010/10/08 | Jardine Motors Group Holdings Limited | BM |
| P/011705 | 11632-M | 2010/10/08 | Jardine Motors Group Holdings Limited | BM |
| P/011706 | 11633-M | 2010/10/08 | Jardine Motors Group Holdings Limited | BM |
| P/011707 | 11634-M | 2010/10/08 | Jardine Motors Group Holdings Limited | BM |
| P/011708 | 11635-M | 2010/10/08 | Jardine Motors Group Holdings Limited | BM |
| P/011726 | 11572-M | 2010/10/04 | SANDGATE LTD., uma sociedade organizada e existindo segundo as leis das Ilhas Bermudas | BM |
| P/012138 | 11982-M | 2010/10/04 | AT&T INTELLECTUAL PROPERTY II, L.P. | US |
| N/000232 | - | 2010/10/04 | Laurèl GmbH | DE |
| N/000236 | - | 2010/10/04 | Laurèl GmbH | DE |
| N/000840 | - | 2010/10/04 | Merck Consumer Healthcare Limited | GB |
| N/001095 | - | 2010/10/06 | CLUETT, PEABODY & CO., INC. | US |
| N/001126 | - | 2010/10/12 | Philip Morris Belgium S.A. | BE |
| N/001360 | - | 2010/10/06 | JOINT ELECTRONIC TELLER SERVICES LTD., sociedade organizada e existindo segundo as leis de Hong Kong | HK |
| N/009604 | - | 2010/10/04 | MEDA Pharma GmbH & Co. KG | DE |
| N/009605 | - | 2010/10/04 | MEDA Pharma GmbH & Co. KG | DE |
| N/010448 | - | 2010/10/08 | CERRUTI 1881, uma sociedade anónima organizada segundo as leis francesas | FR |
| N/010449 | - | 2010/10/08 | CERRUTI 1881, uma sociedade anónima organizada segundo as leis francesas | FR |
| N/010648 | - | 2010/10/04 | BALENCIAGA | FR |
| N/010998 | - | 2010/10/12 | SALVATORE FERRAGAMO ITALIA S.P.A. | IT |
| N/011234 | - | 2010/10/12 | Panasonic Corporation | JP |
| N/011235 | - | 2010/10/12 | Panasonic Corporation | JP |
| N/011237 | - | 2010/10/12 | Panasonic Corporation | JP |
| N/011238 | - | 2010/10/12 | Panasonic Corporation | JP |
| N/011239 | - | 2010/10/12 | Panasonic Corporation | JP |
| N/011240 | - | 2010/10/12 | Panasonic Corporation | JP |
| N/011241 | - | 2010/10/12 | Panasonic Corporation | JP |
| N/011242 | - | 2010/10/12 | Panasonic Corporation | JP |
| N/011243 | - | 2010/10/12 | Panasonic Corporation | JP |
| N/011244 | - | 2010/10/12 | Panasonic Corporation | JP |
| N/011245 | - | 2010/10/12 | Panasonic Corporation | JP |
| N/011246 | - | 2010/10/12 | Panasonic Corporation | JP |
| N/011247 | - | 2010/10/12 | Panasonic Corporation | JP |
| N/011353 | - | 2010/10/04 | HISAMITSU PHARMACEUTICAL CO, INC. | JP |
| N/011549 | - | 2010/10/04 | HBI Branded Apparel Limited, Inc. | US |
| N/011714 | - | 2010/10/06 | Descente, Ltd. | JP |
| N/011715 | - | 2010/10/06 | Descente, Ltd. | JP |
| N/011716 | - | 2010/10/06 | Descente, Ltd. | JP |
| N/011717 | - | 2010/10/06 | Descente, Ltd. | JP |
| N/011746 | - | 2010/10/08 | BALENCIAGA | FR |
| N/011747 | - | 2010/10/08 | BALENCIAGA | FR |
| N/011748 | - | 2010/10/08 | BALENCIAGA | FR |
| N/011828 | - | 2010/10/12 | Kia Motors Corporation | KR |
| N/011837 | - | 2010/10/08 | RENAULT s.a.s. | FR |
| N/011838 | - | 2010/10/08 | RENAULT s.a.s. | FR |
| N/011839 | - | 2010/10/08 | RENAULT s.a.s. | FR |
| N/011840 | - | 2010/10/08 | RENAULT s.a.s. | FR |
| N/011841 | - | 2010/10/08 | RENAULT s.a.s. | FR |
| N/011842 | - | 2010/10/08 | RENAULT s.a.s. | FR |
| N/011843 | - | 2010/10/08 | RENAULT s.a.s. | FR |
| N/011844 | - | 2010/10/08 | RENAULT s.a.s. | FR |
| N/011845 | - | 2010/10/08 | RENAULT s.a.s. | FR |
| N/011846 | - | 2010/10/08 | RENAULT s.a.s. | FR |
| N/011847 | - | 2010/10/08 | RENAULT s.a.s. | FR |
| N/011848 | - | 2010/10/08 | RENAULT s.a.s. | FR |
| N/011849 | - | 2010/10/08 | RENAULT s.a.s. | FR |
| N/011850 | - | 2010/10/08 | RENAULT s.a.s. | FR |
| N/011851 | - | 2010/10/08 | RENAULT s.a.s. | FR |
| N/011852 | - | 2010/10/08 | RENAULT s.a.s. | FR |
| N/011853 | - | 2010/10/08 | RENAULT s.a.s. | FR |
| N/011950 | - | 2010/10/08 | THE COCA-COLA COMPANY, sociedade organizada e existindo segundo as leis do Estado de Delaware, Estados Unidos da América | US |
| N/012220 | - | 2010/10/04 | Genentech, Inc. | US |
| N/012356 | - | 2010/10/12 | Bear Factory Limited | GB |
| N/012412 | - | 2010/10/08 | 阮雅萍 Un Nga Peng |
MO |
附註
| 程序編號 | 批示日期 | 附註之性質 | 申請人/註冊權利人 | 內容 |
| P/007969 (7739-M) |
2010/10/08 | 更改認別資料 | BMG MUSIC | Arista Music |
| P/009124 (8872-M) |
2010/10/08 | 轉讓 | CISITALIA S.A. | CISITALIA HOLDING S.A., com sede em Calle Libertad 92, Piso 3.º, Letra «F», Ciudad Autónoma de Buenos Aires, Argentina |
| P/011515 (11474-M) |
2010/10/12 | 轉讓 | SAN MIGUEL CORPORATION | San Miguel Pure Foods Company, Inc., com sede em The JMT Corporate Condominium, ADB Avenue, Ortigas Center, Pasig City, Philippines |
| P/011516 (11475-M) |
2010/10/12 | 轉讓 | SAN MIGUEL CORPORATION | San Miguel Pure Foods Company, Inc., com sede em The JMT Corporate Condominium, ADB Avenue, Ortigas Center, Pasig City, Philippines |
| N/000232 | 2010/10/04 | 更改地址 | Laurèl GmbH | Einsteinring 28, D-85609 Aschheim b. Munchen, Germany |
| N/000236 | 2010/10/04 | 更改地址 | Laurèl GmbH | Einsteinring 28, D-85609 Aschheim b. Munchen, Germany |
| N/000444 | 2010/10/08 | 更改認別資料 | BMG MUSIC | Arista Music |
| N/000464 | 2010/10/08 | 更改認別資料 | BMG MUSIC | Arista Music |
| N/001095 | 2010/10/06 | 更改地址 | CLUETT, PEABODY & CO., INC. | 200 Madison Avenue, New York, NY 10016, United States of America |
| N/001359 | 2010/10/12 | 更改認別資料 | NUTREXPA, S.A., sociedade anónima organizada e existindo de acordo com as leis de Espanha | Nutrexpa, S.L. |
| N/002321 | 2010/10/06 | 轉讓 | LABORATOIRES BIOLOGIQUES ARVAL S.A. | EXPERTA S.R.L., com sede em Via Melchiorre Gioia, 66, I-20125 Milão, Itália |
| N/010448 | 2010/10/08 | 更改地址 | CERRUTI 1881, uma sociedade anónima organizada segundo as leis francesas | 3, Place de la Madeleine, 75008 Paris, France |
| N/010449 | 2010/10/08 | 更改地址 | CERRUTI 1881, uma sociedade anónima organizada segundo as leis francesas | 3, Place de la Madeleine, 75008 Paris, France |
| N/020280 | 2010/10/05 | 轉讓 | 劉繼民 LIU JIMIN |
L’ESSENCE DISTILLED WATER FACTORY (MACAU) LTD., com sede em Avenida do Coronel Mesquita, No. 48 – 48-D, Edifício Industrial Man Kei, 3.º andar B, Macau |
| N/021671 | 2010/10/06 | 轉讓 | Alcatel-Lucent Deutschland AG | Dunkermotoren GmbH, com sede em AllmendstraBe 11, DE-79848 Bonndorf/Schwarzwald, Germany |
| N/021672 | 2010/10/06 | 轉讓 | Alcatel-Lucent Deutschland AG | Dunkermotoren GmbH, com sede em AllmendstraBe 11, DE-79848 Bonndorf/Schwarzwald, Germany |
| N/028642 | 2010/10/06 | 轉讓 | Alcatel-Lucent Deutschland AG | Dunkermotoren GmbH, com sede em AllmendstraBe 11, DE-79848 Bonndorf/Schwarzwald, Germany |
| N/033066 | 2010/10/06 | 更改認別資料 | MIPSABG Chipidea, Lda. | SNPS Portugal, Lda. |
| N/033066 | 2010/10/06 | 轉讓 | SNPS Portugal, Lda. | Synopsys, Inc., com sede em 700 E. Middlefield Road, Mountain View, California, 94043, E.U.A. |
| N/046144 | 2010/10/08 | 轉讓 | Roger Cleveland Golf Company, Inc. | SRI SPORTS LIMITED, com sede em 6-9, Wakinohama-cho 3- chome, Chuo-ku, Kobe-shi, Hyogo, Japan |
| N/046145 | 2010/10/08 | 轉讓 | Roger Cleveland Golf Company, Inc. | SRI SPORTS LIMITED, com sede em 6-9, Wakinohama-cho 3- chome, Chuo-ku, Kobe-shi, Hyogo, Japan |
| N/046146 | 2010/10/08 | 轉讓 | Roger Cleveland Golf Company, Inc. | SRI SPORTS LIMITED, com sede em 6-9, Wakinohama-cho 3- chome, Chuo-ku, Kobe-shi, Hyogo, Japan |
| N/046147 | 2010/10/08 | 轉讓 | Roger Cleveland Golf Company, Inc. | SRI SPORTS LIMITED, com sede em 6-9, Wakinohama-cho 3- chome, Chuo-ku, Kobe-shi, Hyogo, Japan |
| N/046148 | 2010/10/08 | 轉讓 | Roger Cleveland Golf Company, Inc. | SRI SPORTS LIMITED, com sede em 6-9, Wakinohama-cho 3- chome, Chuo-ku, Kobe-shi, Hyogo, Japan |
| N/046149 | 2010/10/08 | 轉讓 | Roger Cleveland Golf Company, Inc. | SRI SPORTS LIMITED, com sede em 6-9, Wakinohama-cho 3- chome, Chuo-ku, Kobe-shi, Hyogo, Japan |
| N/046150 | 2010/10/08 | 轉讓 | Roger Cleveland Golf Company, Inc. | SRI SPORTS LIMITED, com sede em 6-9, Wakinohama-cho 3- chome, Chuo-ku, Kobe-shi, Hyogo, Japan |
| N/046151 | 2010/10/08 | 轉讓 | Roger Cleveland Golf Company, Inc. | SRI SPORTS LIMITED, com sede em 6-9, Wakinohama-cho 3- chome, Chuo-ku, Kobe-shi, Hyogo, Japan |
| N/046152 | 2010/10/08 | 轉讓 | Roger Cleveland Golf Company, Inc. | SRI SPORTS LIMITED, com sede em 6-9, Wakinohama-cho 3- chome, Chuo-ku, Kobe-shi, Hyogo, Japan |
| N/046153 | 2010/10/08 | 轉讓 | Roger Cleveland Golf Company, Inc. | SRI SPORTS LIMITED, com sede em 6-9, Wakinohama-cho 3- chome, Chuo-ku, Kobe-shi, Hyogo, Japan |
| N/046154 | 2010/10/08 | 轉讓 | Roger Cleveland Golf Company, Inc. | SRI SPORTS LIMITED, com sede em 6-9, Wakinohama-cho 3- chome, Chuo-ku, Kobe-shi, Hyogo, Japan |
| N/046155 | 2010/10/08 | 轉讓 | Roger Cleveland Golf Company, Inc. | SRI SPORTS LIMITED, com sede em 6-9, Wakinohama-cho 3- chome, Chuo-ku, Kobe-shi, Hyogo, Japan |
| N/048441 | 2010/10/12 | 更改認別資料 | Lovells LLP | Hogan Lovells International LLP |
| N/048567 | 2010/10/12 | 更改認別資料 | Lovells LLP | Hogan Lovells International LLP |
實用專利之保護
附註
| 程序編號 | 批示日期 | 附註之性質 | 申請人/ 註冊權利人 |
內容 |
| U/000032 | 2010/10/06 | 轉讓 | Thompson B. Patterson, Jr. | eMarker, LLC, com sede em 3616 Hoods Hill Road, Nashville, Tennessee 37215, United States of America |
商標之保護
放棄
| 程序編號 | 商標編號 | 批示日期 | 註冊權利人/申請人之名稱 | 所屬國/ 地區 |
| N/047874 | - | 2010/10/04 | ithk tm limited | VG |
| N/047875 | - | 2010/10/04 | ithk tm limited | VG |
| N/047876 | - | 2010/10/04 | ithk tm limited | VG |
聲明異議
| 程序編號 | 申請日期 | 申請人之名稱 | 所屬國/ 地區 |
聲明異議人之名稱 | 所屬國/ 地區 |
| N/049793 | 2010/10/04 | Zinnia Profit Company Limited | VG | Binda International S.A. | LU |
| N/049798 | 2010/10/04 | Zinnia Profit Company Limited | VG | Binda International S.A. | LU |
| N/049890 | 2010/10/04 | Maple Lodge Farms Ltd. | CA | VICTOR GUEDES-INDUSTRIA E COMÉRCIO, S.A. | PT |
| N/049981 | 2010/09/30 | 施景耀 Si Keng Io |
MO | Associação dos Advogados de Macau | MO |
| N/050064 | 2010/10/04 | TKS s.a. | BE | SWATCH AG (SWATCH SA) (SWATCH LTD) | CH |
| N/050338 | 2010/10/13 | 梁國斌 LEUNG KWOK PUN STEVEN |
MO | 貢茶商行有限公司 ROYAL TEA TAIWAN CO., LTD. |
TW |
| N/050339 | 2010/10/13 | 梁國斌 LEUNG KWOK PUN STEVEN |
MO | 貢茶商行有限公司 ROYAL TEA TAIWAN CO., LTD. |
TW |
答辯
| 程序編號 | 申請日期 | 申請人之名稱 | 所屬國/ 地區 |
聲明異議人之名稱 | 所屬國/ 地區 |
| N/048946 | 2010/09/30 | 徐京諾 XU JINGNUO |
MO | 北京探路者戶外用品股份有限公司 | CN |
| N/048947 | 2010/09/30 | 徐京諾 XU JINGNUO |
MO | 北京探路者戶外用品股份有限公司 | CN |
| N/048948 | 2010/09/30 | 徐京諾 XU JINGNUO |
MO | 北京探路者戶外用品股份有限公司 | CN |
更正
應各申請人/權利人之要求,更正如下:
| 商標編號 | 更正項目 | 原文 | 應改為 |
| N/50675 | 場所(2010年10月6日第40期第二組《澳門特別行政區公報》) | Pierre-Andre L’Epee, 3 Rue Louis-Favre, 2000 Neuchatel, Switzerland | Untermüli 7, 6304 Zug, Switzerland |
二零一零年十月十五日於經濟局
局長 蘇添平



