第 6 期
商標之保護
二零一三年二月六日,星期三
經濟局
通告
商標之保護
公佈
根據經十二月十三日第97/99/M號法令核准之《工業產權法律制度》第十條及第二百一十條之規定,公佈下列在澳門特別行政區提出的商標註冊申請,並按照相同法規第二百一十一條第一款,由通告公佈之日起計兩個月期限內提出聲明異議。
商標編號:N/65555 類別: 9
申請人:Nintendo Co., Ltd.
場所:11-1, Hokotate-cho, Kamitoba, Minami-ku, Kyoto-shi, Kyoto, Japan
國籍:日本
活動:商業及工業
申請日期:2012/05/15
產品:消費類視頻遊戲器具用程式;消費類視頻遊戲機用儲存有程式的電子電路、磁碟、光碟、磁性光碟、磁帶、唯讀記憶卡、唯讀記憶卡匣、唯讀記憶光碟及唯讀記憶數碼雷射影碟;消費類視頻遊戲機用帶有程式的儲存載體;帶液晶顯示屏幕的便攜式遊戲器具用程式;帶液晶顯示屏幕的便攜式遊戲器具用儲存有程式的電子電路、磁碟、光碟、磁性光碟、磁帶、唯讀記憶卡、唯讀記憶卡匣、唯讀記憶光碟及唯讀記憶數碼雷射影碟;帶液晶顯示屏幕的便攜式遊戲器具用帶有程式的儲存載體;遊戲廊種類的視像遊戲機用程式;遊戲廊種類的視像遊戲機用儲存有程式的電子電路、磁碟、光碟、磁性光碟、磁帶、唯讀記憶卡、唯讀記憶卡匣、唯讀記憶光碟及唯讀記憶數碼雷射影碟;遊戲廊種類的視像遊戲機用帶有程式的儲存載體;消費類視頻遊戲器具用可下載或可安裝的程式及附加資料數據;遊戲廊種類的視像遊戲機用可下載或可安裝的程式及附加資料數據;帶液晶顯示屏幕的便攜式遊戲器具用可下載或可安裝的程式及附加資料數據;電腦用可下載或可安裝的程式及附加資料數據;電腦;電腦程式;可下載的電腦程式;儲存電腦程式的電子電路、磁碟、光碟、磁性光碟、磁帶、唯讀記憶卡、唯讀記憶卡匣、唯讀記憶光碟、唯讀記憶數碼雷射影碟;帶有電腦程式的儲存載體;流動電話用遊戲程式;電子器具和機器及有關零件;流動電話;流動電話用零件及配件;流動電話用帶;電訊機器及器具;已錄製的光碟;錄音盤;節拍器;電子樂器用帶自動演出程式的電子電路及唯讀記憶光碟;可下載的音樂檔案;已曝光的電影膠片;已曝光的幻燈片;幻燈片框;可下載的圖像檔案;已錄製的影碟及影帶;電子出版物。
商標構成:

商標編號:N/65556 類別: 16
申請人:Nintendo Co., Ltd.
場所:11-1, Hokotate-cho, Kamitoba, Minami-ku, Kyoto-shi, Kyoto, Japan
國籍:日本
活動:商業及工業
申請日期:2012/05/15
產品:記事簿;機械式鉛筆;鋼筆用盒;文具用品;收藏卡;雜誌(刊物);目錄冊;小冊子;印刷品;印刷彩票(玩具除外);照片;相架;紙製軍旗;紙製旗幟;文具和家庭用膠水及其他黏合劑;電動削鉛筆器。
商標構成:

商標編號:N/65557 類別: 28
申請人:Nintendo Co., Ltd.
場所:11-1, Hokotate-cho, Kamitoba, Minami-ku, Kyoto-shi, Kyoto, Japan
國籍:日本
活動:商業及工業
申請日期:2012/05/15
產品:消費類視頻遊戲器具;消費類視頻遊戲器具用的控制器、操控桿及記憶卡;消費類視頻遊戲器具用的零件及配件;遊戲廊種類的視像遊戲機;遊戲廊種類的視像遊戲機用的零件及配件;紙牌遊戲玩具及其配件;帶液晶顯示屏幕的便攜式遊戲器具;帶液晶顯示屏幕的便攜式遊戲器具用的零件及配件;玩具;洋娃娃;圍棋遊戲;日式象棋(Shogi遊戲);日式遊戲紙牌(Utagaruta);紙牌遊戲及其配件;骰子遊戲;日式骰子遊戲(Sugoroku);骰子遊戲用骰盅;中國跳棋遊戲;國際象棋遊戲;西洋棋(西洋棋遊戲);魔術器具;多米諾骨牌遊戲;紙牌;日式遊戲紙牌(Hanafuda);麻將;遊戲器具及機器;檯球設備;用於遊樂場內的娛樂機器及器具;運動設備。
商標構成:

商標編號:N/65558 類別: 41
申請人:Nintendo Co., Ltd.
場所:11-1, Hokotate-cho, Kamitoba, Minami-ku, Kyoto-shi, Kyoto, Japan
國籍:日本
活動:商業及工業
申請日期:2012/05/15
服務:透過帶液晶顯示屏幕的便攜式遊戲器具以通訊提供圖像;透過遊戲廊種類的視像遊戲機以通訊提供圖像;透過消費類視頻遊戲器具以通訊提供圖像;透過流動電話以通訊提供圖像;透過通訊媒體提供圖像;透過帶液晶顯示屏幕的便攜式遊戲器具以通訊提供繪畫圖像;透過遊戲廊種類的視像遊戲機以通訊提供繪畫圖像;透過消費類視頻遊戲器具以通訊提供繪畫圖像;透過流動電話以通訊提供繪畫圖像;透過通訊媒體提供繪畫圖像;透過帶液晶顯示屏幕的便攜式遊戲器具以通訊提供影片;透過遊戲廊種類的視像遊戲機以通訊提供影片;透過消費類視頻遊戲器具以通訊提供影片;透過流動電話以通訊提供影片;透過通訊媒體提供影片;電影展,電影製作,或電影發行;透過帶液晶顯示屏幕的便攜式遊戲器具以通訊提供音樂及聲音;透過遊戲廊種類的視像遊戲機以通訊提供音樂及聲音;透過消費類視頻遊戲器具以通訊提供音樂及聲音;透過流動電話以通訊提供音樂及聲音;透過通訊媒體提供音樂及聲音;視頻遊戲活動項目的組織、管理或表演;提供娛樂設施;透過帶液晶顯示屏幕的便攜式遊戲器具以通訊提供遊戲;透過遊戲廊種類的視像遊戲機以通訊提供遊戲;透過消費類視頻遊戲器具以通訊提供遊戲;透過流動電話以通訊提供遊戲;透過通訊媒體提供遊戲;提供消費類視頻遊戲器具用遊戲;提供帶液晶顯示屏幕的便攜式遊戲器具用遊戲;提供遊戲廊種類的視像遊戲機用遊戲;提供流動電話用遊戲;透過電訊網絡提供遊戲;透過通訊網絡提供遊戲;出租消費類視頻遊戲器具儲存程式用的儲存載體;出租帶液晶顯示屏幕的便攜式遊戲器具儲存程式用的儲存載體;出租遊戲廊種類的視像遊戲機儲存程式用的儲存載體;出租流動電話儲存遊戲程式用的儲存載體;出租消費類視頻遊戲器具或遊戲廊種類的視像遊戲機;出租帶液晶顯示屏幕的便攜式遊戲器具;透過通訊媒體提供電子出版物;提供電子出版物。
商標構成:

商標編號:N/65559 類別: 9
申請人:Nintendo Co., Ltd.
場所:11-1, Hokotate-cho, Kamitoba, Minami-ku, Kyoto-shi, Kyoto, Japan
國籍:日本
活動:商業及工業
申請日期:2012/05/15
產品:消費類視頻遊戲器具用程式;消費類視頻遊戲機用儲存有程式的電子電路、磁碟、光碟、磁性光碟、磁帶、唯讀記憶卡、唯讀記憶卡匣、唯讀記憶光碟及唯讀記憶數碼雷射影碟;消費類視頻遊戲機用帶有程式的儲存載體;帶液晶顯示屏幕的便攜式遊戲器具用程式;帶液晶顯示屏幕的便攜式遊戲器具用儲存有程式的電子電路、磁碟、光碟、磁性光碟、磁帶、唯讀記憶卡、唯讀記憶卡匣、唯讀記憶光碟及唯讀記憶數碼雷射影碟;帶液晶顯示屏幕的便攜式遊戲器具用帶有程式的儲存載體;遊戲廊種類的視像遊戲機用程式;遊戲廊種類的視像遊戲機用儲存有程式的電子電路、磁碟、光碟、磁性光碟、磁帶、唯讀記憶卡、唯讀記憶卡匣、唯讀記憶光碟及唯讀記憶數碼雷射影碟;遊戲廊種類的視像遊戲機用帶有程式的儲存載體;消費類視頻遊戲器具用可下載或可安裝的程式及附加資料數據;遊戲廊種類的視像遊戲機用可下載或可安裝的程式及附加資料數據;帶液晶顯示屏幕的便攜式遊戲器具用可下載或可安裝的程式及附加資料數據;電腦用可下載或可安裝的程式及附加資料數據;電腦;電腦程式;可下載的電腦程式;儲存電腦程式的電子電路、磁碟、光碟、磁性光碟、磁帶、唯讀記憶卡、唯讀記憶卡匣、唯讀記憶光碟、唯讀記憶數碼雷射影碟;帶有電腦程式的儲存載體;流動電話用遊戲程式;電子器具和機器及有關零件;流動電話;流動電話用零件及配件;流動電話用帶;電訊機器及器具;已錄製的光碟;錄音盤;節拍器;電子樂器用帶自動演出程式的電子電路及唯讀記憶光碟;可下載的音樂檔案;已曝光的電影膠片;已曝光的幻燈片;幻燈片框;可下載的圖像檔案;已錄製的影碟及影帶;電子出版物;浴室用秤;測重機;測量或測試的機器及儀器。
商標構成:

商標編號:N/65560 類別: 10
申請人:Nintendo Co., Ltd.
場所:11-1, Hokotate-cho, Kamitoba, Minami-ku, Kyoto-shi, Kyoto, Japan
國籍:日本
活動:商業及工業
申請日期:2012/05/15
產品:人體脂肪測量器(醫用的);人體脂肪電子測量器(醫用的);醫療機器及器具;嬰兒用奶嘴;冰墊(醫用的);三角繃帶;支托繃帶;外科用縫合線;飲食杯(醫用的);移液滴管(醫用的);奶瓶用橡皮奶頭;醫用冰袋;醫用冰袋的支架;嬰兒用奶瓶;護理用真空瓶;醫用棉棒;醫用指套;非化學的避孕用具;人工鼓膜;修復及填塞用材料(非牙科用);睡眠用耳塞;隔音耳塞;工業用美容按摩器具;家庭用電動按摩器;醫用手套;尿盆(醫用的);便盆;耳挖。
商標構成:

商標編號:N/65561 類別: 16
申請人:Nintendo Co., Ltd.
場所:11-1, Hokotate-cho, Kamitoba, Minami-ku, Kyoto-shi, Kyoto, Japan
國籍:日本
活動:商業及工業
申請日期:2012/05/15
產品:記事簿;機械式鉛筆;鋼筆用盒;文具用品;收藏卡;雜誌(刊物);目錄冊;小冊子;印刷品;印刷彩票(玩具除外);照片;相架;紙製軍旗;紙製旗幟;文具和家庭用膠水及其他黏合劑;電動削鉛筆器。
商標構成:

商標編號:N/65562 類別: 28
申請人:Nintendo Co., Ltd.
場所:11-1, Hokotate-cho, Kamitoba, Minami-ku, Kyoto-shi, Kyoto, Japan
國籍:日本
活動:商業及工業
申請日期:2012/05/15
產品:消費類視頻遊戲器具;消費類視頻遊戲器具用的控制器、操控桿及記憶卡;消費類視頻遊戲器具用的零件及配件;遊戲廊種類的視像遊戲機;遊戲廊種類的視像遊戲機用的零件及配件;紙牌遊戲玩具及其配件;帶液晶顯示屏幕的便攜式遊戲器具;帶液晶顯示屏幕的便攜式遊戲器具用的零件及配件;玩具;洋娃娃;圍棋遊戲;日式象棋(Shogi遊戲);日式遊戲紙牌(Utagaruta);紙牌遊戲及其配件;骰子遊戲;日式骰子遊戲(Sugoroku);骰子遊戲用骰盅;中國跳棋遊戲;國際象棋遊戲;西洋棋(西洋棋遊戲);魔術器具;多米諾骨牌遊戲;紙牌;日式遊戲紙牌(Hanafuda);麻將;遊戲器具及機器;檯球設備;用於遊樂場內的娛樂機器及器具;運動設備。
商標構成:

商標編號:N/65563 類別: 41
申請人:Nintendo Co., Ltd.
場所:11-1, Hokotate-cho, Kamitoba, Minami-ku, Kyoto-shi, Kyoto, Japan
國籍:日本
活動:商業及工業
申請日期:2012/05/15
服務:透過帶液晶顯示屏幕的便攜式遊戲器具以通訊提供圖像;透過遊戲廊種類的視像遊戲機以通訊提供圖像;透過消費類視頻遊戲器具以通訊提供圖像;透過流動電話以通訊提供圖像;透過通訊媒體提供圖像;透過帶液晶顯示屏幕的便攜式遊戲器具以通訊提供繪畫圖像;透過遊戲廊種類的視像遊戲機以通訊提供繪畫圖像;透過消費類視頻遊戲器具以通訊提供繪畫圖像;透過流動電話以通訊提供繪畫圖像;透過通訊媒體提供繪畫圖像;透過帶液晶顯示屏幕的便攜式遊戲器具以通訊提供影片;透過遊戲廊種類的視像遊戲機以通訊提供影片;透過消費類視頻遊戲器具以通訊提供影片;透過流動電話以通訊提供影片;透過通訊媒體提供影片;電影展,電影製作,或電影發行;透過帶液晶顯示屏幕的便攜式遊戲器具以通訊提供音樂及聲音;透過遊戲廊種類的視像遊戲機以通訊提供音樂及聲音;透過消費類視頻遊戲器具以通訊提供音樂及聲音;透過流動電話以通訊提供音樂及聲音;透過通訊媒體提供音樂及聲音;視頻遊戲活動項目的組織、管理或表演;提供娛樂設施;透過帶液晶顯示屏幕的便攜式遊戲器具以通訊提供遊戲;透過遊戲廊種類的視像遊戲機以通訊提供遊戲;透過消費類視頻遊戲器具以通訊提供遊戲;透過流動電話以通訊提供遊戲;透過通訊媒體提供遊戲;提供消費類視頻遊戲器具用遊戲;提供帶液晶顯示屏幕的便攜式遊戲器具用遊戲;提供遊戲廊種類的視像遊戲機用遊戲;提供流動電話用遊戲;透過電訊網絡提供遊戲;透過通訊網絡提供遊戲;出租消費類視頻遊戲器具儲存程式用的儲存載體;出租帶液晶顯示屏幕的便攜式遊戲器具儲存程式用的儲存載體;出租遊戲廊種類的視像遊戲機儲存程式用的儲存載體;出租流動電話儲存遊戲程式用的儲存載體;出租消費類視頻遊戲器具或遊戲廊種類的視像遊戲機;出租帶液晶顯示屏幕的便攜式遊戲器具;透過通訊媒體提供電子出版物;提供電子出版物。
商標構成:

商標編號:N/65564 類別: 9
申請人:Aspect Group Limited
場所:5201 Great America Parkway, Suite 270, Santa Clara, CA 95054, USA
國籍:開曼群島
活動:商業
申請日期:2012/05/15
產品:電腦的有形部件(硬件);電腦軟件,包括用於任何電腦化平台遊戲的電腦軟件,包括互聯網在線遊戲,遊戲專用托架,移動裝置及無線裝置;電腦軟件,如用於視頻遊戲開發及操作的遊戲軟件,包括遊戲活動,數學公式,遊戲玩法,聲音效果和其他屬電子記憶裝置的項目;移動裝置的遊戲軟件;無線裝置的遊戲軟件;多媒體互動遊戲程式;電子遊戲機及連接遊戲機的電子系統。
商標構成:

優先權日期:2012/03/30;優先權國家/地區:美國;優先權編號:85585606。
商標編號:N/65565 類別: 9
申請人:Aspect Group Limited
場所:5201 Great America Parkway, Suite 270, Santa Clara, CA 95054, USA
國籍:開曼群島
活動:商業
申請日期:2012/05/15
產品:電腦的有形部件(硬件);電腦軟件,包括用於任何電腦化平台遊戲的電腦軟件,包括互聯網在線遊戲,遊戲專用托架,移動裝置及無線裝置;電腦軟件,如用於視頻遊戲開發及操作的遊戲軟件,包括遊戲活動,數學公式,玩遊戲,聲音效果和其他屬電子記憶裝置的項目;移動裝置的遊戲軟件;無線裝置的遊戲軟件;多媒體互動遊戲程式;電子遊戲機及連接金錢遊戲機的電子系統。
商標構成:

優先權日期:2012/03/30;優先權國家/地區:美國;優先權編號:85585601。
商標編號:N/65566 類別: 9
申請人:Aspect Group Limited
場所:5201 Great America Parkway, Suite 270, Santa Clara, CA 95054, USA
國籍:開曼群島
活動:商業
申請日期:2012/05/15
產品:電腦的有形部件(硬件);電腦軟件,包括用於任何電腦化平台遊戲的電腦軟件,包括互聯網在線遊戲,遊戲專用托架,移動裝置及無線裝置;電腦軟件,如用於視頻遊戲開發及操作的遊戲軟件,包括遊戲活動,數學公式,玩遊戲,聲音效果和其他屬電子記憶裝置的項目;移動裝置的遊戲軟件;無線裝置的遊戲軟件;多媒體互動遊戲程式;電子遊戲機及連接金錢遊戲機的電子系統。
商標構成:

優先權日期:2012/03/30;優先權國家/地區:美國;優先權編號:85585594。
商標編號:N/65567 類別: 9
申請人:Aspect Group Limited
場所:5201 Great America Parkway, Suite 270, Santa Clara, CA 95054, USA
國籍:開曼群島
活動:商業
申請日期:2012/05/15
產品:電腦的有形部件(硬件);電腦軟件,包括用於任何電腦化平台遊戲的電腦軟件,包括互聯網在線遊戲,遊戲專用托架,移動裝置及無線裝置;電腦軟件,如用於視頻遊戲開發及操作的遊戲軟件,包括遊戲活動,數學公式,玩遊戲,聲音效果和其他屬電子記憶裝置的項目;移動裝置的遊戲軟件;無線裝置的遊戲軟件;多媒體互動遊戲程式;電子遊戲機及連接金錢遊戲機的電子系統。
商標構成:

優先權日期:2012/04/03;優先權國家/地區:美國;優先權編號:85588340。
商標編號:N/65568 類別: 9
申請人:Aspect Group Limited
場所:5201 Great America Parkway, Suite 270, Santa Clara, CA 95054, USA
國籍:開曼群島
活動:商業
申請日期:2012/05/15
產品:電腦的有形部件(硬件);電腦軟件,包括用於任何電腦化平台遊戲的電腦軟件,包括互聯網在線遊戲,遊戲專用托架,移動裝置及無線裝置;電腦軟件,如用於視頻遊戲開發及操作的遊戲軟件,包括遊戲活動,數學公式,玩遊戲,聲音效果和其他屬電子記憶裝置的項目;移動裝置的遊戲軟件;無線裝置的遊戲軟件;多媒體互動遊戲程式;電子遊戲機及連接金錢遊戲機的電子系統。
商標構成:

優先權日期:2012/03/30;優先權國家/地區:美國;優先權編號:85585591。
商標編號:N/65569 類別: 9
申請人:Aspect Group Limited
場所:5201 Great America Parkway, Suite 270, Santa Clara, CA 95054, USA
國籍:開曼群島
活動:商業
申請日期:2012/05/15
產品:電腦的有形部件(硬件);電腦軟件,包括用於任何電腦化平台遊戲的電腦軟件,包括互聯網在線遊戲,遊戲專用托架,移動裝置及無線裝置;電腦軟件,如用於視頻遊戲開發及操作的遊戲軟件,包括遊戲活動,數學公式,玩遊戲,聲音效果和其他屬電子記憶裝置的項目;移動裝置的遊戲軟件;無線裝置的遊戲軟件;多媒體互動遊戲程式;電子遊戲機及連接金錢遊戲機的電子系統。
商標構成:

商標編號:N/65570 類別: 9
申請人:Aspect Group Limited
場所:5201 Great America Parkway, Suite 270, Santa Clara, CA 95054, USA
國籍:開曼群島
活動:商業
申請日期:2012/05/15
產品:電腦的有形部件(硬件);電腦軟件,包括用於任何電腦化平台遊戲的電腦軟件,包括互聯網在線遊戲,遊戲專用托架,移動裝置及無線裝置;電腦軟件,如用於視頻遊戲開發及操作的遊戲軟件,包括遊戲活動,數學公式,玩遊戲,聲音效果和其他屬電子記憶裝置的項目;移動裝置的遊戲軟件;無線裝置的遊戲軟件;多媒體互動遊戲程式;電子遊戲機及連接金錢遊戲機的電子系統。
商標構成:

優先權日期:2012/03/30;優先權國家/地區:美國;優先權編號:85585582。
商標編號:N/65571 類別: 9
申請人:Aspect Group Limited
場所:5201 Great America Parkway, Suite 270, Santa Clara, CA 95054, USA
國籍:開曼群島
活動:商業
申請日期:2012/05/15
產品:電腦的有形部件(硬件);電腦軟件,包括用於任何電腦化平台遊戲的電腦軟件,包括互聯網在線遊戲,遊戲專用托架,移動裝置及無線裝置;電腦軟件,如用於視頻遊戲開發及操作的遊戲軟件,包括遊戲活動,數學公式,玩遊戲,聲音效果和其他屬電子記憶裝置的項目;移動裝置的遊戲軟件;無線裝置的遊戲軟件;多媒體互動遊戲程式;電子遊戲機及連接金錢遊戲機的電子系統。
商標構成:

優先權日期:2012/04/02;優先權國家/地區:美國;優先權編號:85586993。
商標編號:N/65572 類別: 9
申請人:Aspect Group Limited
場所:5201 Great America Parkway, Suite 270, Santa Clara, CA 95054, USA
國籍:開曼群島
活動:商業
申請日期:2012/05/15
產品:電腦的有形部件(硬件);電腦軟件,包括用於任何電腦化平台遊戲的電腦軟件,包括互聯網在線遊戲,遊戲專用托架,移動裝置及無線裝置;電腦軟件,如用於視頻遊戲開發及操作的遊戲軟件,包括遊戲活動,數學公式,玩遊戲,聲音效果和其他屬電子記憶裝置的項目;移動裝置的遊戲軟件;無線裝置的遊戲軟件;多媒體互動遊戲程式;電子遊戲機及連接金錢遊戲機的電子系統。
商標構成:

優先權日期:2012/04/02;優先權國家/地區:美國;優先權編號:85587009。
商標編號:N/65573 類別: 28
申請人:Aspect Group Limited
場所:5201 Great America Parkway, Suite 270, Santa Clara, CA 95054 , USA
國籍:開曼群島
活動:商業
申請日期:2012/05/15
產品:遊戲機;遊戲用的便攜單元;及非與電視接收器連用的電子遊戲器具。
商標構成:

優先權日期:2012/03/30;優先權國家/地區:美國;優先權編號:85585606。
商標編號:N/65574 類別: 28
申請人:Aspect Group Limited
場所:5201 Great America Parkway, Suite 270, Santa Clara, CA 95054, USA
國籍:開曼群島
活動:商業
申請日期:2012/05/15
產品:遊戲機;遊戲用的便攜單元;及非與電視接收器連用的電子遊戲器具。
商標構成:

優先權日期:2012/03/30;優先權國家/地區:美國;優先權編號:85585601。
商標編號:N/65575 類別: 28
申請人:Aspect Group Limited
場所:5201 Great America Parkway, Suite 270, Santa Clara, CA 95054, USA
國籍:開曼群島
活動:商業
申請日期:2012/05/15
產品:遊戲機;遊戲用的便攜單元;及非與電視接收器連用的電子遊戲器具。
商標構成:

優先權日期:2012/03/30;優先權國家/地區:美國;優先權編號:85585594。
商標編號:N/65576 類別: 28
申請人:Aspect Group Limited
場所:5201 Great America Parkway, Suite 270, Santa Clara, CA 95054, USA
國籍:開曼群島
活動:商業
申請日期:2012/05/15
產品:遊戲機;遊戲用的便攜單元;及非與電視接收器連用的電子遊戲器具。
商標構成:

優先權日期:2012/04/03;優先權國家/地區:美國;優先權編號:85588340。
商標編號:N/65577 類別: 28
申請人:Aspect Group Limited
場所:5201 Great America Parkway, Suite 270, Santa Clara, CA 95054, USA
國籍:開曼群島
活動:商業
申請日期:2012/05/15
產品:遊戲機;遊戲用的便攜單元;及非與電視接收器連用的電子遊戲器具。
商標構成:

優先權日期:2012/03/30;優先權國家/地區:美國;優先權編號:85585591。
商標編號:N/65578 類別: 28
申請人:Aspect Group Limited
場所:5201 Great America Parkway, Suite 270, Santa Clara, CA 95054, USA
國籍:開曼群島
活動:商業
申請日期:2012/05/15
產品:遊戲機;遊戲用的便攜單元;及非與電視接收器連用的電子遊戲器具。
商標構成:

商標編號:N/65579 類別: 28
申請人:Aspect Group Limited
場所:5201 Great America Parkway, Suite 270, Santa Clara, CA 95054, USA
國籍:開曼群島
活動:商業
申請日期:2012/05/15
產品:遊戲機;遊戲用的便攜單元;及非與電視接收器連用的電子遊戲器具。
商標構成:

優先權日期:2012/03/30;優先權國家/地區:美國;優先權編號:85585582。
商標編號:N/65580 類別: 28
申請人:Aspect Group Limited
場所:5201 Great America Parkway, Suite 270, Santa Clara, CA 95054, USA
國籍:開曼群島
活動:商業
申請日期:2012/05/15
產品:遊戲機;遊戲用的便攜單元;及非與電視接收器連用的電子遊戲器具。
商標構成:

優先權日期:2012/04/02;優先權國家/地區:美國;優先權編號:85586993。
商標編號:N/65581 類別: 28
申請人:Aspect Group Limited
場所:5201 Great America Parkway, Suite 270, Santa Clara, CA 95054, USA
國籍:開曼群島
活動:商業
申請日期:2012/05/15
產品:遊戲機;遊戲用的便攜單元;及非與電視接收器連用的電子遊戲器具。
商標構成:

優先權日期:2012/04/02;優先權國家/地區:美國;優先權編號:85587009。
商標編號:N/65582 類別: 41
申請人:Aspect Group Limited
場所:5201 Great America Parkway, Suite 270, Santa Clara, CA 95054, USA
國籍:開曼群島
活動:商業
申請日期:2012/05/15
服務:與遊戲、在線遊戲及移動裝置遊戲相關的服務;遊戲的多媒體服務;提供在線電子遊戲;提供移動裝置遊戲;向參與網絡遊戲的用戶提供以互聯網和互聯網入口網站為基礎的系統,運作和協調比賽、錦標賽及遊戲巡遊;向參與移動裝置遊戲的用戶提供以移動裝置和移動裝置入口為基礎的系統,運作和協調比賽、錦標賽及遊戲巡遊;提供遊戲方面的諮詢、資訊及顧問服務;含遊戲出售和出租的遊戲服務;發行遊戲方面的多媒體書籍、雜誌、報刊、網絡報刊、網誌、軟件、遊戲、音樂及電子刊物。
商標構成:

優先權日期:2012/03/30;優先權國家/地區:美國;優先權編號:85585601。
商標編號:N/65583 類別: 41
申請人:Aspect Group Limited
場所:5201 Great America Parkway, Suite 270, Santa Clara, CA 95054, USA
國籍:開曼群島
活動:商業
申請日期:2012/05/15
服務:與遊戲、在線遊戲及移動裝置遊戲相關的服務;遊戲的多媒體服務;提供在線電子遊戲;提供移動裝置遊戲;向參與網絡遊戲的用戶提供以互聯網和互聯網入口網站為基礎的系統,運作和協調比賽、錦標賽及遊戲巡遊;向參與移動裝置遊戲的用戶提供以移動裝置和移動裝置入口為基礎的系統,運作和協調比賽、錦標賽及遊戲巡遊;提供遊戲方面的諮詢、資訊及顧問服務;含遊戲出售和出租的遊戲服務;發行遊戲方面的多媒體書籍、雜誌、報刊、網絡報刊、網誌、軟件、遊戲、音樂及電子刊物。
商標構成:

優先權日期:2012/03/30;優先權國家/地區:美國;優先權編號:85585594。
商標編號:N/65584 類別: 41
申請人:Aspect Group Limited
場所:5201 Great America Parkway, Suite 270, Santa Clara, CA 95054, USA
國籍:開曼群島
活動:商業
申請日期:2012/05/15
服務:與遊戲、在線遊戲及移動裝置遊戲相關的服務;遊戲的多媒體服務;提供在線電子遊戲;提供移動裝置遊戲;向參與網絡遊戲的用戶提供以互聯網和互聯網入口網站為基礎的系統,運作和協調比賽、錦標賽及遊戲巡遊;向參與移動裝置遊戲的用戶提供以移動裝置和移動裝置入口為基礎的系統,運作和協調比賽、錦標賽及遊戲巡遊;提供遊戲方面的諮詢、資訊及顧問服務;含遊戲出售和出租的遊戲服務;發行遊戲方面的多媒體書籍、雜誌、報刊、網絡報刊、網誌、軟件、遊戲、音樂及電子刊物。
商標構成:

優先權日期:2012/04/03;優先權國家/地區:美國;優先權編號:85588340。
商標編號:N/65585 類別: 41
申請人:Aspect Group Limited
場所:5201 Great America Parkway, Suite 270, Santa Clara, CA 95054, USA
國籍:開曼群島
活動:商業
申請日期:2012/05/15
服務:與遊戲、在線遊戲及移動裝置遊戲相關的服務;遊戲的多媒體服務;提供在線電子遊戲;提供移動裝置遊戲;向參與網絡遊戲的用戶提供以互聯網和互聯網入口網站為基礎的系統,運作和協調比賽、錦標賽及遊戲巡遊;向參與移動裝置遊戲的用戶提供以移動裝置和移動裝置入口為基礎的系統,運作和協調比賽、錦標賽及遊戲巡遊;提供遊戲方面的諮詢、資訊及顧問服務;含遊戲出售和出租的遊戲服務;發行遊戲方面的多媒體書籍、雜誌、報刊、網絡報刊、網誌、軟件、遊戲、音樂及電子刊物。
商標構成:

優先權日期:2012/03/30;優先權國家/地區:美國;優先權編號:85585591。
商標編號:N/65586 類別: 41
申請人:Aspect Group Limited
場所:5201 Great America Parkway, Suite 270, Santa Clara, CA 95054, USA
國籍:開曼群島
活動:商業
申請日期:2012/05/15
服務:與遊戲、在線遊戲及移動裝置遊戲相關的服務;遊戲的多媒體服務;提供在線電子遊戲;提供移動裝置遊戲;向參與網絡遊戲的用戶提供以互聯網和互聯網入口網站為基礎的系統,運作和協調比賽、錦標賽及遊戲巡遊;向參與移動裝置遊戲的用戶提供以移動裝置和移動裝置入口為基礎的系統,運作和協調比賽、錦標賽及遊戲巡遊;提供遊戲方面的諮詢、資訊及顧問服務;含遊戲出售和出租的遊戲服務;發行遊戲方面的多媒體書籍、雜誌、報刊、網絡報刊、網誌、軟件、遊戲、音樂及電子刊物。
商標構成:

商標編號:N/65587 類別: 41
申請人:Aspect Group Limited
場所:5201 Great America Parkway, Suite 270, Santa Clara, CA 95054, USA
國籍:開曼群島
活動:商業
申請日期:2012/05/15
服務:與遊戲、在線遊戲及移動裝置遊戲相關的服務;遊戲的多媒體服務;提供在線電子遊戲;提供移動裝置遊戲;向參與網絡遊戲的用戶提供以互聯網和互聯網入口網站為基礎的系統,運作和協調比賽、錦標賽及遊戲巡遊;向參與移動裝置遊戲的用戶提供以移動裝置和移動裝置入口為基礎的系統,運作和協調比賽、錦標賽及遊戲巡遊;提供遊戲方面的諮詢、資訊及顧問服務;含遊戲出售和出租的遊戲服務;發行遊戲方面的多媒體書籍、雜誌、報刊、網絡報刊、網誌、軟件、遊戲、音樂及電子刊物。
商標構成:

優先權日期:2012/03/30;優先權國家/地區:美國;優先權編號:85585582。
商標編號:N/65588 類別: 41
申請人:Aspect Group Limited
場所:5201 Great America Parkway, Suite 270, Santa Clara, CA 95054, USA
國籍:開曼群島
活動:商業
申請日期:2012/05/15
服務:與遊戲、在線遊戲及移動裝置遊戲相關的服務;遊戲的多媒體服務;提供在線電子遊戲;提供移動裝置遊戲;向參與網絡遊戲的用戶提供以互聯網和互聯網入口網站為基礎的系統,運作和協調比賽、錦標賽及遊戲巡遊;向參與移動裝置遊戲的用戶提供以移動裝置和移動裝置入口為基礎的系統,運作和協調比賽、錦標賽及遊戲巡遊;提供遊戲方面的諮詢、資訊及顧問服務;含遊戲出售和出租的遊戲服務;發行遊戲方面的多媒體書籍、雜誌、報刊、網絡報刊、網誌、軟件、遊戲、音樂及電子刊物。
商標構成:

優先權日期:2012/04/02;優先權國家/地區:美國;優先權編號:85586993。
商標編號:N/65589 類別: 41
申請人:Aspect Group Limited
場所:5201 Great America Parkway, Suite 270, Santa Clara, CA 95054, USA
國籍:開曼群島
活動:商業
申請日期:2012/05/15
服務:與遊戲、在線遊戲及移動裝置遊戲相關的服務;遊戲的多媒體服務;提供在線電子遊戲;提供移動裝置遊戲;向參與網絡遊戲的用戶提供以互聯網和互聯網入口網站為基礎的系統,運作和協調比賽、錦標賽及遊戲巡遊;向參與移動裝置遊戲的用戶提供以移動裝置和移動裝置入口為基礎的系統,運作和協調比賽、錦標賽及遊戲巡遊;提供遊戲方面的諮詢、資訊及顧問服務;含遊戲出售和出租的遊戲服務;發行遊戲方面的多媒體書籍、雜誌、報刊、網絡報刊、網誌、軟件、遊戲、音樂及電子刊物。
商標構成:

優先權日期:2012/04/02;優先權國家/地區:美國;優先權編號:85587009。
商標編號:N/65590 類別: 35
申請人:GAAD Fashion Creation Limited
場所:New Providence Financial Center, East Bay Street, Suite 1000, Nassau, Bahamas
國籍:巴哈馬
活動:商業
申請日期:2012/05/15
服務:服裝,鞋及帽,靴,鞋子,襯衫,拖鞋,涼鞋,手提袋,包,錢包,零錢包,箱子,手提袋用框,旅行包,口袋錢包,公文包,背包,文件夾,皮革和人造皮革及其製品,毛皮,皮革(鞣製過或鞣製的),大型手提箱,雨傘,掛肩袋,挎包,沙灘袋,信封袋,化妝袋,美容箱, 旅行箱,腰帶,公文箱及公事包,腰袋,卡套,護照套,卡片套,支票夾,鎖匙包,香水,芳香劑,古龍水,梳妝水,精油,皮膚用製劑,面部及身體用製劑,化妝品,化妝粉底,指甲亮澤液,毛髮製劑,髮水,剃鬚用泡沫,男士用鬚後製劑,非醫用梳妝製劑,止汗劑,梳妝間/香水肥皂,手部及嬰兒用香皂,爽身粉,身體用乳霜及乳液,香皂,皂液,沐浴及淋浴 啫喱,浴鹽,沐浴用泡沫,個人用除臭劑,身體用梳妝奶及化妝奶,身體用化妝粉,身體用梳妝油及沐浴和淋浴用化妝油,沐浴和淋浴用化妝製劑,普通金屬及其合金,小五金工具,皮革或人造皮革製旅行用具用普通金屬飾物及及其製品,包和零錢包用普通金屬製飾物,腰帶用金屬扣,非貴重金屬製鑰匙,非貴重金屬製鑰匙圈,普通金屬製扣,普通金屬製字母及數目字,普通金屬製鑰匙環,光學器械和儀器,有度數眼鏡,眼鏡,太陽眼鏡,眼鏡及太陽眼鏡用框及其部件和配件,眼鏡盒,眼鏡鏈,眼鏡繩,放大鏡,鏡片,隱形眼鏡用容器,流動電話,流動電話用箱及盒,流動電話用配件,如電話線和鈴聲,便 携音像系統用盒和箱,便携電腦用盒和箱,科技品用盒和箱,滑鼠墊,貴重金屬及其合金和貴重金屬製品或鍍有貴重金屬的製品,珠寶,人造珠寶,寶石,鐘錶及計時儀器,鐘錶,鐘錶用鐲,鐘錶用帶,鐘錶用鏈,鐘錶用手鐲,掛牆鐘,掛牆鐘用盒,耳環,吊墜,指環,鍊子,項鍊,胸針,手鐲,領帶夾,領帶用別針,袖口鈕,時尚配飾,電子商務宣傳廣告的零售及批發;在線零售服務(電子商務);匯編及管理與電子商務有關的貿易資訊;廣告;為零售目的在通訊媒體上展示產品;在線廣告;在通訊媒體上出租廣告時間;組織以商業或廣告為目的的交易會;替他人推銷;進出口代理及公共關係服務;替第三者的購買服務(為其他企業購買產品和服務);行銷;人事管理諮詢,貿易的重置服務;購物申請行政處理;會計;籌募贊助;貿易管理;貿易行政;辦公室事務;與特許經營有關的貿易諮詢服務;貿易評估,貿易管理輔助,市場調查;市場營銷研究。
商標構成:

商標編號:N/65591 類別: 35
申請人:GAAD Fashion Creation Limited
場所:New Providence Financial Center, East Bay Street, Suite 1000, Nassau, Bahamas
國籍:巴哈馬
活動:商業
申請日期:2012/05/15
服務:服裝,鞋及帽,靴,鞋子,襯衫,拖鞋,涼鞋,手提袋,包,錢包,零錢包,箱子,手提袋用框,旅行包,口袋錢包,公文包,背包,文件夾,皮革和人造皮革及其製品,毛皮,皮革(鞣製過或鞣製的),大型手提箱,雨傘,掛肩袋,挎包,沙灘袋,信封袋,化妝袋,美容箱, 旅行箱,腰帶,公文箱及公事包,腰袋,卡套,護照套,卡片套,支票夾,鎖匙包,香水,芳香劑,古龍水,梳妝水,精油,皮膚用製劑,面部及身體用製劑,化妝品,化妝粉底,指甲亮澤液,毛髮製劑,髮水,剃鬚用泡沫,男士用鬚後製劑,非醫用梳妝製劑,止汗劑,梳妝間/香水肥皂,手部及嬰兒用香皂,爽身粉,身體用乳霜及乳液,香皂,皂液,沐浴及淋浴 啫喱,浴鹽,沐浴用泡沫,個人用除臭劑,身體用梳妝奶及化妝奶,身體用化妝粉,身體用梳妝油及沐浴和淋浴用化妝油,沐浴和淋浴用化妝製劑,普通金屬及其合金,小五金工具,皮革或人造皮革製旅行用具用普通金屬飾物及及其製品,包和零錢包用普通金屬製飾物,腰帶用金屬扣,非貴重金屬製鑰匙,非貴重金屬製鑰匙圈,普通金屬製扣,普通金屬製字母及數目字,普通金屬製鑰匙環,光學器械和儀器,有度數眼鏡,眼鏡,太陽眼鏡,眼鏡及太陽眼鏡用框及其部件和配件,眼鏡盒,眼鏡鏈,眼鏡繩,放大鏡,鏡片,隱形眼鏡用容器,流動電話,流動電話用箱及盒,流動電話用配件,如電話線和鈴聲,便 携音像系統用盒和箱,便携電腦用盒和箱,科技品用盒和箱,滑鼠墊,貴重金屬及其合金和貴重金屬製品或鍍有貴重金屬的製品,珠寶,人造珠寶,寶石,鐘錶及計時儀器,鐘錶,鐘錶用鐲,鐘錶用帶,鐘錶用鏈,鐘錶用手鐲,掛牆鐘,掛牆鐘用盒,耳環,吊墜,指環,鍊子,項鍊,胸針,手鐲,領帶夾,領帶用別針,袖口鈕,時尚配飾,電子商務宣傳廣告的零售及批發;在線零售服務(電子商務);匯編及管理與電子商務有關的貿易資訊;廣告;為零售目的在通訊媒體上展示產品;在線廣告;在通訊媒體上出租廣告時間;組織以商業或廣告為目的的交易會;替他人推銷;進出口代理及公共關係服務;替第三者的購買服務(為其他企業購買產品和服務);行銷;人事管理諮詢,貿易的重置服務;購物申請行政處理;會計;籌募贊助;貿易管理;貿易行政;辦公室事務;與特許經營有關的貿易諮詢服務;貿易評估,貿易管理輔助,市場調查;市場營銷研究。
商標構成:

商標編號:N/65592 類別: 9
申請人:南澳科技有限公司
場所:澳門羅理基博士大馬路223-225號南光大廈14樓F2
國籍:根據澳門法例成立
活動:商業
申請日期:2012/05/15
產品:視像門鈴,平安鐘,停車場電子收費裝置,停車場閘機,出票機,驗票機,自動收費機。
商標構成:

商標編號:N/65593 類別: 43
申請人:WYNN RESORTS HOLDINGS, LLC
場所:3145, Las Vegas Boulevard South, Las Vegas, Nevada 89109, U.S.A.
國籍:美國
活動:商業及工業
申請日期:2012/05/15
服務:提供食物和飲料服務。
商標構成:

商標編號:N/65594 類別: 43
申請人:WYNN RESORTS HOLDINGS, LLC
場所:3145, Las Vegas Boulevard South, Las Vegas, Nevada 89109, U.S.A.
國籍:美國
活動:商業及工業
申請日期:2012/05/15
服務:提供食物和飲料服務。
商標構成:

商標編號:N/65595 類別: 43
申請人:WYNN RESORTS HOLDINGS, LLC
場所:3145, Las Vegas Boulevard South, Las Vegas, Nevada 89109, U.S.A.
國籍:美國
活動:商業及工業
申請日期:2012/05/15
服務:提供食物和飲料服務。
商標構成:

商標編號:N/65596 類別: 30
申請人:昆明卡瓦格博廣告有限公司
場所:中國雲南省昆明市青年路濱江大廈住宅樓19樓W2號
國籍:中國
活動:商業及工業
申請日期:2012/05/15
產品:咖啡;咖啡飲料;巧克力醬;茶;冰茶;茶飲料;糖;巧克力;蜂蜜;餅乾;麵包;穀粉製食品;穀類製品;酵母;以穀物為主的零食小吃;豆漿;以米為主的零食小吃;冰淇林;調味品;食用芳香劑。
商標構成:

商標編號:N/65597 類別: 14
申請人:梁氏手袋廠有限公司
場所:香港新界荃灣沙咀道364-366號萬象工業大厦6樓
國籍:根據香港法例成立
活動:商業及工業
申請日期:2012/05/15
產品:貴重金屬及其合金以及不屬別類的貴重金屬製品或鍍有貴重金屬的物品,珠寶,首飾,寶石,鐘錶和計時儀器。
商標構成:

商標編號:N/65598 類別: 18
申請人:梁氏手袋廠有限公司
場所:香港新界荃灣沙咀道364-366號萬象工業大厦6樓
國籍:根據香港法例成立
活動:商業及工業
申請日期:2012/05/15
產品:皮革及人造皮革,不屬別類的皮革及人造皮革製品,毛皮,箱子及旅行袋,雨傘、陽傘及手杖,鞭和馬具。
商標構成:

商標編號:N/65599 類別: 25
申請人:梁氏手袋廠有限公司
場所:香港新界荃灣沙咀道364-366號萬象工業大厦6樓
國籍:根據香港法例成立
活動:商業及工業
申請日期:2012/05/15
產品:服裝,鞋,帽。
商標構成:

商標編號:N/65600 類別: 29
申請人:梁燦光
場所:澳門紅窗門街38號萬鴻新村十二樓A及B座
國籍:中國
活動:商業
申請日期:2012/05/15
產品:海味、乾貝、魚翅、乾鮑魚、罐頭鮑魚、魚膠、海參、臘腸、肉汁、醃漬。
商標構成:

商標編號:N/65601 類別: 30
申請人:梁燦光
場所:澳門紅窗門街38號萬鴻新村十二樓A及B座
國籍:中國
活動:商業
申請日期:2012/05/15
產品:花生糖、糖果類、杏仁餅類、中式餅類、西式餅類、蛋卷類、麵粉及穀類製品、蟲草雞精、冰糖燕窩。
商標構成:

商標編號:N/65602 類別: 17
申請人:VERSALIS S.p.A.
場所:Piazza Boldrini 1 – 20097 San Donato Milanese (Milão) – Itália
國籍:意大利
活動:商業及工業
申請日期:2012/05/15
產品:不屬別類的橡膠、古塔波膠、樹膠、石棉、雲母及這些原材料的製品,半加工塑料製品,包裝、填充和絕緣用材料,非金屬軟管。
商標構成:

優先權日期:2012/03/23;優先權國家/地區:歐洲聯盟;優先權編號:010754703。
商標編號:N/65603 類別: 1
申請人:VERSALIS S.p.A.
場所:Piazza Boldrini 1 – 20097 San Donato Milanese (Milão) – Itália
國籍:意大利
活動:商業及工業
申請日期:2012/05/15
產品:用於工業、科學、攝影、農業、園藝、森林的化學品,未加工人造合成樹脂,未加工塑料物質,肥料,滅火用合成物,淬火和金屬焊接用製劑,保存食品用化學品,鞣料,工業用黏合劑。
商標構成:

優先權日期:2012/03/23;優先權國家/地區:歐洲聯盟;優先權編號:010754703。
商標編號:N/65604 類別: 17
申請人:VERSALIS S.p.A.
場所:Piazza Boldrini 1 – 20097 San Donato Milanese (Milão) – Itália
國籍:意大利
活動:商業及工業
申請日期:2012/05/15
產品:不屬別類的橡膠、古塔波膠、樹膠、石棉、雲母及這些原材料的製品,半加工塑料製品,包裝、填充和絕緣用材料,非金屬軟管。
商標構成:

優先權日期:2012/01/13;優先權國家/地區:意大利;優先權編號:MI2012C000292。
商標編號:N/65605 類別: 1
申請人:VERSALIS S.p.A.
場所:Piazza Boldrini 1 – 20097 San Donato Milanese (Milão) – Itália
國籍:意大利
活動:商業及工業
申請日期:2012/05/15
產品:用於工業、科學、攝影、農業、園藝、森林的化學品,未加工人造合成樹脂,未加工塑料物質,肥料,滅火用合成物,淬火和金屬焊接用製劑,保存食品用化學品,鞣料,工業用黏合劑。
商標構成:

優先權日期:2012/01/13;優先權國家/地區:意大利;優先權編號:MI2012C000292。
商標編號:N/65606 類別: 3
申請人:Henkel AG & Co. KGaA
場所:Henkelstrasse 67, 40589 Düsseldorf, Alemanha
國籍:德國
活動:商業及工業
申請日期:2012/05/15
產品:香皂,香料,香精油,化妝品,用於護理、清潔、染色、着色、脫色、定型及燙髮的頭髮產品。
商標構成:

商標編號:N/65607 類別: 9
申請人:THE CREATIVE ASSEMBLY LIMITED
場所:27 Great West Road Brentford Middlesex TW8 9BW Reino Unido
國籍:英國
活動:商業
申請日期:2012/05/15
產品:電腦遊戲程式;流動電話用電腦遊戲程式;電腦遊戲軟件;視像遊戲程序;視頻遊戲軟件;視頻遊戲碟片及盒式帶;流動及蜂窩式電話的電腦遊戲軟件;透過全球電腦網絡及無線裝置的可下載圖像、影像及音樂。
商標構成:

商標編號:N/65608 類別: 41
申請人:THE CREATIVE ASSEMBLY LIMITED
場所:27 Great West Road Brentford Middlesex TW8 9BW Reino Unido
國籍:英國
活動:商業
申請日期:2012/05/15
服務:娛樂服務,即提供在線視像遊戲及在線電腦遊戲;透過流動電話提供在線遊戲;提供在線遊戲資訊。
商標構成:

商標編號:N/65609 類別: 9
申請人:Maurice Lacroix SA
場所:Thurgauerstraße 40 8050 Zürich Switzerland
國籍:瑞士
活動:商業及工業
申請日期:2012/05/15
產品:科學、航海、測量、攝影、電影、光學、計重、計量、信號、檢查(監督)、救生和教學用具及儀器;電力傳導、開關、轉換、蓄積、調節或控制用儀器及器具;聲音或影像記錄、傳送或複製用器具;磁性資料載體;自動販賣機和投幣操作機械裝置;收銀機、計算機、資料處理設備及電腦;電子及電氣儀器、器械及裝置及其設備組成,探測、測量及顯示物理現象及物理數值及儲存、顯示及處理資訊之電子零件及配件,電子及電氣零件;時間紀錄器及其零件;測量及檢查(監督)裝置及器械,均包括鐘錶機芯或計時器;鐘錶及鐘錶機芯之檢查運轉及檢查抗震動及碰撞之裝置;鐘錶及鐘錶盒之防水檢測裝置;光學電子顯示器;鐘錶匠及修理人員用之放大鏡。(全屬第9類產品)
商標構成:

商標編號:N/65610 類別: 14
申請人:Maurice Lacroix SA
場所:Thurgauerstraße 40 8050 Zürich Switzerland
國籍:瑞士
活動:商業及工業
申請日期:2012/05/15
產品:貴金屬及其合金以及不屬別類之貴重金屬製品或鍍有貴重金屬之物品;珠寶、寶石;鐘錶及計時儀器。(全屬第14類產品)
商標構成:

商標編號:N/65611 類別: 35
申請人:Maurice Lacroix SA
場所:Thurgauerstraße 40 8050 Zürich Switzerland
國籍:瑞士
活動:商業及工業
申請日期:2012/05/15
服務:廣告;企業管理;企業經營;事務處理;有關下列產品之零售或批發:科學、航海、測量、攝影、電影、光學、計重、計量、信號、檢查(監督)、救生和教學用具及儀器,電力傳導、開關、轉換、蓄積、調節或控制用儀器及器具,聲音或影像記錄、傳送或複製用器具、磁性資料載體,自動販賣機和投幣操作機械裝置,收銀機,計算機,資料處理設備及電腦,電子及電氣儀器、器械、器具及設備,及探測、測量及顯示物理現象及物理數值及儲存、顯示及處理資訊之零件及配件,電子及電氣零件,時間紀錄器及其零件,測量及檢查(監督)裝置及器械,包括鐘錶儀器或計時器機制,鐘錶及鐘錶儀器及機制之測試功能及抗震動及碰撞之裝置,鐘錶及鐘錶盒之耐水性檢測裝置,光學電子顯示器,鐘錶匠及鐘錶修理用之放大鏡,貴金屬及其合金以及不屬別類之貴重金屬製品或鍍有貴重金屬之物品,珠寶,寶石,鐘錶及計時儀器,以及與之相關的線上及目錄郵購服務。(全屬第35類服務)
商標構成:

商標編號:N/65612 類別: 37
申請人:Maurice Lacroix SA
場所:Thurgauerstraße 40 8050 Zürich Switzerland
國籍:瑞士
活動:商業及工業
申請日期:2012/05/15
服務:計時儀器、電子及電氣設備及其零件之修理及保養,及寶石之修理及保養。(全屬第37類服務)
商標構成:

商標編號:N/65613 類別: 5
申請人:BORYUNG CO., LTD.
場所:Changgyeonggung-Ro 136 (wonnam-dong), Jongro-Gu, Seoul, Korea
國籍:南韓
活動:商業及工業
申請日期:2012/05/16
產品:影響神經系統之藥劑;感覺器官用藥物;抗過敏藥;心血管藥劑;呼吸器官用藥劑;影響消化器官之藥劑;泌尿生殖器官用藥劑;維生素製劑;內分泌系統用藥劑;腫瘤治療用藥劑;醫用抗生素製劑;醫用生物製劑;醫用抗菌製劑;細胞治療用藥劑。
商標構成:

顏色要求:黃綠色、灰藍色、紫藍色,如圖所示。
商標編號:N/65614 類別: 18
申請人:TTNB
場所:90 Rue d’Assas, 75006 Paris, France
國籍:法國
活動:商業及工業
申請日期:2012/05/16
產品:皮革及人造皮革;動物皮,皮及皮革;箱子及旅行箱;袋,尤指手提袋,掛肩袋,購物袋,運動袋,背包,挎包,旅行袋,沙灘袋;帶輪袋,錢袋,公文箱及公文包;錢包,零錢用錢袋及信用卡夾,鑰匙包(皮革製);化妝品用套;旅行套裝(皮革製);雨傘;太陽傘。
商標構成:

商標編號:N/65615 類別: 25
申請人:TTNB
場所:90 Rue d’Assas, 75006 Paris, France
國籍:法國
活動:商業及工業
申請日期:2012/05/16
產品:服裝,襯衣,毛皮(服裝),皮革及人造皮革製服裝,手套,領帶,頭巾,服裝用帶,內衣,鞋,涼鞋,泳衣,平底涼鞋,靴,拖鞋,短靴,短襪,帽,絲襪,腰帶。
商標構成:

商標編號:N/65616 類別: 43
申請人:書香酒店投資管理集團有限公司
場所:中國江蘇省蘇州市平江區景德路366號
國籍:中國
活動:商業及工業
申請日期:2012/05/16
服務:住所(旅館、供膳寄宿處);餐館;茶館;咖啡館;自助餐廳;養老院;旅館預訂;酒吧;汽車旅館;旅遊房屋出租。
商標構成:

商標編號:N/65617 類別: 43
申請人:書香酒店投資管理集團有限公司
場所:中國江蘇省蘇州市平江區景德路366號
國籍:中國
活動:商業及工業
申請日期:2012/05/16
服務:住所(旅館、供膳寄宿處);餐館;茶館;咖啡館;自助餐廳;養老院;旅館預訂;酒吧;汽車旅館;旅遊房屋出租。
商標構成:

商標編號:N/65618 類別: 3
申請人:Bottega Veneta SA
場所:Via Industria 19 - Cadempino, Switzerland
國籍:瑞士
活動:商業及工業
申請日期:2012/05/16
產品:香水;香精;淡香水;古龍水;花露水;鬚後膏;鬚後水;剃鬚乳液;剃鬚膏和泡沫;髮水;洗髮水;護髮素;個人用的精油;美容面膜;乳霜;潤手霜;身體及面部用乳霜;個人用除臭劑;個人用止汗劑;護膚產品;個人用肥皂;香皂;浴皂;浴皂;沐浴和淋浴泡沫;沐浴和淋浴 啫喱;身體用油;身體用乳液;潤膚乳液;口紅;唇彩;撲面粉;眼線筆;胭脂;睫毛膏;眼影;化妝粉底;唇筆;眼線筆;滑石粉;指甲油;牙膏;防曬乳液;皮膚清潔乳;卸妝產品。
商標構成:

商標編號:N/65619 類別: 9
申請人:Bottega Veneta SA
場所:Via Industria 19 - Cadempino, Switzerland
國籍:瑞士
活動:商業及工業
申請日期:2012/05/16
產品:看東西用眼鏡;太陽眼鏡;眼鏡;眼鏡片;眼鏡框;眼鏡盒;專門用於裝載手機的袋和套;MP3播放器;手提電腦;個人數碼助理;照相機及攝錄機。
商標構成:

商標編號:N/65620 類別: 14
申請人:Bottega Veneta SA
場所:Via Industria 19 - Cadempino, Switzerland
國籍:瑞士
活動:商業及工業
申請日期:2012/05/16
產品:貴金屬;首飾盒;胸針(珠寶);手鐲(珠寶);袖口鈕;項鍊(珠寶);耳環(珠寶);領帶夾;戒指(珠寶);飾品(珠寶);時鐘;手錶;袋錶;錶鍊和錶帶;錶盒;鬧鐘;作時計和手錶用的記時器;精密記時計。
商標構成:

商標編號:N/65621 類別: 18
申請人:Bottega Veneta SA
場所:Via Industria 19 - Cadempino, Switzerland
國籍:瑞士
活動:商業及工業
申請日期:2012/05/16
產品:掛肩袋;旅行袋;女用手袋;旅行衣箱;腰袋;行李箱;錢包;公事包;公文箱;包裝用皮袋;書包;皮製或布製購物袋;多用途袋;旅行箱;口袋錢包;鎖匙包(皮具);帶輪袋;背包;空的梳妝袋;手提行李袋;歌劇用袋;非貴重金屬製零錢包;沙灘袋;旅行用西服袋;信用卡皮夾;護照皮夾;雨傘。
商標構成:

商標編號:N/65622 類別: 25
申請人:Bottega Veneta SA
場所:Via Industria 19 - Cadempino, Switzerland
國籍:瑞士
活動:商業及工業
申請日期:2012/05/16
產品:男士、女士和兒童服裝用品,尤指套頭衫,開襟衫,針織衫,球衣,針織上衣,大衣,運動衫,連帽雪衣,泳衣,女式襯衫,襯衫,長褲,牛仔褲,背心,裙子,短褲,T恤,連衣裙,男西服,大衣,雨衣,長大衣,毛皮大衣和夾克,短大衣,連衣裙,晚禮服,西服套裝,無袖上衣,婚紗,緊身襯衫,運動襯衫,正裝襯衫, polo 恤,披肩,工作服,內衣,緊身內衣,背心,襪子和連褲襪,浴袍,披肩,圍巾,領帶,服裝手套,服裝腰帶,鞋,靴,涼鞋,拖鞋,沙灘拖鞋,木屐,帽子和鴨舌帽。
商標構成:

商標編號:N/65623 類別: 18
申請人:Bottega Veneta SA
場所:Via Industria 19 - Cadempino, Switzerland
國籍:瑞士
活動:商業及工業
申請日期:2012/05/16
產品:掛肩袋;旅行袋;女用手袋;旅行衣箱;腰袋;行李箱;錢包;公事包;公文箱;包裝用皮袋;書包;皮製或布製購物袋;多用途袋;旅行箱;口袋錢包;鎖匙包(皮具);帶輪袋;背包;空的梳妝袋;手提行李袋;歌劇用袋;非貴重金屬製零錢包;沙灘袋;旅行用西服袋;信用卡皮夾;護照皮夾;雨傘。
商標構成:

商標編號:N/65624 類別: 16
申請人:Colliers International Property Consultants, Inc.
場所:1209 Orange Street, Wilmington, Delaware 19801, United States of America
國籍:美國
活動:商業及工業
申請日期:2012/05/16
產品:印刷出版物,尤指雜誌,通訊和小冊子,附以與房地產、物業、商業物業、住宅物業、樓宇和企業方面興趣相關的文章與一般主題;印刷教材,尤指課程教材,指南,圖書,講義,表格,評核和手冊;記事本,公文夾,書寫工具。
商標構成:

商標編號:N/65625 類別: 35
申請人:Colliers International Property Consultants, Inc.
場所:1209 Orange Street, Wilmington, Delaware 19801, United States of America
國籍:美國
活動:商業及工業
申請日期:2012/05/16
服務:提供有關房地產、物業、商業物業、住宅物業、樓宇和企業的市場調研和分析服務;拍賣服務。
商標構成:

商標編號:N/65626 類別: 36
申請人:Colliers International Property Consultants, Inc.
場所:1209 Orange Street, Wilmington, Delaware 19801, United States of America
國籍:美國
活動:商業及工業
申請日期:2012/05/16
服務:為他人提供與房地產發展、房地產規劃、房地產項目管理、房地產投資、房地產行政、房地產金融服務、房地產管理、房地產稅務評估、房地產市場、房地產購買和銷售、房地產出租和租賃、房地產評估和估值及房地產經紀相關的顧問和經紀公司服務;為他人提供與商業物業、住宅物業、工業物業、樓宇和企業的發展、規劃、管理、投資、行政、管理、銷售和購買、租賃和出租、評估和估值及收購相關的顧問和經紀公司服務。
商標構成:

商標編號:N/65627 類別: 35
申請人:MONTBLANC-SIMPLO-GmbH
場所:Hellgrundweg 100, 22525 Hambourg, Germany
國籍:德國
活動:商業
申請日期:2012/05/16
服務:為零售而透過 “媒體”(傳媒)介紹以下產品:化妝品,香水,眼鏡,珠寶首飾,藝術品,鐘錶儀器,鐘錶,寶石,貴金屬;書寫工具,墨盒,墨水,日記本,文具,旅行袋,小皮具,錢袋,服裝,服飾配件,圍巾,煙具,家用布品,家庭用具和容器;公關服務;奢侈品廣告服務,尤指化妝品,香水,眼鏡,珠寶首飾,藝術品,鐘錶儀表,鐘錶,寶石,貴金屬,書寫工具,墨盒,墨水,日記本,文具,旅行袋,小皮具,錢袋,服裝,服飾配件,圍巾,煙具,家用布品,家庭用具和容器;奢侈品領域的業務管理和組織諮詢;購買和出售珠寶、寶石、藝術品、和收藏品的業務諮詢。
商標構成:

商標編號:N/65642 類別: 3
申請人:深圳市聯合利群科技有限公司
場所:中國廣東省深圳市羅湖區深南東路2105號中建大廈2406室
國籍:中國
活動:商業及工業
申請日期:2012/05/16
產品:化妝品;香精油;香水;牙膏;洗髮劑;洗面奶;香;非人體用清潔劑;動物用化妝品;人體用清潔劑。
商標構成:

根據經十二月十三日第97/99/M號法令核准之《工業產權法律制度》第十條第一款d)項、第二款及第二百七十五條至第二百七十七條之規定,可於本公佈日起計一個月期限內就下列批示向初級法院提起上訴。
批給
| 程序編號 | 註冊日期 | 批示日期 | 註冊權利人之名稱 | 所屬國/地區 | 分類 |
| N/034898 | 2013/01/15 | 2013/01/15 | 威尼斯人澳門股份有限公司 VENETIAN MACAU, S.A., VENETIAN MACAU LIMITED |
MO | 16 |
| N/034899 | 2013/01/15 | 2013/01/15 | 威尼斯人澳門股份有限公司 VENETIAN MACAU, S.A., VENETIAN MACAU LIMITED |
MO | 35 |
| N/034900 | 2013/01/15 | 2013/01/15 | 威尼斯人澳門股份有限公司 VENETIAN MACAU, S.A., VENETIAN MACAU LIMITED |
MO | 39 |
| N/034901 | 2013/01/15 | 2013/01/15 | 威尼斯人澳門股份有限公司 VENETIAN MACAU, S.A., VENETIAN MACAU LIMITED |
MO | 41 |
| N/034902 | 2013/01/15 | 2013/01/15 | 威尼斯人澳門股份有限公司 VENETIAN MACAU, S.A., VENETIAN MACAU LIMITED |
MO | 43 |
| N/034903 | 2013/01/15 | 2013/01/15 | 威尼斯人澳門股份有限公司 VENETIAN MACAU, S.A., VENETIAN MACAU LIMITED |
MO | 45 |
| N/035260 | 2013/01/15 | 2013/01/15 | 威尼斯人澳門股份有限公司 VENETIAN MACAU, S.A., VENETIAN MACAU LIMITED |
MO | 12 |
| N/035261 | 2013/01/15 | 2013/01/15 | 威尼斯人澳門股份有限公司 VENETIAN MACAU, S.A., VENETIAN MACAU LIMITED |
MO | 12 |
| N/035262 | 2013/01/15 | 2013/01/15 | 威尼斯人澳門股份有限公司 VENETIAN MACAU, S.A., VENETIAN MACAU LIMITED |
MO | 12 |
| N/035263 | 2013/01/15 | 2013/01/15 | 威尼斯人澳門股份有限公司 VENETIAN MACAU, S.A., VENETIAN MACAU LIMITED |
MO | 12 |
| N/045382 | 2013/01/15 | 2013/01/15 | Stichting BDO | NL | 09 |
| N/045383 | 2013/01/15 | 2013/01/15 | Stichting BDO | NL | 16 |
| N/045387 | 2013/01/15 | 2013/01/15 | Stichting BDO | NL | 42 |
| N/060688 | 2013/01/15 | 2013/01/15 | THE WATERSIDE COMPANY LIMITED | MO | 36 |
| N/060689 | 2013/01/15 | 2013/01/15 | THE FOUNTAINSIDE COMPANY LIMITED | MO | 36 |
| N/063081 | 2013/01/15 | 2013/01/15 | Lam Soon Trademark Limited | CK | 30 |
| N/063217 | 2013/01/15 | 2013/01/15 | Studio City Holdings Two Limited | VG | 16 |
| N/063221 | 2013/01/15 | 2013/01/15 | Studio City Holdings Two Limited | VG | 18 |
| N/063223 | 2013/01/15 | 2013/01/15 | Studio City Holdings Two Limited | VG | 20 |
| N/063230 | 2013/01/15 | 2013/01/15 | Studio City Holdings Two Limited | VG | 24 |
| N/063231 | 2013/01/15 | 2013/01/15 | Studio City Holdings Two Limited | VG | 25 |
| N/063237 | 2013/01/15 | 2013/01/15 | Studio City Holdings Two Limited | VG | 28 |
| N/063238 | 2013/01/15 | 2013/01/15 | Studio City Holdings Two Limited | VG | 28 |
| N/063249 | 2013/01/15 | 2013/01/15 | Studio City Holdings Two Limited | VG | 35 |
| N/063250 | 2013/01/15 | 2013/01/15 | Studio City Holdings Two Limited | VG | 35 |
| N/063251 | 2013/01/15 | 2013/01/15 | Studio City Holdings Two Limited | VG | 36 |
| N/063252 | 2013/01/15 | 2013/01/15 | Studio City Holdings Two Limited | VG | 36 |
| N/063256 | 2013/01/15 | 2013/01/15 | Studio City Holdings Two Limited | VG | 38 |
| N/063257 | 2013/01/15 | 2013/01/15 | Studio City Holdings Two Limited | VG | 39 |
| N/063258 | 2013/01/15 | 2013/01/15 | Studio City Holdings Two Limited | VG | 39 |
| N/063261 | 2013/01/15 | 2013/01/15 | Studio City Holdings Two Limited | VG | 41 |
| N/063262 | 2013/01/15 | 2013/01/15 | Studio City Holdings Two Limited | VG | 41 |
| N/063265 | 2013/01/15 | 2013/01/15 | Studio City Holdings Two Limited | VG | 43 |
| N/063266 | 2013/01/15 | 2013/01/15 | Studio City Holdings Two Limited | VG | 43 |
| N/063267 | 2013/01/15 | 2013/01/15 | Studio City Holdings Two Limited | VG | 44 |
| N/063728 | 2013/01/15 | 2013/01/15 | Otsuka Pharmaceutical Factory, Inc. | JP | 05 |
| N/063876 | 2013/01/15 | 2013/01/15 | BASE FORMULA LIMITED | GB | 03 |
| N/063877 | 2013/01/15 | 2013/01/15 | BASE FORMULA LIMITED | GB | 44 |
| N/063891 | 2013/01/15 | 2013/01/15 | MICROSOFT CORPORATION | US | 09 |
| N/063892 | 2013/01/15 | 2013/01/15 | MICROSOFT CORPORATION | US | 35 |
| N/063893 | 2013/01/15 | 2013/01/15 | MICROSOFT CORPORATION | US | 36 |
| N/063894 | 2013/01/15 | 2013/01/15 | MICROSOFT CORPORATION | US | 38 |
| N/063895 | 2013/01/15 | 2013/01/15 | MICROSOFT CORPORATION | US | 42 |
| N/063904 | 2013/01/15 | 2013/01/15 | 廣州視睿電子科技有限公司 | CN | 09 |
| N/063909 | 2013/01/15 | 2013/01/15 | 廣州養和醫藥科技有限公司 | CN | 05 |
| N/063910 | 2013/01/15 | 2013/01/15 | 廣州養和醫藥科技有限公司 | CN | 30 |
| N/063911 | 2013/01/15 | 2013/01/15 | 廣州養和醫藥科技有限公司 | CN | 32 |
| N/063916 | 2013/01/15 | 2013/01/15 | LABORATORIOS FARMACÉUTICOS ROVI, S.A. | ES | 05 |
| N/063917 | 2013/01/15 | 2013/01/15 | LABORATORIOS FARMACÉUTICOS ROVI, S.A. | ES | 05 |
| N/063918 | 2013/01/15 | 2013/01/15 | LABORATORIOS FARMACÉUTICOS ROVI, S.A. | ES | 05 |
| N/063958 | 2013/01/15 | 2013/01/15 | Jean Louis Sebagh | FR | 03 |
| N/063959 | 2013/01/15 | 2013/01/15 | Jean Louis Sebagh | FR | 05 |
| N/063960 | 2013/01/15 | 2013/01/15 | Jeffrey Alan Deane | US | 03 |
| N/063961 | 2013/01/15 | 2013/01/15 | Nathalie Decoster | FR | 06 |
| N/063962 | 2013/01/15 | 2013/01/15 | Nathalie Decoster | FR | 16 |
| N/063963 | 2013/01/15 | 2013/01/15 | Nathalie Decoster | FR | 41 |
| N/063964 | 2013/01/15 | 2013/01/15 | Travellers Exchange Corporation Limited | GB | 09 |
| N/063965 | 2013/01/15 | 2013/01/15 | Travellers Exchange Corporation Limited | GB | 16 |
| N/063966 | 2013/01/15 | 2013/01/15 | Travellers Exchange Corporation Limited | GB | 35 |
| N/063967 | 2013/01/15 | 2013/01/15 | Travellers Exchange Corporation Limited | GB | 36 |
| N/064002 | 2013/01/15 | 2013/01/15 | Mövenpick Holding AG | CH | 29 |
| N/064003 | 2013/01/15 | 2013/01/15 | Mövenpick Holding AG | CH | 30 |
| N/064004 | 2013/01/15 | 2013/01/15 | Mövenpick Holding AG | CH | 43 |
| N/064005 | 2013/01/15 | 2013/01/15 | Zouk Holdings Pte Ltd | SG | 41 |
| N/064006 | 2013/01/15 | 2013/01/15 | 株式會社松井遊戲機 Matsui Gaming Machine Co., Ltd. |
JP | 28 |
| N/064007 | 2013/01/15 | 2013/01/15 | 株式會社松井遊戲機 Matsui Gaming Machine Co., Ltd |
JP | 28 |
| N/064008 | 2013/01/15 | 2013/01/15 | HOT & ROLL HOLDINGS SDN BHD | MY | 43 |
| N/064009 | 2013/01/15 | 2013/01/15 | 金瓶實業有限公司 Golden Cup Industries Limited |
HK | 29 |
| N/064010 | 2013/01/15 | 2013/01/15 | 金瓶實業有限公司 Golden Cup Industries Limited |
HK | 30 |
| N/064011 | 2013/01/15 | 2013/01/15 | 金瓶實業有限公司 Golden Cup Industries Limited |
HK | 31 |
| N/064012 | 2013/01/15 | 2013/01/15 | 金瓶實業有限公司 Golden Cup Industries Limited |
HK | 32 |
| N/064013 | 2013/01/15 | 2013/01/15 | 金瓶實業有限公司 Golden Cup Industries Limited |
HK | 35 |
| N/064014 | 2013/01/15 | 2013/01/15 | 金瓶實業有限公司 Golden Cup Industries Limited |
HK | 43 |
| N/064015 | 2013/01/15 | 2013/01/15 | 金瓶實業有限公司 Golden Cup Industries Limited |
HK | 29 |
| N/064016 | 2013/01/15 | 2013/01/15 | 金瓶實業有限公司 Golden Cup Industries Limited |
HK | 30 |
| N/064017 | 2013/01/15 | 2013/01/15 | 金瓶實業有限公司 Golden Cup Industries Limited |
HK | 31 |
| N/064018 | 2013/01/15 | 2013/01/15 | 金瓶實業有限公司 Golden Cup Industries Limited |
HK | 32 |
| N/064019 | 2013/01/15 | 2013/01/15 | 金瓶實業有限公司 Golden Cup Industries Limited |
HK | 35 |
| N/064020 | 2013/01/15 | 2013/01/15 | 金瓶實業有限公司 Golden Cup Industries Limited |
HK | 43 |
| N/064050 | 2013/01/15 | 2013/01/15 | 北京首都農業集團有限公司 BEIJING CAPITAL AGRIBUSINESS GROUP |
CN | 05 |
| N/064051 | 2013/01/15 | 2013/01/15 | 北京首都農業集團有限公司 BEIJING CAPITAL AGRIBUSINESS GROUP |
CN | 29 |
| N/064052 | 2013/01/15 | 2013/01/15 | 北京首都農業集團有限公司 BEIJING CAPITAL AGRIBUSINESS GROUP |
CN | 30 |
| N/064053 | 2013/01/15 | 2013/01/15 | 北京首都農業集團有限公司 BEIJING CAPITAL AGRIBUSINESS GROUP |
CN | 31 |
| N/064054 | 2013/01/15 | 2013/01/15 | 北京首都農業集團有限公司 BEIJING CAPITAL AGRIBUSINESS GROUP |
CN | 35 |
| N/064055 | 2013/01/15 | 2013/01/15 | 北京首都農業集團有限公司 BEIJING CAPITAL AGRIBUSINESS GROUP |
CN | 36 |
| N/064056 | 2013/01/15 | 2013/01/15 | 北京首都農業集團有限公司 BEIJING CAPITAL AGRIBUSINESS GROUP |
CN | 39 |
| N/064057 | 2013/01/15 | 2013/01/15 | 北京首都農業集團有限公司 BEIJING CAPITAL AGRIBUSINESS GROUP |
CN | 44 |
| N/064183 | 2013/01/15 | 2013/01/15 | Apple Inc. | US | 09 |
| N/064189 | 2013/01/15 | 2013/01/15 | Davidoff & Cie SA | CH | 34 |
| N/064195 | 2013/01/15 | 2013/01/15 | Hospira, Inc. | US | 05 |
| N/064197 | 2013/01/15 | 2013/01/15 | Hospira, Inc. | US | 10 |
| N/064206 | 2013/01/15 | 2013/01/15 | Caesars World, Inc. | US | 25 |
| N/064214 | 2013/01/15 | 2013/01/15 | Friesland Brands B.V. | NL | 05 |
| N/064217 | 2013/01/15 | 2013/01/15 | Friesland Brands B.V. | NL | 05 |
| N/064220 | 2013/01/15 | 2013/01/15 | Friesland Brands B.V. | NL | 05 |
| N/064223 | 2013/01/15 | 2013/01/15 | Friesland Brands B.V. | NL | 05 |
| N/064226 | 2013/01/15 | 2013/01/15 | Friesland Brands B.V. | NL | 05 |
| N/064229 | 2013/01/15 | 2013/01/15 | Friesland Brands B.V. | NL | 05 |
| N/064237 | 2013/01/15 | 2013/01/15 | Friesland Brands B.V. | NL | 05 |
| N/064250 | 2013/01/15 | 2013/01/15 | NOVARTIS AG | CH | 05 |
| N/064251 | 2013/01/15 | 2013/01/15 | ELS Educational Services, Inc. | US | 35 |
| N/064252 | 2013/01/15 | 2013/01/15 | ELS Educational Services, Inc. | US | 41 |
| N/064294 | 2013/01/15 | 2013/01/15 | BEIJING JINGDONG 360 DU E-COMMERCE LTD. | CN | 39 |
| N/064297 | 2013/01/15 | 2013/01/15 | Shuffle Master, Inc. | US | 41 |
| N/064301 | 2013/01/15 | 2013/01/15 | ACE SAS | FR | 11 |
| N/064302 | 2013/01/15 | 2013/01/15 | ACE SAS | FR | 11 |
| N/064306 | 2013/01/15 | 2013/01/15 | NETWORK BOX CORPORATION LIMITED | HK | 09 |
| N/064316 | 2013/01/15 | 2013/01/15 | Ajinomoto Co., Inc. | JP | 05 |
| N/064317 | 2013/01/15 | 2013/01/15 | Ajinomoto Co., Inc. | JP | 05 |
| N/064319 | 2013/01/15 | 2013/01/15 | JOINT PUBLISHING (HONG KONG) COMPANY LIMITED | HK | 41 |
| N/064329 | 2013/01/15 | 2013/01/15 | Uni-Charm Corporation | JP | 05 |
| N/064330 | 2013/01/15 | 2013/01/15 | HONG KONG INTELLECTUAL PROPERTY ASSOCIATION LIMITED | HK | 41 |
| N/064331 | 2013/01/15 | 2013/01/15 | HONG KONG INTELLECTUAL PROPERTY ASSOCIATION LIMITED | HK | 42 |
| N/064333 | 2013/01/15 | 2013/01/15 | 晶苑馬田(香港)有限公司 CRYSTAL MARTIN (HONG KONG) LTD. |
HK | 25 |
| N/064334 | 2013/01/15 | 2013/01/15 | 晶苑馬田(香港)有限公司 CRYSTAL MARTIN (HONG KONG) LTD. |
HK | 25 |
| N/064337 | 2013/01/15 | 2013/01/15 | XJT Healthy Life Group Limited | HK | 03 |
| N/064338 | 2013/01/15 | 2013/01/15 | XJT Healthy Life Group Limited | HK | 03 |
| N/064339 | 2013/01/15 | 2013/01/15 | XJT Healthy Life Group Limited | HK | 03 |
| N/064360 | 2013/01/15 | 2013/01/15 | 四川省瀘州原窖酒廠 | CN | 33 |
| N/064361 | 2013/01/15 | 2013/01/15 | 重慶合川鹽化工業有限公司 | CN | 01 |
| N/064444 | 2013/01/15 | 2013/01/15 | BJORN BORG BRANDS AB | SE | 03 |
| N/064445 | 2013/01/15 | 2013/01/15 | BJORN BORG BRANDS AB | SE | 09 |
| N/064446 | 2013/01/15 | 2013/01/15 | BJORN BORG BRANDS AB | SE | 18 |
| N/064447 | 2013/01/15 | 2013/01/15 | BJORN BORG BRANDS AB | SE | 25 |
| N/064448 | 2013/01/15 | 2013/01/15 | BJORN BORG BRANDS AB | SE | 28 |
| N/064449 | 2013/01/15 | 2013/01/15 | Dr. Ing. h.c. F. Porsche Aktiengesellschaft | DE | 12 |
| N/064455 | 2013/01/15 | 2013/01/15 | NILFISK-ADVANCE A/S | DK | 07 |
| N/064456 | 2013/01/15 | 2013/01/15 | NILFISK-ADVANCE A/S | DK | 07 |
| N/064457 | 2013/01/15 | 2013/01/15 | NILFISK-ADVANCE A/S | DK | 07 |
| N/064458 | 2013/01/15 | 2013/01/15 | 深圳市伊絲艾拉服飾有限公司 | CN | 25 |
| N/064459 | 2013/01/15 | 2013/01/15 | 越村哲男 KOSHIMURA TETSUO |
JP | 11 |
| N/064460 | 2013/01/15 | 2013/01/15 | 哈藥集團三精製藥股份有限公司 | CN | 05 |
| N/064461 | 2013/01/15 | 2013/01/15 | 哈藥集團三精製藥股份有限公司 | CN | 30 |
| N/064462 | 2013/01/15 | 2013/01/15 | 威海環翠樓紅參有限公司 | CN | 03 |
| N/064463 | 2013/01/15 | 2013/01/15 | 威海環翠樓紅參有限公司 | CN | 05 |
| N/064464 | 2013/01/15 | 2013/01/15 | 威海環翠樓紅參有限公司 | CN | 30 |
| N/064465 | 2013/01/15 | 2013/01/15 | 威海環翠樓紅參有限公司 | CN | 32 |
| N/064466 | 2013/01/15 | 2013/01/15 | 蕭伊 XIAO YI |
MO | 30 |
| N/064467 | 2013/01/15 | 2013/01/15 | 許偉雄 XU WEI XIONG |
MO | 25 |
| N/064468 | 2013/01/15 | 2013/01/15 | 許偉雄 XU WEI XIONG |
MO | 35 |
| N/064469 | 2013/01/15 | 2013/01/15 | SUAREZ H, S.A. | ES | 03 |
| N/064470 | 2013/01/15 | 2013/01/15 | SUAREZ H, S.A. | ES | 14 |
| N/064471 | 2013/01/15 | 2013/01/15 | SUAREZ H, S.A. | ES | 18 |
| N/064472 | 2013/01/15 | 2013/01/15 | EXPRESS, LLC | US | 03 |
| N/064473 | 2013/01/15 | 2013/01/15 | JOHNSON & JOHNSON | US | 05 |
| N/064474 | 2013/01/15 | 2013/01/15 | Icone Comunicações Sociedade Unipessoal Limitada | MO | 35 |
| N/064475 | 2013/01/15 | 2013/01/15 | Icone Comunicações Sociedade Unipessoal Limitada | MO | 42 |
| N/064476 | 2013/01/15 | 2013/01/15 | ETABLISSEMENTS TIFFON SA | FR | 33 |
| N/064482 | 2013/01/15 | 2013/01/15 | A2 Corporation Limited | NZ | 05 |
| N/064483 | 2013/01/15 | 2013/01/15 | A2 Corporation Limited | NZ | 29 |
| N/064492 | 2013/01/15 | 2013/01/15 | FAZZINI SPA | IT | 24 |
| N/064494 | 2013/01/15 | 2013/01/15 | Lashou HK Limited | HK | 09 |
| N/064495 | 2013/01/15 | 2013/01/15 | Lashou HK Limited | HK | 35 |
| N/064496 | 2013/01/15 | 2013/01/15 | Lashou HK Limited | HK | 09 |
| N/064497 | 2013/01/15 | 2013/01/15 | Lashou HK Limited | HK | 35 |
| N/064498 | 2013/01/15 | 2013/01/15 | Lashou HK Limited | HK | 09 |
| N/064499 | 2013/01/15 | 2013/01/15 | Lashou HK Limited | HK | 35 |
| N/064511 | 2013/01/15 | 2013/01/15 | NELLY WENGER ASSOCIATES SARL | CH | 39 |
| N/064512 | 2013/01/15 | 2013/01/15 | NELLY WENGER ASSOCIATES SARL | CH | 41 |
| N/064521 | 2013/01/15 | 2013/01/15 | 吳前海 NG CHAN HOI |
MO | 43 |
| N/064525 | 2013/01/15 | 2013/01/15 | K8 S.r.l. | IT | 18 |
| N/064526 | 2013/01/15 | 2013/01/15 | K8 S.r.l. | IT | 25 |
| N/064527 | 2013/01/15 | 2013/01/15 | ZMD S.p.A. | IT | 25 |
| N/064528 | 2013/01/15 | 2013/01/15 | ZMD S.p.A. | IT | 35 |
| N/064529 | 2013/01/15 | 2013/01/15 | Montres Tudor SA | CH | 14 |
| N/064530 | 2013/01/15 | 2013/01/15 | Montres Tudor SA | CH | 14 |
| N/064531 | 2013/01/15 | 2013/01/15 | Montres Tudor SA | CH | 14 |
| N/064532 | 2013/01/15 | 2013/01/15 | Montres Tudor SA | CH | 14 |
| N/064539 | 2013/01/15 | 2013/01/15 | Maruho Co., Ltd. | JP | 05 |
| N/064540 | 2013/01/15 | 2013/01/15 | Maruho Co., Ltd. | JP | 42 |
| N/064541 | 2013/01/15 | 2013/01/15 | Maruho Co., Ltd. | JP | 05 |
| N/064542 | 2013/01/15 | 2013/01/15 | Maruho Co., Ltd. | JP | 42 |
| N/064543 | 2013/01/15 | 2013/01/15 | Maruho Co., Ltd. | JP | 05 |
| N/064544 | 2013/01/15 | 2013/01/15 | Maruho Co., Ltd. | JP | 42 |
| N/064545 | 2013/01/15 | 2013/01/15 | Maruho Co., Ltd. | JP | 05 |
| N/064546 | 2013/01/15 | 2013/01/15 | Maruho Co., Ltd. | JP | 42 |
| N/064547 | 2013/01/15 | 2013/01/15 | Maruho Co., Ltd. | JP | 05 |
| N/064548 | 2013/01/15 | 2013/01/15 | Maruho Co., Ltd. | JP | 42 |
| N/064549 | 2013/01/15 | 2013/01/15 | 李慧茵 LEE WAI YAN |
MO | 41 |
| N/064550 | 2013/01/15 | 2013/01/15 | 匯保成(集團)有限公司 | MO | 14 |
| N/064551 | 2013/01/15 | 2013/01/15 | 匯保成(集團)有限公司 | MO | 35 |
| N/064554 | 2013/01/15 | 2013/01/15 | CALIDRIS 28 AG | LU | 32 |
| N/064555 | 2013/01/15 | 2013/01/15 | CALIDRIS 28 AG | LU | 32 |
| N/064556 | 2013/01/15 | 2013/01/15 | LICENCIAS Y EXCLUSIVAS TEXTILES, S.A. | ES | 25 |
| N/064558 | 2013/01/15 | 2013/01/15 | Universal Entertainment Corporation | JP | 09 |
| N/064559 | 2013/01/15 | 2013/01/15 | Stag’s Leap Wine Cellars, LLC | US | 33 |
| N/064560 | 2013/01/15 | 2013/01/15 | Stag’s Leap Wine Cellars, LLC | US | 33 |
| N/064561 | 2013/01/15 | 2013/01/15 | Stag’s Leap Wine Cellars, LLC | US | 33 |
| N/064562 | 2013/01/15 | 2013/01/15 | Ste. Michelle Wine Estates Ltd. | US | 33 |
| N/064563 | 2013/01/15 | 2013/01/15 | Ste. Michelle Wine Estates Ltd. | US | 33 |
| N/064566 | 2013/01/15 | 2013/01/15 | 福建省南方佳木茶業有限公司 | CN | 30 |
| N/064567 | 2013/01/15 | 2013/01/15 | 江門市大長江集團有限公司 JIANGMEN DACHANGJIANG GROUP CO., LTD. |
CN | 12 |
| N/064568 | 2013/01/15 | 2013/01/15 | 江門市大長江集團有限公司 JIANGMEN DACHANGJIANG GROUP CO., LTD. |
CN | 12 |
| N/064571 | 2013/01/15 | 2013/01/15 | 北京可藍食品有限公司 | CN | 32 |
| N/064572 | 2013/01/15 | 2013/01/15 | 北京可藍食品有限公司 | CN | 32 |
| N/064575 | 2013/01/15 | 2013/01/15 | BEIJING AIMER LINGERIE CO., LTD | CN | 25 |
| N/064580 | 2013/01/15 | 2013/01/15 | ANGEL PLAYING CARDS CO., LTD. | JP | 28 |
| N/064581 | 2013/01/15 | 2013/01/15 | KOOKAI | FR | 18 |
| N/064582 | 2013/01/15 | 2013/01/15 | Laboratoire Glycel SA | LI | 03 |
| N/064583 | 2013/01/15 | 2013/01/15 | Laboratoire Glycel SA | LI | 05 |
| N/064584 | 2013/01/15 | 2013/01/15 | Laboratoire Glycel SA | LI | 30 |
| N/064585 | 2013/01/15 | 2013/01/15 | Laboratoire Glycel SA | LI | 32 |
| N/064586 | 2013/01/15 | 2013/01/15 | Laboratoire Glycel SA | LI | 03 |
| N/064587 | 2013/01/15 | 2013/01/15 | Laboratoire Glycel SA | LI | 05 |
| N/064588 | 2013/01/15 | 2013/01/15 | Laboratoire Glycel SA | LI | 30 |
| N/064589 | 2013/01/15 | 2013/01/15 | Laboratoire Glycel SA | LI | 32 |
| N/064590 | 2013/01/15 | 2013/01/15 | NATURE`S WAY CO., LTD. | JP | 03 |
| N/064591 | 2013/01/15 | 2013/01/15 | NATURE`S WAY CO., LTD. | JP | 03 |
| N/064592 | 2013/01/15 | 2013/01/15 | NATURE`S WAY CO., LTD. | JP | 21 |
| N/064593 | 2013/01/15 | 2013/01/15 | NATURE`S WAY CO., LTD. | JP | 03 |
| N/064594 | 2013/01/15 | 2013/01/15 | NATURE`S WAY CO., LTD. | JP | 21 |
| N/064595 | 2013/01/15 | 2013/01/15 | 穩滎國際行銷有限公司 WOEN YING INTERNATIONAL MARKETING CO., LTD. |
TW | 34 |
| N/064596 | 2013/01/15 | 2013/01/15 | PANDA, SOCIEDADE DE GESTÃO DE INVESTIMENTOS, LIMITADA | MO | 35 |
| N/064597 | 2013/01/15 | 2013/01/15 | Watson Enterprises Limited | VG | 35 |
| N/064598 | 2013/01/15 | 2013/01/15 | Watson Enterprises Limited | VG | 43 |
| N/064599 | 2013/01/15 | 2013/01/15 | IGT | US | 28 |
| N/064600 | 2013/01/15 | 2013/01/15 | IGT | US | 28 |
| N/064601 | 2013/01/15 | 2013/01/15 | IGT | US | 28 |
| N/064602 | 2013/01/15 | 2013/01/15 | IGT | US | 28 |
| N/064603 | 2013/01/15 | 2013/01/15 | Tod’s S.p.A. | IT | 03 |
| N/064604 | 2013/01/15 | 2013/01/15 | Tod’s S.p.A. | IT | 09 |
| N/064605 | 2013/01/15 | 2013/01/15 | Tod’s S.p.A. | IT | 14 |
| N/064606 | 2013/01/15 | 2013/01/15 | Tod’s S.p.A. | IT | 18 |
| N/064607 | 2013/01/15 | 2013/01/15 | Tod’s S.p.A. | IT | 25 |
| N/064615 | 2013/01/15 | 2013/01/15 | WYNN RESORTS HOLDINGS, LLC | US | 43 |
| N/064623 | 2013/01/15 | 2013/01/15 | ALMAS CHP S.A. | CH | 29 |
| N/064624 | 2013/01/15 | 2013/01/15 | ALMAS CHP S.A. | CH | 43 |
| N/064625 | 2013/01/15 | 2013/01/15 | 婆羅洲石油公司 BORNEO OIL BERHAD |
MY | 43 |
| N/064626 | 2013/01/15 | 2013/01/15 | 婆羅洲石油公司 BORNEO OIL BERHAD |
MY | 43 |
| N/064627 | 2013/01/15 | 2013/01/15 | 婆羅洲石油公司 BORNEO OIL BERHAD |
MY | 43 |
| N/064632 | 2013/01/15 | 2013/01/15 | Chloe S.A.S. | FR | 35 |
| N/064644 | 2013/01/15 | 2013/01/15 | 河南羚銳製藥股份有限公司 | CN | 05 |
| N/064645 | 2013/01/15 | 2013/01/15 | Adler Joailliers SA | CH | 35 |
| N/064646 | 2013/01/15 | 2013/01/15 | Adler Joailliers SA | CH | 41 |
| N/064650 | 2013/01/15 | 2013/01/15 | 古洛布萊株式會社 GLOBERIDE, Inc. |
JP | 25 |
| N/064651 | 2013/01/15 | 2013/01/15 | 古洛布萊株式會社 GLOBERIDE, Inc. |
JP | 28 |
| N/064652 | 2013/01/15 | 2013/01/15 | 古洛布萊株式會社 GLOBERIDE, Inc. |
JP | 09 |
| N/064653 | 2013/01/15 | 2013/01/15 | 古洛布萊株式會社 GLOBERIDE, Inc. |
JP | 21 |
| N/064654 | 2013/01/15 | 2013/01/15 | 古洛布萊株式會社 GLOBERIDE, Inc. |
JP | 25 |
| N/064655 | 2013/01/15 | 2013/01/15 | 古洛布萊株式會社 GLOBERIDE, Inc. |
JP | 28 |
| N/064656 | 2013/01/15 | 2013/01/15 | 古洛布萊株式會社 GLOBERIDE, Inc. |
JP | 28 |
| N/064657 | 2013/01/15 | 2013/01/15 | 古洛布萊株式會社 GLOBERIDE, Inc. |
JP | 28 |
| N/064658 | 2013/01/15 | 2013/01/15 | 古洛布萊株式會社 GLOBERIDE, Inc. |
JP | 28 |
| N/064659 | 2013/01/15 | 2013/01/15 | 古洛布萊株式會社 GLOBERIDE, Inc. |
JP | 18 |
| N/064660 | 2013/01/15 | 2013/01/15 | 古洛布萊株式會社 GLOBERIDE, Inc. |
JP | 28 |
| N/064661 | 2013/01/15 | 2013/01/15 | 古洛布萊株式會社 GLOBERIDE, Inc. |
JP | 18 |
| N/064662 | 2013/01/15 | 2013/01/15 | 古洛布萊株式會社 GLOBERIDE, Inc. |
JP | 28 |
| N/064663 | 2013/01/15 | 2013/01/15 | 古洛布萊株式會社 GLOBERIDE, Inc. |
JP | 28 |
| N/064664 | 2013/01/15 | 2013/01/15 | Rieker Holding AG | CH | 18 |
| N/064665 | 2013/01/15 | 2013/01/15 | Rieker Holding AG | CH | 25 |
| N/064668 | 2013/01/15 | 2013/01/15 | Cutter & Buck Inc. | US | 25 |
| N/064669 | 2013/01/15 | 2013/01/15 | 山東微山湖濕地投資有限公司 Shandong Weishan Lake Wetland Investment Co., Ltd. |
CN | 29 |
| N/064670 | 2013/01/15 | 2013/01/15 | 山東微山湖濕地投資有限公司 Shandong Weishan Lake Wetland Investment Co., Ltd. |
CN | 30 |
| N/064671 | 2013/01/15 | 2013/01/15 | 山東微山湖濕地投資有限公司 Shandong Weishan Lake Wetland Investment Co., Ltd. |
CN | 31 |
| N/064672 | 2013/01/15 | 2013/01/15 | 山東微山湖濕地投資有限公司 Shandong Weishan Lake Wetland Investment Co., Ltd. |
CN | 33 |
| N/064673 | 2013/01/15 | 2013/01/15 | 山東微山湖濕地投資有限公司 Shandong Weishan Lake Wetland Investment Co., Ltd. |
CN | 39 |
| N/064674 | 2013/01/15 | 2013/01/15 | 山東微山湖濕地投資有限公司 Shandong Weishan Lake Wetland Investment Co., Ltd. |
CN | 41 |
| N/064675 | 2013/01/15 | 2013/01/15 | 吳小松 Ng Siu Chung |
MO | 30 |
| N/064680 | 2013/01/15 | 2013/01/15 | 嘉德納丹佛有限公司 GARDNER DENVER, INC. |
US | 07 |
| N/064681 | 2013/01/15 | 2013/01/15 | 匯保成(集團)有限公司 | MO | 41 |
| N/064682 | 2013/01/15 | 2013/01/15 | FBME Bank Limited | CY | 16 |
| N/064683 | 2013/01/15 | 2013/01/15 | FBME Bank Limited | CY | 35 |
| N/064684 | 2013/01/15 | 2013/01/15 | FBME Bank Limited | CY | 36 |
| N/064685 | 2013/01/15 | 2013/01/15 | FBME Bank Limited | CY | 38 |
| N/064686 | 2013/01/15 | 2013/01/15 | FBME Bank Limited | CY | 42 |
| N/064687 | 2013/01/15 | 2013/01/15 | World Vision International | US | 36 |
| N/064688 | 2013/01/15 | 2013/01/15 | World Vision International | US | 09 |
| N/064689 | 2013/01/15 | 2013/01/15 | World Vision International | US | 16 |
| N/064690 | 2013/01/15 | 2013/01/15 | World Vision International | US | 36 |
| N/064691 | 2013/01/15 | 2013/01/15 | World Vision International | US | 41 |
| N/064692 | 2013/01/15 | 2013/01/15 | World Vision International | US | 09 |
| N/064693 | 2013/01/15 | 2013/01/15 | World Vision International | US | 16 |
| N/064694 | 2013/01/15 | 2013/01/15 | World Vision International | US | 36 |
| N/064695 | 2013/01/15 | 2013/01/15 | World Vision International | US | 41 |
| N/064696 | 2013/01/15 | 2013/01/15 | Watson Enterprises Limited | VG | 33 |
| N/064697 | 2013/01/15 | 2013/01/15 | Watson Enterprises Limited | VG | 35 |
| N/064698 | 2013/01/15 | 2013/01/15 | Watson Enterprises Limited | VG | 39 |
| N/064699 | 2013/01/15 | 2013/01/15 | Watson Enterprises Limited | VG | 33 |
| N/064700 | 2013/01/15 | 2013/01/15 | Watson Enterprises Limited | VG | 35 |
| N/064701 | 2013/01/15 | 2013/01/15 | Watson Enterprises Limited | VG | 39 |
| N/064702 | 2013/01/15 | 2013/01/15 | Watson Enterprises Limited | VG | 33 |
| N/064703 | 2013/01/15 | 2013/01/15 | Watson Enterprises Limited | VG | 35 |
| N/064704 | 2013/01/15 | 2013/01/15 | Watson Enterprises Limited | VG | 39 |
| N/064709 | 2013/01/15 | 2013/01/15 | The Cartoon Network, Inc. | US | 09 |
| N/064710 | 2013/01/15 | 2013/01/15 | The Cartoon Network, Inc. | US | 41 |
| N/064711 | 2013/01/15 | 2013/01/15 | SON VO TECHNOLOGY COMPANY LIMITED | MO | 09 |
| N/064712 | 2013/01/15 | 2013/01/15 | SA MAISON JOSEPH DROUHIN | FR | 33 |
| N/064713 | 2013/01/15 | 2013/01/15 | SA MAISON JOSEPH DROUHIN | FR | 33 |
| N/064714 | 2013/01/15 | 2013/01/15 | SA MAISON JOSEPH DROUHIN | FR | 33 |
| N/064715 | 2013/01/15 | 2013/01/15 | VanaH KABUSHIKI KAISHA (also trading as VanaH CO., LTD.) | JP | 32 |
| N/064720 | 2013/01/15 | 2013/01/15 | 廣州鉑威服飾有限公司 | CN | 25 |
| N/064721 | 2013/01/15 | 2013/01/15 | 新時代卡拉OK有限公司 NEWAY KARAOKE BOX LIMITED |
HK | 41 |
| N/064722 | 2013/01/15 | 2013/01/15 | 新時代卡拉OK有限公司 NEWAY KARAOKE BOX LIMITED |
HK | 43 |
| N/064723 | 2013/01/15 | 2013/01/15 | MARS, INCORPORATED | US | 31 |
| N/064724 | 2013/01/15 | 2013/01/15 | MARS, INCORPORATED | US | 31 |
| N/064725 | 2013/01/15 | 2013/01/15 | 廣州增城市廣英服裝有限公司 | CN | 25 |
| N/064726 | 2013/01/15 | 2013/01/15 | 江門市地爾漢宇電器股份有限公司 | CN | 07 |
| N/064728 | 2013/01/15 | 2013/01/15 | 付越 | CN | 33 |
| N/064729 | 2013/01/15 | 2013/01/15 | 付越 | CN | 33 |
| N/064730 | 2013/01/15 | 2013/01/15 | 付越 | CN | 33 |
| N/064731 | 2013/01/15 | 2013/01/15 | 付越 | CN | 33 |
拒絕
| 程序編號 | 批示日期 | 申請人之名稱 | 所屬國/地區 | 分類 | 備註 根據經12月13日第97/99/M號 法令核准之《工業產權法律制度》 |
| N/046120 | 2013/01/15 | Las Vegas Sands Corp. | US | 6 | 第214條第2款b)項,結合第215條第1款。 |
| N/046121 | 2013/01/15 | Las Vegas Sands Corp. | US | 9 | 第214條第2款b)項,結合第215條第1款。 |
| N/046122 | 2013/01/15 | Las Vegas Sands Corp. | US | 14 | 第214條第2款b)項,結合第215條第1款。 |
| N/046123 | 2013/01/15 | Las Vegas Sands Corp. | US | 18 | 第214條第2款b)項,結合第215條第1款。 |
| N/046124 | 2013/01/15 | Las Vegas Sands Corp. | US | 20 | 第214條第2款b)項,結合第215條第1款。 |
| N/046125 | 2013/01/15 | Las Vegas Sands Corp. | US | 21 | 第214條第2款b)項,結合第215條第1款。 |
| N/046126 | 2013/01/15 | Las Vegas Sands Corp. | US | 25 | 第214條第2款b)項,結合第215條第1款。 |
| N/046127 | 2013/01/15 | Las Vegas Sands Corp. | US | 28 | 第214條第2款b)項,結合第215條第1款。 |
| N/046128 | 2013/01/15 | Las Vegas Sands Corp. | US | 32 | 第214條第2款b)項,結合第215條第1款。 |
| N/046129 | 2013/01/15 | Las Vegas Sands Corp. | US | 33 | 第214條第2款b)項,結合第215條第1款。 |
| N/046130 | 2013/01/15 | Las Vegas Sands Corp. | US | 34 | 第214條第2款b)項,結合第215條第1款。 |
| N/046131 | 2013/01/15 | Las Vegas Sands Corp. | US | 35 | 第214條第2款b)項,結合第215條第1款。 |
| N/046132 | 2013/01/15 | Las Vegas Sands Corp. | US | 39 | 第214條第2款b)項,結合第215條第1款。 |
| N/046133 | 2013/01/15 | Las Vegas Sands Corp. | US | 41 | 第214條第2款b)項,結合第215條第1款。 |
| N/046134 | 2013/01/15 | Las Vegas Sands Corp. | US | 43 | 第214條第2款b)項,結合第215條第1款。 |
| N/046135 | 2013/01/15 | Las Vegas Sands Corp. | US | 44 | 第214條第2款b)項,結合第215條第1款。 |
| N/046136 | 2013/01/15 | Las Vegas Sands Corp. | US | 45 | 第214條第2款b)項,結合第215條第1款。 |
| N/061686 | 2013/01/04 | 戴澤鋒 Tai Chak Fong |
MO | 6 | 第214條第1款a)項,結合第9條第1款e)項。 |
| N/063290 | 2013/01/04 | KT & G Corporation | KR | 34 | 第214條第1款a)項,結合第9條第1款e)項。 |
| N/063493 | 2013/01/04 | 楊惠玲 IEONG WAI LENG |
MO | 5 | 第214條第1款a)項,結合第9條第1款e)項。 |
| N/063494 | 2013/01/04 | 楊惠玲 IEONG WAI LENG |
MO | 5 | 第214條第1款a)項,結合第9條第1款e)項。 |
| N/063541 | 2013/01/04 | 澳門上海捲煙廠有限公司 | MO | 34 | 第214條第1款a)項,結合第9條第1款e)項。 |
| N/063704 | 2013/01/04 | 佰年滙川有限公司 | MO | 5 | 第214條第2款a)項。 |
續期
| 程序編號 | ||||||
| P/003581 (3452-M) |
P/003584 (3455-M) |
P/003585 (3456-M) |
P/007064 (9225-M) |
P/009446 (9323-M) |
P/010134 (10027-M) |
P/010248 (10159-M) |
| P/010515 (10419-M) |
P/014500 (14423-M) |
P/014511 (14438-M) |
P/014512 (14439-M) |
P/014513 (14440-M) |
P/014545 (14483-M) |
P/014548 (14486-M) |
| P/014549 (14487-M) |
P/014553 (14491-M) |
P/014554 (14492-M) |
P/014555 (14493-M) |
P/014584 (14523-M) |
P/014588 (14527-M) |
P/014589 (14528-M) |
| P/014590 (14529-M) |
P/014663 (14579-M) |
P/014706 (14631-M) |
P/014707 (14632-M) |
P/014709 (14634-M) |
P/014710 (14635-M) |
P/014711 (14636-M) |
| P/014712 (14637-M) |
P/014713 (14638-M) |
P/014714 (14639-M) |
P/014715 (14640-M) |
P/014716 (14641-M) |
P/014717 (14642-M) |
P/014718 (14643-M) |
| P/014719 (14644-M) |
P/015052 (14959-M) |
P/015115 (15075-M) |
P/015122 (15082-M) |
N/004187 | N/004188 | N/004492 |
| N/004512 | N/016084 | N/016085 | N/016113 | N/016444 | N/016535 | N/016536 |
| N/017008 | N/017009 | N/017010 | N/017011 | N/017012 | N/017013 | N/017014 |
| N/017015 | N/017016 | N/017017 | N/017018 | N/017576 | N/017608 | N/017668 |
| N/017700 | N/017701 | N/017702 | N/017703 | N/017705 | N/017706 | N/017720 |
| N/017757 | N/017911 | N/017912 | N/017913 | N/017914 | N/017915 | N/017916 |
| N/017940 | N/017941 | N/017942 | N/017943 | N/017944 | N/017945 | N/017971 |
| N/018011 | N/018047 | N/018070 | N/018071 | N/018072 | N/018073 | N/018074 |
| N/018075 | N/018076 | N/018077 | N/018078 | N/018079 | N/018080 | N/018081 |
| N/018205 | N/018220 | N/018221 | N/018222 | N/018223 | N/018224 | N/018225 |
| N/018226 | N/018243 | N/018244 | N/018245 | N/018248 | N/018251 | N/018445 |
| N/018450 | N/018451 | N/018452 | N/018481 | N/018506 | N/018507 | N/018508 |
| N/018509 | N/018530 | N/018533 | N/018534 | N/018537 | N/018562 | N/018563 |
| N/018564 | N/018565 | N/018566 | N/018567 | N/018568 | N/018569 | N/018604 |
| N/018605 | N/018606 | N/018607 | N/018608 | N/018609 | N/018718 | N/018719 |
| N/018731 | N/018750 | N/018751 | N/018752 | N/018753 | N/018782 | N/018783 |
| N/018784 | N/018785 | N/018786 | N/018787 | N/018849 | N/018850 | N/018851 |
| N/018852 | N/018853 | N/019061 | N/019281 | N/019282 | N/019433 | N/019434 |
| N/019435 | N/020023 | N/020024 | N/020375 | N/020376 | N/020554 | N/020555 |
| N/020556 | N/020557 | N/020558 | N/020559 | N/020685 | N/070207 | |
附註
| 程序編號 | 批示日期 | 附註之性質 | 申請人/註冊權利人 | 內容 | ||
| P/001529 (1433-M) P/001530 (1434-M) |
P/002070 (1973-M) P/002071 (1974-M) |
2013/01/03 | 更改地址 | Mead Johnson & Company, LLC | 2400 West Lloyd Expressway, Evansville Indiana 47721, United States of America | |
| P/002588 (2484-M) P/003091 (2986-M) P/003092 (2987-M) P/003093 (2988-M) P/003094 (2989-M) P/003951 (3822-M) P/004869 (4730-M) P/004870 (4731-M) P/004871 (4732-M) P/006680 (6468-M) |
P/006681 (6469-M) P/006682 (6470-M) P/014702 (14627-M) P/014703 (14628-M) P/014704 (14629-M) P/014705 (14630-M) P/015128 (15088-M) P/015284 (15190-M) N/012252 |
2013/01/14 | 轉讓 | KRAFT FOODS GLOBAL BRANDS LLC | Kraft Foods Group Brands LLC, com sede em Three Lakes Drive, Northfield, Illinois, 60093, U.S.A. | |
| P/009516 (9393-M) P/009528 (9405-M) P/009529 (9406-M) P/009530 (9407-M) P/009531 (9408-M) |
P/009532 (9409-M) P/009550 (9468-M) P/009551 (9469-M) P/010352 (10262-M) P/010857 (10711-M) |
2013/01/14 | 合併轉讓 | LABORATOIRE GARNIER & CIE. | L’OREAL, Société Anonyme, com sede em 14 rue Royale, 75008 Paris, France | |
| P/012764 (12717-M) |
2013/01/04 | 轉讓 | Sanex Nederland B.V. | Colgate-Palmolive Europe Sàrl, com sede em 13-15 Cours de Rive, 1204 Geneva, Suíça | ||
| P/012764 (12717-M) |
2013/01/04 | 更改地址 | Sanex Nederland B.V. | Leeuwenveldseweg 5 f, 1382 LV Weesp, The Netherlands | ||
| P/014557 (14495-M) P/014560 (14498-M) P/014561 (14499-M) |
2013/01/10 | 更改地址 | CROCODILE INTERNATIONAL PTE LTD. | Crocodile House #07-00, 3 UBI Avenue 3, Singapore 408857, Singapura | ||
| N/000801 N/000803 N/003128 |
2013/01/10 | 轉讓 | Coors Brewing Company | Molson Coors Brewing Company (UK) Limited, com sede em 137 High Street, Burton Upon Trent, Staffordshire, DE14 1JZ, England | ||
| N/004188 | 2013/01/14 | 更改地址 | SEMPERIT REIFEN Gesellschaft m.b.H. | Triester Str. 14, A-2351 Wiener Neudorf, Austria | ||
| N/010732 | 2013/01/04 | 轉讓 | H.L. Foods Limited, sociedade de responsabilidade limitada organizada de acordo com as leis de Inglaterra e País de Gales | Princes Limited, com sede em Royal Liver Building, Pier Head, Liverpool, L3 1NX, England | ||
| N/011614 N/012072 N/012073 |
N/012074 N/012075 |
2013/01/10 | 更改地址 | MSP Singapore Company LLC | 600 North Bridge Road, Unit 10-03/10, Singapore 188778, Singapore | |
| N/011614 N/012072 N/012073 |
N/012074 N/012075 |
2013/01/10 | 轉讓 | MSP Singapore Company LLC | MSD INTERNATIONAL GMBH, com sede em Weystrasse 20, 6000 Lucerne 6, Switzerland | |
| N/011820 N/011821 N/011822 N/011823 N/012406 N/012407 N/012408 N/012409 |
N/012410 N/012411 N/013008 N/013010 N/013011 N/013012 N/013013 |
2013/01/04 | 終止使用許可 | SCL IP Holdings, LLC | 終止 Venetian Orient Limited 使用再許可 | |
| N/011820 N/011821 N/011822 N/011823 N/012406 N/012407 N/012408 N/012409 N/012410 N/012411 N/013008 N/013010 N/013011 N/013012 N/013013 N/016456 |
N/016457 N/016458 N/016459 N/016460 N/016461 N/016462 N/016463 N/016464 N/016465 N/016466 N/016467 N/016468 N/016469 N/016470 N/016471 |
2013/01/04 | 使用再許可 | SCL IP Holdings, LLC | Venetian Macau, S.A., em inglês Venetian Macau Limited | |
| N/011820 N/011821 N/011822 N/011823 N/012406 N/012407 N/012408 N/012409 N/016457 N/016458 N/016459 N/016460 N/016461 N/016462 N/016463 N/016464 |
N/012410 N/012411 N/013008 N/013010 N/013011 N/013012 N/013013 N/016456 N/016465 N/016466 N/016467 N/016468 N/016469 N/016470 N/016471 |
2013/01/04 | 使用再許可 | SCL IP Holdings, LLC | Venetian Oriente, Limitada, em inglês Venetian Orient Limited | |
| N/011820 N/011821 N/011822 N/011823 N/012406 N/012407 N/012408 N/012409 N/012410 N/012411 N/013008 N/013010 N/013011 N/013012 N/013013 N/016456 |
N/016457 N/016458 N/016459 N/016460 N/016461 N/016462 N/016463 N/016464 N/016465 N/016466 N/016467 N/016468 N/016469 N/016470 N/016471 |
2013/01/04 | 知識產權權利出質之給付 | Venetian Macau, S.A., em inglês Venetian Macau Limited | Bank of China Limited, Macau Branch | |
| N/011820 N/011821 N/011822 N/011823 N/012406 N/012407 N/012408 N/012409 N/012410 N/012411 N/013008 N/013010 N/013011 N/013012 N/013013 N/016456 |
N/016457 N/016458 N/016459 N/016460 N/016461 N/016462 N/016463 N/016464 N/016465 N/016466 N/016467 N/016468 N/016469 N/016470 N/016471 |
2013/01/04 | 知識產權權利出質之給付 | Venetian Oriente, Limitada, em inglês Venetian Orient Limited | Bank of China Limited, Macau Branch | |
| N/011820 N/011821 N/011822 N/011823 N/012406 N/012407 N/012408 N/012409 N/016457 N/016458 N/016459 N/016460 N/016461 N/016462 N/016463 N/016464 |
N/012410 N/012411 N/013008 N/013010 N/013011 N/013012 N/013013 N/016456 N/016465 N/016466 N/016467 N/016468 N/016469 N/016470 N/016471 |
2013/01/04 | 使用再許可 | SCL IP Holdings, LLC | Venetian Cotai, S.A., em inglês Venetian Cotai Limited | |
| N/011820 N/011821 N/011822 N/011823 N/012406 N/012407 N/012408 N/012409 N/012410 N/012411 N/013008 N/013010 N/013011 N/013012 N/013013 N/016456 |
N/016457 N/016458 N/016459 N/016460 N/016461 N/016462 N/016463 N/016464 N/016465 N/016466 N/016467 N/016468 N/016469 N/016470 N/016471 |
2013/01/04 | 知識產權權利出質之給付 | Venetian Cotai, S.A., em inglês Venetian Cotai Limited | Bank of China Limited, Macau Branch | |
| N/011820 N/011821 N/011822 N/011823 N/012406 N/012407 N/012408 N/012409 |
N/012410 N/012411 N/013008 N/013010 N/013011 N/013012 N/013013 |
2013/01/04 | 取消質押/出質 | 威尼斯人澳門股份有限公司 Venetian Macau, S.A., em inglês Venetian Macau Limited |
取消知識產權權利出質之給付Bank of Nova Scotia | |
| N/012909 N/012910 N/012911 N/012912 N/012913 |
N/012914 N/012915 N/012916 N/013006 N/013007 |
2013/01/03 | 取消質押/出質 | 威尼斯人澳門股份有限公司 Venetian Macau, S.A., Venetian Macau Limited |
取消知識產權權利出質之給付Bank of Nova Scotia | |
| N/016456 N/016457 N/016458 N/016459 N/016460 N/016461 N/016462 N/016463 |
N/016464 N/016465 N/016466 N/016467 N/016468 N/016469 N/016470 N/016471 |
2013/01/04 | 使用許可 | Las Vegas Sands Corp. | Las Vegas Sands, LLC | |
| N/016456 N/016457 N/016458 N/016459 N/016460 N/016461 N/016462 N/016463 |
N/016464 N/016465 N/016466 N/016467 N/016468 N/016469 N/016470 N/016471 |
2013/01/04 | 使用再許可 | Las Vegas Sands, LLC | SCL IP Holdings, LLC | |
| N/016472 N/016473 N/016474 N/016475 N/016476 N/016477 N/016478 N/016479 |
N/016480 N/016481 N/016482 N/016483 N/016484 N/016485 N/016486 N/016487 |
2013/01/07 | 使用許可 | Las Vegas Sands Corp. | Las Vegas Sands, LLC | |
| N/016472 N/016473 N/016474 N/016475 N/016476 N/016477 N/016478 N/016479 |
N/016480 N/016481 N/016482 N/016483 N/016484 N/016485 N/016486 N/016487 |
2013/01/07 | 使用再許可 | Las Vegas Sands, LLC | SCL IP Holdings, LLC | |
| N/016472 N/016473 N/016474 N/016475 N/016476 N/016477 N/016478 N/016479 |
N/016480 N/016481 N/016482 N/016483 N/016484 N/016485 N/016486 N/016487 |
2013/01/07 | 使用再許可 | SCL IP Holdings, LLC | Venetian Macau, S.A., em inglês Venetian Macau Limited | |
| N/016472 N/016473 N/016474 N/016475 N/016476 N/016477 N/016478 N/016479 |
N/016480 N/016481 N/016482 N/016483 N/016484 N/016485 N/016486 N/016487 |
2013/01/07 | 使用再許可 | SCL IP Holdings, LLC | Venetian Oriente, Limitada, em inglês Venetian Orient Limited | |
| N/016472 N/016473 N/016474 N/016475 N/016476 N/016477 N/016478 N/016479 |
N/016480 N/016481 N/016482 N/016483 N/016484 N/016485 N/016486 N/016487 |
2013/01/07 | 知識產權權利出質之給付 | Venetian Macau, S.A., em inglês Venetian Macau Limited | Bank of China Limited, Macau Branch | |
| N/016472 N/016473 N/016474 N/016475 N/016476 N/016477 N/016478 N/016479 |
N/016480 N/016481 N/016482 N/016483 N/016484 N/016485 N/016486 N/016487 |
2013/01/07 | 知識產權權利出質之給付 | Venetian Oriente, Limitada, em inglês Venetian Orient Limited | Bank of China Limited, Macau Branch | |
| N/016472 N/016473 N/016474 N/016475 N/016476 N/016477 N/016478 N/016479 |
N/016480 N/016481 N/016482 N/016483 N/016484 N/016485 N/016486 N/016487 |
2013/01/07 | 使用再許可 | SCL IP Holdings, LLC | Venetian Cotai, S.A., em inglês Venetian Cotai Limited | |
| N/016472 N/016473 N/016474 N/016475 N/016476 N/016477 N/016478 N/016479 |
N/016480 N/016481 N/016482 N/016483 N/016484 N/016485 N/016486 N/016487 |
2013/01/07 | 知識產權權利出質之給付 | Venetian Cotai, S.A., em inglês Venetian Cotai Limited | Bank of China Limited, Macau Branch | |
| N/017940 N/017941 N/017942 |
N/017943 N/017944 N/017945 |
2013/01/03 | 更改地址 | 綠雪生物工程(深圳)有限公司 | 中國廣東省深圳市寶安區松崗街道東方村大田洋工業區東方大道 | |
| N/017986 N/017987 |
N/017988 N/017989 |
2013/01/03 | 更改地址 | GIKEN TRASTEM KABUSHIKI KAISHA (GIKEN TRASTEM CO., LTD.) | 98, Takeda nishi dangawara-cho, Fushimi-ku, Kyoto 612-8429 Japan | |
| N/018731 | 2013/01/03 | 更改認別資料 | Full Gold Enterprises Limited | 英皇鐘錶珠寶管理服務有限公司 | ||
| N/018750 N/018751 |
N/018752 N/018753 |
2013/01/03 | 更改認別資料 | 東瀛遊旅行社有限公司 Evergloss Tours Company Limited |
東瀛遊旅行社有限公司 | |
| N/018750 N/018751 |
N/018752 N/018753 |
2013/01/03 | 更改地址 | 東瀛遊旅行社有限公司 EGL Tours Company Limited |
15th floor, EGL Tower, 83 Hung To road, Kwun Tong, Kowloon, Hong Kong | |
| N/019433 N/019434 N/019435 |
2013/01/03 | 更改地址 | 勤基集團有限公司 | 香港九龍官塘九龍灣常悅道20號環球工商大廈1014室 | ||
| N/020685 | 2013/01/10 | 更改地址 | CAFFE’ MOLINARI S.p.A. | Modena (MO) Via Francia, 20 Zip Code 41122 Italy | ||
| N/022334 N/022335 |
2013/01/03 | 更改地址 | Vanguard Trademark Holdings USA LLC | 600 Corporate Park Drive, St. Louis, Missouri 63105, United States of America | ||
| N/024231 N/024234 N/024235 N/024236 |
N/024237 N/024238 N/024239 N/024241 |
2013/01/11 | 轉讓 | 威尼斯人澳門股份有限公司 Venetian Macau S.A., em inglês, Venetian Macau Limited |
Las Vegas Sands Corp., com sede em 3355 Las Vegas Boulevard South, Las Vegas, Nevada 89109, U.S.A. | |
| N/024231 N/024234 N/024235 N/024236 N/024237 N/024238 N/024239 N/024241 N/025974 |
N/025975 N/025977 N/025980 N/025981 N/025983 N/025984 N/025986 N/029017 |
2013/01/11 | 使用許可 | Las Vegas Sands Corp. | Las Vegas Sands, LLC | |
| N/024231 N/024234 N/024235 N/024236 N/024237 N/024238 N/024239 N/024241 N/025974 |
N/025975 N/025977 N/025980 N/025981 N/025983 N/025984 N/025986 N/029017 |
2013/01/11 | 使用再許可 | Las Vegas Sands, LLC | SCL IP Holdings, LLC | |
| N/024231 N/024234 N/024235 N/024236 N/024237 N/024238 N/024239 N/024241 N/025968 N/025969 |
N/025972 N/025974 N/025975 N/025977 N/025980 N/025981 N/025983 N/025984 N/025986 N/029017 |
2013/01/11 | 使用再許可 | SCL IP Holdings, LLC | Venetian Macau, S.A., em inglês Venetian Macau Limited | |
| N/024231 N/024234 N/024235 N/024236 N/024237 N/024238 N/024239 N/024241 N/025968 N/025969 |
N/025972 N/025974 N/025975 N/025977 N/025980 N/025981 N/025983 N/025984 N/025986 N/029017 |
2013/01/11 | 使用再許可 | SCL IP Holdings, LLC | Venetian Oriente, Limitada, em inglês Venetian Orient Limited | |
| N/024231 N/024234 N/024235 N/024236 N/024237 N/024238 N/024239 N/024241 N/025968 N/025969 |
N/025972 N/025974 N/025975 N/025977 N/025980 N/025981 N/025983 N/025984 N/025986 N/029017 |
2013/01/11 | 知識產權權利出質之給付 | Venetian Macau, S.A., em inglês Venetian Macau Limited | Bank of China Limited, Macau Branch | |
| N/024231 N/024234 N/024235 N/024236 N/024237 N/024238 N/024239 N/024241 N/025968 N/025969 |
N/025972 N/025974 N/025975 N/025977 N/025980 N/025981 N/025983 N/025984 N/025986 N/029017 |
2013/01/11 | 知識產權權利出質之給付 | Venetian Oriente, Limitada, em inglês Venetian Orient Limited | Bank of China Limited, Macau Branch | |
| N/024231 N/024234 N/024235 N/024236 N/024237 N/024238 N/024239 N/024241 N/025968 N/025969 |
N/025972 N/025974 N/025975 N/025977 N/025980 N/025981 N/025983 N/025984 N/025986 N/029017 |
2013/01/11 | 使用再許可 | SCL IP Holdings, LLC | Venetian Cotai, S.A., em inglês Venetian Cotai Limited | |
| N/024231 N/024234 N/024235 N/024236 N/024237 N/024238 |
N/024239 N/024241 N/025968 N/025969 N/025972 N/029017 |
2013/01/11 | 知識產權權利出質之給付 | Venetian Cotai, S.A., em inglês Venetian Cotai Limited | Bank of China Limited, Macau Branch | |
| N/025969 N/025972 |
2013/01/11 | 終止使用許可 | SCL IP Holdings, LLC | 終止 Venetian Orient Limited 使用再許可 | ||
| N/025974 N/025975 N/025977 N/025980 |
N/025981 N/025983 N/025984 N/025986 |
2013/01/11 | 轉讓 | SCL IP Holdings, LLC | Las Vegas Sands Corp., com sede em 3355 Las Vegas Boulevard South, Las Vegas, Nevada 89109, U.S.A. | |
| N/025974 N/025975 N/025977 N/025980 |
N/025981 N/025983 N/025984 N/025986 |
2013/01/11 | 知識產權權利出質之給付 | Venetian Cotai, S.A., em inglês Venetian Cotai Limited | Bank of China Limited, Macau Branch, com sede em Pequim e sucursal em Macau, na Avenida Doutor Mário Soares, n.º 323 Edifício Banco da China | |
| N/028103 N/028104 |
2013/01/10 | 更改地址 | MUNDO PEQUENO, LIMITADA | Av. da Praia Grande, n.º 409, Edifício China Law, 16.º andar B43, Macau | ||
| N/028105 N/028106 N/028107 |
N/028355 N/028356 N/028357 |
2013/01/10 | 更改地址 | Mundo Pequeno - Entretenimento, Limitada | Av. da Praia Grande, n.º 409, Edifício China Law, 16.º andar B43, Macau | |
| N/028353 N/028354 |
2013/01/10 | 更改地址 | Mundo Pequeno, Limitada | Av. da Praia Grande, n.º 409, Edifício China Law, 16.º andar B43, Macau | ||
| N/032499 | 2013/01/14 | 轉讓 | 威尼斯人澳門股份有限公司 Venetian Macau S.A., em inglês, Venetian Macau Limited |
Las Vegas Sands Corp., com sede em 3355 Las Vegas Boulevard South, Las Vegas, Nevada 89109, U.S.A. | ||
| N/032499 N/035583 N/035584 |
2013/01/14 | 使用許可 | Las Vegas Sands Corp. | Las Vegas Sands, LLC | ||
| N/032499 N/035583 N/035584 |
2013/01/14 | 使用再許可 | Las Vegas Sands, LLC | SCL IP Holdings, LLC | ||
| N/032499 N/035583 N/035584 |
2013/01/14 | 使用再許可 | SCL IP Holdings, LLC | Venetian Macau, S.A., em inglês Venetian Macau Limited | ||
| N/032499 N/035583 N/035584 |
2013/01/14 | 使用再許可 | SCL IP Holdings, LLC | Venetian Oriente, Limitada, em inglês Venetian Orient Limited | ||
| N/032499 N/035583 N/035584 |
2013/01/14 | 知識產權權利出質之給付 | Venetian Macau, S.A., em inglês Venetian Macau Limited | Bank of China Limited, Macau Branch | ||
| N/032499 N/035583 N/035584 |
2013/01/14 | 知識產權權利出質之給付 | Venetian Oriente, Limitada, em inglês Venetian Orient Limited | Bank of China Limited, Macau Branch | ||
| N/032499 N/035583 N/035584 |
2013/01/14 | 使用再許可 | SCL IP Holdings, LLC | Venetian Cotai, S.A., em inglês Venetian Cotai Limited | ||
| N/032499 N/035583 N/035584 |
2013/01/14 | 知識產權權利出質之給付 | Venetian Cotai, S.A., em inglês Venetian Cotai Limited | Bank of China Limited, Macau Branch | ||
| N/034765 N/034766 N/034767 |
2013/01/08 | 轉讓 | 東莞市大聖餐飲管理有限公司 | 東莞市盛和偉業投資有限公司,地址為中國廣東東莞市厚街鎮莞太路河田路段 | ||
| N/035583 N/035584 |
2013/01/14 | 轉讓 | 威尼斯人路氹股份有限公司 Venetian Cotai S.A. (Venetian Cotai Limited) |
Las Vegas Sands Corp., com sede em 3355 Las Vegas Boulevard South, Las Vegas, Nevada 89109, U.S.A. | ||
| N/047417 N/047418 N/047419 N/047420 N/047421 N/047422 N/047423 N/047424 N/047425 N/047426 N/047427 N/047428 N/047429 N/047430 N/047431 N/047432 N/047433 N/047434 N/047435 N/047436 N/047437 N/047438 N/047439 N/047440 N/047441 N/047442 N/047443 N/047444 N/047445 |
N/047446 N/047447 N/047448 N/047449 N/047450 N/047451 N/047452 N/047453 N/047454 N/047455 N/047456 N/047457 N/047458 N/047459 N/047460 N/047461 N/047462 N/047463 N/047464 N/054289 N/054290 N/054291 N/054292 N/054293 N/054294 N/054295 N/054296 N/054297 |
2013/01/08 | 轉讓 | DATUM PACIFIC INC PTE. LTD. | 台灣山二股份有限公司,地址為中國台灣台中市西屯區市政路386號24樓之8 | |
放棄
| 程序編號 | 商標編號 | 批示日期 | 註冊權利人/申請人之名稱 | 所屬國/地區 |
| N/064573 | – | 2013/01/07 | BBY解決方案有限公司 BBY Solutions, Inc. |
US |
宣佈失效之申請
| 程序編號 | 申請日期 | 註冊權利人之名稱 | 所屬國/地區 | 宣布失效申請人之名稱 | 所屬國/地區 |
| N/016989 | 2013/01/04 | 文錦豪 | HK | Chang Iok Wai | MO |
聲明異議
| 程序編號 | 申請日期 | 申請人之名稱 | 所屬國/地區 | 聲明異議人之名稱 | 所屬國/地區 |
| N/065125 | 2013/01/10 | Universal Entertainment Corporation |
JP |
Alibaba Group Holding Limited |
KY |
答辯
| 程序編號 | 申請日期 | 申請人之名稱 | 所屬國/地區 | 聲明異議人之名稱 | 所屬國/地區 |
| N/064135 | 2013/01/11 | NOVO MACAU LANDMARK - SOCIEDADE GESTORA, LIMITADA | MO | The Hongkong Land Company, Limited | HK |
| N/064136 | 2013/01/11 | NOVO MACAU LANDMARK - SOCIEDADE GESTORA, LIMITADA | MO | The Hongkong Land Company, Limited | HK |
| N/064137 | 2013/01/11 | NOVO MACAU LANDMARK - SOCIEDADE GESTORA, LIMITADA | MO | The Hongkong Land Company, Limited | HK |
設計及新型之保護
根據經十二月十三日第97/99/M號法令核准之《工業產權法律制度》第十條第一款d)項、第二款及第二百七十五條至第二百七十七條之規定,可於本公佈日起計一個月期限內就下列批示向初級法院提起上訴。
批給
| 程序編號 | 註冊日期 | 批示日期 | 註冊權利人之名稱 | 所屬國/地區 |
| D/000652 | 2013/01/09 | 2013/01/09 | Nokia Corporation | FI |
| D/000653 | 2013/01/09 | 2013/01/09 | Nokia Corporation | FI |
| D/000654 | 2013/01/09 | 2013/01/09 | Nokia Corporation | FI |
| D/000655 | 2013/01/09 | 2013/01/09 | Nokia Corporation | FI |
| D/000656 | 2013/01/09 | 2013/01/09 | Nokia Corporation | FI |
| D/000657 | 2013/01/09 | 2013/01/09 | Nokia Corporation | FI |
| D/000878 | 2013/01/09 | 2013/01/09 | RICHEMONT INTERNATIONAL SA | CH |
| D/000879 | 2013/01/09 | 2013/01/09 | RICHEMONT INTERNATIONAL SA | CH |
| D/000887 | 2013/01/09 | 2013/01/09 | ROLEX SA | CH |
| D/000888 | 2013/01/09 | 2013/01/09 | ROLEX SA | CH |
| D/000889 | 2013/01/09 | 2013/01/09 | ROLEX SA | CH |
| D/000890 | 2013/01/09 | 2013/01/09 | ROLEX SA | CH |
| D/000891 | 2013/01/09 | 2013/01/09 | ROLEX SA | CH |
| D/000892 | 2013/01/09 | 2013/01/09 | ROLEX SA | CH |
| D/000908 | 2013/01/09 | 2013/01/09 | 宗德工業國際有限公司 Zound Industries International AB |
CH |
授權的發明專利之延伸
公佈
根據經十二月十三日第97/99/M號法令核准之《工業產權法律制度》第十條及第一百二十九至一百三十五條之規定,結合《國家知識產權局與澳門特別行政區經濟局關於在知識產權領域合作的協議》第四條及第五條之規定,公佈下列授權的發明專利申請之延伸。
編號:J/000902
延伸申請日期:2012/10/18
延伸批示日期:2013/01/09
申請人:輝瑞有限公司
國籍:英國
住址/地址:Ramsgate Road, Sandwich, Kent CT13 9NJ, United Kingdom
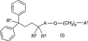
標題:作為毒蕈鹼性受體拮抗劑的碳酰胺衍生物。
摘要:本發明涉及式(I)的化合物、其製備方法和中間體、其作為蕈毒碱拮抗劑的應用、以及含有其的藥物組合物。
內地申請日:2006/09/01
內地專利號:ZL200680034818.9
內地公開日:2008/09/17
內地公告日:2012/07/25
內地公告號:CN 101268046B
分類:C07D207/12, A61K31/397, C07D413/12, A61K31/40, C07D211/46, A61K31/4409, C07D205/04, A61P37/00
| 發明人: | P.A.格洛索普 |
| S.J.曼特爾 | |
| R.S.斯特朗 | |
| C.A.L.沃森 | |
| A.伍德 |
優先權日期:2005/09/21
優先權國家/地區:美國
優先權編號:60/719,467
優先權日期:2005/09/21
優先權國家/地區:美國
優先權編號:60/719,468
優先權日期:2005/09/21
優先權國家/地區:美國
優先權編號:60/719,477
附圖

編號:J/000903
延伸申請日期:2012/10/24
延伸批示日期:2013/01/09
申請人:精工愛普生株式會社
國籍:日本
住址/地址:4-1, Nishi-Shinjuku 2-chome, Shinjuku-ku, Tokyo, Japan
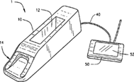
標題:墨盒。
摘要:墨盒包括供墨口,所述供墨口在構造墨水容器體的壁上偏向一側的位置上製成;定位突出部分,該定位突出部分在鄰近壁的兩個相對的壁的一個壁上製成,在支架安裝在記錄裝置上的狀態下,所述壁的上表面和側表面部分被調節在適當的位置;杆,該杆在兩個壁的另一個壁上製成,保持正常的鉸開的狀態並具有一個突出部分,當墨盒安裝在記錄裝置上時,所述突出部分 强制地向外移動;和電極,該電極連接至存儲器單元,所述存儲器單元在墨水容器內的墨水上儲存信息並且在定位突出部分上製成。
內地申請日:2003/08/29
內地專利號:ZL200610142199.7
內地公開日:2007/02/28
內地公告日:2012/08/08
內地公告號:CN 1919613B
分類:B41J2/175
| 發明人: | 橋井一博 |
| 品田聰 | |
| 坂井康人 | |
| 原田和政 | |
| 青木和昭 |
優先權日期:2002/11/26
優先權國家/地區:日本
優先權編號:2002-341826
優先權日期:2003/03/20
優先權國家/地區:日本
優先權編號:2003-076890
優先權日期:2003/03/20
優先權國家/地區:日本
優先權編號:2003-076891
優先權日期:2003/05/06
優先權國家/地區:日本
優先權編號:2003-128049
優先權日期:2003/07/31
優先權國家/地區:日本
優先權編號:2003-204804
附圖

編號:J/000904
延伸申請日期:2012/10/24
延伸批示日期:2013/01/09
申請人:昌達生物科技公司
國籍:美國
住址/地址:Three Innovation Way, Suite 240 Newark, Delware 19711 United States of America
標題:具有增强的穩定性的藥物組合物。
摘要:本發明提供了有效用作肽試劑受控釋放遞送系統的穩定的生物可降解聚合組合物。本發明的組合物包括a)與强酸一起形成的肽試劑的有益鹽,其最小化或阻止有機溶液中 肽試劑和聚合物之間的相互作用/反應;b)生物可降解聚合物;c)藥用有機溶劑;和d)任選地一種或多種賦形劑。本發明還涉及對其進行製備的方法和對其進行使用的方法。
內地申請日:2007/01/16
內地專利號:ZL200780008933.3
內地公開日:2009/04/01
內地公告日:2012/08/29
內地公告號:CN 101400363B
分類:A61K38/00, A61K33/32, A01N59/16
| 發明人: | 李雨華 |
| 簡銘達 |
優先權日期:2006/01/18
優先權國家/地區:美國
優先權編號:60/759,891
編號:J/000905
延伸申請日期:2012/10/25
延伸批示日期:2013/01/09
申請人:輝瑞產品公司
國籍:美國
住址/地址:Eastern Point Rd., Groton, Connecticut 06340, United States of America
標題:含普瑞巴林、基質形成劑和溶脹劑並適於每日口服一次的固體藥物組合物。
摘要:本發明描述了一種含普瑞巴林的固體藥物組合物。該組成物包括基質形成劑和溶脹劑,並適於每日口服一次。基質形成劑的實例包括聚醋酸乙烯酯和聚乙烯基吡咯烷酮的混合物,而溶脹劑的實例包括聚乙烯基 吡咯烷酮的交聯聚合物。
內地申請日:2006/10/23
內地專利號:ZL200680041140.7
內地公開日:2008/12/24
內地公告日:2012/08/29
內地公告號:CN 101330907B
分類:A61K31/197, A61K31/195, A61P25/00, A61K9/20
| 發明人: | 霍華德.諾曼.波克皮爾德 |
| 周雲華 | |
| 史蒂文.戴茨桑蒂亞高 | |
| 瑪濟德.瑪赫魯爾 | |
| 托馬斯.丹尼爾.雷諾茲 | |
| 普施帕.甘納帕蒂.邵 | |
| 澤芝.耶西.邵 | |
| 健生.萬 |
優先權日期:2005/11/02
優先權國家/地區:美國
優先權編號:60/732,589
編號:J/000906
延伸申請日期:2012/10/26
延伸批示日期:2013/01/09
申請人:輝瑞愛爾蘭藥品合夥公司
國籍:愛爾蘭
住址/地址:Operations Support Group, Ringaskiddy, County Cork, Ireland
標題:TNFR-Ig融合蛋白的生產。
摘要:本發明提供在細胞培養物中大規模生產二聚體融合蛋白的改良系統,所述融合蛋白由人(p75)腫瘤壞死因子受體(TNFR)胞外配基結合部分連接至IgG1的Fc部分組成,特別是在具有下列一項或多項特徵的培養基中:i)累積氨基酸濃度大於約70mM;ii)累積谷氨 酰胺與累積天冬酰胺的摩爾比率小於約2;iii)累積谷氨酰胺與累積總氨基酸的摩爾比率小於約0.2;iv)累積無機離子與累積總氨基酸的摩爾比率為約0.4至1;或v)谷氨 酰胺與天冬酰胺的組合累積濃度在約16mM和36mM之間。此類系統的應用使能够產生高水平的蛋白質,並減少某些不良因子如銨鹽和/或乳酸鹽的蓄積。此外,本發明還提供了包括溫度改變的培養方法,通常包括當培養物達到其最大細胞密度約20-80%時降低溫度。備選地或額外地,本發明提供了使培養物中乳酸鹽和/或銨鹽水平達到峰值後降低的方法。
內地申請日:2005/08/26
內地專利號:ZL200580036938.8
內地公開日:2007/10/24
內地公告日:2012/09/26
內地公告號:CN 101061231B
分類:C12P21/02, C12N15/62
| 發明人: | D.德拉波 |
| Y-T.盧安 | |
| J.R.梅瑟 | |
| W.王 | |
| D.R.拉斯科 |
優先權日期:2004/08/27
優先權國家/地區:美國
優先權編號:60/605,379
附圖

編號:J/000907
延伸申請日期:2012/10/29
延伸批示日期:2013/01/09
申請人:百利娛樂公司
國籍:美國
住址/地址:6601 South Bermuda Road, Las Vegas, NV 89119, U.S.A.
標題:方便玩紙牌遊戲的系統、方法和物品。
摘要:基於紙牌將在紙牌輸出接收器上排列的次序,來自紙牌輸入接收器的紙牌在至少第一中間紙牌接收器和第二中間紙牌接收器之間被分配或指向。第二中間紙牌接收器可以包括被安裝以便關於水平軸樞軸移動的無窮陣列的紙牌接收隔間。第一中間紙牌接收器可以包括被安裝以便關於第二水平軸樞軸移動的環形陣列的紙牌接收隔間。該第一中間紙牌接收器可以包括被安裝以便沿垂直軸平移的對角陣列的紙牌接收隔間。
內地申請日:2006/09/12
內地專利號:ZL200680055416.7
內地公開日:2009/10/22
內地公告日:2012/08/29
內地公告號:CN 101563136B
分類:A63F1/12, A63F1/14
發明人:A.弗萊肯斯坦
優先權日期:2006/05/23
優先權國家/地區:美國
優先權編號:60/802,982
優先權日期:2006/06/30
優先權國家/地區:美國
優先權編號:11/428,240
附圖

編號:J/000908
延伸申請日期:2012/10/30
延伸批示日期:2013/01/09
申請人:株式會社mimozax
國籍:日本
住址/地址:4291-1, Miyauchi, Hatsukaichi-shi, Hiroshima 738-0034 Japan
標題:含有來自金合歡屬樹皮的物質的降血糖組合物。
摘要:本發明提供即使長期服用也無需擔心有副作用等的、具有優異的降血糖作用的組合物。本發明的降血糖組合物的特徵在於含有來自金合歡屬樹皮的物質。
內地申請日:2006/08/10
內地專利號:ZL200680055591.6
內地公開日:2009/08/12
內地公告日:2012/09/05
內地公告號:CN 101505778B
分類:A61K36/48, A61K31/353, A23K1/16, A61P3/10, A23L1/30, C07D311/62
| 發明人: | 中本祐昌 |
| 小野啓子 |
優先權日期:2006/08/10
優先權國家/地區:日本
優先權編號:PCT/JP2006/315863
編號:J/000909
延伸申請日期:2012/10/30
延伸批示日期:2013/01/09
申請人:株式會社mimozax
國籍:日本
住址/地址:4291-1, Miyauchi, Hatsukaichi-shi, Hiroshima 738-0034 Japan
標題:含有來自金合歡屬樹皮的物質的搔癢預防和/或治療用組合物。
摘要:本發明提供用於搔癢的預防或治療的組合物。該搔癢的預防和/或治療用組合物的特徵在於含有來自金合歡屬樹皮的物質。
內地申請日:2006/08/10
內地專利號:ZL200680055581.2
內地公開日:2009/08/12
內地公告日:2012/09/26
內地公告號:CN 101505774B
分類:A61K36/48, A61K31/353, A61K8/49, A61K8/97, A23K1/16, A23L1/30, A61P17/04, A61Q17/00, C07D311/62
| 發明人: | 中本祐昌 |
| 小野啓子 |
優先權日期:2006/08/10
優先權國家/地區:日本
優先權編號:PCT/JP2006/315866
編號:J/000910
延伸申請日期:2012/10/30
延伸批示日期:2013/01/09
申請人:浙江銳迪生光電有限公司
國籍:中國
住址/地址:中國浙江省杭州市西湖區教工路531號202室
標題:一種P-N結4π出光的高壓LED及LED燈泡。
摘要:一種P-N結4π出光的高壓LED及LED燈泡,所述高壓LED包括有一個透明基板,透明基板的二端設置有電引出綫,在所述透明基板上安裝有至少一串高壓LED芯片,每個高壓LED芯片包括有至少二個串聯的LEDP-N結,各P-N結之間有至少一條電連接 綫;每個高壓LED芯片的二端各有至少一個用於焊接打綫的金屬電極;所述的LED燈泡,它包括有一個透光泡殼,一個帶有排氣管、電引出綫和支架的芯柱,至少一個高壓LED,一個驅動器,一個電連接器,所述高壓LED由高壓LED芯片構成,該高壓LED被固定在芯柱上,其電極經芯柱的電極引出 綫與驅動器和可以連接外電源的電連接器相連;所述的芯柱和透光泡殼真空密封,密封腔內充有高導熱率低黏度氣體;它具有整燈效率高、可靠性高、成本低、壽命長等特點。
內地申請日:2010/12/29
內地專利號:ZL201010610092.7
內地公開日:2011/06/29
內地公告日:2012/08/15
內地公告號:CN 102109115B
分類:F21S2/00, F21V19/00, F21V23/06, F21V29/00, F21Y101/02
發明人:葛世潮
附圖

編號:J/000912
延伸申請日期:2012/10/31
延伸批示日期:2013/01/09
申請人:具齊宣
國籍:南韓
住址/地址:503-4, 500-801 Jeollanam-do, Korea
標題:開放型推拉式門裝置。
摘要:本發明涉及一種開放型推拉式門裝置,具體涉及一種與具備單一結構的滑軌結合沿著推拉方向旋轉排列於同一條綫體上移動的多個門而完全打開或者關閉的開放型推拉式門裝置,其特徵在於:所述滑軌具備導槽,該導槽通過在所述滑軌的中央沿著長度方向形成預定深度而製成,且其在一側面包括預定高度的鋸齒結構形狀,以形成接合部和鎖定部,由此形成雙重結構,所述門包括:為了易於進行所述滑軌上的移動而具備於下部的移動部件;外周沿形成為鏈輪齒齒的連接部件,其能 够插入到所述滑軌的導槽的接合部並以旋轉軸為基準進行旋轉;以及鎖定部件,其通過上下移動來插入到所述滑軌的導槽的鎖定部或者脫離所述滑軌的導槽的鎖定部,以控制從所述滑軌上的脫離及旋轉,使所述門以位於一側的連接部件的旋轉軸為基準進行旋轉,由此能 够進行完全的開閉。
內地申請日:2009/05/13
內地專利號:ZL200980118955.4
內地公開日:2011/05/04
內地公告日:2012/08/08
內地公告號:CN 102046908B
分類:E06B3/50, E06B3/32
發明人:具齊宣
優先權日期:2008/05/26
優先權國家/地區:南韓
優先權編號:10-2008-0048600
優先權日期:2009/03/04
優先權國家/地區:南韓
優先權編號:10-2009-0018530
附圖

編號:J/000914
延伸申請日期:2012/11/06
延伸批示日期:2013/01/09
申請人:研能科技股份有限公司
住址/地址:1F, N.º 28, R&D 2nd Road, Science-Based Industrial Park, Hsin-Chu, Taiwan
標題:噴墨頭結構。
摘要:本發明是一種噴墨頭結構,用以進行多色墨水的噴墨打印,其包含:一芯片;三個軸綫陣列的加熱器,其設置於該芯片上且沿縱向延伸;以及三個並列設置的供墨流道,其分別設置於每一該軸 綫陣列的該加熱器間,其中,該芯片的長寬比是3.6~9.0;該供墨流道的寬度佔該芯片的截面積比例區間是6.25%~10%。
內地申請日:2007/03/29
內地專利號:ZL200710091712.9
內地公開日:2008/10/01
內地公告日:2012/08/08
內地公告號:CN 101274513B
分類:B41J2/05, B41J2/14
| 發明人: | 歐享沛 |
| 張正明 | |
| 廖文雄 |
附圖

編號:J/000966
延伸申請日期:2012/12/28
延伸批示日期:2013/01/09
申請人:瑞阿全球緊固件股份公司
國籍:德國
住址/地址:Further Strasse 24-26, 41462 Neuss, Germany
標題:螺紋插件及車輛部件。
摘要:本發明涉及一種螺紋插件(10),其在旋轉對稱主體中包括具有內螺紋(14)的中心共軸孔(12),其一端具有外力配合部(16),並且其在中部具有向外突伸的凸緣(18),其中,在所述旋轉對稱主體的相對於所述凸緣(18)位於與所述力配合件(16)相反的另一側的端部處,設置有外螺紋(20),所述外螺紋具有與所述內螺紋(14)相反的螺旋方向,並且,所述凸緣(18)在其面向所述外螺紋的一側上具有徑向延伸的肋(26)。
內地申請日:2009/01/20
內地專利號:ZL200980103107.6
內地公開日:2011/02/09
內地公告日:2012/10/03
內地公告號:CN 101970890B
分類:F16B37/12, F16B39/282
發明人:托爾斯特恩.施瑞爾
優先權日期:2008/01/24
優先權國家/地區:德國
優先權編號:202008000982.0
附圖

根據經十二月十三日第97/99/M號法令核准之《工業產權法律制度》第十條第一款d)項、第二款及第二百七十五條至第二百七十七條之規定,可於本公佈日起計一個月期限內就下列批示向初級法院提起上訴。
附註
| 程序編號 | 批示日期 | 附註之性質 | 申請人/註冊權利人 | 內容 |
| J/000481 J/000505 |
2013/01/02 | 轉讓 | 米歇爾.納哈姆京 Michael Nakhamkin |
Dresser Rand Company, com sede em Paul Clark Drive, Olean, New York 14760 U.S.A. |
發明專利之保護
公佈
根據經十二月十三日第97/99/M號法令核准之《工業產權法律制度》第十條及第八十三條之規定,公布下列在澳門特別行政區提出的發明專利註冊申請,並按照相同法規第八十四條,自此公布日起至授予專利之日止,任何第三人均得提出聲明異議。
發明專利編號:I/001119
申請日期:2011/09/30
申請人:IGT
國籍:美國
住址/地址:9295 Prototype Drive, Reno, Nevada 89521, E.U.A.
標題:用於提供自適應遊戲機顯示器的方法和設備。
摘要:本發明公開了用於提供一種自適應遊戲機的技術。在一些實施例中,確定在電子遊戲機附近的遊戲者的眼區的空間坐標。該空間坐標限定了眼區相對於該電子遊戲機的位置。基於該識別的眼睛位置確定與該電子遊戲機相關的顯示屏的優選觀看區域。判斷該視頻數據的遊戲部分是否位於該顯示屏的優選觀看區域內。當該視頻數據的遊戲部分不在該顯示屏的優選觀看區域內時,將該視頻數據的遊戲部分設置在該顯示屏的優選觀看區域內。
分類:A63F9/24
| 發明人: | CHUDD, RUSSELL |
| JOHNSON, CHARLES | |
| ROSANDER, TAI | |
| THOENI, STEWART |
優先權日期:2011/06/16
優先權國家/地區:美國
優先權編號:13/162,358
附圖

發明專利編號:I/001138
申請日期:2012/03/02
申請人:美國撲克牌公司
國籍:美國
住址/地址:300 Gap Way, Erlanger, Kentucky 41018, U.S.A.
標題:智能桌面遊戲系統。
摘要:一種牌處理系統,包括:遊戲牌,其上通過微點編碼有點數和花色信息;以及牌盒,當從該牌盒抽出遊戲牌時,該牌盒能夠讀取這樣的微點。一種遊戲控制器單元確定微點在遊戲牌上的位置,並且由此確定點數和花色信息。從而,該遊戲控制器監控了牌遊戲的進程和狀態。
分類:A63F13/10
| 發明人: | V.克里斯娜姆蒂 |
| D.霍瓦斯 | |
| S.柏德利 |
優先權日期:2011/06/03
優先權國家/地區:美國
優先權編號:13/152,417
附圖

發明專利編號:I/001140
申請日期:2012/04/13
申請人:CFPH, LLC
國籍:美國
住址/地址:110 East 59th Street, New York, NY 10022, U.S.A.
標題:關於技能和/或幸運遊戲的單進程和/或多進程通信。
摘要:某些實施例可能包括一種或多種方法和/或裝置,其與玩第一遊戲、至少根據第一遊戲的一部分賦予一個玩家玩第二遊戲的資格、玩第二遊戲、技能遊戲、和/或幸運遊戲。還可描述更多實施例。
分類:G06F15/16
| 發明人: | Lee Amaitis |
| Phillip Flaherty |
優先權日期:2011/04/14
優先權國家/地區:美國
優先權編號:13/086,624
附圖

發明專利編號:I/001143
申請日期:2012/05/08
申請人:SYSTEM INTEGRATION TECHNOLOGY KOREA CO., LTD
國籍:南韓
住址/地址:4-417A, RFID/USN Center, 11-13 Songdo--dong, Yeonsu-gu, Incheon 406-840, Republic of Korea
標題:籌碼雙閱讀器。
摘要:本發明提供一個用於娛樂場中的籌碼雙閱讀器,其可正確讀取一個籌碼而不受籌碼放置方向的影響。該雙閱讀器包括一個嵌入了第一天線的第一閱讀區,一個嵌入了第二天線的第二閱讀區,和一個顯示裝置。第二閱讀區與第一閱讀區相鄰配備,其方向垂直於與第一閱讀區平行的平面。當一個嵌入了RFID(射頻設別)標籤的籌碼被放置到第一閱讀區或第二閱讀區上時,RFID標籤由相應的第一或第二天線讀取,且存儲在RFID標籤中的資訊將被顯示在顯示裝置中。
分類:G06K7/10
發明人:LEE, Sung Won
優先權日期:2011/05/26
優先權國家/地區:南韓
優先權編號:10-2011-0050281
附圖

發明專利編號:I/001145
申請日期:2012/05/18
申請人:CFPH, LLC
國籍:美國
住址/地址:110 East 59th Street, New York, NY 10022, U.S.A.
標題:涉及對戰的娛樂裝置和遊戲。
摘要:本發明描述了涉及遊戲的多種方法和裝置。某些實施例涉及多個參與者加入的多層遊戲。某些實施例涉及根據所需標準建立遊戲元素的玩家。還描述了其他實施例。
分類:A63F13/12
發明人:Lee Amaitis
優先權日期:2011/05/18
優先權國家/地區:美國
優先權編號:13/110,519
附圖

發明專利編號:I/001147
申請日期:2012/06/04
申請人:Benjamin Laughlin
國籍:澳大利亞
住址/地址:67 Percy Street, Devonport TAS 7310, Australia
申請人:Ashley Craige Carter
國籍:澳大利亞
住址/地址:24 Robin Place, Caringbah NSW 2229, Australia
標題:一種玩紙牌遊戲的方法和為此設計的一種遊戲裝置。
摘要:一種用於玩紙牌遊戲的遊戲裝置,該遊戲裝置包括一個遊戲表面,莊家在該表面上向一名或多名玩家派發一張或多張紙牌。遊戲表面上擁有至少一個第一標記,指出各玩家紙牌的位置;至少一個第二個標記,指示下額外賭注的位置。該額外賭注在紙牌派發之前或之後在特定紙牌組合中至少一張紙牌下注,但在任何或所有紙牌被揭牌後不得下注。在遊戲表面上,至少一個第二個標記附近有指示說明額外賭注的賠率。
分類:A63F1/00, A63F11/00
| 發明人: | Benjamin Laughlin |
| Ashley Craige Carter |
優先權日期:2011/06/03
優先權國家/地區:澳大利亞
優先權編號:2011902194
附圖

發明專利編號:I/001148
申請日期:2012/06/05
申請人:百利遊戲有限公司
國籍:美國
住址/地址:6601 South Bermuda Road, Las Vegas, Nevada 89119, U.S.A.
標題:在無線遊戲環境中的遠程遊戲。
摘要:一種系統,採用具有集成的數據庫和無線通信裝置的服務器計算系統。無線通信裝置允許玩家關於潛在的遊戲結果選取立場,並包括遠程遊戲和遠程後線操作(對於在遊戲桌由佔據玩家位置的主要玩家所選取的遊戲結果的立場的潛在結果選取立場)以及未涉及錢的其它類型的立場。響應於主要玩家不再佔據遊戲桌上的玩家位置的電子指示,系統自動初始化鎖定關於遊戲的潛在結果所選擇立場的玩家的周期,例如在用於遊戲結果上這種建議後線位置上的遊戲結果鎖定周期上的立場,並因此修改發牌員的無線裝置上的用戶界面。
分類:G06F15/00
| 發明人: | Arun Rajaraman |
| Sathish Kumar Anantharaman | |
| William Lewis |
優先權日期:2011/06/06
優先權國家/地區:美國
優先權編號:61/493,891
附圖

實用專利之保護
根據經十二月十三日第97/99/M號法令核准之《工業產權法律制度》第十條第一款d)項、第二款及第二百七十五條至第二百七十七條之規定,可於本公佈日起計一個月期限內就下列批示向初級法院提起上訴。
批給
| 程序編號 | 註冊日期 | 批示日期 | 註冊權利人之名稱 | 所屬國/地區 |
| U/000069 | 2013/01/09 | 2013/01/09 | 泰偉電子股份有限公司 ASTRO CORPORATION |
TW |
| U/000079 | 2013/01/09 | 2013/01/09 | 方榮漢 Fong Wing Hon 沈創基 Sham Chong Ki |
HK HK |
原產地名稱及地理標記之保護
根據經十二月十三日第97/99/M號法令核准之《工業產權法律制度》第十條第一款d)項、第二款及第二百七十五條至第二百七十七條之規定,可於本公佈日起計一個月期限內就下列批示向初級法院提起上訴。
批給
| 程序編號 | 註冊日期 | 批示日期 | 註冊權利人之名稱 | 所屬國/地區 |
| G/000001 | 2013/01/15 | 2013/01/15 | THE SCOTCH WHISKY ASSOCIATION |
GB |
更正
| 程序編號 | 更正項目 | 原文 | 應改為 |
| N/061558 N/061559 |
申請人和場所(2012年9月19日第38期第二組《澳門特別行政區公報》) | YAPMO LLC, com sede em 954 W Washington Blvd. #7NE, Chigaco IL 60607, U.S.A. | YAPMO LLC, com sede em 954 W Washington Blvd. #7NE, Chicago IL 60607, U.S.A. |
應各申請人/權利人之要求,更正如下:
| 程序編號 | 更正項目 | 原文 | 應改為 |
| N/063839 | 商標圖案(2012年9月19日第38期第二組《澳門特別行政區公報》) | ![]() |
![]() |
| N/064628 N/064629 N/064630 |
申請人(2012年11月7日第45期第二組《澳門特別行政區公報》) | PRINCE BIRD PRIVATE LIMITED | PRINCE CHEN PRIVATE LIMITED |
二零一三年一月十六日於經濟局
局長 蘇添平





