²Ä 40 ´Á
§å¥ÜºK¿ý¼Æ¥÷
¤G¹s¤@¤¦~¤Q¤ë¤C¤é¡A¬P´Á¤T
¿Dªù¯S§O¦æ¬F°Ï
§å¥ÜºK¿ý¼Æ¥÷
¦æ ¬F ªø ©x ¿ì ¤½ «Ç
§å ¥Ü ºK ¿ý
ºK¿ý¦Û¦æ¬Fªø©x¤G¹s¤@¤¦~¤E¤ë¤Q¥|¤é§@¥Xªº§å¥Ü¡G
§åã×§ï¿Dªù¤u·~¶é°Ïµo®i¦³¤½¥q»P·s¿DÀ\¶¼·~§ë¸ê¦³¤½¥q©ó¤G¹s¹s¤K¦~¤¤ë¤Q¤T¤é¦b¼Ú¦w§Q¡]Leonel Alberto Alves¡^¨p¤H¤½ÃÒû²Ä194-A¥U²Ä37¤Î«áÄò¼Æ¶¤¤Ã±¸pªº¦ì©ó¿Dªù¥b®q¡A¾Fªñ«C¬wªeÃä°¨¸ô¯]¿D¸ó¹Ò¤u·~°Ï¿Dªù¶é°ÏB2a¦a¶ô¥HÂ௲¸îÂಾ§åµ¹Åv§Q¤½ÃҮѪº²Ä¤»±ø²Ä¤@´Ú¡C¤Wz¦a¬q³z¹L¤½§G©ó¤G¹s¹s¤¦~¤T¤ë¤T¤Q¤é²Ä¤Q¤T´Á¡m¿Dªù¯S§O¦æ¬F°Ï¤½³ø¡n²Ä¤G²Õªº²Ä34/2005¸¹¹B¿é¤u°È¥q¥qªø§å¥Ü¦Ó§åµ¹¤©¿Dªù¤u·~¶é°Ïµo®i¦³¤½¥q¡A¸Ó§å¥Ü¨ä«á¸g¤½§G©ó¤G¹s¹s¤»¦~¤»¤ë¤C¤é²Ä¤G¤Q¤T´Á¡m¿Dªù¯S§O¦æ¬F°Ï¤½³ø¡n²Ä¤G²Õªº²Ä88/2006¸¹¹B¿é¤u°È¥q¥qªø§å¥Ü§@¥X³¡¤À×§ï¡C
§åã×§ï¿Dªù¤u·~¶é°Ïµo®i¦³¤½¥q»PÀy¿D¤u·~¦³¤½¥q©ó¤G¹s¹s¤K¦~¤@¤ë¤G¤é¦b°ª§Q¨È¡]Adelino Correia¡^¨p¤H¤½ÃÒû²Ä64¥U²Ä22¤Î«áÄò¼Æ¶¤¤Ã±¸pªº¦ì©ó¿Dªù¥b®q¡A¾Fªñ«C¬wªeÃä°¨¸ô¯]¿D¸ó¹Ò¤u·~°Ï¿Dªù¶é°ÏC2¦a¶ô¥HÂ௲¸îÂಾ§åµ¹Åv§Q¤½ÃҮѪº²Ä¤»±ø²Ä¤@´Ú¡C¤Wz¦a¬q³z¹L¤½§G©ó¤G¹s¹s¤¦~¤T¤ë¤T¤Q¤é²Ä¤Q¤T´Á¡m¿Dªù¯S§O¦æ¬F°Ï¤½³ø¡n²Ä¤G²Õªº²Ä34/2005¸¹¹B¿é¤u°È¥q¥qªø§å¥Ü¦Ó§åµ¹¤©¿Dªù¤u·~¶é°Ïµo®i¦³¤½¥q¡A¸Ó§å¥Ü¨ä«á¸g¤½§G©ó¤G¹s¹s¤»¦~¤»¤ë¤C¤é²Ä¤G¤Q¤T´Á¡m¿Dªù¯S§O¦æ¬F°Ï¤½³ø¡n²Ä¤G²Õªº²Ä88/2006¸¹¹B¿é¤u°È¥q¥qªø§å¥Ü§@¥X³¡¤À×§ï¡C
§åã×§ï¿Dªù¤u·~¶é°Ïµo®i¦³¤½¥q»P¤ÑµØ¡]¶°¹Î¡^¦³¤½¥q©ó¤G¹s¹s¤¦~¤E¤ë¤Q¤¤é¦b¥v¹D¥[¡]Carlos Duque Simões¡^¨p¤H¤½ÃÒû²Ä211¥U²Ä78¤Î«áÄò¼Æ¶¤¤Ã±¸pªº¦ì©ó¿Dªù¥b®q¡A¾Fªñ«C¬wªeÃä°¨¸ô¯]¿D¸ó¹Ò¤u·~°Ï¿Dªù¶é°ÏD1¦a¶ô¥HÂ௲¸îÂಾ§åµ¹Åv§Q¤½ÃҮѪº²Ä¤»±ø²Ä¤@´Ú¡C¤Wz¦a¬q³z¹L¤½§G©ó¤G¹s¹s¤¦~¤T¤ë¤T¤Q¤é²Ä¤Q¤T´Á¡m¿Dªù¯S§O¦æ¬F°Ï¤½³ø¡n²Ä¤G²Õªº²Ä34/2005¸¹¹B¿é¤u°È¥q¥qªø§å¥Ü¦Ó§åµ¹¤©¿Dªù¤u·~¶é°Ïµo®i¦³¤½¥q¡A¸Ó§å¥Ü¨ä«á¸g¤½§G©ó¤G¹s¹s¤»¦~¤»¤ë¤C¤é²Ä¤G¤Q¤T´Á¡m¿Dªù¯S§O¦æ¬F°Ï¤½³ø¡n²Ä¤G²Õªº²Ä88/2006¸¹¹B¿é¤u°È¥q¥qªø§å¥Ü§@¥X³¡¤À×§ï¡C
§åã×§ï¿Dªù¤u·~¶é°Ïµo®i¦³¤½¥q»P®Ô¬¡§ë¸ê¦³¤½¥q©ó¤G¹s¤@¤G¦~¥|¤ë¤G¤é¦b»¯¾|¨p¤H¤½ÃÒû²Ä149¥U²Ä79¤Î«áÄò¼Æ¶¤¤Ã±¸pªº¦ì©ó¿Dªù¥b®q¡A¾Fªñ«C¬wªeÃä°¨¸ô¯]¿D¸ó¹Ò¤u·~°Ï¿Dªù¶é°ÏGa¦a¶ô¥HÂ௲¸îÂಾ§åµ¹Åv§Q¤½ÃҮѪº²Ä¤»±ø²Ä¤@´Ú¡C¤Wz¦a¬q³z¹L¤½§G©ó¤G¹s¹s¤¦~¤T¤ë¤T¤Q¤é²Ä¤Q¤T´Á¡m¿Dªù¯S§O¦æ¬F°Ï¤½³ø¡n²Ä¤G²Õªº²Ä34/2005¸¹¹B¿é¤u°È¥q¥qªø§å¥Ü§å¤©¿Dªù¤u·~¶é°Ïµo®i¦³¤½¥q¡A¸Ó§å¥Ü¨ä«á¸g¤½§G©ó¤G¹s¹s¤»¦~¤»¤ë¤C¤é²Ä¤G¤Q¤T´Á¡m¿Dªù¯S§O¦æ¬F°Ï¤½³ø¡n²Ä¤G²Õªº²Ä88/2006¸¹¹B¿é¤u°È¥q¥qªø§å¥Ü§@¥X³¡¤À×§ï¡C
§åã×§ï¿Dªù¤u·~¶é°Ïµo®i¦³¤½¥q»P¨Î´º¶°¹Î¥ø·~ºÞ²z¦³¤½¥q©ó¤G¹s¤@¤@¦~¤»¤ë¤@¤é¦b°ª§Q¨È¡]Adelino Correia¡^¨p¤H¤½ÃÒû²Ä131¥U²Ä106¤Î«áÄò¼Æ¶¤¤Ã±¸pªº¦ì©ó¿Dªù¥b®q¡A¾Fªñ«C¬wªeÃä°¨¸ô¯]¿D¸ó¹Ò¤u·~°Ï¿Dªù¶é°ÏD5¦a¶ô¥HÂ௲¸îÂಾ§åµ¹Åv§Q¤½ÃҮѪº²Ä¤»±ø²Ä¤@´Ú¡C¤Wz¦a¬q³z¹L¤½§G©ó¤G¹s¹s¤¦~¤T¤ë¤T¤Q¤é²Ä¤Q¤T´Á¡m¿Dªù¯S§O¦æ¬F°Ï¤½³ø¡n²Ä¤G²Õªº²Ä34/2005¸¹¹B¿é¤u°È¥q¥qªø§å¥Ü¦Ó§åµ¹¤©¿Dªù¤u·~¶é°Ïµo®i¦³¤½¥q¡A¸Ó§å¥Ü¨ä«á¸g¤½§G©ó¤G¹s¹s¤»¦~¤»¤ë¤C¤é²Ä¤G¤Q¤T´Á¡m¿Dªù¯S§O¦æ¬F°Ï¤½³ø¡n²Ä¤G²Õªº²Ä88/2006¸¹¹B¿é¤u°È¥q¥qªø§å¥Ü§@¥X³¡¤À×§ï¡C
§åã×§ï¿Dªù¤u·~¶é°Ïµo®i¦³¤½¥q»P§gµØ¤Ñ¦a§ë¸ê¡]°ê»Ú¡^¦³¤½¥q©ó¤G¹s¹s¤¦~¤E¤ë¤Q¤¤é¦b¥v¹D¥[¡]Carlos Duque Simões¡^¨p¤H¤½ÃÒû²Ä211¥U²Ä60¤Î«áÄò¼Æ¶¤¤Ã±¸pªº¦ì©ó¿Dªù¥b®q¡A¾Fªñ«C¬wªeÃä°¨¸ô¯]¿D¸ó¹Ò¤u·~°Ï¿Dªù¶é°ÏD2¦a¶ô¥HÂ௲¸îÂಾ§åµ¹Åv§Q¤½ÃҮѪº²Ä¤»±ø²Ä¤@´Ú¡C¤Wz¦a¬q³z¹L¤½§G©ó¤G¹s¹s¤¦~¤T¤ë¤T¤Q¤é²Ä¤Q¤T´Á¡m¿Dªù¯S§O¦æ¬F°Ï¤½³ø¡n²Ä¤G²Õªº²Ä34/2005¸¹¹B¿é¤u°È¥q¥qªø§å¥Ü§å¤©¿Dªù¤u·~¶é°Ïµo®i¦³¤½¥q¡A¸Ó§å¥Ü¨ä«á¸g¤½§G©ó¤G¹s¹s¤»¦~¤»¤ë¤C¤é²Ä¤G¤Q¤T´Á¡m¿Dªù¯S§O¦æ¬F°Ï¤½³ø¡n²Ä¤G²Õªº²Ä88/2006¸¹¹B¿é¤u°È¥q¥qªø§å¥Ü§@¥X³¡¤À×§ï¡C
¡X¡X¡X
¤G¹s¤@¤¦~¤E¤ë¤G¤Q¤¤é©ó¦æ¬Fªø©x¿ì¤½«Ç
¿ì¤½«Ç¥D¥ô ¬_´P
¦æ ¬F ªk °È ¥q ¥q ªø ¿ì ¤½ «Ç
§å ¥Ü ºK ¿ý
³z¹L¦æ¬Fªk°È¥q¥qªø¤G¹s¤@¤¦~¤E¤ë¤Q¤¤é¤§§å¥Ü¡G
®Ú¾Ú²Ä14/2009¸¹ªk«ß²Ä¤Q¥|±ø²Ä¤@´Ú¡]¤G¡^¶µ¤Î²{¦æ¡m¿Dªù¤½¦@¦æ¬F¤u§@¤Hû³q«h¡n²Ä¤G¤Q¤±ø²Ä¤T´Ú¤Î²Ä¤G¤Q¤»±ø²Ä¤T´Úªº³W©w¡A¥Hªþµù§Î¦¡×§ï¬x±¡Áø¦b¥»¿ì¤½«Ç¾á¥ô¾°Èªº½s¨î¥~¦X¦P²Ä¤T±ø´Ú¡A®Ê¤É¦Ü²Ä¤@¾¶¥º®u°ª¯Å§Þ³Nû¡AÁ~ÄÂI540ÂI¡A¥Ñ¤G¹s¤@¤¦~¤Q¤ë¤Q¤K¤é°_¥Í®Ä¡C
¡X¡X¡X
¤G¹s¤@¤¦~¤E¤ë¤G¤Q¤E¤é©ó¦æ¬Fªk°È¥q¥qªø¿ì¤½«Ç
¿ì¤½«Ç¥D¥ô ¥C°Ò¬Â
ªÀ ·| ¤å ¤Æ ¥q ¥q ªø ¿ì ¤½ «Ç
§å ¥Ü ºK ¿ý
ºK¿ý¦ÛªÀ·|¤å¤Æ¥q¥qªø©ó¤G¹s¤@¤¦~¤E¤ë¤G¤Q¤G¤é§@¥Xªº§å¥Ü¡G
®Ú¾Ú²Ä15/2009¸¹ªk«ß²Ä¤±ø¤Î²Ä26/2009¸¹¦æ¬Fªk³W²Ä¤K±øªº³W©w¡A¨Ã¦]¨ã³Æ¦X¾AªººÞ²z¯à¤O¤Î±M·~¸gÅç¡A¤åºöµØ¾á¥ô®È¹C§½§½ªøªº©w´Á©e¥ô¡A¦Û¤G¹s¤@¤¦~¤Q¤G¤ë¤G¤Q¤é°_Äò´Á¤T¦~¡C
¡X¡X¡X
¤G¹s¤@¤¦~¤E¤ë¤G¤Q¤T¤é©óªÀ·|¤å¤Æ¥q¥qªø¿ì¤½«Ç
¿ì¤½«Ç¥D¥ô ¾¤^ªN
²× ¼f ªk °| °| ªø ¿ì ¤½ «Ç
§å ¥Ü ºK ¿ý
ºK¿ý¦Û¿ì¤½«Ç¥D¥ô©ó¤G¹s¤@¤¦~¤E¤ë¤G¤Q¤T¤é§@¥Xªº§å¥Ü¡G
®Ú¾Ú¸g¤Q¤G¤ë¤G¤Q¤G¤é²Ä39/2004¸¹¦æ¬Fªk³W¡B¤Q¤G¤ë¤Q¤K¤é²Ä35/2009¸¹¦æ¬Fªk³W¤Î¤Q¤G¤ë¤Q¤E¤é²Ä39/2011¸¹¦æ¬Fªk³Wק諸¤T¤ë¤»¤é²Ä19/2000¸¹¦æ¬Fªk³W²Ä¤Q¤T±ø²Ä¤@´Ú¡B²×¼fªk°|°|ªø²Ä3/2000¸¹§å¥Ü²Ä¤@´Ú²Ä¡]¤C¡^¶µ¡A¥H¤Î²{¦æªº¡m¿Dªù¤½¦@¦æ¬F¤u§@¤Hû³q«h¡n²Ä¤G¤Q¤±ø¤Î²Ä¤G¤Q¤»±øªº³W©w¡A¥»¿ì¤½«Ç²Ä¤@¾¶¥º®u§Þ³N»²¾Éû³Á¿o´µªº½s¨î¥~¦X¦PÀòã¥H¦P¤@¾¯Å¤Î¾¶¥Äò´Á¤@¦~¡A¥Ñ¤G¹s¤@¤¦~¤Q¤ë¤Q¤C¤é°_¥Í®Ä¡C
¡X¡X¡X
¤G¹s¤@¤¦~¤E¤ë¤G¤Q¤E¤é©ó²×¼fªk°|°|ªø¿ì¤½«Ç
¿ì¤½«Ç¥D¥ô ¾HÄ_°ê
ÀË ¹î ªø ¿ì ¤½ «Ç
§å ¥Ü ºK ¿ý
ºK¿ý¦ÛÀË¹îªø©ó¤G¹s¤@¤¦~¤E¤ë¤Q¤@¤éªº§å¥Ü¡G
®Ú¾Ú²{¦æ¡m¿Dªù¤½¦@¦æ¬F¤u§@¤Hû³q«h¡n²Ä¤G¤Q¤±ø¤Î²Ä¤G¤Q¤»±ø¡A¥H¤Î²Ä14/2009¸¹ªk«ß²Ä¤Q¥|±ø²Ä¤@´Ú¡]¤G¡^¶µªº³W©w¡A©ó¤G¹s¤@¤¦~¤K¤ë¤Q¤E¤é²Ä¤T¤Q¤T´Á¡m¿Dªù¯S§O¦æ¬F°Ï¤½³ø¡n²Ä¤G²Õ¤½§G³Ì«á¦¨ÁZ¦W³æªº¦X®æÀ³¦Ò¤H¡C²{¥Hªþµù¤è¦¡×§ïÁéÞ³¤å¡B®]¿P¯ø¤Î龎³Í³Çªº½s¨î¥~¦X¦P²Ä¤T±ø´Ú¡AÂର²Ä¤@¾¶¥º®u§Þ³Nû¡A¦Û¤G¹s¤@¤¦~¤E¤ë¤Q¥|¤é°_¥Í®Ä¡C
ºK¿ý¦Û¿ì¤½«Ç¥D¥ô©ó¤G¹s¤@¤¦~¤E¤ë¤G¤Q¤@¤éªº§å¥Ü¡G
®}§Ó¤å¡X¡X®Ú¾Ú²{¦æ¡m¿Dªù¤½¦@¦æ¬F¤u§@¤Hû³q«h¡n²Ä¤G¤Q¤±ø¤Î²Ä¤G¤Q¤»±ø¡A¥H¤Î²Ä14/2009¸¹ªk«ß²Ä¤Q¤T±ø²Ä¤@´Ú¡]¤G¡^¶µªº³W©w¡A¨ä¦b¥»¿ì¤½«Çªº½s¨î¥~¦X¦P¦Û¤G¹s¤@¤¦~¤E¤ë¤Q¤C¤é°_Âର²Ä¤G¾¶¥º®u§Þ³N»²¾Éû¡C
§f®¶ºa¡X¡X®Ú¾Ú²{¦æ¡m¿Dªù¤½¦@¦æ¬F¤u§@¤Hû³q«h¡n²Ä¤G¤Q¤C±ø¤Î²Ä¤G¤Q¤K±øªº³W©w¡A¨ä¦b¥»¿ì¤½«Ç²Ä¤T¾¶¥««¬¨®½ø¥q¾÷ªº´²¦ì¦X¦P¦Û¤G¹s¤@¤¦~¤Q¤ë¤¤é°_Äò´Á¤@¦~¡C
ù°¶²y¡X¡X®Ú¾Ú²{¦æ¡m¿Dªù¤½¦@¦æ¬F¤u§@¤Hû³q«h¡n²Ä¤G¤Q¤C±ø¤Î²Ä¤G¤Q¤K±øªº³W©w¡A¨ä¦b¥»¿ì¤½«Ç²Ä¥|¾¶¥»´«¬¨®½ø¥q¾÷ªº´²¦ì¦X¦P¦Û¤G¹s¤@¤¦~¤Q¤ë¤¤é°_Äò´Á¤@¦~¡C
¼ï¯ª·¸¡B³¢«Ø¤å¤Î¦ó°·¾W¡X¡X®Ú¾Ú²{¦æ¡m¿Dªù¤½¦@¦æ¬F¤u§@¤Hû³q«h¡n²Ä¤G¤Q¤C±ø¤Î²Ä¤G¤Q¤K±øªº³W©w¡A¨ä¦b¥»¿ì¤½«Ç²Ä¤Â¾¶¥»´«¬¨®½ø¥q¾÷ªº´²¦ì¦X¦P¦Û¤G¹s¤@¤¦~¤Q¤ë¤»¤é°_Äò´Á¤@¦~¡C
³¯®Û¬Â¡X¡X®Ú¾Ú²{¦æ¡m¿Dªù¤½¦@¦æ¬F¤u§@¤Hû³q«h¡n²Ä¤G¤Q¤C±ø¤Î²Ä¤G¤Q¤K±øªº³W©w¡A¨ä¦b¥»¿ì¤½«Ç²Ä¤G¾¶¥¶ÔÂø¤Hûªº´²¦ì¦X¦P¦Û¤G¹s¤@¤¦~¤Q¤ë¤K¤é°_Äò´Á¤@¦~¡C
ºK¿ý¦ÛÀË¹îªø©ó¤G¹s¤@¤¦~¤E¤ë¤G¤Q¤G¤éªº§å¥Ü¡G
±ç³ÍªY¡X¡X¥»¿ì¤½«Ç¼x¥Îªº²Ä¤@¾¶¥º®uÅU°Ý°ª¯Å§Þ³Nû¡A®Ú¾Ú²{¦æ¡m¿Dªù¤½¦@¦æ¬F¤u§@¤Hû³q«h¡n²Ä¤T¤Q¥|±øªº³W©w¡A¦Û¤G¹s¤@¤¦~¤K¤ë¤E¤é°_¡A§ó§ï¨ä¼x¥Îªº±¡ªp¡A·s¾¯Å¬°²Ä¤G¾¶¥º®uÅU°Ý°ª¯Å§Þ³Nû¡C
Án ©ú
®Ú¾Ú²Ä15/2009¸¹ªk«ß²Ä¤Q¤»±ø²Ä¤@´Ú¡]¤@¡^¶µªº³W©w¡A°ò©ó¤u§@»Ýn¡A²×¤î³¯½åªQ¾Ç¤h¾á¥ô¥»¿ì¤½«Ç«ß¬FÆUÆUªøªº©w´Á©e¥ô¡A¥Ñ¤G¹s¤@¤¦~¤Q¤ë¤@¤é°_¥Í®Ä¡A¨Ã¦Û¦P¤é°_ªð¦^쾦ì¡A¾á¥ô¥»¿ì¤½«Ç½s¨î²Ä¤G¾¶¥ÅU°Ý½Ķû ¡C
¡X¡X¡X
¤G¹s¤@¤¦~¤E¤ë¤G¤Q¤E¤é©óÀË¹îªø¿ì¤½«Ç
¿ì¤½«Ç¥D¥ô ÃÓ¬±´Å
·s »D §½
§å ¥Ü ºK ¿ý
ºK¿ý¦Û¥N§½ªø©ó¤G¹s¤@¤¦~¤E¤ë¤G¤é§@¥Xªº§å¥Ü¡G
±i°·µØ¡X¡X®Ú¾Ú²{¦æ¡m¿Dªù¤½¦@¦æ¬F¤u§@¤Hû³q«h¡n²Ä¤G¤Q¤±ø¤Î²Ä¤G¤Q¤»±øªº³W©w¡A¨ä¦b¥»§½¾á¥ô²Ä¤@¾¶¥¤Gµ¥§Þ³Nûªº½s¨î¥~¦X¦P¡A¦Û¤G¹s¤@¤¦~¤Q¤ë¤G¤Q¤K¤é°_Äò´Á¨â¦~¡C
ºK¿ý¦Û§½ªø©ó¤G¹s¤@¤¦~¤E¤ë¤Q¤@¤é§@¥Xªº§å¥Ü¡G
¬_啓·~¡X¡X®Ú¾Ú²{¦æ¡m¿Dªù¤½¦@¦æ¬F¤u§@¤Hû³q«h¡n²Ä¤G¤Q¤C±ø¤Î²Ä¤G¤Q¤K±øªº³W©w¡A¨ä¦b¥»§½¾á¥ô²Ä¤@¾¶¥»´«¬¨®½ø¥q¾÷ªº´²¦ì¦X¦P¡A¦Û¤G¹s¤@¤¦~¤Q¤ë¤T¤Q¤é°_Äò´Á¤@¦~¡C
¡X¡X¡X
¤G¹s¤@¤¦~¤E¤ë¤G¤Q¥|¤é©ó·s»D§½
§½ªø ³¯P¥
¦æ ¬F ¤½ ¾ §½
§å ¥Ü ºK ¿ý
«ö¦æ¬Fªk°È¥q¥qªø©ó¤G¹s¤@¤¦~¤¤ë¤Q¤T¤é§@¥Xªº§å¥Ü¡G
®Ú¾Ú²{¦æ¡m¿Dªù¤½¦@¦æ¬F¤u§@¤Hû³q«h¡n²Ä¤G¤Q¤±ø¤Î²Ä¤G¤Q¤»±ø¡A¥H¤Î²Ä14/2009¸¹ªk«ß²Ä¤Q¤G±øªº³W©w¡A¦b¤G¹s¤@¥|¦~¤»¤ë¤Q¤K¤é²Ä¤G¤Q¤´Á¡m¿Dªù¯S§O¦æ¬F°Ï¤½³ø¡n²Ä¤G²Õ¤½§Gªº¹ï¥~¤J¾¤¤¥¡¶}¦Ò¡A¥H¶ñ¸É¤½¦@³¡ªù¤½²³±µ«Ý¦æ¬F§Þ³N»²§U½dÃ¥§Þ³N»²¾Éû¾µ{²Ä¤@¾¶¥¤Gµ¥§Þ³N»²¾Éû¾¦ìªÅ¯Ê¡A³Ì«á¦¨ÁZ¦W³æ¤¤±Æ¦W²Ä¤@¦Ê¤K¤Q¤Gªº§ë¦Ò¤H³\³·¼ü¡A¥H½s¨î¥~¦X¦P¤è¦¡¾á¥ô¥»§½²Ä¤@¾¶¥¤Gµ¥§Þ³N»²¾Éû¡AÁ~ÄÂI¬°260ÂI¡A¬°´Á¤@¦~¡A¦Û¤G¹s¤@¤¦~¤E¤ë¤@¤é°_¥Í®Ä¡C
«ö¦æ¬Fªk°È¥q¥qªø©ó¤G¹s¤@¤¦~¤K¤ë¤Q¤G¤é§@¥Xªº§å¥Ü¡G
®Ú¾Ú²{¦æ¡m¿Dªù¤½¦@¦æ¬F¤u§@¤Hû³q«h¡n²Ä¤T¤Q¥|±øªº³W©w¡A¼x¥ÎªÀ·|«O»Ù°òª÷¤Hû½s¨î²Ä¤G¾¶¥¯S¯Å§Þ³N»²¾ÉûAntónio Luís da Silva¦b¥»§½¾á¥ô²Ä¤@¾¶¥º®u¯S¯Å§Þ³N»²¾Éû¾°È¡AÁ~ÄÂI¬°450ÂI¡A¬°´Á¤@¦~¡A¦Û¤G¹s¤@¤¦~¤E¤ë¤T¤é°_¥Í®Ä¡C
«ö°Æ§½ªø©ó¤G¹s¤@¤¦~¤K¤ë¤G¤Q¤é§@¥Xªº§å¥Ü¡G
®Ú¾Ú²{¦æ¡m¿Dªù¤½¦@¦æ¬F¤u§@¤Hû³q«h¡n²Ä¤G¤Q¤C±ø¤Î²Ä¤G¤Q¤K±ø¡A¥H¤Î²Ä14/2009¸¹ªk«ß²Ä¤Q¤T±ø²Ä¤G´Ú¡]¤G¡^¶µªº³W©w¡A¥Hªþµù§Î¦¡×§ï§E®Ú¦b¥»§½¾á¥ô¾°Èªº´²¦ì¦X¦P²Ä¤T±ø´Ú¡AÂର¦¬¨ú¬Ûµ¥©ó²Ä¤T¾¶¥»´«¬¨®½ø¥q¾÷¡AÁ~ÄÂI¬°170ÂI¡A¦Û¤G¹s¤@¤¦~¤E¤ë¤K¤é°_¥Í®Ä¡C
®Ú¾Ú²{¦æ¡m¿Dªù¤½¦@¦æ¬F¤u§@¤Hû³q«h¡n²Ä¤G¤Q¤C±ø¤Î²Ä¤G¤Q¤K±ø¡A¥H¤Î²Ä14/2009¸¹ªk«ß²Ä¤Q¤T±ø²Ä¤G´Ú¡]¤@¡^¶µªº³W©w¡A¥Hªþµù§Î¦¡×§ï½±¤åÀs¦b¥»§½¾á¥ô¾°Èªº´²¦ì¦X¦P²Ä¤T±ø´Ú¡AÂର¦¬¨ú¬Ûµ¥©ó²Ä¤G¾¶¥»´«¬¨®½ø¥q¾÷¡AÁ~ÄÂI¬°160ÂI¡A¦Û¤G¹s¤@¤¦~¤E¤ë¤Q¤»¤é°_¥Í®Ä¡C
Án ©ú
®Ú¾Ú²{¦æ¡m¿Dªù¤½¦@¦æ¬F¤u§@¤Hû³q«h¡n²Ä¥|¤Q¤±øªº³W©w¡A¦]±çºö¶²Àò¥HÁ{®É©e¥ô¤è¦¡¾á¥ô¥»§½¤Hû½s¨î¤º²Ä¤@¾¶¥¤Gµ¥§Þ³Nû¡]¤¤¤å¶Ç·N¡]®Ñ±¤Î¤fÀY¡^½dÃ¥¡^¡A¨ä¦b¥»§½¥H½s¨î¥~¦X¦P¤è¦¡¾á¥ô²Ä¤@¾¶¥¤Gµ¥§Þ³N»²¾Éû¡]¤½²³±µ«Ý¦æ¬F§Þ³N»²§U½dÃ¥¡^ªºÂ¾°È¡A¦Û¤G¹s¤@¤¦~¤E¤ë¤G¤Q¤T¤é°_¦Û°Ê²×¤î¡C
¯S¦¹Án©ú
¡X¡X¡X
¤G¹s¤@¤¦~¤E¤ë¤G¤Q¤¤é©ó¦æ¬F¤½Â¾§½
§½ªø °ª¬±©[
¨ ¥÷ ÃÒ ©ú §½
§å ¥Ü ºK ¿ý
«ö¥»§½°Æ§½ªø©ó¤G¹s¤@¤¦~¤E¤ë¥|¤é§@¥Xªº§å¥Ü¡G
®Ú¾Ú²{¦æ¡m¿Dªù¤½¦@¦æ¬F¤u§@¤Hû³q«h¡n²Ä¤G¤Q¤±ø¤Î²Ä¤G¤Q¤»±øªº³W©w¡A©P±Ó¤Î¦ó§Ó³Ç¦b¥»§½¾á¥ô²Ä¤@¾¶¥º®u§Þ³N»²¾Éû¾°Èªº½s¨î¥~¦X¦PÄò´Á¤@¦~¡A¦Û¤G¹s¤@¤¦~¤Q¤ë¤»¤é°_¥Í®Ä¡C
®Ú¾Ú²{¦æ¡m¿Dªù¤½¦@¦æ¬F¤u§@¤Hû³q«h¡n²Ä¤G¤Q¤±ø¤Î²Ä¤G¤Q¤»±øªº³W©w¡A¤¨¼äµY¦b¥»§½¾á¥ô²Ä¤@¾¶¥ÅU°Ý°ª¯Å§Þ³Nû¾°Èªº½s¨î¥~¦X¦PÄò´Á¤@¦~¡A¦Û¤G¹s¤@¤¦~¤Q¤ë¤Q¤é°_¥Í®Ä¡C
¡X¡X¡X
¤G¹s¤@¤¦~¤E¤ë¤G¤Q¤E¤é©ó¨¥÷ÃÒ©ú§½
§½ªø ¼Ú¶§·ì
¥Á ¬F Á` ¸p
¨M ij ºK ¿ý
«ö¥»¸pºÞ²z©eû·|©ó¤G¹s¤@¤¦~¤E¤ë¤Q¤@¤é·|ij©Ò§@¤§¨Mij¡G
ð°¶°ö¡X¡X®Ú¾Ú²Ä14/2009¸¹ªk«ß¡m¤½°È¤Hû¾µ{¨î«×¡n²Ä¤Q¥|±ø²Ä¤@´Ú¡]¤@¡^¶µ¤Î²{¦æ¡m¿Dªù¤½¦@¦æ¬F¤u§@¤Hû³q«h¡n²Ä¤G¤Q¤G±ø²Ä¤K´Úa¡^¶µ¡B²Ä¤G¦Ê¤E¤Q¤C±ø²Ä¤T´Ú¤Î¡m¦æ¬Fµ{§Çªk¨å¡n²Ä¤@¦Ê¤@¤Q¤K±ø²Ä¤@´Úc¡^¶µªº³W©w¡A¥H¤Î¥Zµn©ó¤G¹s¤@¤T¦~¤@¤ë¤G¤é²Ä¤@´Á¡m¿Dªù¯S§O¦æ¬F°Ï¤½³ø¡n²Ä¤G²Õ¦X®æã¦Ò¤H³Ì«áµû®Ö¦W³æ¡AÀò½T©w©e¥ô¬°¥Á¬FÁ`¸p½s¨î¤º²Ä¤@¾¶¥º®u¯S¯Å¦æ¬F§Þ³N§U²zû¡A¸Ó®Ä¤O°l·¹¦Û¤G¹s¤@¤T¦~¤T¤ë¤»¤é°_¥Í®Ä¡C
¡X¡X¡X
¤G¹s¤@¤¦~¤E¤ë¤G¤Q¤¤é©ó¥Á¬FÁ`¸p
ºÞ²z©eû·|©eû Ãö¬I±Ó
°h ¥ð °ò ª÷ ·|
§å ¥Ü ºK ¿ý
°h¥ð/¼¾¨ùª÷ªºq©w
«ö·Ó¦æ¬Fªk°È¥q¥qªø©ó¤G¹s¤@¤¦~¤E¤ë¤G¤Q¤G¤é§@¥Xªº§å¥Ü¡G
¡]¤@¡^½Ã¥Í§½²Ä¤T¾¶¥¥DªvÂå¥Í¶ÀÄR»ö¡A°h¥ð¤Î¼¾¨ù¨î«×·|û½s¸¹106631¡A¦]²Å¦X²{¦æ¡m¿Dªù¤½¦@¦æ¬F¤u§@¤Hû³q«h¡n²Ä¤G¦Ê¤»¤Q¤T±ø²Ä¤@´Úa¡^¶µ¡A¦ÓÁn©ú¦ÛÄ@Â÷¾°h¥ð¡C¨ä¨C¤ëªº°h¥ðª÷¬O®Ú¾Ú¤Q¤@¤ë¤T¤Q¤é²Ä107/85/M¸¹ªk¥O²Ä¤@±ø²Ä¤@´Ú¤Î¤Wz¡m³q«h¡n²Ä¤G¦Ê¤»¤Q¥|±ø²Ä¤@¤Î²Ä¥|´Ú¡A¨Ã°t¦X²Ä¤G¦Ê¤»¤Q¤±ø²Ä¤G´Ú¤§³W©w¡A¥H¨ä¤T¤Q¤@¦~¤u§@¦~¼Æ§@pºâ¡A¥Ñ¤G¹s¤@¤¦~¤E¤ë¤E¤é¶}©l¥H¬Ûµ¥©ó²{¦æÁ~įÁ¤Þªí¤ºªº605ÂIq¥X¡A¨Ã¦b¦³Ãöª÷ÃB¤W¥[¤W¤»Ó®Ú¾Ú²Ä1/2014¸¹ªk«ß²Ä¤@±ø©Ò«üªþªí¨Ã°t¦X²Ä2/2011¸¹ªk«ß²Ä¤C¡B²Ä¤K¤Î²Ä¤E±ø³W©wªº¦~¸ê¼úª÷¡C
¡]¤G¡^¦³Ãö©Òqª÷ÃBªº¤ä¥I¡A¥þ¼Æ¥Ñ¿Dªù¯S§O¦æ¬F°Ï¬F©²t³d¡C
«ö·Ó¦æ¬Fªk°È¥q¥qªø©ó¤G¹s¤@¤¦~¤E¤ë¤G¤Q¤T¤éµo¥Xªº§å¥Ü¡G
¡]¤@¡^®È¹C¾Ç°|²Ä¤»Â¾¶¥®È·~¤Î°s©±·~¾Ç®Õ»²¾Éû§d©v©¨¤§¿òÄ\±ç¾åºÑ¤Î¤k¨à§d¬f§Í¡A°h¥ð¤Î¼¾¨ù¨î«×·|û½s¸¹150886¡A¨C¤ëªº¼¾¨ùª÷¬O®Ú¾Ú¤Q¤@¤ë¤T¤Q¤é²Ä107/85/M¸¹ªk¥O²Ä¤@±ø²Ä¤@´Ú¤Î«ö·Ó²{¦æ¡m¿Dªù¤½¦@¦æ¬F¤u§@¤Hû³q«h¡n²Ä¤G¦Ê¤»¤Q¥|±ø²Ä¥|´Ú¡A¨Ã°t¦X²Ä¤G¦Ê¤C¤Q¤@±ø²Ä¤@´Ú¤Î²Ä¤Q´Ú³W©w¡A¥Ñ¤G¹s¤@¤¦~¤»¤ë¥|¤é¶}©l¥H¬Ûµ¥©ó²{¦æÁ~įÁ¤Þªí¤ºªº95ÂIq¥X¡A¸Ó¼¾¨ùª÷¬°¦ºªÌ©Ò¦¬¨ú°h¥ðª÷ªº¦Ê¤À¤§¤¤Qª÷ÃB¡A¨Ã¦b¦³Ãöª÷ÃB¤W¥[¤W¤TÓ®Ú¾Ú²Ä1/2014¸¹ªk«ß²Ä¤@±ø©Ò«üªþªí¨Ã°t¦X²Ä2/2011¸¹ªk«ß²Ä¤E±ø©Ò«üªº¦~¸ê¼úª÷¤§¦Ê¤À¤§¤¤Q¡C
¡]¤G¡^¦³Ãö©Òqª÷ÃBªº¤ä¥I¡A¥þ¼Æ¥Ñ¿Dªù¯S§O¦æ¬F°Ï¬F©²t³d¡C
¡]¤@¡^ªv¦wĵ¹î§½²Ä¥|¾¶¥¤@µ¥Äµû±Z¬±ºa¡A°h¥ð¤Î¼¾¨ù¨î«×·|û½s¸¹50989¡A¦]²Å¦X²{¦æ¡m¿Dªù¤½¦@¦æ¬F¤u§@¤Hû³q«h¡n²Ä¤G¦Ê¤»¤Q¤T±ø²Ä¤@´Úb¡^¶µ¡A¦Ó¥Ó½Ð¦ÛÄ@Â÷¾°h¥ð¡C¨ä¨C¤ëªº°h¥ðª÷¬O®Ú¾Ú¤Wz¡m³q«h¡n²Ä¤G¦Ê¤»¤Q¥|±ø²Ä¤@¤Î²Ä¥|´Ú¡A¨Ã°t¦X²Ä¤G¦Ê¤»¤Q¤±ø²Ä¤@´Úa¡^¶µ¤§³W©w¡A¥H¨ä¤T¤Q¤»¦~¤u§@¦~¼Æ§@pºâ¡A¥Ñ¤G¹s¤@¤¦~¤E¤ë¤@¤é¶}©l¥H¬Ûµ¥©ó²{¦æÁ~įÁ¤Þªí¤ºªº330ÂIq¥X¡A¨Ã¦b¦³Ãöª÷ÃB¤W¥[¤W¤»Ó®Ú¾Ú²Ä1/2014¸¹ªk«ß²Ä¤@±ø©Ò«üªþªí¨Ã°t¦X²Ä2/2011¸¹ªk«ß²Ä¤C¡B²Ä¤K¤Î²Ä¤E±ø³W©wªº¦~¸ê¼úª÷¡C
¡]¤G¡^¦³Ãö©Òqª÷ÃBªº¤ä¥I¡A¥þ¼Æ¥Ñ¿Dªù¯S§O¦æ¬F°Ï¬F©²t³d¡C
Åv¯qÂkÄݤñ²vªºq©w
«ö·Ó¦æ¬Fªk°È¥q¥qªø©ó¤G¹s¤@¤¦~¤E¤ë¤G¤Q¤T¤é§@¥Xªº§å¥Ü¡G
ªv¦wĵ¹î§½Äµû»¯ÄRµÓ¡A¨Ñ´Ú¤H½s¸¹3007757¡A®Ú¾Ú²Ä8/2006¸¹ªk«ß²Ä¤Q¤T±ø²Ä¤@´Ú¤§³W©w¡A¦Û¤G¹s¤@¤¦~¤E¤ë¤@¤é°_µù¾P¨ä¦b¤½¿nª÷¨î«×¤§µn°O¡C¨ä¦b¤½¿nª÷¨î«×¤U¤§¨Ñ´Ú®É¶¡º¡¤G¤Q¤¦~¡A®Ú¾Ú¦P¤@ªk«ß²Ä¤Q¥|±ø²Ä¤@´Ú¤§³W©w¡Aq©w¨ä¦b¤½¿nª÷¨î«×¤U¦³Åv¨ú±o¡uÓ¤H¨Ñ´Ú±b¤á¡v¤Î¡u¿Dªù¯S§O¦æ¬F°Ï¨Ñ´Ú±b¤á¡v¤§Åv¯qÂkÄݤñ²v¬°¦Ê¤À¤§¤@¦Ê¡C
®üÃöÃöû¶À®i©ú¡A¨Ñ´Ú¤H½s¸¹6162817¡A®Ú¾Ú²Ä8/2006¸¹ªk«ß²Ä¤Q¤T±ø²Ä¤@´Ú¤§³W©w¡A¦Û¤G¹s¤@¤¦~¤K¤ë¤G¤Q¥|¤é°_µù¾P¨ä¦b¤½¿nª÷¨î«×¤§µn°O¡C¨ä¦b¤½¿nª÷¨î«×¤U¤§¨Ñ´Ú®É¶¡¤Ö©ó¤¦~¡A®Ú¾Ú¦P¤@ªk«ß²Ä¤Q¥|±ø²Ä¤@´Ú¤§³W©w¡Aq©w¨ä¦b¤½¿nª÷¨î«×¤U¦³Åv¨ú±o¡uÓ¤H¨Ñ´Ú±b¤á¡v¤§Åv¯qÂkÄݤñ²v¬°¦Ê¤À¤§¤@¦Ê¤ÎµLÅv¨ú±o¡u¿Dªù¯S§O¦æ¬F°Ï¨Ñ´Ú±b¤á¡vªº¥ô¦óµ²¾l¡C
¡X¡X¡X
¤G¹s¤@¤¦~¤E¤ë¤G¤Q¤E¤é©ó°h¥ð°òª÷·|
¦æ¬FºÞ²z©eû·|¥D®u ·¨»ü»ö
°] ¬F §½
¿Dªù¯S§O¦æ¬F°Ï
»P
¿Dªù¦Û¨Ó¤ôªÑ¥÷¦³¤½¥qñ¸p¤§¤½ÃÒ¦X¦PºK¿ý
¿Dªù¯S§O¦æ¬F°Ï»P¿Dªù¦Û¨Ó¤ôªÑ¥÷¦³¤½¥qñ¸p¤§©µªø¿Dªù¯S§O¦æ¬F°Ï¨Ñ¤ô¤½¦@ªA°È§åµ¹¤½ÃÒ¦X¦Pªºªþ¥[¦X¦P
¯÷ÃÒ©ú¡G²{³z¹L2015¦~9¤ë17¤é°]¬F§½¤½ÃÒ³B²Ä150A¸¹Ã¯¥U²Ä145¶¦Ü146I¶Âµ¥ß¤§¤½ÃÒ¦X¦P¹ï2009¦~11¤ë30¤é¦b¦P¤@¤½ÃÒ³B²Ä460¸¹Ã¯¥U²Ä34¶¦Ü71¶Âµ¥ß¤§¡m©µªø¿Dªù¯S§O¦æ¬F°Ï¨Ñ¤ô¤½¦@ªA°È§åµ¹¤½ÃÒ¦X¦P¡n§@¥X×q¡A¦¹¦X¦P³Ì«á¤@¦¸×qµ¥ß©ó2014¦~8¤ë5¤é¦P¤@¤½ÃÒ³B²Ä114A¸¹Ã¯¥U²Ä114¶¦Ü115I¶¡C¸Óªþ¥[¦X¦P¤º®e¦p¤U¡G
¡§²Ä¤@±ø¡X¡X¿Dªù¯S§O¦æ¬F°Ï»P¿Dªù¦Û¨Ó¤ôªÑ¥÷¦³¤½¥q©ó2009¦~11¤ë30¤éq¥ßªº¡B¨Ã©ó2011¦~1¤ë10¤é¡B2012¦~10¤ë24¤é¡B2013¦~6¤ë6¤é¤Î2014¦~8¤ë5¤é§@¥X×qªº¡u©µªø¿Dªù¯S§O¦æ¬F°Ï¨Ñ¤ô¤½¦@ªA°È§åµ¹¤½ÃÒ¦X¦P¡v²Ä¤T¤Q¤±ø×§ï¦p¤U¡G
²Ä¤T¤Q¤±ø¡X¡X¤ô¸ê·½¶O
¤@¡B......
¤G¡B¤ô¸ê·½¶O«ö¤U¦C¤è¦¡pºâ¡G
¤ô¸ê·½¶O=P0 ¡Ñ ·í¤ë¦V¥~¦aÁʶRªºì¤ô¶q(m3) +¡e·í¤ë¨Ï¥Î¶OÁ`ÃB ¡V T0 ¡Ñ ·í¤ëp¶O¥Î¤ôÁ`¶q(m3) ¡V E¡Ò12¡f+ X0
¤½¦¡¤¤¡G
P0=¿Dªù¹ô0.9219¤¸/m3¡AT0=¿Dªù¹ô5.12¤¸/m3¡AX0=¿Dªù¹ô ¡V 650,000¤¸¡F
......¡F
......¡F
......¡F
......¡C
¤T¡B......
¥|¡B......
¤¡B......
¤»¡B......
¤C¡B......
¤K¡B......
¤E¡B......
¤Q¡B......
¤Q¤@¡B......
²Ä¤G±ø¡X¡X¥»¦X¦P¦Û¤½§G©ó¡m¿Dªù¯S§O¦æ¬F°Ï¤½³ø¡n¤§²Ý¤é°_¥Í®Ä¡C
¥Ò¤AÂù¤èñ¸p¥»¦X¦P¡C¡¨
¤G¹s¤@¤¦~¤E¤ë¤Q¤K¤é©ó°]¬F§½
±M³d¤½ÃÒû ¦óÆA´A
¿Dªù¯S§O¦æ¬F°Ï
»P
¿Dªù¤½¦@¨T¨®¦³¤½¥qñ¸p¤§¤½ÃÒ¦X¦PºK¿ý
¿Dªù¯S§O¦æ¬F°Ï»P¿Dªù¤½¦@¨T¨®¦³¤½¥qñ¸p¤§¦³Ãö¹D¸ô¶°Åé«È¹B¤½¦@ªA°È¡X¡X²Ä¤T¼Ð¬qªº¤½ÃÒ¦X¦P×q¥»
¯÷ÃÒ©ú¡G²{³z¹L2015¦~9¤ë17¤é°]¬F§½¤½ÃÒ³B²Ä151A¸¹Ã¯¥U²Ä2¶¦Ü16¶Âµ¥ß¤§¤½ÃÒ¦X¦P¹ï2011¦~1¤ë3¤é¦b¦P¤@¤½ÃÒ³B²Ä021A¸¹Ã¯¥U²Ä81¶¦Ü90¶I¶Âµ¥ß¤§¡m¬°¿Dªù¯S§O¦æ¬F°Ï´£¨Ñ¹D¸ô¶°Åé«È¹B¤½¦@ªA°È¡X¡X²Ä¤T¼Ð¬qªº¤½ÃÒ¦X¦P¡n§@¥X×q¡C¸Ó×q¥»¤º®e¦p¤U¡G
¡§²Ä¤@±ø
©w¸q
¥H¤U©w¸q¾A¥Î©ó¥»¦X¦P¤Îªþ¥ó¡G
¡]¤@¡^©Ó§å¤H¡X¡X«üÀò¿Dªù¯S§O¦æ¬F°Ï§åµ¹¥H¸gÀ祻¦X¦P©Ò«ü©wªº¹D¸ô¶°Åé«È¹B¤½¦@ªA°Èªºªk¤H¡A§Y¿Dªù¤½¦@¨T¨®¦³¤½¥q¡F
¡]¤G¡^Âù¤è¡X¡X«ü¿Dªù¯S§O¦æ¬F°Ï¤Î©Ó§å¤H¡F
¡]¤T¡^¦X¦P¡X¡X«ü¥»¦X¦P¡B¨äªþ¥ó¤ÎÂù¤è±N¨Ó©Î¦³Ã±qªº¸É¥R©Ê¤Î¸É¿ò©Ê¤å¥ó¡F
¡]¥|¡^§åµ¹¡X¡X«ü¿Dªù¯S§O¦æ¬F°Ï³z¹L¥»¦X¦P½á¤©©Ó§å¤H¦b¿Dªù¯S§O¦æ¬F°Ï¤º¸gÀç©Ò«ü©wªº¹D¸ô¶°Åé«È¹B¤½¦@ªA°ÈªºÅv§Q¡F
¡]¤¡^ºÊ¹î¹êÅé¡X¡X«ü¥Ñ¿Dªù¯S§O¦æ¬F°Ï«ü¬£t³dºÊ¹î©Ó§å¤H¼i¦æ¦X¦P¸q°Èªº¹êÅé¡F
¡]¤»¡^Àç¹B´Á¡X¡X«ü©Ó§å¤H¦Û2015¦~10¤ë1¤é¦Ü2018¦~7¤ë31¤é¸gÀ祻§åµ¹ªA°Èªº´Á¶¡¡A¥]¬A¡G
¡]1¡^2015¦~ªºÀç¹B´Á¬°2015¦~10¤ë1¤é¦Ü2015¦~12¤ë31¤é¡F
¡]2¡^2016¦~¦Ü2017¦~ªº¦UÀç¹B´Á¬°¨C¦~1¤ë1¤é¦Ü12¤ë31¤é¡F
¡]3¡^2018¦~ªºÀç¹B´Á¬°2018¦~1¤ë1¤é¦Ü2018¦~7¤ë31¤é¡C
¡]¤C¡^Àç¹BÃþ«¬¡X¡X«üªþ¥ó¤@²Ä¤@±ø©Ò«üªº¤QºØÀç¹BÃþ«¬¡F
¡]¤K¡^Àç¹BÃþ«¬¤½¨½¼Æ¡X¡X«üÀç¹BÃþ«¬ªº¸ô½u¤½¨½¼Æ»P¯Z¦¸¼Æ¶qªº¼¿n¡F
¡]¤E¡^°ò¥»Àç¹BÃþ«¬¤½¨½¼Æ¡X¡X«ü¥ÑºÊ¹î¹êÅé«öÀç¹B´Áq©wªºÀç¹BÃþ«¬¤½¨½¼Æ¡A2015¦~Àç¹B´Áªº°ò¥»Àç¹BÃþ«¬¤½¨½¼Æ¸ü©óªþ¥ó¤@²Ä¤Q±ø²Ä¤@´Ú¡A2016¦~¦Ü2018¦~¦UÀç¹B´Áªº°ò¥»Àç¹BÃþ«¬¤½¨½¼Æ«h¥ÑºÊ¹î¹êÅé«ö·Óªþ¥ó¤@²Ä¤K±ø¡B²Ä¤E±ø©Ò¸üªº¸ô½u¯S¼x¤Î¨äÕ¦³ªº½Õ¾ã¦Óq©w¡A¦ý¤£¥]¬A¹ïÀ³Àç¹B´Á¤ÎÕ¦³ªº¤W¨âÀç¹B´Á¦]¼W¥[¸ô½u©Ò¯A¤ÎªºÀç¹BÃþ«¬¤½¨½¼Æ¡F
¡]¤Q¡^¹ê»Ú²¼´Ú¦¬¤J¡X¡X«ü¼«È¤ä¥Iªº²¼´Ú¡C
²Ä¤G±ø
¼Ðªº
¤@¡B¥»¦X¦P³W½d©Ó§å¤H«ö¥»¦X¦P¤Îªþ¥ó¸ü©úªº±ø¥ó©M´Á¦b¿Dªù¯S§O¦æ¬F°Ï¸gÀç¹D¸ô¶°Åé«È¹B¤½¦@ªA°È¡X¡X²Ä¤T¼Ð¬q¡C
¤G¡B©Ó§å¤H¸gÀç¤WzªA°È®É¶·«ö·Ó¥»¦X¦P¤Îªþ¥óªº³W©w¤Î±ø¥ó¡A¨Ã¿í¦u²{¦æªk¨Ò¡C
¤T¡B²Ä¤@´Ú©Òz²Ä¤T¼Ð¬qªº¸ô½u¸ü©óªþ¥ó¤@¤º¡C
²Ä¤T±ø
¸ô½u
¤@¡B©Ó§å¤H¥²¶·«ö·Óªþ¥ó¤@¤Î¤G©Ò¸üªº³W©w¡A¨Ã¿í¦uºÊ¹î¹êÅé´N°õ¦æ¥»¦X¦P¤Îªþ¥ó©Ò§@ªº«ü¥Ü¤În¨D¡A¸gÀç¹D¸ô¶°Åé«È¹B¤½¦@ªA°È¡A¦ý¤£¼vÅT¥H¤U¼Æ´Úªº³W©w¡C
¤G¡B¶·¸gºÊ¹î¹êÅé¹w¥ý§åã¡A©Ó§å¤H¤è¥i³]¥ß·s¸ô½u©Î¨ú®ø©ÒÀç¸ô½u¡F¬°¦¹¡A©Ó§å¤H¥²¶·´£¥æ«ØÄ³·s³]¥ß¸ô½uªº¦æµ{¡B¸ô½u¸gÀç¤è¦¡¡B¤½¦@¤Ú¤h¯¸ÂI¼Æ¶q¤Î¦ì¸m¡B©Ò¨Ï¥Î¨®½øªº¼Æ¶q©MÃþ«¬¡BªA°È®É¶¡¡B¯Z¦¸ÀW²v¡A¥H¤Î³¯z³]¥ß·s¸ô½u©Î¨ú®ø©ÒÀç¸ô½uªº²z¥Ñ¡A¦Ó¦³Ãö«ØÄ³¥²¶·¥H´£¤É¹D¸ô¶°Åé«È¹B¤½¦@ªA°È½è¯À¬°ì«h¡A¨ÃÀ³ºÊ¹î¹êÅ骺n¨D¡A´£¥æ¨Ñ¼f§åÄÝ«nªº¸ê®Æ¡C
¤T¡BÀò§å㪺·s¸ô½u¶·©óºÊ¹î¹êÅé«ü©wªº´Á¶¡¤º¶}©l¸gÀç¡A§_«h¦³Ãö§å㥢®Ä¡F¦ýÀ³©Ó§å¤Hªº½Ð¨D¡A¥B¸g¾A·í»¡©ú²z¥Ñ¨ÃÀòºÊ¹î¹êÅé§å㩵ªø¸Ó´Á¶¡ªÌ°£¥~¡C
¥|¡BºÊ¹î¹êÅé¥i«ü¥Ü©Ó§å¤H¦b³W©wªº´Á¶¡¤º³]¥ß·s¸ô½u©Î¨ú®ø©ÒÀç¸ô½u¡A¦Ó©Ó§å¤H¥²¶·¿í¦u¸Óµ¥«ü¥Ü¡C
¤¡B©Ó§å¤H¥i¥D°Ê¦VºÊ¹î¹êÅé´£¥æ¦³¨Ì¾Úªº«ØÄ³¡A¥]¬A½Õ¾ã©ÒÀç¸ô½u¦æµ{¡B¸ô½u¸gÀç¤è¦¡¡B¤½¦@¤Ú¤h¯¸ÂI¼Æ¶q¤Î¦ì¸m¡B¨Ï¥Î¨®½øÃþ«¬¡BªA°È®É¶¡¡B¯Z¦¸ÀW²vµ¥¡A¦Ó¦³Ãö«ØÄ³¥²¶·¥H´£¤É¹D¸ô¶°Åé«È¹B¤½¦@ªA°È½è¯À¬°ì«h¡A¥B¥²¶·¸gºÊ¹î¹êÅé§åã«á¤è¥i°õ¦æ¡C
¤»¡BºÊ¹î¹êÅé¥i«ü¥Ü©Ó§å¤H½Õ¾ã©ÒÀç¸ô½u¦æµ{¡B¸ô½u¸gÀç¤è¦¡¡B¤½¦@¤Ú¤h¯¸ÂI¼Æ¶q¤Î¦ì¸m¡B¨Ï¥Î¨®½øÃþ«¬¡BªA°È®É¶¡¡B¯Z¦¸ÀW²vµ¥¡A¦Ó©Ó§å¤H¥²¶·¿í¦u¸Óµ¥«ü¥Ü¡C
¤C¡B°£¦]¹D¸ôÀô¹Òªº¨î©Î¸gºÊ¹î¹êÅé»{©wÄݨ㦳¦X²z²z¥Ñªº¯S®í±¡ªp¥~¡A©Ó§å¤H¥²¶·«ö·ÓºÊ¹î¹êÅ骺«ü¥Ü¦b³W©w´Á¶¡¤º½Õ¾ã©ÒÀç¸ô½u¦æµ{¡C
¤K¡B©Ó§å¤H¤£±o¥H¥u¦æ¨«¬Y¬q¦æµ{ªº¤è¦¡¸gÀç©ÒÀç¸ô½u¡A¦ý¦]«D¹w¨£ªº¯S®í¥æ³qª¬ªp©Ò¾ÉPªÌ°£¥~¡C
¤E¡BÕ¦b¤½¦@¹D¸ô¤W¥X²{¬I¤u±¡ªp¦Ó¨Ï©Ó§å¤H©ÒÀç¸ô½u»Ý§@§ï¹D©Î§ïÅܤ½¦@¤Ú¤h¯¸ÂI¼Æ¶q¤Î¦ì¸m¡A©Ó§å¤H¥²¶·®Ú¾ÚºÊ¹î¹êÅ骺«ü¥Ü§@¥XÁ{®É×§ï¡A¦ý¶·©ó¾ÉP¸Óק諸±¡ªpµ²§ô®É¥ß§Y´_ì¡C
¤Q¡B¹D¸ô¶°Åé«È¹B¤½¦@ªA°Èªº©Ò¦³¸ô½u§¡¥H¿W¥ß½s¸¹¼Ð°O¡A¥¼¸gºÊ¹î¹êÅé¹w¥ý§åã¡A©Ó§å¤H¤£±o§@¥X§ó§ï¡C
¤Q¤@¡B¸gºÊ¹î¹êÅé§åã©Î«ö¨ä«ü¥Ü·s¼W©Î¨ú®øªº¸ô½u¡A©Ó§å¤H¥²¶·¹w¥ý¤À§O¦b¨ä¤½¥qºô¯¸©M¿Dªù¯S§O¦æ¬F°Ï¸û¦h¤H¾\Ūªº¤¤¤å¤Î¸²¤å³ø³¹¤½§G¡C
¤Q¤G¡B¸g½Õ¾ã«áªº©ÒÀç¸ô½uªºªA°È®É¶¡©M¯Z¦¸ÀW²v¦b¥Í®Ä«e¡A©Ó§å¤H¥²¶·¹w¥ý¤À§O¦b¨ä¤½¥qºô¯¸©M¿Dªù¯S§O¦æ¬F°Ï¸û¦h¤H¾\Ūªº¤¤¤å¤Î¸²¤å³ø³¹¤½§G¡A¦ýÄÝÀ³¥IÁ{®É»Ýn¦Ó¥[±Kªº¯Z¦¸ÀW²v°£¥~¡C
¤Q¤T¡B°£¥H¤W¨â´Úªº³W©w¥~¡A©Ó§å¤H¥²¶·¹w¥ý¤À§O¦b¨ä¤½¥qºô¯¸©M¿Dªù¯S§O¦æ¬F°Ï¸û¦h¤H¾\Ūªº¤¤¤å¤Î¸²¤å³ø³¹¤½§G¨ä¥L½Õ¾ã©ÒÀç¸ô½uªº¬ÛÃö®ø®§¡C
¤Q¥|¡B©Ó§å¤H¦b§@¥X¤wÀòºÊ¹î¹êÅé§å㪺©ÒÀç¸ô½u¦æµ{©Î¤½¦@¤Ú¤h¯¸ÂI½Õ¾ã®É¡A¶·¦Ü¤Ö´£«e¤@¤é©ó¯A¤Îªº¤½¦@¤Ú¤h¯¸ÂI¶K¥X´£¥Ü¡A¦ýÄݲĤTªÌºÞ²zªº¤½¦@¤Ú¤h¯¸ÂI³]¬I°£¥~¡C
²Ä¥|±ø
Àç¹B¨®½ø
¤@¡B©Ó§å¤H¥²¶·¾Ö¦³¤Î´£¨Ñ¨¬°÷¼Æ¶qªºÀç¹B¨®½ø¡A¨Ãºû«ù¨}¦nªº«O¾i¡B²M¼ä¤Î¦w¥þ±ø¥ó¡A¥H«K¦b©ÒÀç¸ô½u¤¤¡AµL½×¦b¹B¿é¯à¤O§í©Î¯À½è¤è±¡A§¡¯à´£¨Ñ©w®É¡B¦w¥þ¤ÎµÎ¾AªºÀu¨}ªA°È¡C
¤G¡B©Ó§å¤H¶·«ö·Óªþ¥ó¥|ªº³W©w´£¨Ñ¤ÎºÞ²zÀç¹B¨®½ø¡A©Ò¦³Àç¹B¨®½ø¶·²Å¦X¸Óªþ¥ó©Ò³W©wªº¤@¤Án¨D¡A¨Ã¶·«ö·Óªþ¥ó¥|²Ä¤G±øªº³W©w¦VºÊ¹î¹êÅé´£¥æ¤Î°õ¦æ¸gÀ祻§åµ¹ªA°Èªº¨®½øÁʸm¤Î²^¨O°õ¦æp¹º¡C
¤T¡B°£«ö·Ó²{¦æªk¨Ò³W©w¶i¦æ¨Ò¦æÀˬd¥~¡AºÊ¹î¹êÅé¥i©R¥O¹ï©Ó§å¤Hªº³]¬I¡B¤u³õ©M¨®½ø¶i¦æÀˬd¡F¤@¥¹Àˬdµ²ªG»{¬°¥²n¡A¥i¸T¤î¥ô¦ó¥Î©ó¥»§åµ¹ªA°Èªº¨®½ø¦æ¾p¡C
¥|¡BÄÝ©ó©Ó§å¤HªºÀç¹B¨®½ø¨®¨ÃC¦â¥i¥Ñ©Ó§å¤H«ØÄ³¡A¦ý¥²¶·¸gºÊ¹î¹êÅé§åã«á¤è¥i¨Ï¥Î¡A¥HÁ×§K»P¨ä¥LªA°È©Ò¨Ï¥Îªº¨®½ø²V²c¡C
¤¡B©Ó§å¤H¶·¨Ìªk¬°¼i¦æ¥»¦X¦P©Ò¨Ï¥Îªº¥þ³¡¨®½ø¿ì§´©Ò¦³¦æ¬F¤âÄò¡A¥H¤Î¦b°Ó·~¤Î°Ê²£µn°O§½¥H©Ó§å¤Hªº¦W¸q¶i¦æµn°O¡C
¤»¡B¥Î©ó±q¨Æ¥»§åµ¹¸ô½uªº¨®½ø¡A¶·©ó¥æ³q¨Æ°È§½¥H¿Dªù¯S§O¦æ¬F°Ï¤º¹B¿é§@µù¥U¡A¥¼¸gºÊ¹î¹êÅ骺¹w¥ý§åã¡A©Ò¦³Àç¹B¨®½ø¤£±o¦b¨ä¥L¦a°Ï¶i¦æµù¥U¡C
¤C¡B©Ó§å¤H¤£±o¥H¥ô¦ó¤è¦¡¨Ï¥Î¤wµn°O¬°²Ä¤TªÌ©Ò¦³ªº¨®½ø§@Àç¹B¨®½ø¡A¦ý¸gºÊ¹î¹êÅé¹w¥ý§å㪺±¡ªp°£¥~¡C
¤K¡B©Ó§å¤H¶·°t¦X¿Dªù¯S§O¦æ¬F°Ï±À¦æªº¦U¶µ¦³ÃöÀu¤ÆµL»Ùê³]³Æ¡B¨®½øÀô«O¤Î¸`¯àn¨Dªº§Þ³N§ï³y¡A¤×¨ä°t¦X¡m¿Dªù³°¸ô¾ãÅ饿³q¹B¿é¬Fµ¦¡]2010-2020¡^¡n¤Î¡m¿DªùÀô¹Ò«OÅ@³W¹º¡]2010-2020¡^¡n¤º¨î©wªº¬ÛÃö¬Fµ¦¡C
¤E¡B©Ó§å¤H¶·¦Û2015¦~10¤ë1¤é°_¦Ü2017¦~3¤ë31¤éªº´Á¶¡¤ºÁʸm¤£¤Ö©ó¤G¤Q¥xªº¥þ·s¤ÑµM®ð¤Ú¤h¡A¥H§ë¤J¸gÀ祻§åµ¹ªº¸ô½uªA°È¡C
²Ä¤±ø
§åµ¹´Á
¤@¡B¹D¸ô¶°Åé«È¹B¤½¦@ªA°È¡X¡X²Ä¤T¼Ð¬q¤§§åµ¹©ó2018¦~7¤ë31¤é©¡º¡¡A¦ý¤£¼vÅT¿Dªù¯S§O¦æ¬F°Ï«ö·Ó¥»¦X¦Pªº³W©w¦æ¨ÏÅ«¦^Åv©Î¸Ñ°£Åvªº±¡ªp¡A¥B¤£¼vÅT¤U´Úªº³W©w¡C
¤G¡B°ò©ó¤½¦@§Q¯qªº¯S®íì¦]¡A¤W´Ú©Ò«üªº§åµ¹´Á¥i¸gÂù¤è¨óij¥H¬Û¦P©Î§óµuªº´ÁÄò´Á¡C
¤T¡B¦b§åµ¹´Á©¡º¡«e¤»Ó¤ë¡A¿Dªù¯S§O¦æ¬F°Ï±N´N©Î¦³ªºÄò´Á³qª¾©Ó§å¤H¨ÃÁ|¦æ·|ij¨ó°Ó¡C
¥|¡B¸gÀ祻§åµ¹ªA°Èªº³Ì«á¤@ÓÀç¹B¤éªºµ²§ô®É¶¡¡A¬°·í¤é©Ó§å¤Hªº©Ò¦³©ÒÀç¸ô½u§À¯Z¨®µ²§ôÀç¹B§¹¦¨¦¬¨®¦^¼tªº®É¬q¡C
²Ä¤»±ø
²¼´Ú¦¬¤J
¤@¡B©Ó§å¤H¥²¶·«ö·Ó¸g¿Dªù¯S§O¦æ¬F°Ïq©wªº²¼»ù¦¬¶O¡A¨Ã¨Ï¥Î¿Dªù¯S§O¦æ¬F°Ï«ü©wªº¹q¤l³f¹ô¥æ©öªA°È¨t²Î¡A¥¼¸g¿Dªù¯S§O¦æ¬F°Ï¹w¥ý§åã¡A©Ó§å¤H¤£±o§ó§ï²¼»ù¦¬¶O¨î«×¡C
¤G¡B²¼´Ú¦¬¤J¥HÀç¹B¤é§@µ²ºâ¡AÀç¹B¤é¬O¥H¦U¸ô½uªº°ò¥»ªA°È®É¶¡¹º¤À¡A¥Ñ¦U¸ô½uªºº¯Z¨®°_pª½¦Ü§À¯Z¨®µ²§ô¡C
¤T¡B¿Dªù¤½¦@¨T¨®¦³¤½¥q©ó2015¦~9¤ë30¤é©Î¤§«e©ÒÀç¸ô½uªº²¼´Ú¦¬¤JÂk¿Dªù¯S§O¦æ¬F°Ï©Ò¦³¡A2015¦~10¤ë1¤é°_©ÒÀç¸ô½uªº²¼´Ú¦¬¤J¬°©Ó§å¤Hªº¦¬¤J¡C
¥|¡B©Ó§å¤H¥²¶·«ö·Ó¿Dªù¯S§O¦æ¬F°Ïªºn¨D¡A¦V¼«ÈµLÀv´£¨Ñ«ü©wªº¨®¸êÀu´f¤ÎÂà¼Àu´f¡A¤Î³]©w¬Û·í©ó°»ùªº¼¨®Àu´f±¹¬I¡A¦Ó©Ó§å¤H¶·¦Û¦æ©Ó¾á¦]¦b2015¦~10¤ë1¤é«e¤w±À¦æªº¦³Ãö±¹¬I¦Ó´î¤Öªº²¼´Ú¦¬¤J¡A¦ý¤£¼vÅT²Ä¤K±ø¦Ü²Ä¤Q±øªº³W©w¡A¤×¨ä¬O¹ê³ø¹ê¾PÀ³±oªº°]¬F´©§U¡C
¤¡B¦¬¶O¨î«×ªº½Õ¾ãÄÝ¿Dªù¯S§O¦æ¬F°Ïªº±MÄÝÅv¡C
¤»¡B©Ò¦³¥Ñ¿Dªù¯S§O¦æ¬F°Ïq©wªº·s¦¬¶O¨î«×¤ÎÀu´f±¹¬I¥²¶·³Ì¿ð¦b¥Í®Ä«e¤C¤é¡A¥Ñ©Ó§å¤H¤À§O¦b¨ä¤½¥qºô¯¸©M¿Dªù¯S§O¦æ¬F°Ï¸û¦h¤H¾\Ūªº¤¤¤å¤Î¸²¤å³ø³¹¤½§G¡C
¤C¡B¸g©Ó§å¤Hªº¨®½ø¤º³]¸mªº¼Ð°OÃҹꨰª¤£¨¬¤@¦Ìªº¨àµ£¡A¥i¦b¼«È³¦P¤U§K¶O¼¨®¡C
¤K¡BÕ¼«È¤£¿í´`¥Ñ¥iÃѧOªº©Ó§å¤HªºÈ¶Ô¤Hû¦b¾³d½d³ò¤º§@¥Xªº«ü¥Ü¡A¤×¨ä¬O¤ä¥I¨®¸ê¡A©Ó§å¤H¥i¦V°õªk³¡ªù¨D§U¡C
¤E¡B©Ó§å¤H¶·ºÊ¹î©M«ü¥Ü©Ò¦³¼«È¥X¥Ü¶·´£¨ÑªºÃѧO¾ÌÃÒ¡AÕ¼«È¤£¿í´`«ü¥Ü¡A©Îµo²{¼«È»P¨äÃѧO¾ÌÃÒ¦³²§¡A©Ó§å¤H¥i¦V°õªk³¡ªù¨D§U¡C
¤Q¡B¦Û2015¦~10¤ë1¤é°_¡AÕ¿Dªù¯S§O¦æ¬F°Ï§ó§ï¦¬¶O¨î«×¦Ó¥O©Ó§å¤H¦³·l¥¢®É¡AÂù¤è±N³z¹L¨óij½Õ¾ãªþ¥ó¤²Ä¤@±ø²Ä¤T´Ú©Ò«üªº¨C¤½¨½¥§¡²¼´Ú¦¬¤J¹wpÈ¡A¸Ó¹wpȱN¥Ñ·s¦¬¶O¨î«×¹ê¬I¤é°_p¡C
²Ä¤C±ø
µ¹¤©¿Dªù¯S§O¦æ¬F°Ïªº¦^³ø
¥Ñ©ó¹w®Æª½¦Ü¤½¦@ªA°È§åµ¹©¡º¡¡]2018¦~7¤ë31¤é¡^«e¡A¥»¦X¦P¼Ðªº¦]¸gÀç±ø¥ó©MÀç¹B´Á¸ûµu¡A¤£·|²£¥Í©Ó§å¤H¦V¿Dªù¯S§O¦æ¬F°Ï§@¥X¦^³ø©Ò»Ýªº°]·½¡A©Ó§å¤HÀòÁŧK¦V¿Dªù¯S§O¦æ¬F°Ï¤ä¥I¥»§åµ¹ªº¦^³ø¡C
²Ä¤K±ø
°]¬F´©§U
¤@¡B¦]À³¿Dªù¯S§O¦æ¬F°Ïq©wªº§C²¼»ù¨î«×¤Î½T«O©Ó§å¤H¨ã¨¬°÷ªº°]¬F¤ä«ù¥H¸gÀ祻¦X¦P¼Ðªº¤§ªA°È¡A©Ó§å¤H¥i®Ú¾Ú5¤ë14¤é²Ä3/90/M¸¹ªk«ß²Ä¤Q¤@±øªº³W©w¡A½Ð¨D¿Dªù¯S§O¦æ¬F°Ïµ¹¤©°]¬F´©§U¡C
¤G¡B°]¬F´©§U¥HªA°È»ùÈ»P²¼´Ú¦¬¤J¤§®tpºâ¬°ì«h¡A¦³ÃöªA°È»ùȬ°©Ó§å¤H¸gÀ祻¦X¦P¼Ðªº¤§ªA°È©Ò»Ý¦Ó¦X²zªºÁ`ª÷ÃB¡C
¤T¡B¤W´Ú©Ò«üªº°]¬F´©§U±N®Ú¾Ú¤U±øªº³W©w§@¥X¥Ó½Ð¡B¼f§å¡Bµ²ºâ¤Î¤ä¥I¡A¦Ó2017¦~¤Î2018¦~¦UÀç¹B´Áªº°]¬F´©§U¥i«ö·Ó°ò¥»Àç¹BÃþ«¬¤½¨½¼Æ¡B²¼´Ú¦¬¤J¡BÀç¹B¦¨¥»¤Î²Îp«ü¼ÐªºÅܰʱ¡ªp¦Ó½Õ¾ã¡C
²Ä¤E±ø
¦UÀç¹B´Áªº°]¬F´©§U
¤@¡B¦UÀç¹B´Áªº°]¬F´©§U¥Ó½Ð¤è¦¡¦p¤U¡G
¡]¤@¡^Õ©Ó§å¤H¦V¿Dªù¯S§O¦æ¬F°Ï¥Ó½Ð2015¦~Àç¹B´Áªº°]¬F´©§U¡A¶·©ó¥»¦X¦Pñq¤é°_p¤Ó¤u§@¤é¤º¦V¿Dªù¯S§O¦æ¬F°Ï´£¥æ¥Ó½Ð®Ñ¡A¨Ãªþ¦P2015¦~ªº°]¬F´©§Up¹º¡A¸Óp¹º¶·¸ü©ú¥HºÊ¹î¹êÅé«öªþ¥ó¤@²Ä¤Q±ø²Ä¤@´Ú¤Î²Ä¤G´Úªº³W©wq©wªº¹wpÀç¹BÃþ«¬¤½¨½¼Æ¡A«ö·Óªþ¥ó¤²Ä¤@±ø²Ä¤T´Ú¦Ü²Ä¤´Úªº³W©wpºâ©Ò¯A¤Îªº°]¬F´©§U¹wpª÷ÃB¡F
¡]¤G¡^Õ©Ó§å¤H¦V¿Dªù¯S§O¦æ¬F°Ï¥Ó½Ð2016¦~Àç¹B´Áªº°]¬F´©§U¡A¶·©ó2015¦~10¤ë¥÷¤º¦V¿Dªù¯S§O¦æ¬F°Ï´£¥æ¥Ó½Ð®Ñ¡A¨Ãªþ¦P2016¦~Àç¹B´Áªº°]¬F´©§Up¹º¡A¸Óp¹º¶·¸ü©ú¥HºÊ¹î¹êÅé«öªþ¥ó¤@²Ä¤Q±ø²Ä¤T´Úªº³W©wq©wªº¹wpÀç¹BÃþ«¬¤½¨½¼Æ¡A«ö·Óªþ¥ó¤²Ä¤@±ø²Ä¤T´Ú¦Ü²Ä¤´Úªº³W©wpºâ©Ò¯A¤Îªº°]¬F´©§U¹wpª÷ÃB¡F
¡]¤T¡^Õ©Ó§å¤H¦V¿Dªù¯S§O¦æ¬F°Ï¥Ó½Ð2017¦~¦Ü2018¦~¦UÀç¹B´Áªº°]¬F´©§U¡A¶·©ó¹ïÀ³Àç¹B´Áªº¤W¤@¦~9¤ë¥÷¤º¦V¿Dªù¯S§O¦æ¬F°Ï´£¥æ¥Ó½Ð®Ñ¡A¨Ãªþ¦P¹ïÀ³Àç¹B´Áªº°]¬F´©§Up¹º¡A¸Óp¹º¶·¸ü©ú¥HºÊ¹î¹êÅé«öªþ¥ó¤@²Ä¤Q±ø²Ä¥|´Úªº³W©wq©wªº¹wpÀç¹BÃþ«¬¤½¨½¼Æ¡A«ö·Óªþ¥ó¤²Ä¤@±ø²Ä¤T´Ú¦Ü²Ä¤´Úªº³W©wpºâ©Ò¯A¤Îªº°]¬F´©§U¹wpª÷ÃB¡F
¡]¥|¡^Õ¿Dªù¯S§O¦æ¬F°Ï¦]À³¼«È¹ïªA°Èªº»Ýn¡B·sµo®i°Ï°ìªº»Ýn¡B¯S®í¸`¤é¬¡°Êªº»Ýn©Î¨ä¥L¯S§Oì¦]¦Ó¤Þ°_«È¹B±¡ªpªºÅܰʡAn¨D©Ó§å¤H¼W´î¸ô½u¡B¼W´î¯Z¦¸¡B©µªø¤ÎÁYµu¸ô½u¡A©Ó§å¤H¥i¥Ó½Ð«ö¹wp¥X²{¼W¥[ªºÀç¹BÃþ«¬¤½¨½¼Æ¡A¤Î«ö·Óªþ¥ó¤²Ä¤@±ø²Ä¥|´Ú¤Î²Ä¤´Úªº³W©w¡Apºâ¥Ñ¹wp§@¥X¦³Ãö½Õ¾ã®É°_p¸ÓÀç¹B´Á©Ò¾l¤ë¥÷©Ò¯A¤Îªº°]¬F´©§U¹wpª÷ÃB¡A¦³Ãö¥Ó½ÐÀ³©ó¸Ón¨D´£¥X«á¨âӤ뤺´£¥X¡C
¤G¡B¿Dªù¯S§O¦æ¬F°Ï±N«ö·Óªþ¥ó¤²Ä¤@±øªº³W©w¼f§å¦UÀç¹B´Áªº°]¬F´©§U¹wpª÷ÃB¡C
¤T¡B¦UÀç¹B´Áªº°]¬F´©§U¥H¹ê³ø¹ê¾P¤è¦¡«ö¤ë¤ä¥I¡A©Ó§å¤H§¹¦¨¨C¤ë©Ò¦³¤u§@«á¡A¶·©ó²Ý¤ëº¤Q¤é¤º¦VºÊ¹î¹êÅé§e¥æ¥H¤U¸ê®Æ¥H§@µ²ºâ¡G
¡]¤@¡^ªþ¥ó¤»²Ä¤G±ø¤Î²Ä¤T±ø©Ò«üªº¨C¤éÀç¹B¸ê®Æ¤Î¨C¤ëÀç¹BºÞ²z³ø§i¡F
¡]¤G¡^«ö·Óªþ¥ó¤²Ä¤@±øªº³W©wpºâÀÀµ²ºâ¤ë¥÷¹ê»ÚÀç¹BÃþ«¬¤½¨½¼Æªº°]¬F´©§Uª÷ÃB¡C
¥|¡B¬°¾A¥Î¤W´Úªº³W©w¡AºÊ¹î¹êÅé±N®Ú¾Ú¤W´Ú¡]¤@¡^¶µ©Ò«üªº¨C¤éÀç¹B¸ê®Æ¤Î¨C¤ëÀç¹BºÞ²z³ø§i¡Bªþ¥ó¤G²Ä¥|±ø²Ä¤C´Ú¡Bªþ¥ó¤G²Ä¤±ø²Ä¤´Ú¡]¤G¡^¶µ¤Îªþ¥ó¥|²Ä¤Q¤»±ø²Ä¤´Úªº³W©w¡A¥H¤Î«ö·Ó¤U¦C¦U¶µ©Ò«üªºpºâ¤è¦¡¤©¥H®Ö¹ê¡A¥B¤£¼vÅT¤U´Úªº³W©w¡G
¡]¤@¡^«ö·Óªþ¥ó¤²Ä¤@±ø²Ä¤T´Úªº³W©w¡A¥H°ò¥»Àç¹BÃþ«¬¤½¨½¼Æpºâ°]¬F´©§Uªº¨C¤ëª÷ÃB¡F
¡]¤G¡^«ö·Óªþ¥ó¤²Ä¤@±ø²Ä¥|´Úªº³W©w¡A¥H¨ú®ø¸ô½u¡B¼W´î¯Z¦¸¡B©µªø¤ÎÁYµu¸ô½u©Ò¯A¤ÎªºÀç¹BÃþ«¬¤½¨½¼Æpºâ°]¬F´©§Uªº¨C¤ëª÷ÃB¡F
¡]¤T¡^«ö·Óªþ¥ó¤²Ä¤@±ø²Ä¤´Úªº³W©w¡A¥H¼W¥[¸ô½u©Ò¯A¤ÎªºÀç¹BÃþ«¬¤½¨½¼Æpºâ°]¬F´©§Uªº¨C¤ëª÷ÃB¡C
¤¡B¤Wz°]¬F´©§Uªº¨C¤ëª÷ÃB±N«ö·Ó²Ä¤G¤Q±ø©Ò«üªºªA°ÈµûŲµ²ªG¶i¦æ½Õ¾ã«á§@¥X¤ä¥I¡A¦³Ãö½Õ¾ã´T«×¦p¤U¡G
¡]¤@¡^·í©Ó§å¤HªºªA°ÈµûŲµ²ªG¤Ö©ó¤¤Q¤À¡A«h°]¬F´©§Uªº¨C¤ëª÷ÃB´î¤Ö¦Ê¤À¤§¤@¡]1%¡^¡F
¡]¤G¡^·í©Ó§å¤HªºªA°ÈµûŲµ²ªG¤j©ó©Îµ¥©ó¤¤Q¤À¥B¤Ö©ó¤¤Q¤¤À¡A«h°]¬F´©§Uªº¨C¤ëª÷ÃB´î¤Ö¦Ê¤À¤§¹sÂI¤¡]0.5%¡^¡F
¡]¤T¡^·í©Ó§å¤HªºªA°ÈµûŲµ²ªG¤j©ó©Îµ¥©ó¤¤Q¤¤À¥B¤Ö©ó¤»¤Q¤À¡A«h°]¬F´©§Uªº¨C¤ëª÷ÃB´î¤Ö¦Ê¤À¤§¹sÂI¤G¤¡]0.25%¡^¡F
¡]¥|¡^·í©Ó§å¤HªºªA°ÈµûŲµ²ªG¤j©ó©Îµ¥©ó¤»¤Q¤À¡A«h°]¬F´©§Uªº¨C¤ëª÷ÃBºû«ù¤£ÅÜ¡C
¤»¡B¤W´Ú©Ò«üªºªA°ÈµûŲµ²ªG±N«ö·Ó²Ä¤G¤Q±ø²Ä¤T´Ú³W©wªº®É¶¡§¹¦¨¼f®Ö¡A¥B¨C¦~1¤ë1¤é¦Ü6¤ë30¤éªºªA°ÈµûŲµ²ªG±N¥Î§@½Õ¾ã¤ä¥I¤©©Ó§å¤H¨C¦~11¤ë¦Ü²Ý¦~4¤ëªº°]¬F´©§Uª÷ÃB¡A¦Ó¨C¦~7¤ë1¤é¦Ü12¤ë31¤éªºªA°ÈµûŲµ²ªG±N¥Î§@½Õ¾ã¤ä¥I¤©©Ó§å¤H²Ý¦~5¤ë¦Ü10¤ëªº°]¬F´©§Uª÷ÃB¡C
²Ä¤Q±ø
2017¦~¤Î2018¦~¦UÀç¹B´Á°]¬F´©§Uªº½Õ¾ã
¤@¡B©Ó§å¤H¥i¦V¿Dªù¯S§O¦æ¬F°Ï¥Ó½Ð2017¦~¤Î2018¦~¦UÀç¹B´Áªº°]¬F´©§Uªº½Õ¾ã¡A¦³Ãö¥Ó½Ð¶·©óÀÀ½Õ¾ã¹ïÀ³Àç¹B´Áªº¤W¤@¦~7¤ë¥÷¤º¦V¿Dªù¯S§O¦æ¬F°Ï´£¥X¡A¨Ãªþ¦P¥Ó½Ð®Ñ¤Î¤U¦C¸ê®Æ¡G
¡]¤@¡^²Ä¤Q¤»±ø²Ä¥|´Ú©Ò«üªº¤å¥ó¡F
¡]¤G¡^¥HºÊ¹î¹êÅé«öªþ¥ó¤@²Ä¤Q±ø²Ä¥|´Úªº³W©wq©wªº¹wpÀç¹BÃþ«¬¤½¨½¼Æ¡A«ö·Óªþ¥ó¤²Ä¤@±ø²Ä¤T´Ú¦Ü²Ä¤´Ú¤Î²Ä¤G±øªº³W©wpºâÀÀ½Õ¾ã°]¬F´©§UªºÀç¹B´Áªº°]¬F´©§U¹wpª÷ÃB¡C
¤G¡B¿Dªù¯S§O¦æ¬F°Ï±N®Ú¾Ú¥H¤U¦U¶µªº³W©w¡Aµû¦ô¤W´Ú©Ò«ü©Ó§å¤H¥Ó½Ð½Õ¾ã°]¬F´©§Uªº¦X²z©Ê¡A¨Ã«ö·Óªþ¥ó¤²Ä¤@±ø²Ä¤T´Ú¦Ü²Ä¤´Ú¤Î²Ä¤G±øªº³W©w¡A¼f§åÀÀ½Õ¾ã°]¬F´©§UªºÀç¹B´Áªº°]¬F´©§U¹wpª÷ÃB¡G
¡]¤@¡^¥H´£¥X¥Ó½Ð¤§¦~ªº¤W¤@Àç¹B´Áªº¨C¤½¨½¥§¡¹ê»Ú²¼´Ú¦¬¤JpºâÀÀ½Õ¾ã°]¬F´©§UªºÀç¹B´Áªº²¼´Ú¦¬¤J¹wpÈ¡F
¡]¤G¡^«ö·Óªþ¥ó¤Kªº³W¨î¦¨¥»«ü¤Þ¡Apºâ´£¥X¥Ó½Ð¤§¦~ªº¤W¤@Àç¹B´Áªº¨C¤½¨½¥§¡Àç¹B¦¨¥»¡F
¡]¤T¡^´£¥X¥Ó½Ð¤§¦~ªº¤W¨âÓ¦~«×¤§¶¡ªº¿Dªù¯S§O¦æ¬F°Ïºî¦X®ø¶Oª«»ù«ü¼Æ¡B³°¸ô¹B¿é·~¥þ¾¦³Á~¹S¹µûªº¥§¡Á~¹S¡B¨®¥Î»´®ãªo¥§¡©w»ù¡B¤ÑµM®ð¥§¡°â®ð»ù¡A¥H¤ÎÕ¦³ªº¹q¯à¶O¥ÎÅܰʱ¡ªpªº¤ñ¸û¡C
¤T¡B¥»±ø©Ò«üªº°]¬F´©§Uªº½Õ¾ã±N¦bÀò§åãÀÀ½Õ¾ã°]¬F´©§UªºÀç¹B´Áªº1¤ë1¤é°_¥Í®Ä¡C
¥|¡B¸g¿Dªù¯S§O¦æ¬F°Ï¼f§åªº2017¦~¤Î2018¦~¦UÀç¹B´Á°]¬F´©§Uªº½Õ¾ã¡A±N¥Hªþ¥ó¤²Ä¤G±ø©Ò«üpºâ¤è¦¡¨ú±oªº¼ÆÈ¡A«ö·Ó¤W±ø²Ä¤T´Ú¦Ü¤»´Úªº³W©wµ²ºâ¤Î¤ä¥I¡C
¤¡B²Ä¤@´Úªº³W©w¤£¼vÅT¿Dªù¯S§O¦æ¬F°Ï¥i¦]À³Àç¹BÃþ«¬¤½¨½¼Æ¡B²¼´Ú¦¬¤J¡BÀç¹B¦¨¥»¤Î²Îp«ü¼ÐªºÅܰʡA«ö·Óªþ¥ó¤²Ä¤@±ø²Ä¤T´Ú¦Ü²Ä¤´Ú¤Î²Ä¤G±ø³W©wªºpºâ¤è¦¡¡A³æ¤è½Õ§C2017¦~¤Î2018¦~¦UÀç¹B´Áªº°]¬F´©§Uª÷ÃB¡C
²Ä¤Q¤@±ø
°]¬F´©§Uªº¤W
¤@¡BÕ«ö·Ó²Ä¤Q¤»±ø²Ä¥|´Ú¡B²Ä¤´Ú©Ò«üªº°]°È³ø§i¤Îªþ¥ó¤Kªº³W¨î¦¨¥»«ü¤Þpºâ¡A©Ó§å¤H¦b¨C¤@°]¬F¦~«×«ö³W¨î¦¨¥»«ü¤ÞpºâªºÀç¹B¦¬¤J¤ÎÂàÅý¸ê²£¦¬¤J¤§©M¤j©óÀç¹B¦¨¥»¡A¥B¨ä®tÃB¤j©ó°]¬F¦~«×Àç¹B¦¨¥»ªº¦Ê¤À¤§¥|¡]4%¡^¡A«h¸Ó®tÃB´î¥hÀç¹B¦¨¥»¦Ê¤À¤§¥|¡]4%¡^ªºª÷ÃB±N«ö·Ó¥H¤U³W©w¦b¤ä¥I¤©©Ó§å¤Hªº°]¬F´©§U¤¤¤©¥H¦©°£¡A¦ý¤£¼vÅT¥H¤U¨â´Úªº³W©w¡G
¡]¤@¡^¯A¤Î2015¦~¤Î2016¦~Àç¹B´ÁÀ³¦©°£ªºª÷ÃB±N¦b²Ý¦~¤ä¥I¤©©Ó§å¤Hªº°]¬F´©§U¤¤¦©°£¡F
¡]¤G¡^¯A¤Î2017¦~¤Î2018¦~Àç¹B´ÁÀ³¦©°£ªºª÷ÃB±N¦bµ²ºâ2018¦~6¤ë¤Î7¤ë¦Ó¤ä¥I¤©©Ó§å¤Hªº°]¬F´©§U¤¤¦©°£¡C
¤G¡B·í©Ó§å¤H¦b¹ïÀ³Àç¹B´ÁªºªA°ÈµûŲµ²ªGªº¥§¡È¤j©ó©Îµ¥©ó¤K¤Q¤À¥B¤Ö©ó¤E¤Q¤À¡A«h¤W´Ú©Ò«üªº¦Ê¤À¤ñ½Õ¾ã¬°¦Ê¤À¤§¥|ÂI¤¡]4.5%¡^¡C
¤T¡B·í©Ó§å¤H¦b¹ïÀ³Àç¹B´ÁªºªA°ÈµûŲµ²ªGªº¥§¡È¤j©ó©Îµ¥©ó¤E¤Q¤À¡A«h²Ä¤@´Ú©Ò«üªº¦Ê¤À¤ñ½Õ¾ã¬°¦Ê¤À¤§¤¡]5%¡^¡C
¥|¡BÕ«ö²Ä¤@´Ú³W©w¦b¤ä¥I¤©©Ó§å¤Hªº°]¬F´©§U¤¤©Ò¯à¦©°£ªºª÷ÃB¤£¨¬¥H©è¾PÀ³¦©°£ªºª÷ÃB®É¡A©Ó§å¤H¶·¦Û±µÀò°h¦^³qª¾¤§¤é°_p¤T¤Q¤é¤º¥H¾Ì³æ¤ä¥Iªº¤è¦¡°h¦^¦³Ãö´Ú¶µ¡C
²Ä¤Q¤G±ø
©Ó§å¤Hªº¸q°È
¤@¡B°£ªk¨Ò¤Î¥»¦X¦P³W©wªº¨ä¥L¸q°È¥~¡A©Ó§å¤H¥ç¶·¼i¦æ¤U¦C¸q°È¡G
¡]¤@¡^¦b¿Dªù¯S§O¦æ¬F°Ï¾Ö¦³©Ò»Ýªº¤H¤O¡B§Þ³N¤Î°]¬F¸ê·½¡A¥H¨}¦n¦a¸gÀ祻§åµ¹ªºªA°È¡A¨Ã±Ä¨ú¥²nªº±¹¬I½T«O¥Î©ó¥»§åµ¹ªA°Èªº¸ê²£Àò±o§´µ½ªº«O¾i¡F
¡]¤G¡^¦b¥ô¦ó®ÉÔ¡A¦V¼«È´£¨Ñ¦w¥þ¡Béw¤ÎµÎ¾AªºÀu½è¸ô½uªA°È¡A¬°¦¹¡A©Ó§å¤H¥²¶·®É¨èºÊ¹î©ÒÀç¸ô½uªu½uªº¥æ³qª¬ªp¡A¨Ã¶i¦æ¬°µû¦ôªA°Èªº¹B§@±ø¥ó©Ò»Ýªº¤@¤Á´ú¸Õ¡F
¡]¤T¡^¦b¥i¹w¨£ªº±¡ªp¡AÕ¦]©Ó§å¤Hªº¤½¥qª¬ªp¡A±N¼vÅTªA°Èªº¸gÀç©ÎªA°Èªº¥¿±`¹B§@¡A©Ó§å¤H¶·¥ß§Y³qª¾ºÊ¹î¹êÅé¡F
¡]¥|¡^¦b¥ô¦ó®ÉÔÄY®æ½T«O¼«È¤Î¨ä¥L¹D¸ô¨Ï¥ÎªÌªº¥Í©R¤Î°]²£¦w¥þ¡F
¡]¤¡^®Ú¾Úªk¨Ò³W©w¤Î«ö·ÓºÊ¹î¹êÅ骺«ü¥Ü¡AÁʶR¥Á¨Æ³d¥ô«OÀI¡A¥H½T«O¸gÀ祻§åµ¹ªA°Èªº©T¦³·ÀIÀò±o¦³®Ä¤Î§¹¥þªº«O»Ù¡A¨Ã¦bºÊ¹î¹êÅén¨D®É¡A´£¥æ¦³Ãö«O³æ¤Î¸ê®Æ¡F
¡]¤»¡^¶·©ó¥»¦X¦Pñq¤é°_p¤Ó¤u§@¤é¤º¡A«ö·Óªþ¥ó¤»²Ä¤@±øªº³W©w¦V¿Dªù¯S§O¦æ¬F°Ï´£¥æ2015¦~10¤ë1¤é¦Ü2018¦~7¤ë31¤éªº¾ãÅép¹º¡A¨ä¤¤¶·¥]¬A©Ó§å¤Hªº°]°Èp¹º¡B§ë¸êp¹º¤Î¨®½øºÞ²zp¹º¡F
¡]¤C¡^¿í¦u©Ò¦³¾A¥Î©ó¿Dªù¯S§O¦æ¬F°Ïªº²{¦æªk¨Ò¡B±N¨Ó¤½§Gªº¬ÛÃöªk¨Ò¡A¥H¤Î¤½¦@¦æ¬F¾÷Ãöªº«ü¤Þ©M³W©w¡C
¤G¡B¦b¥»§åµ¹´Á¶¡©¡º¡«e¡A©Ó§å¤H©|¶·¡G
¡]¤@¡^ºû«ùªÑ¥÷¦³¤½¥qªº§Î¦¡¡F
¡]¤G¡^¤½¥qÁ`§}³]©ó¿Dªù¯S§O¦æ¬F°Ï¡F
¡]¤T¡^¦b¿Dªù¯S§O¦æ¬F°Ï³]¦³¾A·íªº¦æ¬F©M¸gÀç¾÷ºc¤Î¨ä¥L¥²n³]¬I¡F
¡]¥|¡^¤½¥q¸ê¥»ÃB¦b¥ô¦ó®ÉÔ¤£±o§C©óMOP 20,000,000.00¡]¿Dªù¤¸¶L¥a¸U¶ê¥¿¡^¡A¥B¶·¥Ã¤£§C©ó¤½¥q¸ê²£Á`Ȫº¦Ê¤À¤§¤G¤Q¡]20%¡^¡F
¡]¤¡^©Ó§å¤H¶·±Ä¨ú±¹¬I¡A¨Ï¤½¥qªº¶Å°È¦b¥»§åµ¹´Á¶¡¤º¤£°ª©ó¸ê²£Á`Ȫº¦Ê¤À¤§¤K¤Q¡]80%¡^¡A¥H½T«O¤½¥qªºÀv¶Å¯à¤O¡C
¤T¡B¥¼¸g¿Dªù¯S§O¦æ¬F°Ï¹w¥ý§åã¡A©Ó§å¤H¤£±o¡G
¡]¤@¡^§ó§ï¤½¥q©v¦®¡F
¡]¤G¡^ÁY´î¤½¥q¸ê¥»ÃB¡F
¡]¤T¡^Åܧó¡B¤À¥ß¡B¦X¨Ö©Î¸Ñ´²¤½¥q¡F
¡]¥|¡^ÁʸmÀç¹B¨®½ø©Î¤£°Ê²£¡F
¡]¤¡^¥H¥ô¦ó¦W¸q¹ïÀç¹B¨®½ø©Î¤£°Ê²£§@¥XÂàÅý©Î³]©wt¾á¡F
¡]¤»¡^¸gÀ祻§åµ¹ªA°È¥H¥~ªº¨ä¥L·~°È¡A¦ý¥X¯²««¬¨®½ø¤Î±N¨®½ø¥Î©ó¬°²Ä¤TªÌ§@¼s§i°£¥~¡C
¥|¡B¬°«OÃÒ¦b¥»§åµ¹´Á¤º¤½¥q¸ê¥»ÃB²Å¦X²Ä¤G´Ú¡]¥|¡^¶µªº³W©w¡A©Ó§å¤H¦³¸q°È¼W¥[¸ê¥»¡A¨Ã¶·¦b¨CÓ°]¬F¦~«×¶}©l«á°_p¤@¦Ê¤K¤Q¤é¤º§¹¦¨¡C
¤¡B©Ó§å¤H¦b¸gÀ祻§åµ¹ªA°È¥H¥~ªº¨ä¥L·~°È®É¡A¶·¥H¤£¼vÅT¥»§åµ¹ªA°Èªº¸gÀç½è¯À¬°¡A¤×¨ä©Ó§å¤H±N¨®½ø¥Î©ó¬°²Ä¤TªÌ§@¼s§i®É¡A¶·¿í¦u¬ÛÃöªk¨Ò³W©w¡A¨Ã¶·«ö·ÓºÊ¹î¹êÅ骺n¨D¡A´£¨Ñ¬ÛÃöªº¸gÀç¸ê®Æ¡C
²Ä¤Q¤T±ø
Àç¹BªA°È
©Ó§å¤H¶·«ö·Óªþ¥ó¤Tªº³W©w¸gÀ祻§åµ¹ªA°Èªº¬ÛÃöÀç¹BªA°È¡A¿í±q¨Ã°t¦X¥ÑºÊ¹î¹êÅé©ÒqªººÊ·þ¤u§@¡A¥H½T«O¹D¸ô¶°Åé«È¹B¤½¦@ªA°Èªº¥¿±`¹B§@¡C
²Ä¤Q¥|±ø
©Ó§å¤Hªº¤Hû
¤@¡B©Ó§å¤H¥²¶·Àu¥ý¹µ¥Î¿Dªù¯S§O¦æ¬F°Ïªº¥»¦a³Ò¤u¡C
¤G¡B©Ó§å¤H¶·¨Ï¨ä©Ò¦³¤u§@¤Hû¿í¦u¿Dªù¯S§O¦æ¬F°Ï¬ÛÃöªk¨Òªº³W©w¡A¨ã³Æ¾A·íªº¤u§@¸ê®æ¡A¤×¨ä¶·¿í¦u²{¦³©Î±N¨Ó¤½§G¦³Ãö¥æ³qºÞ²zªºªk¨Ò¡Aպʹî¹êÅén¨D®É¡A©Ó§å¤H¶·´£¨Ñ¸ê®ÆÃÒ©ú¨ä¤Hû«ö·Óªk¨Òªº³W©w°õ¦æ±M·~¤u§@¡C
¤T¡B©Ó§å¤H¥²¶·½T«O¨ä¤u§@¤Hû¹ï¦b¦³Ãö¤u§@¤¤©ÒÀò±xªº¸ê®Æ«O±K¡A¨Ã¶·½T«O¤u§@¤Hû¨ã³Æ±M·~ª¾ÃÑ¡B¦³¬ö«ß¡B»{¯u¡B¾ã¼ä¤Î¼ö¸Û¦³Â§¡C
¥|¡B¥ÑºÊ¹î¹êÅé§@¥X³qª¾¤é°_p¤C¤é¤º¡A©Ó§å¤H¶·´À´«¤£¾A·í¦a¼i¦æÂ¾°È¤Î¾³dªº¤u§@¤Hû¡A¤×¨ä¬O¥H¤£§¹µ½¡B©ì©µ©Î¤£·íªº¤è¦¡¼i¦æ¨ä¾°È¤Î¾³dªº¤Hû¡C
¤¡B©Ó§å¤HµLÅv¦]°õ¦æ¤W´Ú³W©wªº´À´«¦Ó¯Á¨ú¥ô¦ó½ßÀv¡C
¤»¡B©Ó§å¤Hªº¥~¶Ô¤u§@¤Hû¡A¦p¯¸ªø¡B½]¬d¤Hû¤Î¥q¾÷¡A¥²¶·¾ã»ô¦a¬ïµÛºÊ¹î¹êÅé®Ö㪺±M¥Î¨îªA¤Î°tÀ¹¤½¥qÃÒ¥ó¡A¨Ã¥B¥²¶·Â§«Ý¼«È¡C
²Ä¤Q¤±ø
Àç¹B¸ê®Æ
¤@¡B¦bÀç¹B½d³ò¤º¡A©Ó§å¤H¥²¶·«Ø¥ß¤@Ó¦¬¶°¡B³B²z¤Î²Îp¸ê®Æªº¨t²Î¡A¥H«K¦³³W«ß¦a¸ò¶i¹B¿é·~°ÈªºÅܤƱ¡ªp¡C
¤G¡B©Ó§å¤H¶·«ö·Óªþ¥ó¤»ªº³W©w¦VºÊ¹î¹êÅé´£¨ÑÀç¹B¸ê®Æ¡C
²Ä¤Q¤»±ø
·|p
¤@¡B©Ó§å¤H¶·±Ä¥Î²Å¦X¿Dªù¯S§O¦æ¬F°Ïªk¨Ò³W©wªº·|p·Ç«h½s¨î¨ä±b¥Ø¡C
¤G¡B©Ó§å¤H¶·¦b¨ä¤½¥qÁ`§}¦s³Æ¸g¾A·í½s¨îªº¡B³Ì·sªº¥B¥H¿Dªù¯S§O¦æ¬F°Ï¬y³q³f¹ôªí¥Üªº±b¥Ø¤Î¨ä²Õ¦¨¤å¥ó¡A¨Ã¶·¿í¦u¾A¥Îªk¨Ò©Mªþ¥ó¤Cªº³W©w¡C
¤T¡B©Ó§å¤H©Ò´£¨Ñªº©T©w¸ê²£ªº²M³æ¶·¯à¨Ï¤H©ö©ó²M·¡ÃѧO¨ä¥þ³¡²Õ¦¨³¡¥÷¡C
¥|¡B°£¤U´Ú³W©wªº±¡ªp¥~¡A©Ó§å¤H¶·©ó¨C¦~3¤ë31¤é©Î¥H«e¦VºÊ¹î¹êÅé´£¥æ¤W¤@¦~ªº°]°È³ø§i¡B²Õ¦¨Àç¹BºÞ²z±b¥Øªº¬ÛÃö¤å¥ó¤Î«ö·Óªþ¥ó¤Kªº³W©wpºâªº³W¨î¦¨¥»¼Æ¾Ú¡A¨Ãªþ¦P¥~³¡®Ö¼Æ®v·N¨£¤Î¬ÛÃö¸ê®Æ¡A¦ÓºÊ¹î¹êÅé¥ç¥i¦b¥ô¦ó®ÉÔn¨D©Ó§å¤H´£¨Ñ¬ÛÃö¸ê®Æ¡C
¤¡B¦³Ãö¥»§åµ¹´Á©¡º¡¤§¦~ªº°]°È³ø§i¡B²Õ¦¨Àç¹BºÞ²z±b¥Øªº¬ÛÃö¤å¥ó¡B«ö·Óªþ¥ó¤Kªº³W©wpºâªº³W¨î¦¨¥»¼Æ¾Ú¡B¥~³¡®Ö¼Æ®v·N¨£¤Î¬ÛÃö¸ê®Æ¡A©Ó§å¤H¶·©ó¥»§åµ¹´Áº¡¤§¤é°_p¤E¤Q¤é¤º¦VºÊ¹î¹êÅé´£¥æ¡C
²Ä¤Q¤C±ø
²¾Âà»P¤ÀÀç
¤@¡B©Ó§å¤H¤£±o¥H¥ô¦ó¤è¦¡±N¥»§åµ¹¥þ³¡©Î³¡¤À²¾Âà¡C
¤G¡B©Ó§å¤H±N©ÒÀç¸ô½u¥þ³¡©Î³¡¤À¤ÀÀç¡A¥H¤Î¹ï¨ä¤½¥qªÑ¥÷¶i¦æ²¾Âà¡B¤À³Î¡B¼W´î©Î»{ÁÊ¡A§¡¶·¸g¿Dªù¯S§O¦æ¬F°Ï¹w¥ý§åã¡C
²Ä¤Q¤K±ø
µ|°È¨î«×
©Ó§å¤H¥Î©ó¶°Åé¹B¿éªºÀç¹B¨®½ø¡A±N¨ÌªkÀòÁŧK©Î´î¤Ö¾÷°Ê¨®½øµ|¤Î¨®½ø¨Ï¥ÎµP·Óµ|¡C
²Ä¤Q¤E±ø
ºÊ¹î
¤@¡B°õ¦æ¥»§åµ¹ªA°ÈªººÊ¹î¤u§@ªº¹êÅ鬰¥æ³q¨Æ°È§½¡A¦ý¤£¼vÅT¨ãÅv¹êÅé«ö¨ä²Õ´ªkªº³W©w¹ï¥»§åµ¹ªA°ÈªººÊ¹î¾Åv¡C
¤G¡BºÊ¹î¹êÅé¥iª½±µ¤Î/©Î³z¹L²Ä¤TªÌºÊ¹î¥»§åµ¹ªA°Èªº¼i¦æ±¡ªp¡A¤×¨ä³]¥ß¤U±ø©Ò«üªºªA°ÈµûŲ¨î«×¡A¥H¤Î±Ä¨ú¨ä»{¬°¾A©yªº±¹¬I¡A½T«O©Ó§å¤H¼i¦æ¥»¦X¦P¸q°È¡C
¤T¡B¦b¤W´Ú©Ò«üªººÊ¹î¤Hû°õ¦æºÊ¹î¤u§@®É¡A©Ó§å¤H¥²¶·´£¨Ñ¨ä¦X²zn¨Dªº¤@¤Á¸ÑÄÀ©M¸ê®Æ¡A¨Ãµ¹¤©¤@¤Á©Ò»Ýªº¨ó§U¡A¤×¨ä¬O´£¨ÑºÊ¹î³]³Æ©Ò»Ý¯à·½¥H¤Îº¡¨¬ºÊ¹î³]³Æªº¹B§@Àô¹Ò¡C
¥|¡B¬°¾A¥Î¤W´Úªº³W©w¡A©Ó§å¤H¥²¶·¡G
¡]¤@¡^µ¹¤©ºÊ¹î¤Hû¶i¤J¤ÎÀˬd»P¥»§åµ¹ªA°È¬ÛÃöªº¥þ³¡³]¬I¤Î³õ¦a¡F
¡]¤G¡^ÅýºÊ¹î¤Hû¸g¥X¥ÜÃÒ©ú¤å¥ó«á¡A§K¶Oµn¤W©Ó§å¤H©ÒÀç¸ô½uªº¨®½ø°õ¦æÂ¾°È¡F
¡]¤T¡^´£¨Ñ»P¥»§åµ¹ªA°È¦³Ãöªº¤@¤Á±b¥Ø¡B°O¿ý¤Î¤å¥ó¡F
¡]¥|¡^¶}©ñ´¼¼z¤½¥æºÞ²z¨t²Îªº±µ¤J°ð¡AÅýºÊ¹î¤HûÂsÄý¤é±`Àç¹B©MºÞ²z¡F
¡]¤¡^¥H®Ñ±¤è¦¡³qª¾ºÊ¹î¹êÅé¥ô¦ó¼vÅT¸ô½uªA°Èªº¨Æ±¡¡A©Î¦bºò«æ±¡ªp¤U§@¥X¤fÀY³qª¾¡A¨Ã¶·¦b¨Æ«á¸É¥æ®Ñ±¸ê®Æ¡C
²Ä¤G¤Q±ø
ªA°ÈµûŲ¨î«×
¤@¡BºÊ¹î¹êÅé±N³z¹LªA°ÈµûŲ¨î«×ºÊ¹î©Ó§å¤H°õ¦æ¥»§åµ¹ªA°Èªº¼i¦æ±¡ªp¡C
¤G¡BªA°Èµûؤ׍ä«ö·Ó¥H¤U«ü¼Ð§@¬°µû¤À°ò¦¡A¦ý¤£¼vÅT²Ä¥|´Úªº³W©w¡G
¡]¤@¡^ªA°È«ü¼Ð¡A¨ä¤¤¥]¬Aµo¨®¶¡¶Z¤Î¸ê°TÅã¥Ü¡F
¡]¤G¡^¹B¿é¤u¨ã³]³Æ»P¦w¥þ«ü¼Ð¡A¨ä¤¤¥]¬A¨®½ø³]¬I¡B¹H³W²v¤Î»F¨Æ²v¡F
¡]¤T¡^¾r¾pû¦æ¬°«ü¼Ð¡A¨ä¤¤¥]¬A¬O§_«ö«ü©w¸ô½u¦æµ{¦æ¾p¤Î¬O§_©¿²¤¼«È¤W¡B¤U¨®ªº¥Ü·Nn¨D¡F
¡]¥|¡^¤½¥q¸gÀç»PºÞ²z«ü¼Ð¡A¨ä¤¤¥]¬A¬Fµ¦°t¦X¤Î¦Û¥D§ïµ½¡F
¡]¤¡^¼«Èº¡·N«×«ü¼Ð¡C
¤T¡B¹ï©Ó§å¤H2015¦~10¤ë1¤é¦Ü2015¦~12¤ë31¤éªA°È´Á¶¡¶i¦æªA°ÈµûŲªºµûŲµ²ªG±N©ó²Ý¦~3¤ë¤º§¹¦¨¼f®Ö¡A¨ä«á¨C¦~1¤ë1¤é¦Ü6¤ë30¤éªºªA°ÈµûŲµ²ªG±N©ó¦P¦~9¤ë¤º§¹¦¨¼f®Ö¡A¨C¦~7¤ë1¤é¦Ü12¤ë31¤éªºªA°ÈµûŲµ²ªG«h©ó²Ý¦~3¤ë¤º§¹¦¨¼f®Ö¡A¦ý¤£¼vÅT¤U´Úªº³W©w¡C
¥|¡BºÊ¹î¹êÅé¥i®Ú¾Ú¥»§åµ¹ªA°ÈªººÊ¹î±¹¬I¤Î¾A¥Î©ó¥»§åµ¹ªA°Èªº¦æ·~ºD¨Ò¡A¦bÅ¥¨ú©Ó§å¤Hªº·N¨£«á¡A¹ïªA°ÈµûŲ¨î«×¶i¦æÀ˰Q¡A×q¥H¤W¨â´Ú©Ò«üªºªA°ÈµûŲ«ü¼Ð¤Î¼f®Ö®Éµ{¡C
²Ä¤G¤Q¤@±ø
¬F©²¥Nªí
¤@¡B©Ó§å¤Hªº·~°È¥Ñ³z¹L¿Dªù¯S§O¦æ¬F°Ï¦æ¬Fªø©x§å¥Ü«ü¬£ªº¤@¦W¬F©²¥Nªíªø´Á¸ò¶i¡A¨ä¦b°õ¦æÂ¾°È®É¨ãªk©wªºÂ¾³d¤ÎÅv¡C
¤G¡B¤W´Ú©Ò«ü¥Nªíªº³ø¹S¥Ñ©Ó§å¤Ht¾á¡A¨Ã¥Ñ¤W´Ú©Ò«üªº¦æ¬Fªø©x§å¥Üq©w¡C
²Ä¤G¤Q¤G±ø
»@´Ú
¤@¡B¦b¤£¼vÅT¤U±ø²Ä¤@´Úªº³W©w¤U¡AÕ¹J¤U¦C±¡ªp¡A©Ó§å¤H±N³Q¬ì³B»@´Ú¡G
¡]¤@¡^©Ó§å¤H¨Ï¥Î¥¼¸g¿Dªù¯S§O¦æ¬F°Ï«ü©wªº¹q¤l³f¹ô¥æ©öªA°È¨t²Î¡A¨C©vÓ®×»@´ÚÃB¬°MOP 500,000.00¡]¿Dªù¤¸¥î¬B¸U¶ê¥¿¡^¡F
¡]¤G¡^©Ó§å¤H¹H¤Ï²Ä¤Q¥|±ø²Ä¤@´Úªº³W©w¡A¨C©vÓ®×»@´ÚÃB¬°MOP 500,000.00¡]¿Dªù¤¸¥î¬B¸U¶ê¥¿¡^¡F
¡]¤T¡^©Ó§å¤H¥¼¸g¿Dªù¯S§O¦æ¬F°Ïªº¹w¥ý§åã¡A¸gÀç²Ä¤T¼Ð¬q¥H¥~ªº¸ô½u¡A¨C©vÓ®×»@´ÚÃB¬°MOP 250,000.00¡]¿Dªù¤¸¶L¬B¥î¸U¶ê¥¿¡^¡F
¡]¥|¡^©Ó§å¤H¦V¼«È¦¬¨ú¸g¿Dªù¯S§O¦æ¬F°Ï®Ö㪺²¼»ù¥H¥~ªº¶O¥Î©Î¥¼«ö³W©wªº¦¬¶O¼Ò¦¡¦¬¶O¡A¨C¥x¹H³W¨®½øªº»@´ÚÃB¬°MOP 100,000.00¡]¿Dªù¤¸³ü¬B¸U¶ê¥¿¡^¡F
¡]¤¡^©Ó§å¤H¨S¦³¿í¦u¥»¦X¦P©Îªþ¥óªº³W©w¦Ó¬y¥¢²¼´Ú¡A¨C©vÓ®×»@´ÚÃB¬°MOP 100,000.00¡]¿Dªù¤¸³ü¬B¸U¶ê¥¿¡^¡F
¡]¤»¡^©Ó§å¤H¥¼¸g¹w¥ý§åã¦Ó¶i¦æ¥²¶·Àò±o¹w¥ý§å㪺¦æ¬°¡A¦p¥»¦X¦P¨S¦³³W©w¸û«ªº»@´Ú¡A«h¨C©vÓ®×»@´ÚÃB¬°MOP 100,000.00¡]¿Dªù¤¸³ü¬B¸U¶ê¥¿¡^¡F
¡]¤C¡^©Ó§å¤H´£¨Ñªþ¥ó¤»³W©w©Ò«üªº¯Z¦¸¼Æ¶qªº¸ê®Æ¤£·Ç½T¡A«h¨C¤@¤£·Ç½T¤§³Bªº»@´ÚÃB¬°MOP 100,000.00¡]¿Dªù¤¸³ü¬B¸U¶ê¥¿¡^¡F
¡]¤K¡^©Ó§å¤H´£¨Ñªþ¥ó¤»³W©w©Ò«üªº¯Z¦¸¼Æ¶q¥H¥~ªº¼Æ¾Ú¸ê®Æ¤£·Ç½T¡A«h¨C¤@¤£·Ç½T¤§³Bªº»@´ÚÃB¬°MOP 50,000.00¡]¿Dªù¤¸¥î¸U¶ê¥¿¡^¡F
¡]¤E¡^©Ó§å¤H¥¼«ö·Óªþ¥ó¥|²Ä¤G±øªº³W©w´£¥æ¨®½øÁʸm¤Î²^¨O°õ¦æp¹º¡A¨C©vÓ®×»@´ÚÃB¬°MOP 30,000.00¡]¿Dªù¤¸叁¸U¶ê¥¿¡^¡F
¡]¤Q¡^©Ó§å¤H¥¼«ö·Óªþ¥ó¥|²Ä¤G±øªº³W©w°õ¦æ¨®½øÁʸm¤Î²^¨O°õ¦æp¹º¡A¨C©vÓ®×»@´ÚÃB¬°MOP 50,000.00¡]¿Dªù¤¸¥î¸U¶ê¥¿¡^¡F
¡]¤Q¤@¡^©Ó§å¤H´£¨Ñ¤Ö©ó³W©wªº¯Z¦¸ÀW²v¡A¨C©vÓ®×»@´ÚÃB¬°MOP 50,000.00¡]¿Dªù¤¸¥î¸U¶ê¥¿¡^¡F
¡]¤Q¤G¡^©Ó§å¤H¥¼«ö·Ó²Ä¥|±ø²Ä¤E´Úªº³W©wÁʸm¤ÑµM®ð¤Ú¤h¡A«ö¥¼Áʸmªº¨®½ø¼Æ¶q¨C¥x»@´ÚÃB¬°MOP 50,000.00¡]¿Dªù¤¸¥î¸U¶ê¥¿¡^¡C
¡]¤Q¤T¡^©Ó§å¤H¥¼«ö·Ó¥»¦X¦Pªº³W©w¤½§G«H®§¡A¨C©vÓ®×»@´ÚÃB¬°MOP 30,000.00¡]¿Dªù¤¸叁¸U¶ê¥¿¡^¡F
¡]¤Q¥|¡^¨ä¥L¹H¤Ï¥»¦X¦P©Îªþ¥óªº±¡ªp¡A¨C©vÓ®×»@´ÚÃB¬°MOP 30,000.00¡]¿Dªù¤¸叁¸U¶ê¥¿¡^¡C
¤G¡B¬ì³B¥ô¦ó»@´Ú«e¡A¿Dªù¯S§O¦æ¬F°Ï±N¥H®Ñ±¤è¦¡³qª¾©Ó§å¤H¡A¨Ã»¡©úì¦]¡A¥B¦b¾A¥Î®É«ü©ú´_쪺±ø¥ó¡A¥H«K©Ó§å¤H©ó¤Q¤é´Á¶¡¤º´£¥XµªÅG¡C
¤T¡B©Ó§å¤H¥²¶·¦b±µÀò»@´Ú³qª¾¤§¤é°_p¤T¤Q¤é¤ºÃº¥I»@´Ú¡FÕ¥¼©ó¦¹´Á¶¡¤º²Mú¡A¿Dªù¯S§O¦æ¬F°Ï¦³Åv±q«OÃÒª÷¤¤©Î¦b¿Dªù¯S§O¦æ¬F°Ï¤ä¥I¤©©Ó§å¤Hªº°]¬F´©§U¤¤¦©°£¦³Ãö´Ú¶µ¡C
¥|¡B¬ì³B¥»±ø©Ò³W©wªº»@´Ú¨Ã¤£§K°£©Ó§å¤H©Ó¾á¹ï²Ä¤TªÌ©Î¦³ªº³d¥ô¥H¤Î¨ä¥L¨Ìªk¶·©Ó¾áªº³d¥ô¡A¥B¤£¼vÅT¿Dªù¯S§O¦æ¬F°Ï¦V©Ó§å¤H°l°Q¿Dªù¯S§O¦æ¬F°Ï»X¨üªº¤@¤Á·l¥¢¤Î·l®`ªº½ßÀvÅv§Q¡C
²Ä¤G¤Q¤T±ø
¥Ñ¿Dªù¯S§O¦æ¬F°Ï¸Ñ°£§åµ¹
¤@¡BÕ¥X²{¥H¤U±¡ªp¡A¿Dªù¯S§O¦æ¬F°Ï¥i³æ¤è¸Ñ°£¥»§åµ¹¡A©Ó§å¤HµLÅvn¨D¥ô¦ó½ßÀv¡A¥B¤£¼vÅT¿Dªù¯S§O¦æ¬F°Ï¦V©Ó§å¤H°l°Q¿Dªù¯S§O¦æ¬F°Ï»X¨üªº¤@¤Á·l¥¢¤Î·l®`ªº½ßÀvÅv§Q¡G
¡]¤@¡^©Ó§å¤H©ñ±ó©ÎµL¬G¤¤Â_¸gÀç¥þ³¡©Î³¡¤À¥»¦X¦P¼Ðªº¤§ªA°È¡F
¡]¤G¡^©Ó§å¤H¤£¿í¦uºÊ¹î¹êÅé´N°õ¦æ¥»¦X¦P¸q°È¥H®Ñ±¤è¦¡§@¥Xªº«ü¥Ü¡A¥B¦b±µÀò³qª¾«á¤´¥¼¦b«ü©w´Á¶¡¤º¼i¦æ¨ä¸q°È¦Ó¨Ï§åµ¹ªA°È©úÅã¨ü¨ì·l®`¡F
¡]¤T¡^©Ó§å¤H¥þ³¡©Î³¡¤ÀÂಾ¥»¦X¦P¦a¦ì¡F
¡]¥|¡^¥¼¸g¿Dªù¯S§O¦æ¬F°Ï¹w¥ý§åã¡A©Ó§å¤H±N©ÒÀç¸ô½u¥þ³¡©Î³¡¤À¤ÀÀç¡F
¡]¤¡^©Ó§å¤H³Q¬ìªº»@´Úª÷ÃB²Ö¿n¶W¹LMOP 1,000,000.00¡]¿Dªù¤¸³ü¨Õ¸U¶ê¥¿¡^¡F
¡]¤»¡^©Ó§å¤H¯}²£¡B¸Ñ´²©ÎÂàÅý¸ê²£¦ÓÄY«¼vÅT¥»§åµ¹ªA°Èªº¥¿±`¹B§@¡A¤S©Î¦b¥qªkµ{§Ç¤¤q¥ß¶ÅÅv¤H¨óij©Î¨ó©w¡F
¡]¤C¡^´N¦³Ãö¥»¦X¦Pªº°õ¦æªº¥ô¦ó¨Æ©y¡A©Ó§å¤H¦]´£¨Ñµê°²Án©ú¦Ó³Qªk°|µô©w¦³¸o¡A¥B¦³Ãö§P¨M¤wÂର½T©w¡F
¡]¤K¡^©Ó§å¤H¤£«ö·Ó²Ä¤G¤Q¤K±øªº³W©w«¸m«OÃÒª÷¡F
¡]¤E¡^¥X²{¤U±ø²Ä¤»´Ú³W©wªº±¡ªp¡C
¤G¡B¿Dªù¯S§O¦æ¬F°ÏÁÙ«O¯d°ò©ó¤½¦@§Q¯q¥i©ó¥ô¦ó®ÉԸѰ£¥»§åµ¹ªºÅv§Q¡A¦ÓµL¶·¨Æ¥ýÅ¥¨ú©Ó§å¤Hªº·N¨£¡C
¤T¡B¦]²Ä¤@´Ú©Òzªºì¦]¸Ñ°£¥»§åµ¹®É¡A¿Dªù¯S§O¦æ¬F°Ï±N¥H®Ñ±¤è¦¡³qª¾©Ó§å¤H¡A¨Ã»¡©úì¦]¡A¥H«K©Ó§å¤H©ó¤Q¤é´Á¶¡¤º´£¥XµªÅG¡C
¥|¡BÕ¦]²Ä¤@´Ú©Òzªºì¦]¸Ñ°£¥»§åµ¹®É¡A©Ó§å¤H±N³à¥¢¤w´£¥æªº«OÃÒª÷¡A¸Ó«OÃÒª÷¼·Âk¿Dªù¯S§O¦æ¬F°Ï©Ò¦³¡C
²Ä¤G¤Q¥|±ø
±µºÞ
¤@¡B·í¥X²{¥H¤U±¡ªp¡A¿Dªù¯S§O¦æ¬F°Ï¥i±µºÞ¥»§åµ¹ªA°È¡A¨Ã¥i¨Ï¥Î¦³Ãöªºû¤u¡B³]¬I¤Î³]³Æ¡A¤×¨ä¬O¨®½ø¡B¹s¥ó¤Î§÷®Æ¡G
¡]¤@¡^©Ó§å¤H¦b¥¼¸g³\¥i©Î«D¦]¤£¥i§Ü¤Oªº±¡ªp¦Ó³y¦¨©Î§Y±N³y¦¨ªA°Èªº¥þ³¡¤¤Â_©Î¾ÉPÄY«¼vÅT¸ÓªA°Èªº¸gÀ窺¤j³¡¤À¤¤Â_¡F
¡]¤G¡^©Ó§å¤H¥»¨¦b²Õ´¡B¹B§@¤W¥X²{ÄY«°ÊÀú©Î¯Ê¥¢¡A©Î¥Î©ó¥»§åµ¹ªA°Èªº³]¬I¤Î³]³Æ¤W¥X²{ÄY«¯Ê³´©Î¤£¨¬¡C
¤G¡B¬°¾A¥Î¤W´Ú¡]¤@¡^¶µªº³W©w¡A«D¦]©Ó§å¤H¬G·N©Î¹L¥¢³y¦¨ªº¤£¥i¹w¨£¤Î¤£¥i©è§Üªº¦ÛµM¦]¯À©Îª¬ªp¡A¤×¨ä¬O·íµo¥Í¤£¥i¹w¨£ªºÄY«¨Æ¬G¡B¨aº×©Î¦ÛµM¨aÃøµ¥ÄY««Â¯ÙÓ¤H¥Í©R¦w¥þªº±¡ªp¡A§¡³Qµø¬°¤£¥i§Ü¤Oªº±¡ªp¡C
¤T¡B¬°¾A¥Î²Ä¤@´Ú¡]¤G¡^¶µªº³W©w¡A©Ó§å¤H©Î¨ä¶ÅÅv¤H¦Vªk°|¥Ó½Ð«Å§i©Ó§å¤H¯}²£¡A§¡³Qµø¬°©Ó§å¤H¥X²{ÄY«°ÊÀúªº±¡ªp¤§¤@¡C
¥|¡B¦b±µºÞ±¡ªp¤U¡A¬°ºû«ù¸gÀçªA°È¥¿±`¤Î¤é±`ªºt¾á¡A¥]¬A¬°«ì´_¥¿±`ªA°ÈªºÕ¦³ÃB¥~¶O¥Î¡A·§¥Ñ©Ó§å¤H©Ó¾á¡C
¤¡B¾ÉP±µºÞªº¦]¯À¤@¥¹®ø¥¢¡A©Ó§å¤H±NÀò³qª¾¦b«ü©w®É¶¡¤º¥H¥¿±`±ø¥ó«ì´_¸gÀ祻§åµ¹ªº¤½¦@ªA°È¡A¨ÃÀò¥æÁÙ¦³Ãöªº³]¬I¤Î³]³Æ¡A¤×¨ä¬O¨®½ø¡B¹s¥ó¤Î§÷®Æ¡C
¤»¡BÕ©Ó§å¤H¤£±µ¨ü«ì´_¸gÀç¡A¿Dªù¯S§O¦æ¬F°Ï¥i§Y®É¥H¤£¼i¦æ¦X¦P¸q°È¬°¥Ñ¸Ñ°£¥»§åµ¹¡C
²Ä¤G¤Q¤±ø
Å«¦^
¤@¡B°ò©ó¤½¦@§Q¯q¡A¿Dªù¯S§O¦æ¬F°Ï¥i©ó¦Û¥»¦X¦Pñq¤é°_p¨â¦~«á±N§åµ¹Å«¦^¡C
¤G¡BÕÅ«¦^¥»§åµ¹¡A±N´£«e¤»Ó¤ë³qª¾©Ó§å¤H¡C
¤T¡B¿Dªù¯S§O¦æ¬F°Ï¦ÛÅ«¦^¤é°_±N©Ó¾á©Ó§å¤H¬°¸gÀ祻¦X¦P½d³ò¤º·~°È¦Ó¨Ìªkñqªº¦X¦P©Ò²£¥ÍªºÅv§Q©M¸q°È¡A¥H¤Î¨ú±o¸gÀ祻§åµ¹ªA°È¯A¤Îªº©Ò¦³°]²£¡C
¥|¡B¦Û±µÀò³qª¾¤§¤é°_¡A¥¼¸g¿Dªù¯S§O¦æ¬F°Ï©ú¥Ü§åã¡A©Ó§å¤H¤£±o¥H¥ô¦ó¦W¸q±N¤W´Ú©Ò«üªº°]²£ÂàÅý©Î³]©wt¾á¡C
²Ä¤G¤Q¤»±ø
ÂkÄÝ
¤@¡B¦]¥»§åµ¹´Áº¡¡BÅ«¦^¡B¸Ñ°£©ÎÂù¤è¨óij¦Ó®ø·À®É¡A¥Î©ó¥»§åµ¹ªA°È©Ò¯A¤Îªº°]²£©MÅv§Q¤@·§ÂkÄÝ¿Dªù¯S§O¦æ¬F°Ï¡A¦ý¤£¼vÅT¤U±øªº³W©w¡C
¤G¡B¥æ¥I¤W´Ú©Òzªº°]²£®É¡A©Ó§å¤H¥²¶·½T«O¸Óµ¥°]²£³B©ó¨}¦nªº¹B§@¡B«O¾i¤Î¦w¥þª¬ªp¡A¦ýÄݬ°¿í¦u¥»¦X¦Pªº³W©w¦Ó¨Ï¥Î¸Óµ¥°]²£®É©Ò³y¦¨ªº¥¿±`·l¯Ó°£¥~¡F¦¹¥~¡A¥ç¶·½T«O¸Óµ¥°]²£¤£t¥ô¦ó³d¥ô©Ît¾á¡C
¤T¡BÕ¥X²{ÂkÄݪº±¡ªp¡A¿Dªù¯S§O¦æ¬F°Ï¦³Åv¨ú¥N©Ó§å¤H¤wñq¦Ó¤´¥Í®Äªº©Ò¦³»P¥»§åµ¹ªA°È¦³Ãöªº¦X¦P©M¨óij¦a¦ì¡C
¥|¡B¦b¤W´Ú©Ò«üªº±¡ªp¤U¡A±N¤£¼vÅT¿Dªù¯S§O¦æ¬F°Ï¦]¨ú¥N¸Óµ¥¦X¦P©Î¨óij¦a¦ì©Ò©Ó¾á¶Å°È¦Ó¹ï©Ó§å¤H¦æ¨Ï¯ÁÀvÅv¡C
²Ä¤G¤Q¤C±ø
ÂkÄݪº»ùÈ
¤@¡BÕ¿Dªù¯S§O¦æ¬F°Ï®Ú¾Ú²Ä¤G¤Q¤T±ø²Ä¤@´Úªº³W©w¸Ñ°£¥»§åµ¹¡A«h¥Î©ó¥»§åµ¹ªA°Èªº©Ò¦³°]²£©MÅv§Q§¡µLÀvÂkÄÝ¿Dªù¯S§O¦æ¬F°Ï¡C
¤G¡BÕ¦]Âù¤è¨óij®ø·À¥»§åµ¹®É¡A±N³z¹L¿Dªù¯S§O¦æ¬F°Ï»P©Ó§å¤HÂù¤è¨óijq©w¦³Ãö¸ÉÀv¡C
¤T¡B®Ú¾Ú²Ä¤±øªº³W©w¦]¥»§åµ¹´Á©¡º¡¦Ó®ø·À§åµ¹®É¡A©Ó§å¤H±N¦³Åv¦¬¨ú¤@µ§ª÷ÃB§@¬°¸ÉÀv¡A¸Óª÷ÃB«ö·Óªþ¥ó¤C³W©wªº§é¤ÎÅu¾P«á¡A¥H¸g¥~³¡®Ö¼Æ®v®Ö㪺°]°È³ø§i¬°°ò¦¡A¨Ã¥HÂkÄݰ]²£ªº¸g®Ö¼Æ±b¥Ø¤©¥Hpºâ¡C
¥|¡BÕ¦]¤½¦@§Q¯q¦Ó¸Ñ°£¥»§åµ¹©ÎÅ«¦^¥»§åµ¹®É¡A©Ó§å¤H±N¦³Åv¦¬¨ú¤@µ§ª÷ÃB§@¬°¸ÉÀv¡A¸Óª÷ÃB¬O®Ú¾ÚÂkÄݤ鬰°ò¦¡A¥H¥Î©ó¥»§åµ¹ªA°Èªº°]²£ªº¸g®Ö¼Æ±b±»ùȨëö·Óªþ¥ó¤C³W©wªº§é¤ÎÅu¾P«ápºâ¡C
¤¡BÕ¦]¤½¦@§Q¯q¦Ó¸Ñ°£¥»§åµ¹©ÎÅ«¦^¥»§åµ¹®É¡A©Ó§å¤H¦³Åv¦¬¨ú¤@µ§½ßÀv¡A¸Ó½ßÀv¥ÑÂkÄݤé°_¦Ü¥»§åµ¹¥¿±`´Á©¡º¡«e©|¾lªº§¹¾ã¤ë¥÷¼Æ¥Ø°£¥H¤Q¤G¡A¼¥H¸Ñ°£©ÎÅ«¦^³qª¾¤é«eªº¾ã¦~¼Æ¡]¥H1¤ë¦Ü12¤ë¬°¤@¾ã¦~¡^ªº¥§¡¦~«×µ|«á¯Â§Qªº¿n¼Æpºâ¡A¦ý¸Óµ|«á¯Â§Qªºpºâ¨Ã¤£¥]¬Aªþ¥ó¤K²Ä¤T´Ú¡]¤@¡^¶µ²Ä¡]2¡^¤À¶µ¤Î¡]¤G¡^¶µ²Ä¡]3¡^¤À¶µ©Ò«üªº«DÀç¹B¦¨¥»¤Î¨ä¥L·~°È¦¬¤J¡C
²Ä¤G¤Q¤K±ø
«OÃÒª÷
¤@¡B©Ó§å¤H¤w¦V¿Dªù¯S§O¦æ¬F°Ï´£¥æª÷ÃB¬°MOP 32,450,049.00¡]¿Dªù¤¸叁¥a¶L¨Õ¸v¬B¥î¸U¹s¸v¬B¨h¶ê¥¿¡^ªº«OÃÒª÷¡A¥H½T«O¨ä¼i¦æ¸q°È¡C
¤G¡B¦b¥»§åµ¹´Á¶¡¡A«OÃÒª÷ªºª÷ÃB¶·ºû«ù¤£ÅÜ¡AÕ«OÃÒª÷³Q°Ê¥Î¡A©Ó§å¤H¶·©ó±µÀò³qª¾¤é°_p¤T¤Q¤é¤º«¸m«OÃÒª÷¡C
¤T¡B¥»§åµ¹´Á©¡º¡¡B§åµ¹³QÅ«¦^¡BÂù¤è¨óij©Î¦]¤½¦@§Q¯q¦Ó®ø·À¥»§åµ¹¡A¥B©Ó§å¤H¤w¼i¦æ¥»¦X¦P©Ò¦³¸q°È®É¡A©Ó§å¤H±NÀòªðÁÙ«OÃÒª÷¡C
¥|¡B´£¨Ñ¤Î¨ú¦^«OÃÒª÷ªº¤@¤Á¶}¤ä·§¥Ñ©Ó§å¤H©Ó¾á¡C
²Ä¤G¤Q¤E±ø
¾A¥Îªk¨Ò
¥»¦X¦P¾A¥Î¿Dªù¯S§O¦æ¬F°Ï²{¦æªk¨Ò¡C
²Ä¤T¤Q±ø
¥òµô
¤@¡B¿Dªù¯S§O¦æ¬F°Ï»P©Ó§å¤H¤§¶¡´N°õ¦æ¥»¦X¦P¤Þ°_ªº¥ô¦ó½Ä¬ð¡AÕÂù¤è¥¼¯à¨ó°Ó¸Ñ¨M¡A±N¥æ¥Ñ¤@¥òµô©eû·|¸Ñ¨M¡F¸Ó©eû·|±N¦b¿Dªù¯S§O¦æ¬F°Ï¹B§@¡A¥Ñ¤T¦W¥òµôû²Õ¦¨¡A¨ä¤@¥Ñ¿Dªù¯S§O¦æ¬F°Ï©e¥ô¡A¥t¤@¥Ñ©Ó§å¤H©e¥ô¡A²Ä¤T¦W¥ÑÂù¤è¨óij²£¥Í¨Ã¥D«ù¥òµô¡C
¤G¡BÕ¥ô¦ó¤@¤è¦b±µÀò©e¥ô¥òµôûªº³qª¾¤é°_p¤T¤Q¤é¤º¤´¥¼¯à©e¥ô¨ä¥òµôû®É¡A©Î¦b¦P¤@´Á¶¡¤º¡A¥¼¯à´N²Ä¤T¦W¥òµôûªº©e¥ô¹F¦¨¦@ÃÑ¡A«h¥Ñ¿Dªù¯S§O¦æ¬F°Ïªì¯Åªk°|À³¥ô¦ó¤@¤èªº½Ð¨D¿ï©w¥òµôû¡C
¤T¡B©eû·|±N³W©w¥òµôªºt¾á¡A¨Ãq©wÂù¤è¦b¦¹¤è±ªº³d¥ô¡C
¥|¡B©eû·|§@¥Xµô¨M«e¡AÂù¤è´N¦X¦Pªº²z¸Ñ¤Î°õ¦æ¶·¿í´`¿Dªù¯S§O¦æ¬F°Ïªº¨M©w¡C
²Ä¤T¤Q¤@±ø
§åµ¹®ø·À®É©Ó§å¤H¤u§@¤Hûªº¦w±Æ
¤@¡B¤£½×°ò©ó¥ô¦óì¦]¦Ó®ø·À¥»§åµ¹¡A©Ó§å¤H¶·±Ä¨ú¾A·í±¹¬I³B²z¨ä¤u§@¤Hû¨Æ©y¡C
¤G¡B©Ó§å¤H¤£¥i³]¸m¥ô¦ó»Ùê¡A¥O¨ä¤u§@¤HûµLªk¦b®ø·À¥»§åµ¹«áÂྩ¹¨ä¥L¸gÀç¹D¸ô¶°Åé«È¹BªA°Èªº©Ó§å¤H©Î¥i¯à¸gÀ禳ÃöªA°Èªº¹êÅé¡C
¤T¡B°£¦]³Ò°Ê¦X¦P¥¢®Ä¡B³Q¼o¤î©Î³æ¤è²×¤î¥~¡AÕ©Ó§å¤H¤£Ä~Äò¸gÀç¹D¸ô¶°Åé«È¹B¤½¦@ªA°È¡A«h¨ä¤u§@¤Hû¦b®ø·À¥»§åµ¹«á¤@Ӥ뤺«D¥H¦X²z²z¥Ñ¸Ñ°£³Ò°Ê¦X¦P®É¡A±NÀò±o¥Ñ©Ó§å¤H¤ä¥IªººÖ§Qª÷¡A¨äª÷ÃB°Ñ·Ó²Ä7/2008¸¹ªk«ß¡m³Ò°ÊÃö«Yªk¡n²Ä¤C¤Q±øªº³W©wpºâ¡C
¥|¡B¬°着¤W´Úªº®Ä¤O¡A©Ó§å¤H¥²¶·¦b¨ä¤u§@¤Hû´£¥X¸Ñ°£³Ò°Ê¦X¦P«á¤T¤Q¤é¤º¤ä¥I¤W´Ú©Ò«üªººÖ§Qª÷¡A¥B©Ó§å¤H¥²¶·¦b»P¨ä¤u§@¤Hûq¥ßªº³Ò°Ê¦X¦P¤¤¸ü©ú¥»´Ú¤Î¤W´Úªº³W©w¡C
²Ä¤T¤Q¤G±ø
¯A¤Î©ó2011¦~1¤ë3¤éñqªº ¡m¬°¿Dªù¯S§O¦æ¬F°Ï´£¨Ñ¹D¸ô¶°Åé«È¹B¤½¦@ªA°È¡X¡X ²Ä¤T¼Ð¬qªº¤½ÃÒ¦X¦P¡nªº¶O¥Î¤ä¥I
¤@¡B¿Dªù¤½¦@¨T¨®¦³¤½¥q¬°¼i¦æ©ó2011¦~1¤ë3¤éñqªº¡m¬°¿Dªù¯S§O¦æ¬F°Ï´£¨Ñ¹D¸ô¶°Åé«È¹B¤½¦@ªA°È¡X¡X²Ä¤T¼Ð¬qªº¤½ÃÒ¦X¦P¡n©Ò´£¨ÑªºªA°È¡A¿Dªù¯S§O¦æ¬F°Ï±N®Ú¾Ú¤½§G©ó2010¦~12¤ë31¤é²Ä52´Á¡m¿Dªù¯S§O¦æ¬F°Ï¤½³ø¡n²Ä¤@²Õ°Æ¥Zªº²Ä392/2010¸¹¦æ¬Fªø©x§å¥Ü¡A¤Î®Ú¾Ú¤½§G©ó2013¦~4¤ë15¤é²Ä16´Á¡m¿Dªù¯S§O¦æ¬F°Ï¤½³ø¡n²Ä¤@²Õ°Æ¥Zªº²Ä86/2013¸¹¦æ¬Fªø©x§å¥Ü¡A¨Ã°t¦X¨äÕ¦³ªº¾A·í×q¡A«ö¥H¤U¤è¦¡§@¥X¤ä¥I¡G
¡]¤@¡^¹ê»Ú¤ä¥I¤©¿Dªù¤½¦@¨T¨®¦³¤½¥qªºª÷ÃB¤Î¨äµ²ºâ¤è¦¡¡A±N«ö·Ó¸Ó¤½¥q©ó2011¦~1¤ë3¤éñqªº¡m¬°¿Dªù¯S§O¦æ¬F°Ï´£¨Ñ¹D¸ô¶°Åé«È¹B¤½¦@ªA°È¡X¡X²Ä¤T¼Ð¬qªº¤½ÃÒ¦X¦P¡n©Ò³W©wªº¤è¦¡¡A¥H¸Ó¤½¥q¦bªA°È´Á¶¡¤º¹ê»Ú´£¨ÑªºªA°Èpºâ¡F
¡]¤G¡^¿Dªù¤½¦@¨T¨®¦³¤½¥q¥²¶·§¹¦¨¤W¶µ©Ò«üªº©Ò¦³¤u§@¡A¥]¬A«ö³W©w§e¥æ©Ò¦³¥N¦¬²¼´Ú«á¡A¦V¥æ³q¨Æ°È§½§e¥æ¬ÛÃöªº¤å¥ó¤Îµo²¼¡A¸g¥æ³q¨Æ°È§½½T»{«á¤©¥H¤ä¥I¡C
¡]¤T¡^µM¦Ó¡A¦b°]¬F§½´N°õ¦æ¦³ÃöªA°È©Ò²£¥Íªº¶}¤ä§@¥X¹w¯d´Ú¶µªº«ü©ú¤§«e¡A±N¤£¤ä¥I¥ô¦ó´Ú¶µ¡C
¡]¥|¡^2015¦~ªºt¾á¥Ñµn¿ý©ó¥»¦~«×¿Dªù¯S§O¦æ¬F°Ï°]¬F¹wºâ²Ä¤Q¥|³¹¡u¥æ³q¨Æ°È§½¡v¤º¸gÀÙ¤ÀÃþ¡u02-03-09-00-07 ¼«È¶°Åé¹B¿é¤½¦@ªA°È¶}¤ä¡v±b¥Øªº¼·´Ú¤ä¥I¡A2016¦~¦Üµ²ºâ§¹¦¨¦~«×ªºt¾á±N¥Ñµn¿ý©ó¸Óµ¥¦~«×¿Dªù¯S§O¦æ¬F°Ï°]¬F¹wºâªº¬ÛÀ³¼·´Ú¤ä¥I¡C
¤G¡B¿Dªù¤½¦@¨T¨®¦³¤½¥q´£¨Ñ¤W´Ú©Ò«üªA°Èªº³Ì«á¤@ÓÀç¹B¤éªºµ²§ô®É¶¡¡A¬°2015¦~9¤ë30¤é¸Ó¤½¥qªº©Ò¦³©ÒÀç¸ô½u§À¯Z¨®µ²§ôÀç¹B§¹¦¨¦¬¨®¦^¼tªº®É¬q¡C
²Ä¤T¤Q¤T±ø
Âù¤è³q«H
¤@¡B»P©Ó§å¤Hªº³q«H±N¥Ñ¿Dªù¯S§O¦æ¬F°Ï¦æ¬Fªø©x©Î¦æ¬Fªø©x±ÂÅvªº¹êÅé¡B¬F©²¥Nªí©ÎºÊ¹î¹êÅé±H°e©Ó§å¤HªºÁ`§}¡C
¤G¡B»P¿Dªù¯S§O¦æ¬F°Ïªº³q«H¶·«öÅv½d³ò±H°e¦æ¬Fªø©x©Î¦æ¬Fªø©x±ÂÅvªº¹êÅé¡B¬F©²¥Nªí©ÎºÊ¹î¹êÅé¡C
²Ä¤T¤Q¥|±ø
¦X¦Pªº×§ï
¦p¦X¦PÂù¤è»{¬°¦³»Ýn¹ï¥»¦X¦P¤¤©Òqªº±ø´Ú¶i¦æ×§ï¡A¥i¸g¥ÑÂù¤è¦P·N¨Ã¥H®Ñ±§Î¦¡¶i¦æ¡C
²Ä¤T¤Q¤±ø
¦X¦Pªº²Õ¦¨
¤U¦Cªþ¥óÄݦX¦Pªº²Õ¦¨³¡¤À¡G
¡]¤@¡^ªþ¥ó¤@¡X¡X¸ô½u¯S¼x¡F
¡]¤G¡^ªþ¥ó¤G¡X¡X¸ô½u½Õ¾ã¡F
¡]¤T¡^ªþ¥ó¤T¡X¡XÀç¹BªA°È¡F
¡]¥|¡^ªþ¥ó¥|¡X¡XÀç¹B¨®½ø¡F
¡]¤¡^ªþ¥ó¤¡X¡X°]¬F´©§Uªºpºâ¤è¦¡¡F
¡]¤»¡^ªþ¥ó¤»¡X¡XÀç¹B¸ê®Æ¡F
¡]¤C¡^ªþ¥ó¤C¡X¡X·|p·Ç«h¡F
¡]¤K¡^ªþ¥ó¤K¡X¡X³W¨î¦¨¥»«ü¤Þ¡C
²Ä¤T¤Q¤»±ø
¥Í®Ä
¥»¦X¦P¦Û2015¦~10¤ë1¤é°_¥Í®Ä¡C
ÂÔ¦¹Ã±¬ù¡C
ªþ¥ó¤@
¸ô½u¯S¼x
²Ä¤@±ø
Àç¹BÃþ«¬¤ÀÃþ
Àç¹B¨®½øªº¨®«¬¤À¬°¥H¤U¤QºØÃþ«¬¡G
¡]¤@¡^¥H®ãªo¤p¤Ú´£¨Ñ¤é¶¡¸ô½uÀç¹B¡F
¡]¤G¡^¥H®ãªo¤¤¤Ú´£¨Ñ¤é¶¡¸ô½uÀç¹B¡F
¡]¤T¡^¥H®ãªo¤j¤Ú´£¨Ñ¤é¶¡¸ô½uÀç¹B¡F
¡]¥|¡^¥H®ãªo¤p¤Ú´£¨Ñ²`®d¸ô½uÀç¹B¡F
¡]¤¡^¥H®ãªo¤¤¤Ú´£¨Ñ²`®d¸ô½uÀç¹B¡F
¡]¤»¡^¥H®ãªo¤j¤Ú´£¨Ñ²`®d¸ô½uÀç¹B¡F
¡]¤C¡^¥H¤ÑµM®ð¤j¤Ú´£¨Ñ¤é¶¡¸ô½uÀç¹B¡F
¡]¤K¡^¥H¤ÑµM®ð¤j¤Ú´£¨Ñ²`®d¸ô½uÀç¹B¡F
¡]¤E¡^¥H¯Â¹q°Ê¤j¤Ú´£¨Ñ¤é¶¡¸ô½uÀç¹B¡F
¡]¤Q¡^¥H¯Â¹q°Ê¤j¤Ú´£¨Ñ²`®d¸ô½uÀç¹B¡C
²Ä¤G±ø
¸ô½u¦æ¾p¤è¦¡
¸ô½u«ö·ÓÁ`¯¸ªº³]¸m¤Î¦æ¾p¼Ò¦¡¹º¤À¬°¥H¤U¤TºØÃþ«¬¡G
¡]¤@¡^´`Àô½u¡G°_©l¯¸©M²×ÂI¯¸¦PÄݤ@ÓÁ`¯¸ªº¸ô½u¡F
¡]¤G¡^Âù¦V¸ô½u¡G³]¦³¨âÓÁ`¯¸¡A¸ô½u¦b¨âÓÁ`¯¸¤§¶¡¹ï¦V¦æ¾p¡A´£¨Ñ¨Ó¦^µ{ªA°È¡F
¡]¤T¡^³æ¦V¸ô½u¡G³]¦³¨âÓÁ`¯¸¡A¸ô½u¦b°_©l¯¸¦æ¾p¦Ü²×ÂI¯¸¡A¤£³]¦^µ{ªA°È¡C
²Ä¤T±ø
Á`¯¸¥X¨®®É¬q
¤@¡B¦U¸ô½uªº¥X¨®¶·¦b²Ä¤K±øq©úªº°ò¥»ªA°È®É¶¡¤º¶i¦æ¡A¦ýºÊ¹î¹êÅé¥t¦³«ü¥Ü°£¥~¡C
¤G¡B®Ú¾Ú¦U¸ô½u¥ÑÁ`¯¸¶}¥Xªº¯Z¦¸¥X¨®®É¶¡¡A±NªA°È¹º¤À¬°¤é¶¡¸ô½uªA°È¤Î²`®d¸ô½uªA°È¡G
¡]¤@¡^¤é¶¡¸ô½uªA°È¡G¥X¨®®É¶¡¦b06:00¦Ü23:59¤§¶¡¡F
¡]¤G¡^²`®d¸ô½uªA°È¡G¥X¨®®É¶¡¦b00:00¦Ü05:59¤§¶¡¡C
²Ä¥|±ø
ªA°È®É¶¡¤Î¯Z¦¸ÀW²v
¤@¡B°ò¥»ªA°È®É¶¡¤Î¯Z¦¸ÀW²v¸ü©ó²Ä¤K±ø¤º¡A©Ó§å¤H¥²¶·«ö·Ó©Òq©wªºªA°È®É¶¡¤Î¯Z¦¸ÀW²v¸gÀç¸ô½uªA°È¡A¨Ã¿í¦uºÊ¹î¹êÅé´N°õ¦æ¸Óµ¥°ò¥»ªA°È®É¶¡¤Î¯Z¦¸ÀW²v©Ò§@ªº«ü¥Ü¤În¨D¡C
¤G¡BºÊ¹î¹êÅé¥i¦]À³¹ê»Ú±¡ªp¨Ã«ö·Ó¥»¦X¦P¤Îªþ¥óªº³W©w¡AÁ{®É½Õ¾ã¦U¸ô½uªºªA°È®É¶¡¤Î¯Z¦¸ÀW²v¡C
²Ä¤±ø
Àç¹B¨®½øªº¨®«¬
¤@¡BÀç¹B¨®½ø¨®«¬¹º¤À¬°¥H¤U¤TºØÃþ«¬¡G
¡]¤@¡^¤p¤Ú¡Gªø«×µ¥©ó©Î¤j©ó7¦Ì¡A¤p©ó9¦Ìªº¤j«¬«È¨®¡F¡@¡@
¡]¤G¡^¤¤¤Ú¡Gªø«×µ¥©ó©Î¤j©ó9¦Ì¡A¤p©ó10.5¦Ìªº¤j«¬«È¨®¡F
¡]¤T¡^¤j¤Ú¡Gªø«×µ¥©ó©Î¤j©ó10.5¦Ìªº¤j«¬«È¨®¡C
¤G¡B®Ú¾Úªþ¥ó¥|²Ä¤Q¤T±øªº³W©w¡A¤W´Ú©ÒzÀç¹B¨®½øÁ`¼Æ¶qªº¦Ê¤À¤§¤Q¶·¨ã³Æ½ü´È°±¾a¦ì¸m¤Î¬ÛÃö°t®M³]¬I¡C
²Ä¤»±ø
¸ô½u¤½¨½¼Æ
¤@¡B¸ô½u¤½¨½¼Æ«ü¸ô½u¥Ñ°_©l¯¸¶}¥X¨ì¹F²×ÂI¯¸ªº¤½¨½¼Æ¡A¨Ã¸ü©ó²Ä¤K±ø²Ä¤@´Ú¤º¡C
¤G¡B¸ô½u¤½¨½¼Æªº¼ÆÈ¥HºÊ¹î¹êÅé©ó¦a¹Ïø»sº[¦aÄy§½»s§@ªº¹q¤lCAD¦a¹Ï¤Wø´ú±o¥X¬°·Ç¡C
²Ä¤C±ø
¸ô½uÁ`Äý
©Ó§å¤Hªº©ÒÀç¸ô½u¥]¬A¥H¤U¤G¤Q¤G±ø¸ô½u¡G
¡]¤@¡^2¸ô½u¡F
¡]¤G¡^2A¸ô½u¡F
¡]¤T¡^6A¸ô½u¡F
¡]¥|¡^6B¸ô½u¡F
¡]¤¡^7¸ô½u¡F
¡]¤»¡^7A¸ô½u¡F
¡]¤C¡^12¸ô½u¡F
¡]¤K¡^12X¸ô½u¡F
¡]¤E¡^18A¸ô½u¡F
¡]¤Q¡^19¸ô½u¡F
¡]¤Q¤@¡^22¸ô½u¡F
¡]¤Q¤G¡^52¸ô½u¡F
¡]¤Q¤T¡^56¸ô½u¡F
¡]¤Q¥|¡^73¸ô½u¡F
¡]¤Q¤¡^H2¸ô½u¡F
¡]¤Q¤»¡^MT3¸ô½u¡F
¡]¤Q¤C¡^N1A¸ô½u¡F
¡]¤Q¤K¡^N1B¸ô½u¡F
¡]¤Q¤E¡^N2¸ô½u¡F
¡]¤G¤Q¡^N3¸ô½u¡F
¡]¤G¤Q¤@¡^N5¸ô½u¡F
¡]¤G¤Q¤G¡^N6¸ô½u¡C
²Ä¤K±ø
¸ô½u°ò¥»ªA°È¸ê®Æ
¤@¡B©Ó§å¤H©ÒÀç¸ô½uªºÁ`¯¸¡B°ò¥»ªA°È®É¶¡¡B°ò¥»¯Z¦¸ÀW²v¡B¨®«¬¡B¸ô½u¤½¨½¼Æ¡B¨C¤é¤é¶¡°ò¥»¯Z¦¸¶q¤Î¨C¤é²`®d°ò¥»¯Z¦¸¶q¦p¤U¡G
|
¸ô½u |
Á`¯¸ | °ò¥»ªA°È®É¶¡ |
°ò¥»¯Z¦¸ |
¨®«¬ |
¸ô½u¤½¨½¼Æ |
¨C¤é ¤é¶¡°ò¥» ¯Z¦¸¶q |
¨C¤é ²`®d°ò¥» ¯Z¦¸¶q |
||
| 2 | ¶¶´º¼s³õÁ`¯¸¡B¶ý»ÕÁ`¯¸ | 06:15 | - | 00:20 | 5-8 | ¤¤¤Ú | 13.37 | 174 | 3 |
| 2A | ªF¤è©ú¯]Á`¯¸¡B¨È°¨³â«e¦a | 06:30 | - | 23:45 | 8-12 | ¤¤¤Ú | 8.55 | 110 | - |
| 6A | ¶¶´º¼s³õÁ`¯¸ | 06:15 | - | 23:35 | 10-15 | ¤p¤Ú | 15.27 | 91 | - |
| 6B | ³Í¬uÆW | 06:15 | - | 23:30 | 15 | ¤p¤Ú | 11.72 | 70 | - |
| 7 | ¯§º~²Ä¤Gµó¡B¶ý»ÕÁ`¯¸ | 06:15 | - | 00:10 | 6-8 | ¤p¤Ú | 12.23 | 157 | 2 |
| 7A | ªF¤è©ú¯]Á`¯¸¡B¨È°¨³â«e¦a | 06:25 | - | 23:35 | 8-12 | ¤p¤Ú | 9.68 | 118 | - |
| 12 | ¶¶´º¼s³õÁ`¯¸¡B¥~´ä½XÀY | 06:00 | - | 00:10 | 4-10 | ¤j¤Ú | 15.84 | 190 | 2 |
| 12X | ¨È°¨³â«e¦a | ¸ÕÁɤé¤ÎÁɨ®²Ä¤@¤é | 6 | ¤j¤Ú | 6.74 | 176 | 6 | ||
| 06:30 | - | 00:30 | |||||||
| Áɨ®²Ä¤G¤é | 6 | ¤j¤Ú | 126 | - | |||||
| 06:30 | - | 19:00 | |||||||
| 18A | ªF¤è©ú¯]Á`¯¸ | 6:20 | - | 23:40 | 5-12 | ¤p¤Ú | 8.35 | 149 | - |
| 19 | ¶¶´º¼s³õÁ`¯¸ | 6:15 | - | 00:00 | 5-10 | ¤p¤Ú | 8.18 | 161 | 1 |
| 22 | ¯§º~²Ä¤Gµó | 06:15 | - | 00:10 | 4-10 | ¤j¤Ú | 20.25 | 188 | 2 |
| 52 | ¥Û±ÆÆWÁ`¯¸¡B¨È°¨³â«e¦a | 06:00 | - | 00:00 | 4-12 | ¤j¤Ú | 18.86 | 181 | 1 |
| 56 | ¥Û±ÆÆWÁ`¯¸ | 06:00 | - | 00:00 | 8-12 | ¤j¤Ú | 23.48 | 114 | 1 |
| 73 | ¿Dªù¤j¾ÇÁ`¯¸ | 06:30 | - | 00:10 | 8-12 | ¤j¤Ú | 33.12 | 111 | 1 |
| H2 |
¸_¤l°òªÀ«Î¡B ¤s³»Âå°|«æ¶E¤j¼Ó |
06:30 | - | 20:00 | 30 | ¤¤¤Ú | 15.81 | 28 | - |
| MT3 | °ª§Q¨È®üx¤W±N/¬F©²ºî¦XªA°È¤j¼Ó | 07:00 | - | 20:30 | 6-12 | ¤j¤Ú | 20.87 | 103 | - |
| N1A | ¨F±ùÀY¥_µó/¸_¤l°ò¥_ÆW | 00:00 | - | 06:00 | 15 | ¤j¤Ú | 11.66 | 1 | 25 |
| N1B | ¨F±ùÀY¥_µó/¸_¤l°ò¥_ÆW | 00:00 | - | 06:00 | 15 | ¤j¤Ú | 9.42 | 1 | 25 |
| N2 |
¨F±ùÀY¥_µó/¸_¤l°ò¥_ÆW¡B Á{®É«È¹B½XÀY |
00:00 | - | 06:00 | 15 | ¤j¤Ú | 29.22 | 1 | 25 |
| N3 |
¶ý»ÕÁ`¯¸¡B¸ôÀô¥«°Ï¡]¨C¦~1¤ë¦Ü5¤ë¤Î9¤ë¦Ü12¤ë´Á¶¡¹ê¬I¡^ |
00:00 | - | 06:00 | 20 | ¤j¤Ú | 26.04 | 1 | 19 |
|
¶ý»ÕÁ`¯¸¡B¶Â¨F®üÅy¡]¨C¦~6¤ë¦Ü8¤ë´Á¶¡¹ê¬I¡^ |
00:00 | - | 06:00 | 20 | ¤j¤Ú | 31.87 | 1 | 19 | |
| N5 | ¥Û±ÆÆWÁ`¯¸ | 00:00 | - | 06:00 | 15 | ¤j¤Ú | 25.89 | 1 | 25 |
| N6 | ¿Dªù¤j¾ÇÁ`¯¸¡B´ò¯`¤j·H | 00:00 | - | 06:00 | 20 | ¤¤¤Ú | 18.44 | 1 | 19 |
¤G¡BÕ½Õ¾ã¤W´Ú©Òq©wªº¤º®e¡A©Ó§å¤H¶·«ö·Ó¥»¦X¦P²Ä¤T±ø²Ä¤Q¤@´Ú¦Ü²Ä¤Q¥|´Ú³W©wªº¤è¦¡¤½§G¡C
²Ä¤E±ø
¸ô½u¦æµ{
¤@¡B©Ó§å¤H©ÒÀç¸ô½uªº¦æµ{¦p¤U¡G
|
¸ô½u |
¤è¦V | ¦æµ{ |
| 2 | ¶¶´º¼s³õÁ`¯¸¡÷¶ý»ÕÁ`¯¸ | ¥Ã¹çµó¡B¬Ý¥xµó¡B¥«³õµó¡B¶Â¨FÀô²Ä¤µó¡B¼}©Ô¤h¤j°¨¸ô¡B°¨¥æ¥Û¬¶¥x°¨¸ô¡B·s¶®°¨¸ô¡B¤h¦h³¾«ô´µ¤j°¨¸ô¡B¤ô§|§Àµó¡B¬ù¿«¥|¥@¤j°¨¸ô¡B·s°¨¸ô¡BªeÃä·sµó¡B¦èÆW´ò´º¤j°¨¸ô |
| ¶ý»ÕÁ`¯¸¡÷¶¶´º¼s³õÁ`¯¸ | ¦èÆW´ò´º¤j°¨¸ô¡BªeÃä·sµó¡B·s°¨¸ô¡B«nÆW¤j°¨¸ô¡B¤ô§|§Àµó¡B¬ü°Æ±N¤j°¨¸ô¡B嚤Åo¶é¸ô¡B°¨¥æ¥Û¬¶¥x°¨¸ô¡Bº®¯Îµó¡B¼}©Ô¤h¤j°¨¸ô¡BÚ§Q³âµó¡B¶Â¨FÀô°¨¸ô¡B¯§º~·s§ø²Ä¤Gµó¡Bªø¹Ø¤j°¨¸ô¡Bµæ¶é¸ô¡B¥Ã¹çµó | |
| 2A | ªF¤è©ú¯]Á`¯¸¡÷¨È°¨³â«e¦a | ªF¤è©ú¯]µó¡B³Ò°Ê¸`¤j°¨¸ô¡BªF¥_¤j°¨¸ô¡B¼}©Ô¤h¤j°¨¸ô¡Bº®¯Îµó¡B°¨¥æ¥Û¬¶¥x°¨¸ô¡B·s¶®°¨¸ô¡B¤h¦h³¾«ô´µ¤j°¨¸ô¡B¤ô§|§Àµó¡B¸²¨Ê¸ô¡B¨È°¨³â«e¦a |
| ¨È°¨³â«e¦a¡÷ªF¤è©ú¯]Á`¯¸ | ¨È°¨³â«e¦a¡B¬ù¿«¥|¥@¤j°¨¸ô¡B¤ô§|§Àµó¡B¬ü°Æ±N¤j°¨¸ô¡B嚤Åo¶é¸ô¡B°¨¥æ¥Û¬¶¥x°¨¸ô¡Bº®¯Îµó¡B¼}©Ô¤h¤j°¨¸ô¡BªF¥_¤j°¨¸ô¡B¶Â¨FÀô·sµó¡B³Ò°Ê¸`µó¡BªF¤è©ú¯]µó | |
| 6A | --- | ¥Ã¹çµó¡B¬Ý¥xµó¡B¥«³õµó¡B¶Â¨FÀô²Ä¤µó¡B¼}©Ô¤h¤j°¨¸ô¡Bº®¯Îµó¡B°¨¥æ¥Û¬¶¥x°¨¸ô¡B·s¶®°¨¸ô¡B¤h¦h³¾«ô´µ¤j°¨¸ô¡B°ª¤h¼w¤j°¨¸ô¡Bíá¨Ç³â´£·þ¤j°¨¸ô¡B·s°¨¸ô¡B«nÆW¤j°¨¸ô¡B¥[«äÄæ°¨¸ô¡B±o³Ó°¨¸ô¡BªF±æ¬v·sµó¡B¥[«äÄæ°¨¸ô¡Bù²z°ò³Õ¤h¤j°¨¸ô¡B«nÆW¤j°¨¸ô¡B¬ù¿«¥|¥@¤j°¨¸ô¡B·s°¨¸ô¡B°ª¤h¼w¤j°¨¸ô¡B²üÄõ¶é¤j°¨¸ô¡B¬ü°Æ±N¤j°¨¸ô¡B嚤Åo¶é¸ô¡B°¨¥æ¥Û¬¶¥x°¨¸ô¡Bº®¯Îµó¡B¼}©Ô¤h¤j°¨¸ô¡BÚ§Q³âµó¡B¶Â¨FÀô°¨¸ô¡B¯§º~·s§ø²Ä¤Gµó¡Bªø¹Ø¤j°¨¸ô¡Bµæ¶é¸ô¡B°¨³õªF¤j°¨¸ô¡B¥Ã¹çµó |
| 6B | --- | ¤ñÍù³â°¨§Ò¤hµó¡B¥q¥´¤f¡BªeÃä·sµó¡B¦èÆW´ò´º¤j°¨¸ô¡B¥Á°ê¤j°¨¸ô¡B¿N¦ÇÄl¤f¡B¦óÂEêP³Õ¤h¤j°¨¸ô¡B«nÆW¤j°¨¸ô¡BĬ¨È§Q´µ³Õ¤h¤j°¨¸ô¡B¨È°¨³â«e¦a¡B¤Í½Ë¤j°¨¸ô¡B¸ëù¥¬¤j°¨¸ô¡B¥[«äÄæ°¨¸ô¡B¥ÕÀY°¨¸ô¡BY¾Ë°¨¸ô¡B¥[«äÄæ°¨¸ô¡B¸ëù¥¬°¨¸ô¡B¤Í½Ë¤j°¨¸ô¡B¼s¦{µó¡Bù²z°ò³Õ¤h¤j°¨¸ô¡B¨È°¨³â«e¦a¡BĬ¨È§Q´µ³Õ¤h¤j°¨¸ô¡B°ÏµØ§Q«e¦a¡B«nÆW´ò´º¤j°¨¸ô¡B¥Á°ê¤j°¨¸ô¡B¦èÆW´ò´º¤j°¨¸ô¡BªeÃä·sµó¡B¤ñÍù³â°¨§Ò¤hµó |
| 7 | ¯§º~²Ä¤Gµó¡÷¶ý»ÕÁ`¯¸ | ¯§º~·s§ø²Ä¤Gµó¡B¥«³õµó¡B¶Â¨FÀô²Ä¤µó¡BÚ§Q³âµó¡B°ª¤h¼w¤j°¨¸ô¡B¨È§Q¾~¬[µó¡B¤h¦h³¾«ô´µ¤j°¨¸ô¡B¤ô§|§Àµó¡B¬ù¿«¥|¥@¤j°¨¸ô¡B·s°¨¸ô¡BªeÃä·sµó¡B¦èÆW´ò´º¤j°¨¸ô |
| ¶ý»ÕÁ`¯¸¡÷¯§º~²Ä¤Gµó | ¦èÆW´ò´º¤j°¨¸ô¡BªeÃä·sµó¡B·s°¨¸ô¡B«nÆW¤j°¨¸ô¡B¤ô§|§Àµó¡B¦è¼X°¨¸ô¡BÃè´ò°¨¸ô¡B³s³Ó°¨¸ô¡B¶®·G³X¤j°¨¸ô¡Bíá¨Ç³â´£·þ¤j°¨¸ô¡B¥Õ®Ô¥j±Nx¤j°¨¸ô¡B«C¬w¤j°¨¸ô¡B¶Â¨FÀô°¨¸ô¡B¶Â¨FÀô²Ä¥|µó¡B°¨³õ®üÃä°¨¸ô¡B¯§º~·s§ø²Ä¤Gµó | |
| 7A | ªF¤è©ú¯]Á`¯¸¡÷¨È°¨³â«e¦a | ªF¤è©ú¯]µó¡B³Ò°Ê¸`µó¡B°ª§Q¨È®üx¤W±N¤j°¨¸ô¡B¼}©Ô¤h¤j°¨¸ô¡BÚ§Q³âµó¡B°ª¤h¼w¤j°¨¸ô¡B¨È§Q¾~¬[µó¡B¤h¦h³¾«ô´µ¤j°¨¸ô¡B¤ô§|§Àµó¡B¬ù¿«¥|¥@¤j°¨¸ô¡B¸²¨Ê¸ô¡B¨È°¨³â«e¦a |
| ¨È°¨³â«e¦a¡÷ªF¤è©ú¯]Á`¯¸ | ¨È°¨³â«e¦a¡BĬ¨È§Q´µ³Õ¤h¤j°¨¸ô¡B¬ù¿«¥|¥@¤j°¨¸ô¡B¤ô§|§Àµó¡B¦è¼X°¨¸ô¡BÃè´ò°¨¸ô¡B³s³Ó°¨¸ô¡B¶®·G³X¤j°¨¸ô¡Bíá¨Ç³â´£·þ¤j°¨¸ô¡B¥Õ®Ô¥j±Nx¤j°¨¸ô¡B«C¬w¤j°¨¸ô¡B¶Â¨FÀô°¨¸ô¡B¯§º~·s§ø²Ä¤Gµó¡B¤¤¤ßµó¡Bµæ¶é¸ô¡B³Ò°Ê¸`¤j°¨¸ô¡B³Ò°Ê¸`µó¡BªF¤è©ú¯]µó | |
| 12 | ¶¶´º¼s³õÁ`¯¸¡÷¥~´ä½XÀY | ¥Ã¹çµó¡B¥«³õµó¡B¶Â¨FÀô²Ä¤µó¡B¼}©Ô¤h¤j°¨¸ô¡BÚ§Q³âµó¡B¬ü°Æ±N¤j°¨¸ô¡B¤h¦h³¾«ô´µ¤j°¨¸ô¡B¤ô§|§Àµó¡B¸²¨Ê¸ô¡B¨È°¨³â«e¦a¡B¤Í½Ë¤j°¨¸ô¡B¥P¼wÄRµó¡B«°¥«¤é¤j°¨¸ô¡B®]¶h¥P¤j°¨¸ô¡B°¨¤»¥Òµó¡Bù²z°ò³Õ¤h¤j°¨¸ô¡B®ü´ä«e¦a |
| ¥~´ä½XÀY¡÷¶¶´º¼s³õÁ`¯¸ | ®ü´ä«e¦a¡B¤Í½Ë¤j°¨¸ô¡B®]¶h¥P¤j°¨¸ô¡B§º¥É¥Í¼s³õ¡B¥P¼wÄRµó¡B¨È°¨³â«e¦a¡BĬ¨È§Q´µ³Õ¤h¤j°¨¸ô¡B¬ù¿«¥|¥@¤j°¨¸ô¡B¤ô§|§Àµó¡B°ª¤h¼w¤j°¨¸ô¡BÚ§Q³âµó¡B¶Â¨FÀô°¨¸ô¡B¯§º~·s§ø²Ä¤Gµó¡Bªø¹Ø¤j°¨¸ô¡B¤¤¤ßµó¡B°¨³õªF¤j°¨¸ô¡B¥Ã¹çµó | |
| 12X | --- | ¨È°¨³â«e¦a¡B¥P¼wÄRµó¡B«°¥«¤é¤j°¨¸ô¡B®]¶h¥P¤j°¨¸ô¡B°¨¤»¥Òµó¡Bù²z°ò³Õ¤h¤j°¨¸ô¡B®ü´ä«e¦a¡Bù²z°ò³Õ¤h¤j°¨¸ô¡B¸²¨Ê¸ô¡B¨È°¨³â«e¦a |
| 18A | --- | ªF¤è©ú¯]µó¡B³Ò°Ê¸`µó¡B³Ò°Ê¸`¤j°¨¸ô¡BªF¥_¤j°¨¸ô¡B¼}©Ô¤h¤j°¨¸ô¡Bº®¯Îµó¡B°¨¥æ¥Û¬¶¥x°¨¸ô¡B·s¶®°¨¸ô¡B¤h¦h³¾«ô´µ¤j°¨¸ô¡B¤ô§|§Àµó¡B¬ù¿«¥|¥@¤j°¨¸ô¡B·s°¨¸ô¡B¨FÄæ¥Jµó¡B³s³Ó°¨¸ô¡B´ç²îµó¡BÚ§Q³âµó¡B¶Â¨FÀô°¨¸ô¡B¼}©Ô¤h¤j°¨¸ô¡BªF¥_¤j°¨¸ô¡B¶Â¨FÀô·sµó¡B³Ò°Ê¸`µó¡BªF¤è©ú¯]µó |
| 19 | --- | ¥Ã¹çµó¡B¥«³õµó¡B¶Â¨FÀô²Ä¤µó¡B¼}©Ô¤h¤j°¨¸ô¡BÚ§Q³âµó¡B¶®·G³X¤j°¨¸ô¡B¤h¦h³¾«ô´µ¤j°¨¸ô¡B¤ô§|§Àµó¡B¬ù¿«¥|¥@¤j°¨¸ô¡B·s°¨¸ô¡B¨FÄæ¥Jµó¡B³s³Ó°¨¸ô¡B°ª¤h¼w¤j°¨¸ô¡BÚ§Q³âµó¡B¶Â¨FÀô°¨¸ô¡B¯§º~·s§ø²Ä¤Gµó¡Bªø¹Ø¤j°¨¸ô¡Bµæ¶é¸ô¡B°¨³õªF¤j°¨¸ô¡B¤¤¤ßµó¡B¥Ã¹çµó |
| 22 | --- | ¯§º~·s§ø²Ä¤Gµó¡B¥«³õµó¡B¶Â¨FÀô²Ä¤µó¡B¼}©Ô¤h¤j°¨¸ô¡BÚ§Q³âµó¡B¬ü°Æ±N¤j°¨¸ô¡B¤h¦h³¾«ô´µ¤j°¨¸ô¡B¤ô§|§Àµó¡B®ï¬Ó¤l¤j°¨¸ô¡B¨È°¨³â«e¦a¡B¹Å¼Ö§ÈÁ`·þ¤j¾ô¡B¥v§B®õ®üx±Nx°¨¸ô¡B®]¶h¥P³Õ¤h¤j°¨¸ô¡B¶øªL¤Ç§J¤j°¨¸ô¡B¸¯à«K«×µó¡B¦a³ùµó¡B¶Â¾ôµó¡B¶øªL¤Ç§J¤j°¨¸ô¡B¬_ºû¯Ç°¨¸ô¡B¶øªL¤Ç§J¤j°¨¸ô¡B®]¶h¥P³Õ¤h¤j°¨¸ô¡B¥v§B®õ®üx±Nx°¨¸ô¡B¹Å¼Ö§ÈÁ`·þ¤j¾ô¡B¨È°¨³â«e¦a¡B¤Í½Ë¤j°¨¸ô¡B¼s¦{µó¡B«nÆW¤j°¨¸ô¡B¤ô§|§Àµó¡B°ª¤h¼w¤j°¨¸ô¡BÚ§Q³âµó¡B¶Â¨FÀô°¨¸ô¡B¯§º~·s§ø²Ä¤Gµó |
| 52 | ¥Û±ÆÆWÁ`¯¸¡÷¨È°¨³â«e¦a | ©M¿Ó¼s³õ¡B½¬ªá®üÀؤj°¨¸ô¡B¶øªL¤Ç§J´åªaÀ]¶ê§Î¦a¡BªF¨È¹B¤j°¨¸ô¡B®ü¬v¤j°¨¸ô¡B®ü¬vªá¶é¤j°¨¸ô¡B¹Å¼Ö§ÈÁ`·þ¤j¾ô¡B¨È°¨³â«e¦a |
| ¨È°¨³â«e¦a¡÷¥Û±ÆÆWÁ`¯¸ | ¨È°¨³â«e¦a¡B¹Å¼Ö§ÈÁ`·þ¤j¾ô¡B®ü¬vªá¶é¤j°¨¸ô¡B®ü¬v¤j°¨¸ô¡BªF¨È¹B¤j°¨¸ô¡B½¬ªá®üÀؤj°¨¸ô¡B©M¿Ó¶ê§Î¦a¡B¥Û±ÆÆW°¨¸ô¡B¥Û±ÆÆW¶ê§Î¦a¡B©M¿Ó¼s³õ¡B©M¿Ó¤j°¨¸ô¡B·~¿³¤j°¨¸ô¡B½¹½º¨¦¤j°¨¸ô¡B©M¿Ó¼s³õ | |
| 56 | ¥Û±ÆÆWÁ`¯¸ | ©M¿Ó¼s³õ¡B¸ô氹³s³e¤½¸ô¡B°¶Às°¨¸ô¡B氹¥JÁ{®É«È¹B½XÀY¡B¥_¦w¤j°¨¸ô¡B¤Í½Ë¤j¾ô¡B®ü´ä«e¦a¡B¤Í½Ë¤j°¨¸ô¡B¤Í½Ë¤j¾ô¡B¥_¦w¤j°¨¸ô¡B氹¥JÁ{®É«È¹B½XÀY¡B°¶Às°¨¸ô¡B¸ô氹³s³e¤½¸ô¡B©M¿Ó¼s³õ |
| 73 | --- | ºZ¹B¤j°¨¸ô¡B¬ì¬ãªFµó¡B³Í±Û¤j°¨¸ô¡B±j¨¤j°¨¸ô¡B³Í±Û¤j°¨¸ô¡B©ú¼w¤j°¨¸ô¡B¤j¾Ç¤j°¨¸ô¡B¾îµ^ªe©³ÀG¹D¡B½¬ªá®üÀؤj°¨¸ô¡BªF¨È¹B¤j°¨¸ô¡B®ü¬v¤j°¨¸ô¡B®ü¬vªá¶é¤j°¨¸ô¡B¹Å¼Ö§ÈÁ`·þ¤j¾ô¡B¨È°¨³â«e¦a¡B¤Í½Ë¤j°¨¸ô¡B°¨揸«×³Õ¤h¤j°¨¸ô¡B¤Í½Ë¾ô¤j°¨¸ô¡B°¨³õªF¤j°¨¸ô¡B³Ò°Ê¸`¤j°¨¸ô¡B¤Í½Ë¤j°¨¸ô¡B¥P¼wÄRµó¡B¨È°¨³â«e¦a¡B¹Å¼Ö§ÈÁ`·þ¤j¾ô¡B®ü¬vªá¶é¤j°¨¸ô¡B®ü¬v¤j°¨¸ô¡BªF¨È¹B¤j°¨¸ô¡B½¬ªá®üÀؤj°¨¸ô¡B¾îµ^ªe©³ÀG¹D¡B¤j¾Ç¤j°¨¸ô¡B©ú¼w¤j°¨¸ô¡B³Í±Û¤j°¨¸ô¡B±j¨¤j°¨¸ô¡B³Í±Û¤j°¨¸ô¡BºZ¹B¤j°¨¸ô |
| H2 | ¸_¤l°òªÀ«Î¡÷¤s³»Âå°|«æ¶E¤j¼Ó | ¸_¤l°òµó¡B¸_¤l°ò¥_µó¡B¨F±ùÀY¥_µó¡B¤ÆÅç©Òµó¡BÀn¯F°¨¸ô¡B«C¬wªeÃä°¨¸ô¡B¤u·~¶é«e¦a¡B«C¬wªeÃä°¨¸ô¡B¦ó½å²Ô¤h¤j°¨¸ô¡B«C¬w¤j°¨¸ô¡B¶Â¨FÀô°¨¸ô¡B¼}©Ô¤h¤j°¨¸ô¡Bº®¯Îµó¡B¤Í½Ë¤j°¨¸ô¡B¥P¼wÄRµó¡B¤Í½Ë¤j°¨¸ô¡B¸ëù¥¬¤j°¨¸ô¡B¥[«äÄæ°¨¸ô |
| ¤s³»Âå°|«æ¶E¤j¼Ó¡÷¸_¤l°òªÀ«Î | ¥[«äÄæ°¨¸ô¡B¥ÕÀY°¨¸ô¡B®üÃä°¨¸ô¡B嚤Åo¶é¸ô¡B°¨¥æ¥Û¬¶¥x°¨¸ô¡Bº®¯Îµó¡B¼}©Ô¤h¤j°¨¸ô¡BÚ§Q³âµó¡B¶Â¨FÀô°¨¸ô¡B«C¬w¤j°¨¸ô¡B¤ÆÅç©Òµó¡BÀn¯F°¨¸ô¡B«C¬wªeÃä°¨¸ô¡B¤u·~¶é«e¦a¡B«C¬wªeÃä°¨¸ô¡B¨F±ùÀY¥_µó¡B¸_¤l°ò¥_µó¡B¸_¤l°òµó | |
| MT3 | --- | °ª§Q¨È®üx¤W±N¤j°¨¸ô¡BªF¥_¤j°¨¸ô¡B°ªÀy¶®°¨¸ô¡B¬ü°Æ±N°¨¸ô¡B¶øªL¤Ç§J¤j°¨¸ô¡B¹B°Ê³õ¹D¡B±æ¼w¸t¥ÀÆW¤j°¨¸ô¡B¹B°Ê³õ¹D¡B¶øªL¤Ç§J¤j°¨¸ô¡B¬ü°Æ±N°¨¸ô¡B´ï¦¿µó¡B°ªÀy¶®°¨¸ô¡B¤Í½Ë¤j¾ô¡B¤Í½Ë¾ô¤j°¨¸ô¡B°¨³õªF¤j°¨¸ô¡B°ª§Q¨È®üx¤W±N¤j°¨¸ô |
| N1A | --- | ¨F±ùÀY¥_µó¡B«C¬w¤j°¨¸ô¡B¤Úªi¨F¤j°¨¸ô¡BÃö¹h¼s³õ¡B¥«³õµó¡B¤¤¤ßµó¡Bµæ¶é¸ô¡B³Ò°Ê¸`¤j°¨¸ô¡B¤Í½Ë¤j°¨¸ô¡B®ü´ä«e¦a¡B¤Í½Ë¤j°¨¸ô¡B§º¥É¥Í¼s³õ¡B¬f¹Åµó¡B«°¥«¤é¤j°¨¸ô¡B«°¥«¤é«e¦a¡B«°¥«¤é¤j°¨¸ô¡B¥P¼wÄRµó¡B¨È°¨³â«e¦a¡B·s°¨¸ô¡B¤Ú¯À¥´º¸¥jµó¡B¨F±ùÀY®üÃäµó¡B¥Õ®Ô¥j±Nx¤j°¨¸ô¡B«C¬w¤j°¨¸ô¡B¨F±ùÀY¥_µó |
| N1B | --- | ¨F±ùÀY¥_µó¡B«C¬w¤j°¨¸ô¡B¥Õ®Ô¥j±Nx¤j°¨¸ô¡B´£·þ°¨¸ô¡B¨F±ùÀY®üÃäµó¡B¤Ú¯À¥´º¸¥jµó¡B·s°¨¸ô¡B®ï¬Ó¤l¤j°¨¸ô¡B¨È°¨³â«e¦a¡B¤Í½Ë¤j°¨¸ô¡B°¨揸«×³Õ¤h¤j°¨¸ô¡B¶Â¨FÀô·sµó¡B°¨³õ®üÃä°¨¸ô¡B«C¬w¤j°¨¸ô¡B¨F±ùÀY¥_µó |
| N2 | ¨F±ùÀY¥_µó/¸_¤l°ò¥_ÆW¡÷Á{®É«È¹B½XÀY | ¨F±ùÀY¥_µó¡B«C¬w¤j°¨¸ô¡Bíá¨Ç³â´£·þ¤j°¨¸ô¡B°ª¤h¼w¤j°¨¸ô¡Bù²z°ò³Õ¤h¤j°¨¸ô¡B²¦¥K¹F¤j°¨¸ô¡B®]¶h¥P¤j°¨¸ô¡B§º¥É¥Í¼s³õ¡B¬f¹Åµó¡B«°¥«¤é¤j°¨¸ô¡B«°¥«¤é«e¦a¡B«°¥«¤é¤j°¨¸ô¡B¥P¼wÄRµó¡B¨È°¨³â«e¦a¡B¹Å¼Ö§ÈÁ`·þ¤j¾ô¡B¥v§B®õ®üx±Nx°¨¸ô¡B®]¶h¥P³Õ¤h¤j°¨¸ô¡B°ò°¨©Ô´µ¤j°¨¸ô¡B¶øªL¤Ç§J¤j°¨¸ô¡B¬ü°Æ±N°¨¸ô¡B´ï¦¿µó¡B¬ü°Æ±N°¨¸ô¡B¹Å¼Ö§ÈÁ`·þ°¨¸ô¡B°¶Às°¨¸ô¡B氹¥JÁ{®É«È¹B½XÀY |
| Á{®É«È¹B½XÀY¡÷¨F±ùÀY¥_µó/¸_¤l°ò¥_ÆW | 氹¥JÁ{®É«È¹B½XÀY¡B°¶Às°¨¸ô¡B¹Å¼Ö§ÈÁ`·þ°¨¸ô¡B¬ü°Æ±N°¨¸ô¡B´ï¦¿µó¡B¬ü°Æ±N°¨¸ô¡B®]¶h¥P³Õ¤h¤j°¨¸ô¡B¥v§B®õ®üx±Nx°¨¸ô¡B¹Å¼Ö§ÈÁ`·þ¤j¾ô¡B¨È°¨³â«e¦a¡B¤Í½Ë¤j°¨¸ô¡B¼s¦{µó¡B«nÆW¤j°¨¸ô¡B¤ô§|§Àµó¡B°ª¤h¼w¤j°¨¸ô¡B¨F±ùÀY«nµó¡B®üÆW«nµó¡B¨F±ùÀY¥_µó | |
| N3 |
¶ý»ÕÁ`¯¸¡÷¸ôÀô¥«°Ï ¡]¨C¦~1¤ë¦Ü5¤ë¤Î9¤ë¦Ü12¤ë´Á¶¡¹ê¬I¡^ |
¦èÆW´ò´º¤j°¨¸ô¡BªeÃä·sµó¡B·s°¨¸ô¡B¨È°¨³â«e¦a¡B¹Å¼Ö§ÈÁ`·þ¤j¾ô¡B¥v§B®õ®üx±Nx°¨¸ô¡B®]¶h¥P³Õ¤h¤j°¨¸ô¡B¹Å¼Ö§ÈÁ`·þ°¨¸ô¡B¸ô氹³s³e¤½¸ô¡B¥Û±ÆÆW¶ê§Î¦a¡B©M¿Ó¼s³õ¡B½¹½º¨¦¤j°¨¸ô¡B¼Ö©~¤j°¨¸ô¡B©M¿Ó¤j°¨¸ô¡B¥Û±ÆÆW°¨¸ô¡BÁp¥Í¶ê§Î¦a¡B¥Ð¯`µó¡B®¦¥§´µÁ`²Î«e¦a |
|
¸ôÀô¥«°Ï¡÷¶ý»ÕÁ`¯¸ ¡]¨C¦~1¤ë¦Ü5¤ë¤Î9¤ë¦Ü12¤ë´Á¶¡¹ê¬I¡^ |
®¦¥§´µÁ`²Î«e¦a¡B¥Ð¯`µó¡BÁp¥Í¶ê§Î¦a¡B¥Û±ÆÆW°¨¸ô¡B©M¿Ó¶ê§Î¦a¡B¥Û±ÆÆW°¨¸ô¡B©M¿Ó¤j°¨¸ô¡B¼Ö©~¤j°¨¸ô¡B½¹½º¨¦¤j°¨¸ô¡B©M¿Ó¼s³õ¡B¥Û±ÆÆW¶ê§Î¦a¡B¸ô氹³s³e¤½¸ô¡B¹Å¼Ö§ÈÁ`·þ°¨¸ô¡B®]¶h¥P³Õ¤h¤j°¨¸ô¡B¥v§B®õ®üx±Nx°¨¸ô¡B¹Å¼Ö§ÈÁ`·þ¤j¾ô¡B¨È°¨³â«e¦a¡B·s°¨¸ô¡BªeÃä·sµó¡B¦èÆW´ò´º¤j°¨¸ô | |
|
¶ý»ÕÁ`¯¸¡÷¶Â¨F®üÅy ¡]¨C¦~6¤ë¦Ü8¤ë´Á¶¡¹ê¬I¡^ |
¦èÆW´ò´º¤j°¨¸ô¡BªeÃä·sµó¡B·s°¨¸ô¡B¨È°¨³â«e¦a¡B¹Å¼Ö§ÈÁ`·þ¤j¾ô¡B¥v§B®õ®üx±Nx°¨¸ô¡B®]¶h¥P³Õ¤h¤j°¨¸ô¡B¹Å¼Ö§ÈÁ`·þ°¨¸ô¡B¸ô氹³s³e¤½¸ô¡B¥Û±ÆÆW¶ê§Î¦a¡B©M¿Ó¼s³õ¡B½¹½º¨¦¤j°¨¸ô¡B¼Ö©~¤j°¨¸ô¡B©M¿Ó¤j°¨¸ô¡B¥Û±ÆÆW°¨¸ô¡BÁp¥Í¶ê§Î¦a¡B¥Ð¯`µó¡B¦ËÆW°¨¸ô¡B·s¶Â¨F°¨¸ô | |
|
¶Â¨F®üÅy¡÷¶ý»ÕÁ`¯¸ ¡]¨C¦~6¤ë¦Ü8¤ë´Á¶¡¹ê¬I¡^ |
·s¶Â¨F°¨¸ô¡B¦ËÆW°¨¸ô¡B¥Ð¯`µó¡B¥Û±ÆÆW°¨¸ô¡B©M¿Ó¶ê§Î¦a¡B¥Û±ÆÆW°¨¸ô¡B©M¿Ó¤j°¨¸ô¡B¼Ö©~¤j°¨¸ô¡B½¹½º¨¦¤j°¨¸ô¡B©M¿Ó¼s³õ¡B¥Û±ÆÆW¶ê§Î¦a¡B¸ô氹³s³e¤½¸ô¡B¹Å¼Ö§ÈÁ`·þ°¨¸ô¡B®]¶h¥P³Õ¤h¤j°¨¸ô¡B¥v§B®õ®üx±Nx°¨¸ô¡B¹Å¼Ö§ÈÁ`·þ¤j¾ô¡B¨È°¨³â«e¦a¡B·s°¨¸ô¡BªeÃä·sµó¡B¦èÆW´ò´º¤j°¨¸ô | |
| N5 | ¥Û±ÆÆWÁ`¯¸ | ©M¿Ó¼s³õ¡B¸ô氹³s³e¤½¸ô¡B°¶Às°¨¸ô¡B氹¥JÁ{®É«È¹B½XÀY¡B°¶Às°¨¸ô¡B¥_¦w¤j°¨¸ô¡B¤Í½Ë¤j¾ô¡B®ü´ä«e¦a¡B¤Í½Ë¤j°¨¸ô¡B¤Í½Ë¤j¾ô¡B¥_¦w¤j°¨¸ô¡B氹¥JÁ{®É«È¹B½XÀY¡B°¶Às°¨¸ô¡B¸ô氹³s³e¤½¸ô¡B©M¿Ó¼s³õ |
| N6 | ¿Dªù¤j¾ÇÁ`¯¸¡÷´ò¯`¤j·H | ºZ¹B¤j°¨¸ô¡B¬ì¬ãªFµó¡B³Í±Û¤j°¨¸ô¡B±j¨¤j°¨¸ô¡B³Í±Û¤j°¨¸ô¡B©ú¼w¤j°¨¸ô¡B¤j¾Ç¤j°¨¸ô¡B¾îµ^ªe©³ÀG¹D¡B½¬ªá®üÀؤj°¨¸ô¡B±æ¼w¸t¥ÀÆW¤j°¨¸ô¡B¹Å¼Ö§ÈÁ`·þ°¨¸ô¡B´ï¦¿µó |
| ´ò¯`¤j·H¡÷¿Dªù¤j¾ÇÁ`¯¸ | ´ï¦¿µó¡B¹Å¼Ö§ÈÁ`·þ°¨¸ô¡B±æ¼w¸t¥ÀÆW¤j°¨¸ô¡B½¬ªá®üÀؤj°¨¸ô¡B¾îµ^ªe©³ÀG¹D¡B¤j¾Ç¤j°¨¸ô¡B©ú¼w¤j°¨¸ô¡B³Í±Û¤j°¨¸ô¡B±j¨¤j°¨¸ô¡B³Í±Û¤j°¨¸ô¡BºZ¹B¤j°¨¸ô |
¤G¡BÕ½Õ¾ã¤W´Ú©Òq©wªº¤º®e¡A©Ó§å¤H¶·«ö·Ó¥»¦X¦P²Ä¤T±ø²Ä¤Q¤@´Ú¡B²Ä¤Q¤T´Ú¤Î²Ä¤Q¥|´Ú³W©wªº¤è¦¡¤½§G¡C
²Ä¤Q±ø
Àç¹BÃþ«¬¤½¨½¼Æ
¤@¡B©Ó§å¤H¦b¤G¹s¤@¤¦~ªºÀç¹B´Á¤º¡A©ÒÀç¸ô½uªº°ò¥»Àç¹BÃþ«¬¤½¨½¼Æ¦p¤U¡A¦ý¤£¥]¬A²Ä¤C±ø²Ä¤Q¤T¶µ¡B²Ä¤Q¤¶µ¡B²Ä¤G¤Q¤@¶µ¤Î²Ä¤G¤Q¤G¶µ©Ò«ü¸ô½uªºÀç¹BÃþ«¬¤½¨½¼Æ¡G
¡]¤@¡^¥H®ãªo¤p¤Ú´£¨Ñ¤é¶¡¸ô½uÀç¹Bªº¤½¨½¼Æ¬°720,677.40¤½¨½¡F
¡]¤G¡^¥H®ãªo¤¤¤Ú´£¨Ñ¤é¶¡¸ô½uÀç¹Bªº¤½¨½¼Æ¬°300,552.96¤½¨½¡F
¡]¤T¡^¥H®ãªo¤j¤Ú´£¨Ñ¤é¶¡¸ô½uÀç¹Bªº¤½¨½¼Æ¬°952,615.16¤½¨½¡F
¡]¥|¡^¥H®ãªo¤p¤Ú´£¨Ñ²`®d¸ô½uÀç¹Bªº¤½¨½¼Æ¬°3,002.88¤½¨½¡F
¡]¤¡^¥H®ãªo¤¤¤Ú´£¨Ñ²`®d¸ô½uÀç¹Bªº¤½¨½¼Æ¬°3,690.12¤½¨½¡F
¡]¤»¡^¥H®ãªo¤j¤Ú´£¨Ñ²`®d¸ô½uÀç¹Bªº¤½¨½¼Æ¬°169,704.92¤½¨½¡F
¡]¤C¡^¥H¤ÑµM®ð¤j¤Ú´£¨Ñ¤é¶¡¸ô½uÀç¹Bªº¤½¨½¼Æ¬°535,985.56¤½¨½¡F
¡]¤K¡^¥H¤ÑµM®ð¤j¤Ú´£¨Ñ²`®d¸ô½uÀç¹Bªº¤½¨½¼Æ¬°3,047.04¤½¨½¡F
¡]¤E¡^¥H¯Â¹q°Ê¤j¤Ú´£¨Ñ¤é¶¡¸ô½uÀç¹Bªº¤½¨½¼Æ¬°0¤½¨½¡F
¡]¤Q¡^¥H¯Â¹q°Ê¤j¤Ú´£¨Ñ²`®d¸ô½uÀç¹Bªº¤½¨½¼Æ¬°0¤½¨½¡C
¤G¡B°£¤W´Ú©Ò«üªº°ò¥»Àç¹BÃþ«¬¤½¨½¼Æ¥~¡AºÊ¹î¹êÅé±N©ó¥»¦X¦Pñq·í¤é¥H®Ñ±¤è¦¡³qª¾©Ó§å¤H¦³Ãö¤G¹s¤@¤¦~¦]¼W´î¸ô½u¤Î¯Z¦¸¡B©µªø¤ÎÁYµu¸ô½u¹wp©Ò¯A¤ÎªºÀç¹BÃþ«¬¤½¨½¼Æ¡C
¤T¡BºÊ¹î¹êÅé±N©ó¤G¹s¤@¤¦~¤Q¤ë¤Q¤¤é©Î¥H«e¥H®Ñ±¤è¦¡³qª¾©Ó§å¤H¦³Ãö¤G¹s¤@¤»¦~q©wªº¹wpÀç¹BÃþ«¬¤½¨½¼Æ¡A¸Ó³qª¾¶·«ü¥X¤G¹s¤@¤»¦~¹wpªº°ò¥»Àç¹BÃþ«¬¤½¨½¼Æ¤Î¦]¼W´î¸ô½u¤Î¯Z¦¸¡B©µªø¤ÎÁYµu¸ô½u¹wp©Ò¯A¤ÎªºÀç¹BÃþ«¬¤½¨½¼Æ¡C
¥|¡BºÊ¹î¹êÅé±N©ó¤G¹s¤@¤C¦~¤Î¤G¹s¤@¤K¦~¦UÀç¹B´Áªº¤W¤@¦~¤¤ë¤T¤Q¤@¤é©Î¥H«e¥H®Ñ±¤è¦¡³qª¾©Ó§å¤H¦³Ãö¦U¹ïÀ³Àç¹B´Áq©wªº¹wpÀç¹BÃþ«¬¤½¨½¼Æ¡A¸Ó³qª¾¶·«ü¥X¹ïÀ³Àç¹B´Á¹wpªº°ò¥»Àç¹BÃþ«¬¤½¨½¼Æ¤Î¦]¼W´î¸ô½u¤Î¯Z¦¸¡B©µªø¤ÎÁYµu¸ô½u¹wp©Ò¯A¤ÎªºÀç¹BÃþ«¬¤½¨½¼Æ¡C
ªþ¥ó¤G
¸ô½u½Õ¾ã
²Ä¤@±ø
¤@¯ë³W©w
¤@¡B©ÒÀç¸ô½uªº§ïÅÜ¥]¬A¸ô½u¯S¼xªº×q¡B¸ô½u¦æµ{Á{®É½Õ¾ã¡B¯Z¦¸¤Î¨®«¬Á{®É½Õ¾ã¡C
¤G¡B©Ó§å¤H¥²¶·¨Ì´`¥ÑºÊ¹î¹êÅé¹ï©ÒÀç¸ô½u©Ò§@ªº§ïÅÜ¡C
¤T¡B¶i¦æ©ÒÀç¸ô½uªº§ïÅܮɡA©Ó§å¤H¶·°t¦XºÊ¹î¹êÅ骺¦w±Æ¡A´£¨Ñ¥²nªºª«®Æ¤Î±Ä¨ú¬ÛÀ³±¹¬I¡A¥]¬A½Õ«×¤Hû¤Î¨®½ø¡B½Õ¾ã³]³Æ¤Î¶i¦æ«Å¶Ç¤u§@¡C
²Ä¤G±ø
×q¸ô½u¯S¼x
պʹî¹êÅé¹ïªþ¥ó¤@ªº¸ô½u¯S¼x´£¥X×§ï¡A©Ó§å¤H¥²¶·«ö·Ó«ü©w®É¶¡¨Ì´`×q«áªº¸ô½u¯S¼x¸gÀçªA°È¡C
²Ä¤T±ø
Á{®É½Õ¾ã¸ô½u¦æµ{
¤@¡BÕ©Ó§å¤Hªº©ÒÀç¸ô½uªº¦æµ{¡A¦]Á{®É¸ôªp¦Ó»Ý§@§ï¹D©Î§ïÅܤ½¦@¤Ú¤h¯¸ÂI¼Æ¶q©Î¦ì¸m¡A¦b¥i¹w¨£¨ãÅ骺½Õ¾ã¦æµ{¤Î®É¶¡ªº±¡ªp¤U¡A©Ó§å¤H¶·®Ú¾ÚºÊ¹î¹êÅ骺«ü¥Ü§@¥XÁ{®É½Õ¾ã¡A¨Ã©ó¾ÉP¸Ó½Õ¾ãªº±¡ªpµ²§ô«á¥ß§Y´_ì¡C
¤G¡B©Ó§å¤H¶·¦Ü¤Ö¦b§@¥X¤WzÁ{®É½Õ¾ãªº¤@¤Ñ«e¡A©ó¯A¤Îªº¤½¦@¤Ú¤h¯¸ÂI¶K¥X¬ÛÃöªº´£¥Ü¡A¨Ã¦b¸ô½u¦æµ{´_ì«á²¾°£¡A¦ýÄݲĤTªÌºÞ²zªº¤½¦@¤Ú¤h¯¸ÂI³]¬I°£¥~¡C
¤T¡B¦pÄÝ«D¹w¨£ªº¯S®í¥æ³qª¬ªp¤U¦³»Ýn§@¥X§ï¹D¡A¦bºÊ¹î¹êÅéÀò±x¸Ó¨Æ¹ê«e¡A©Ó§å¤H¥i¦w±Æ¦³ÃöÁ{®É¸ô½u¦æµ{½Õ¾ã¡A¦ý¥²¶·¥H¹ï¼«Èºc¦¨³Ì¤Ö¼vÅT¬°ì«h¡A©M±Ä¨ú¥²nªº´£¥Ü±¹¬I¡A¨Ã¾¨§Ö³qª¾ºÊ¹î¹êÅé¥HÀò±o¨ä½T»{¡A¨Ã©ó¾ÉP¸Ó½Õ¾ãªº±¡ªpµ²§ô«á¥ß§Y´_ì¡C
¥|¡BÕ©Ó§å¤H«ö²Ä¤@´Ú¤Î¤W´Úªº³W©wÁ{®É½Õ¾ã¸ô½u¦æµ{¡A¦bpºâ°]¬F´©§U®É¡A«h¥HÁ{®É½Õ¾ã¸ô½u¦æµ{ªº¸ô½u¤½¨½¼Æpºâ¥þ¤é§¡¥X²{½Õ¾ã¦æµ{ªº¸ô½u¡A¨Ã¥Hªþ¥ó¤@²Ä¤K±ø³W©wªº¸ô½u¤½¨½¼Æpºâ«DÄÝ¥þ¤é§¡¥X²{½Õ¾ã¦æµ{ªº¸ô½u¡C
²Ä¥|±ø
Á{®É½Õ¾ã¯Z¦¸¤Î¨®«¬
¤@¡BÕ©Ó§å¤Hªº©ÒÀç¸ô½u¦]¼«È¥X¦æ»Ý¨DÆJµM¼W¥[¡A¦Óªþ¥ó¤@ªº¸ô½u¯S¼x©Ò¸ü©ÎºÊ¹î¹êÅé«ü©wªº¯Z¦¸ÀW²v©ÎªA°È®É¶¡¥¼¯à¤©¥Hº¡¨¬®É¡A©Ó§å¤H¶·¦]À³¹ê»Ú±¡ªp¦Û¦æ¼W¥[¦³Ãö¸ô½uªº¯Z¦¸¡A°£¤U±ø²Ä¤G´Ú¦Ü²Ä¥|´Ú©Ò«ü±¡ªp¡A©ÎºÊ¹î¹êÅé¥t¦æq©úªº¯S®í±¡ªp¥~¡A©Ò¼W¥[ªº¯Z¦¸¼Æ¶q¥H¸Ó¸ô½u·í¤éÁ`¯Z¦¸ªº¦Ê¤À¤§¤Q¬°¡]°_©l¯¸»P²×ÂI¯¸¤£¦Pªº¸ô½u«ö·Ó¤£¦Pªº¦æ¾p¤è¦V¦Ó¤À§Opºâ¯Z¦¸¡^¡A¶W¹L¤WzÃBªÌ¶·¹w¥ý±o¨ìºÊ¹î¹êÅé§åã¡C
¤G¡BÕ©Ó§å¤Hªº©ÒÀç¸ô½u¦]¼«È¥X¦æ»Ý¨DÆJµM¼W¥[¡A¦Óªþ¥ó¤@ªº¸ô½u¯S¼x©Ò¸ü©ÎºÊ¹î¹êÅé«ü©wªº¨®«¬¥¼¯à¤©¥Hº¡¨¬¡A©Î¦b§@¥X¤W´Ú©ÒzÁ{®É¼W¥[¯Z¦¸¦Ó»Ý¨Ï¥Î¨®«¬¸ûì¸ô½u¤jªºÀç¹B¨®½ø¡A¦b¸ôªp³\¥iªº«e´£¤U¡A©Ó§å¤H¥i¦]À³¹ê»Ú±¡ªp¦Û¦æ§ó´«¨®«¬¸û¤jªºÀç¹B¨®½ø¡C
¤T¡B¥¼¸gºÊ¹î¹êÅé¹w¥ý§åã¡A©Ó§å¤H¤£±o§ó´«¸û¤pªº¨®«¬¡C
¥|¡B©Ó§å¤H¶i¦æÁ{®É½Õ¾ã¯Z¦¸©Î¨®«¬®É¡A¥²¶·½T«O¨äÀç¹Bªº©Ò¦³¸ô½uªº¥¿±`Àç¹B¡C
¤¡B©Ó§å¤H§ó´«¨®«¬¸û¤jªºÀç¹B¨®½ø®É¡A¶·¦Û¦æ©Ó¾á¦]§ó´«¨®«¬¦Ó¥i¯à¥X²{ªº·N¥~¡A¤Î¥i¯à¾ÉPªº¤@¤Á·l¥¢©M·l®`¡C
¤»¡B©Ò¦³¯A¤ÎÁ{®É½Õ¾ãªº¯Z¦¸¶W¥X²Ä¤@´Ú©ÒqªºÃB¡A¥H¤Î©Ò¦³¯A¤ÎÁ{®É½Õ¾ã¨®«¬ªº¯Z¦¸¡A¦b¥i¹w¨£ªº±¡ªp¤U¶·³Ì¿ð©ó½Õ¾ã«e¤Q¤¤é¦VºÊ¹î¹êÅé§@¥X¥Ó³ø¡F¦b«D¹w¨£ªº±¡ªp¤U¡A¶·¦b©Ó§å¤H§@¥X½Õ¾ã«á²Ý¤é¤º¦VºÊ¹î¹êÅé§@¥X¥Ó³ø¡A¨Ã©ó´£¥æªþ¥ó¤»²Ä¤G±ø¡]¤T¡^¶µ©Ò«üªº¯Z¦¸¸ê®Æ®É¥Ó³ø¨ü¼vÅT¯Z¦¸¤Î´£¨Ñ¨Æ¹êÃÒ©ú¡A¥H¯àÃÒ¹ê¤Î½T»{¼W¥[¯Z¦¸©Î§ó´«¨®«¬ªº¦X²z©Ê¡C
¤C¡B¹ï©ó¨S¦³«ön¨D§@¥X¥Ó³øªº¯Z¦¸¡A¥H¤Î¤£¦X²z½Õ¾ãªº¯Z¦¸¡A¿Dªù¯S§O¦æ¬F°Ï¦bµ²ºâ°]¬F´©§U®É±N¤£¤©¦Ò¼{¡C
¤K¡B¦pÁ{®É½Õ¾ã¯Z¦¸©Î¨®«¬ªº±¡ªp¨ã©P´Á©Ê¡A©Ó§å¤H¥i¦VºÊ¹î¹êÅ髨ij×q즳ªº¸ô½u¯S¼x¡C
¤E¡B©Ó§å¤H¶··Ç³Æ¨¬°÷¸ê·½¡A¥Hº¡¨¬¥»±ø©Ò«ü±¡ªpªº»Ýn¡C
²Ä¤±ø
¯S®í¤Îºò«æ±¡ªp¤UªºªA°È¦w±Æ
¤@¡B©Ó§å¤H¶·¨î©w¦b¯S®í¤Îºò«æª¬ªp¤U¸gÀçªA°Èªº¬yµ{«ü¤Þ¡A¥H«K¨ä¤u§@¤Hû¦b¸Óµ¥ª¬ªp¤U¯à°ª«×ÆF¬¡À³ÅÜ¡C
¤G¡B¦b«D±`ºò«æ©Î¤£¥i§Ü¤Oªº±¡ªp¤U¡A¤×¨ä¬O·íµo¥Í¤£¥i¹w¨£ªºÄY«¨Æ¬G¡B¨aº×©Î¦ÛµM¨aÃøµ¥ÄY««Â¯ÙÓ¤H¥Í©R¦w¥þªº±¡ªp®É¡AÕ©Ó§å¤H¦]¦ÓµLªk¸gÀç©Ò¦³©Î³¡¥÷¸ô½uªA°È¡A¶·¾¨§Ö³qª¾ºÊ¹î¹êÅé¨Ã¦V¿Dªù¯S§O¦æ¬F°Ï©Ò¦³¹q¤l¶Ç´Cµo§G³Ì·sªA°È¸ê°T¡A¤Î«ö¹ê»Ú±¡ªp¼W¥[©|¥i¹B§@ªº¯Z¦¸²¨´²¸s²³¡A¨Ã¦b¨ä«á¤¤é¤º´£¥æ©Ò¼W¥[ªº¯Z¦¸¼Æ¶q¡C
¤T¡B·í¥Ñ¤K¸¹·²y¥H¤Uªº¼ö±a®ð±Û«H¸¹§ï¬°Äa±¾¤K¸¹©Î¥H¤W·²y®É¡A©Ó§å¤H¶·°õ¦æ¥H¤U¤u§@¡G
¡]¤@¡^³~¸g¸ó®ü¤j¾ôªº©ÒÀç¸ô½u¦b§ï±¾«áº¥|¤Q¤¤ÀÄÁ¤ººû«ù¥¿±`ªA°È¡A¨ä¾l¸ô½u¦b§ï±¾«áº¤p®É¤ººû«ù¥¿±`ªA°È¡A¨Ã«ö·Ó¹ê»Ú±¡ªp¼W¥[¯Z¦¸¡F
¡]¤G¡^¾¨§Ö¦VºÊ¹î¹êÅé¤Î¿Dªù¯S§O¦æ¬F°Ï©Ò¦³¹q¤l¶Ç´Cµo§GªA°È¼È°±«e¦U¸ô½u§À¯Z¨®ªº¶}¥X®É¶¡¤Î¬ÛÃö¸ê°T¡F
¡]¤T¡^§À¯Z¨®§¹¦¨«á§´µ½¦w±Æ¦³Ãö¤u§@¤Hû¤U¯Z¡F
¡]¥|¡^¦b¼È°±ªA°È´Á¶¡¡A«ü¬£¥Nªí»PºÊ¹î¹êÅéÀH®É«O«ùÁpµ¸¡C
¥|¡B·í¥Ñ¤K¸¹©Î¥H¤W·²y§ï¬°Äa±¾¤K¸¹·²y¥H¤Uªº¼ö±a®ð±Û«H¸¹®É¡A©Ó§å¤H¶·°õ¦æ¥H¤U¤u§@¡G
¡]¤@¡^©ó§ï±¾«áº¤p®É¤º§¹¥þ«ì´_ªA°È¡F
¡]¤G¡^¾¨§Ö¦VºÊ¹î¹êÅé¤Î¿Dªù¯S§O¦æ¬F°Ï©Ò¦³¹q¤l¶Ç´Cµo§G«ì´_ªA°È«á¦U¸ô½uº¯Z¨®ªº¶}¥X®É¶¡¤Î¬ÛÃö¸ê°T¡F
¡]¤T¡^§´µ½¦w±Æ¦³Ãö¤u§@¤Hûªð¦^¤u§@±^¦ì¡C
¤¡B©Ó§å¤H¶·±Ä¨ú¤@¤Á¥²n±¹¬I¡A§´µ½³B²zÀç¹B¨®½øµo¥Íªº¨Æ¬G¡A¨Ã¶·¿í¦u¥H¤U³W©w¡G
¡]¤@¡^ÕÀç¹B¨®½ø¦bªA°È´Á¶¡¦]¥æ³q¨Æ¬G¡B¨®½ø¬G»Ù©Î¨ä¥L¯S®íì¦]¦Ó¤£¯àÄ~Äò¦æµ{¡A©Ó§å¤H¶·¾¨§Ö¬£¥X¨®½ø±µÄò¦æµ{¡]§Y¨ì¹F²{³õ±µ¸ü¨ü¼vÅTªº¼«ÈÄ~Äò¦æµ{¡^©ÎÀ±¸É¬ÛÀ³¯Z¦¸¡A¥B¤£½×¥ô¦ó±¡ªp§¡¶·µLÀv±µ¸ü¨ü¼vÅTªº¼«È¡F
¡]¤G¡^¹ï©ó©Ó§å¤H¦b¤W¶µ©Òz±¡ªp¤U¥¼¯à©ó¥b¤p®É¤º¥H¬Û¦P¨®«¬±µÄò¦æµ{©ÎÀ±¸É¬ÛÀ³¯Z¦¸ªº±¡ªp¡A¿Dªù¯S§O¦æ¬F°Ï¦bµ²ºâ°]¬F´©§U®É±N¤£¤©¦Ò¼{¡C
ªþ¥ó¤T
Àç¹BªA°È
²Ä¤@±ø
¸ü¹B¼«È
¤@¡BÀç¹B¨®½ø¦b¸gÀç¸ô½uªA°È®É¡A¥²¶·«ö·ÓºÊ¹î¹êÅé«ü©wªº¤½¦@¤Ú¤h¯¸ÂI¤W¸¨¼«È¡F°£¯S®í©Îºò«æ±¡ªp¥~¡A¸T¤î¦b¨ä¥L¦aÂI¤W¸¨¼«È¡C
¤G¡B°£«D¨®½ø¤wº¡¸ü¡A©Î¦b¯S®í©Îºò«æ±¡ªp¥~¡A·í¼«È¦bÀòºÊ¹î¹êÅé«ü©wªº¤½¦@¤Ú¤h¯¸ÂI¥Ü·N¼·f®É¡A°±¾a¸Ó¯¸ÂIªºÀç¹B¨®½ø¥²¶·Åý¼«È¤W¨®¡AÄY®æ¸T¤îÀç¹B¨®½ø¹L¯¸¤£°±¡C
¤T¡B°£¯S®í©Îºò«æ±¡ªp¥~¡A·í¼«È¥Ü·N¤U¨®®É¡AÀç¹B¨®½ø¶·¦b¶ZÂ÷³Ìªñ¥BÄݸӸô½uªº¤½¦@¤Ú¤h¯¸ÂI°±¾a¡A¥H«KÅý¨ä¤U¨®¡AÄY®æ¸T¤îÀç¹B¨®½ø¹L¯¸¤£°±¡C
¥|¡BÀç¹B¨®½ø¦b¸gÀç¸ô½uªA°È´Á¶¡¡A¤£±o¦b¸ô½u©ÒÄݰ_©l¯¸¥H¥~ªº¨ä¥L¤½¦@¤Ú¤h¯¸ÂIÔ«È¡A©Î¦b¨ä¥L¦aÂIº¢¯d¡A¦ý¸gºÊ¹î¹êÅé¹w¥ý³\¥iªº¯S®í±¡ªp¡A©Î¦]«D¹w¨£ªº¯S®í¥æ³qª¬ªp°£¥~¡C
¤¡B©Ó§å¤H¶·©Úµ´¥i¯à¹ï¼«È³y¦¨ÄÌÂZ©Î¶Ë®`ªº¤H¤h¼¨®¡AÕ¦³Ãö¤H¤h¤£¿í´`¨ä¤u§@¤Hûªº«ü¥Ü¡A©Ó§å¤H¥i¦V°õªk³¡ªù¨D§U¡C
¤»¡B©Ó§å¤H¤£±o¹B¸ü°Êª«©M¥Ñ©óÅé¿n¡B®ð¨ý©Î¥ô¦ó¨ä¥Lì¦]¦Ó¹ï¼«È³y¦¨¤£«K©Î¦M®`¼«È¦w¥þªºª««~¡C
²Ä¤G±ø
²¼´Úªº¦¬¶°¤Î®Öºâ
¤@¡B©Ó§å¤H¶··Ç½T¨Ã«ö·Óªþ¥ó¤»²Ä¤G±ø¤Î²Ä¤T±øªº³W©w¡A¦VºÊ¹î¹êÅé´£¥æ©ÒÀç¸ô½uªº²¼´Ú°O¿ý¤Î²Îp¡C
¤G¡B©Ó§å¤H¶·¥Hªþ¥ó¥|²Ä¥|±ø©Ò«üªº²¼´Ú¦¬¶°³]³Æ¦V¼«È¦¬¨ú²¼´Ú¡A¨Ã¨î©wÄYÂÔªº²¼´Ú³B²z¬yµ{¡A±Ä¨ú¤@¤Á±¹¬I¨¾¤î²¼´Ú¬y¥¢¡C
¤T¡BÕ©Ó§å¤H¦]¾Þ§@¤£·í©Î²¨©¿¡A¦Ó¦V¼«È¦¬¨ú¦h©ó¸g¿Dªù¯S§O¦æ¬F°Ï®Ö㪺²¼»ùªº²¼´Ú¡A¶·¾¨§Ö¦V¼«ÈÂkÁÙ¦h¦¬ªº²¼´Ú¡C
¥|¡B©Ò¦³Àç¹B¨®½ø¤£³]§äÅ«ªA°È¡A¦ý¸gºÊ¹î¹êÅé¹w¥ý³\¥i°£¥~¡C
¤¡B¦P¤@Àç¹B¨®½ø¦b¦P¤@Àç¹B¤é¤º¥u¥i¸gÀç¤@±ø¸ô½uªA°È¡F¦p¥²»Ý¸gÀç¦h±ø¸ô½uªA°È¡A¨C¦¸Âà´«©ÒÀç¸ô½u«e§¡¶·§ó´«ªÅ¿ú½c¡A¥H½T«O¦U¸ô½u²{ª÷²¼´Ú¦¬¤Jªº·Ç½T©Ê¡C
¤»¡B©Ó§å¤H¶·t³d¦]¨Ï¥Î¹q¤l³f¹ô¥æ©öªA°È¨t²Î©Ò²£¥Íªº¤@¤Á¶O¥Î¡C
¤C¡B¥H¹q¤l³f¹ô§Î¦¡¦¬¶°ªº²¼´Ú¡A©Ó§å¤H¶·t³d®Ö¹ï¼Æ¾Ú¥æ©ö¬ö¿ý¡A¨Ã¶i¦æ²Îp¤Îµ²ºâ¡F¥H²{ª÷§Î¦¡¦¬¶°ªº²¼´Ú¡A©Ó§å¤H¶·¦Ü¤Ö¨C¤éµ²ºâ¤@¦¸¡A¨Ã¤ÀÃþ°O¿ý¥H«K²Îp¡B®Ö¬d¤Îµ²ºâ¡C
¤K¡B©Ó§å¤H¶·±N©Ò¦³²¼´Ú¸g¥Ñ·|p±M·~¤Hû¶i¦æµ²ºâ¡A¸gÃÒ¹êµL»~«á¥Ñ¤Wz¤Hû©ó¬ÛÃöªº²¼´Ú°O¿ý¤Wñ¦W½T»{¡C
¤E¡BºÊ¹î¹êÅé±Nª½±µ¤Î/©Î³z¹L²Ä¤TªÌ°Ñ»P¾ãÓ²¼´Ú³B²z¬yµ{¡A¤×¨ä¥]¬A²¼´Úªºµ²ºâ¤Î®Ö¬d¡C
¤Q¡B©Ó§å¤H¶·«ö·ÓºÊ¹î¹êÅé«ü©wªº´Á¤º§¹¦¨²¼´Úµ²ºâ¡C
¤Q¤@¡B©Ó§å¤H¶·¬d©ú²¼´Ú¦¬¤J¥X²{ªº²§±`±¡ªp¡A¨Ã§@¥X¾A·íªº³B²z±¹¬I¡C
²Ä¤T±ø
«È¤áªA°È
¤@¡B«È¤áªA°ÈªºµøÄ±´CÅé¶·¥H¤¤¤å¤Î¸²¤åÅã¥Ü¡A¾A·í®É»²¥H^¤å¤Î¨ä¥L»y¨¥¡C
¤G¡B«È¤áªA°Èªº»yµ´CÅé¶·¥H¼sªF¸Ü¡B¸²¤å¤Î´¶³q¸Ü§@¥X¡A¾A·í®É»²¥H^¤å¤Î¨ä¥L»y¨¥¡C
¤T¡B©Ó§å¤H¶·«ö·ÓºÊ¹î¹êÅ骺«ü¥Ü»s§@¸Ë¸m©ó¤½¦@¤Ú¤h¯¸ÂIªº¸ô½u«ü«n¡A¸Óµ¥ª«®Æ¶·¨ã¨¾¤ô¡B¤£©ö¿Æ¦â©ÎÅܦâ¡B«ù¤[@¥Îªº¯SÂI¡A¨Ã¥H²¼ä©ö©úªº¤è¦¡ªí¹F¥²nªº¦æµ{¸ê°T¡C
¥|¡B°£¦³Ãö©ÒÀç¸ô½uªº¤@¤Á®ø®§¥~¡A©Ó§å¤H¥ç¶·«ö·ÓºÊ¹î¹êÅ骺«ü¥Ü¡A¦b©ÒÀç¸ô½uªu½u¤½¦@¤Ú¤h¯¸ÂIÅã¥Ü¨ä¥L¦³§Q¼«È·f¼ªº¦U¶µ¸ê°T¡C
¤¡B©Ó§å¤H¶·¦]À³¹ê»Ú±¡ªp¬£û©ó¤½¦@¤Ú¤h¯¸ÂIºû«ù¯´§Ç¤Î¨ó§U¼«È¡A¤×¨ä¦b¼«È¶q¸û¦hªº¤½¦@¤Ú¤h¯¸ÂI¡B¨ü¸ô½uªA°È§ïÅܼvÅTªº¤½¦@¤Ú¤h¯¸ÂI¥H¤Î¨ü¯S®í©Îºò«æ±¡ªp¼vÅTªº¤½¦@¤Ú¤h¯¸ÂI¡C
¤»¡B©Ó§å¤H¶·¦b¸ô½uÀç¹B®É¬q¤º¡A´£¨Ñ¨¬°÷ªº¼ö½u¹q¸ÜªA°È¡]³Æ¦³±µ½u¤Hû»P¨Ó¹qªÌª½±µ¹ï¸Ü¡^¡A¥H«K±µ¨ü¨D§U¡B¬d¸ß¡B§ë¶D¤Î«ØÄ³¡A¥B¶·¦b¦U¶µ±¦V¼«Èªº¸ê°T¤Î¨®´[¤ºÅã¥Ü¸Ó¹q¸Ü¸¹½X¡C
¤C¡B©Ó§å¤H¶·³]¸m¨ä¦Û¨ªº¤¬Ápºô¯¸¡A³z¹L¤¬Ápºô´£¨Ñ¥R¨¬¤Î³Ì·sªºÀç¹B¸ê°T¡A¨Ã±µ¨ü¬d¸ß¡B§ë¶D¤Î«ØÄ³¡C
¤K¡B©Ó§å¤H¶·½T«O©Ò´£¨Ñªº¸ê°Tªº·Ç½T©Ê¤Î§¹¾ã©Ê¡C
¤E¡B©Ó§å¤H¶·§´µ½«OºÞ¤Î³B²z¼«È¥¢ª«¡C
¤Q¡B©Ó§å¤H¶·¹ï¤@¤Á¨D§U¡B¬d¸ß¡B§ë¶D¤Î«ØÄ³¾¨§Ö§@¥X¦³®Ä³B²z¡C
²Ä¥|±ø
ªA°È¦w¥þ
¤@¡B©Ó§å¤Hªº©Ò¦³¨®½ø¤Î¨ä³]³Æ¡B¿ì¤½³]¬I¤Î³]³Æ¡A§¡¶·²Å¦X¦U¶µªk©wªº¦w¥þ¼Ð·Ç¡C
¤G¡B©Ó§å¤H¶·©w´Á¦V¨ä¤u§@¤Hû´£¨Ñ°ö°V¡A¥HÄé¿é¥¿½Tªº¦w¥þª¾ÃѤθê°T¡C
¤T¡B¾r¾pÀç¹B¨®½øªº¥q¾÷¶·À´±o¨Ï¥Î·À¤õµ©¡A¤Î¨ã³Æ°ò¥»ªº¦M¾÷³B²zª¾ÃÑ¡C
¥|¡B©Ó§å¤Hªº¥q¾÷¦b¾r¾p¨®½ø®É¡A¶·¨ã³Æ°ª«×ªº¦M¾÷·NÃÑ¡A¦p¹J²§±`±¡ªp¶·¾¨§ÖÀˬd¤Î§´µ½§@¥X³B²z¡C
ªþ¥ó¥|
Àç¹B¨®½ø
²Ä¤@±ø
Àç¹B¨®½øªº°ò¥»n¨D
¤@¡B©Ò¦³Àç¹B¨®½ø¶·¨ã³Æ°ª«×¦w¥þn¨D¡A©w´ÁÀˬd¤ÎºûסC
¤G¡B¸gÀ祻§åµ¹ªA°ÈªºÀç¹B¨®½øÄÝ¥|¤ë¤G¤Q¤K¤é²Ä17/93/M¸¹ªk¥O®Ö㪺¡m¹D¸ô¥æ³q³W³¹¡n²Ä¤Q¤K±øa¡^¶µ©Ò«üªº²Ä¤@Ãþ¤j«¬«È¨®¡A§Y¬°®e³\¼«È¦b°±¯¸ÀWÁcªº¸ô½u®e©ö¤W¸¨¦Ó³]p¡A¨Ã¨ã¦³®y¦ì¤Î¯¸¦ìªº¨®½ø¡A¦ý¸gºÊ¹î¹êÅé»P©Ó§å¤H¨ó°Ó¨Ã¦P·N§@¥X½Õ¾ãªº±¡ªp°£¥~¡C
¤T¡B©Ó§å¤H¦Û¤G¹s¤@¤¦~¤Q¤ë¤@¤é°_©ÒÁʸmÄݺ¦¸µn°OªºÀç¹B¨®½ø¡A¶·²Å¦X¼Ú·ù¥|´Á©Î§óÄYÂÔªº¨T¨®¼o®ð±Æ©ñ¼Ð·Ç¡C
¥|¡B©Ó§å¤HªºÀç¹B¨®½ø¶¤¥î¦Û¤G¹s¤@¤¦~¤Q¤ë¤@¤é°_¦Ü¤G¹s¤@¤»¦~¤C¤ë¤T¤Q¤@¤é¤î¡A¥ô¦ó®ÉÔªº¥§¡¨®ÄÖ¤£¥iµ¥©ó©Î°ª©ó¤ÂI¤·³¡F¨ä«á¡A¥ô¦ó®ÉÔªº¥§¡¨®ÄÖ¤£¥iµ¥©ó©Î°ª©ó¤CÂI¤·³¡C
¤¡BÀç¹B¨®½øªº³]p¶·¤è«K¼«È¤W¸¨¨®¤ÎµÎ¾A·f¼¬°¥D¡A¦b©ÒÀç¸ô½uªº¸ôªp³\¥iªº±¡ªp¤U¡A©Ó§å¤H¶·Àu¥ý¨Ï¥Î¯S§C¦a¥xªºÀç¹B¨®½ø¸gÀçªA°È¡C
¤»¡B©Ó§å¤H¶·«ö·Óªþ¥ó¤@ªº¸ô½u¯S¼x©Ò¸ü©úªº¨®½øÃþ«¬°t¸m¨¬°÷ªºÀç¹B¨®½ø¡A·í¤¤¥]¬A¤£¤Ö©ó¦Ê¤À¤§¤Qªº«á³Æ¨®½ø¨ÑÁ{®É½Õ«×©Ò»Ý¡C
¤C¡BºÊ¹î¹êÅé»{¬°¦³»Ýn®É¡A©Ó§å¤H¶·«ö·Ó¦³Ãö«ü¥Ü½Õ«×¨®½ø¡A¤×¨ä¬O¯S§C¦a¥x¡B¨ã³Æ¯S®í³]¬Iªº¨®½ø¡B¤ÑµM®ð¤Î¯Â¹q°Ê¨®½ø¡C
¤K¡B©Ò¦³Àç¹B¨®½ø§¡¶·¿í¦u¥|¤ë¤G¤Q¤K¤é²Ä17/93/M¸¹ªk¥O®Ö㪺¡m¹D¸ô¥æ³q³W³¹¡n¡B¤@¤ë¤Q¤G¤é²Ä5/89/M¸¹ªk¥O®Ö㪺¡m¤j«¬«È¨®ºØÃþ¤Î§Þ³N³W®æ³W³¹¡n¡B²Ä3/2007¸¹ªk«ß¡m¹D¸ô¥æ³qªk¡n¡B²Ä1/2012¸¹¦æ¬Fªk³W¡m¶i¤f·s¨T¨®À³¿í¦uªº§À®ð±Æ©ñ¼Ð·Çªº³W©w¡n¡B¨ä¥L¬ÛÃöªk¨Ò¥H¤Î¥»¦X¦Pªþ¥óªº³W©w¡C
¤E¡BÕ©Ó§å¤H«ö·Ó¥»¦X¦P²Ä¥|±ø²Ä¤K´Úªº³W©w¡A¦bºÞ²z©ÎÁʸmÀç¹B¨®½ø®É¯à°t¦X¿Dªù¯S§O¦æ¬F°Ï±À¦æªº¦U¶µ¦³ÃöÀu¤ÆµL»Ùê³]³Æ¡B¨®½øÀô«O¤Î¸`¯àn¨Dªº§Þ³N§ï³y¡A¤×¨ä°t¦X¡m¿Dªù³°¸ô¾ãÅ饿³q¹B¿é¬Fµ¦¡]2010-2020¡^¡n¤Î¡m¿DªùÀô¹Ò«OÅ@³W¹º¡]2010-2020¡^¡n¤º¨î©wªº¬ÛÃö¬Fµ¦¡AºÊ¹î¹êÅé±N«ö©Ó§å¤Hªº°õ¦æ±¡ªp¤Î¦¨®Ä¡A¹ï¥»¦X¦P²Ä¤G¤Q±ø²Ä¤G´Ú¡]¥|¡^¶µ©Ò«üªºªA°ÈµûŲ«ü¼Ðªºµû¤À°ò¦§@¥X¾A·í½Õ¤É¡C
²Ä¤G±ø
¨®½øÁʸm¤Î²^¨O°õ¦æp¹º
¤@¡B©Ó§å¤H°£¶·«ö·Ó¥»¦X¦P²Ä¤Q¤G±ø²Ä¤@´Ú¡]¤»¡^¶µªº³W©w¦V¿Dªù¯S§O¦æ¬F°Ï´£¥æ¨®½øºÞ²zp¹º¥~¡A¥ç¶·©ó¨C¦~¤Q¤ë¤T¤Q¤@¤é©Î¥H«e¦VºÊ¹î¹êÅé´£¥æ¤U¤@¦~«×ªº¨®½øÁʸm¤Î²^¨O°õ¦æp¹º¡A¥H¨ÑºÊ¹î¹êÅé§åã¡C
¤G¡B¨®½øÁʸm¤Î²^¨O°õ¦æp¹º¥]¬A¡G
¡]¤@¡^¤U¤@¦~«×ÀÀÄ~Äò§ë¤J¹B§@ªºÀç¹B¨®½ø¤Î¥Î©óºÊ¹î©M»²§U¥»§åµ¹ªA°Èªº©ì¨®¡B»´«¬¨T¨®¡B»´«¬©Î««¬¼¯¦«¨®ªº¨®½øµù¥U¸¹½X¡F
¡]¤G¡^¤U¤@¦~«×ÀÀ²^¨OªºÀç¹B¨®½ø¤Î¥Î©óºÊ¹î©M»²§U¥»§åµ¹ªA°Èªº©ì¨®¡B»´«¬¨T¨®¡B»´«¬©Î««¬¼¯¦«¨®ªº¨®½øµù¥U¸¹½X¤Î¨ä³Ì²×³B²z¤è¦¡¡F
¡]¤T¡^¤U¤@¦~«×ÀÀÁʸmªºÀç¹B¨®½ø¤Î¥Î©óºÊ¹î©M»²§U¥»§åµ¹ªA°Èªº©ì¨®¡B»´«¬¨T¨®¡B»´«¬©Î««¬¼¯¦«¨®ªº¼Æ¶q¤Î¨ä«~µP¡B«¬¸¹¡B°ò¥»©Ê¯à¡B³]³Æ¸ê®Æ¤Î¨C¥x¹wpªºÁʸmª÷ÃB¡C
¤T¡B¤w¸ü©óÀç¹B¨®½ø²M³æªº¸ê®ÆÕ»ÝnÅܧó¡A©Ó§å¤H¶·¦b¸ê®ÆÅܧó¤é°_p¤Q¤é¤º¡A¦VºÊ¹î¹êÅé´£¨Ñ§ó·sªº¨®½ø¸ê®Æ¡C
¥|¡B©Ó§å¤H¥i¥Ó½Ð¹ï¨®½øÁʸm¤Î²^¨O°õ¦æp¹º§@¥X×§ï¡A¦ý¶·Àò±oºÊ¹î¹êÅé§åã«á¤è¥i¶i¦æ¦³Ãö½Õ¾ã¡F©Ó§å¤H¶·ÄY®æ°õ¦æ¤w§å㪺¨®½øÁʸm¤Î²^¨O°õ¦æp¹º¤Î¨ä×§ï¡C
¤¡BºÊ¹î¹êÅé±N«ö¤U¦C¦U¶µ¦]¯À¹ï¨®½øÁʸm¤Î²^¨O°õ¦æp¹º¶i¦æ¼f§å¡G
¡]¤@¡^©ÒÀç¸ô½uªº°t¨®¼Æ¶q¡F
¡]¤G¡^¨®½øªº¨®ÄÖ¡F
¡]¤T¡^ÀÀ²^¨O¨®½øªº³B²z¤è¦¡¹ï¥»§åµ¹ªA°È¤Î¿Dªù¯S§O¦æ¬F°Ï¹D¸ôÀô¹Ò³y¦¨ªº¼vÅT¡F
¡]¥|¡^ÀÀÁʸm¨®½øªº³]³Æ½è¯À¡F
¡]¤¡^ÀÀÁʸm¨®½øªºª÷ÃB»P¦PÃþ¨®½ø»ùȪº¹ï¤ñ¡F
¡]¤»¡^ÀÀÁʸmªº¨®½ø¹ï¥Î©óºÊ¹î©M»²§U¥»§åµ¹ªA°Èªº®Ä¯q¡C
¤»¡B©Ó§å¤HÀÀÁʸmªº¨®½øªº«¬¸¹¤Î³W®æ¶·²Å¦X¬ÛÃöªk¨Ò³W©w¡A¨Ã¦bÁʸm¨®½ø«e¶·±N¨ä¸Ô²Óªº§Þ³N¸ê®Æ´£¥æºÊ¹î¹êÅé§åã¡C
²Ä¤T±ø
Àç¹B¨®½ø³]³Æªº°ò¥»n¨D
¤@¡B©Ó§å¤H¶·§´µ½ºÞ²z¤ÎºûÅ@Àç¹B¨®½ø¤º¦U¶µ³]³Æ¡A¤×¨ä©Ó¾á¦U¶µ¨ÑÀ³¡B¦w¸Ë¡BºûסB«O¾i¡B§ï¸Ë¡B§ó·s¡B´À´«¡B©î°£¤Î³B¸mµ¥¤u§@¡C
¤G¡BÀç¹B¨®½øªº¥q¾÷¾r¾p«Ç¶·³]©ó¨®½ø¥k¤è¡C
¤T¡B©Ó§å¤H¶·¦b¾aªñ¨®ªù³B¬°´Ý¯e¤H¡B¯f¤H¡B¦Ñ¦~¤H¡B¥¥°ü©Î¤â©ê¤p«ÄªÌ³Ì¤Ö³]¥ß¥|Ó±M¥Î®y¦ì¡A¨Ã¦bÅã²´³B¥[¥H¼ÐÃÑ¡A¥]¬A¦b´ÈI¤W¦L¤W¦³Ãö¹Ï¤å¡A¤Î±Ä¥Î»P¤@¯ë®y´È¦³§OªºÃC¦â¡C
¥|¡B©Ó§å¤H¶·¦bÀç¹B¨®½ø¤ºªºÅã²´³B¼Ð©ú¨ä¨®½øµù¥U¸¹½X¤Î¸ü«È¶q¡A¥B¤£±o¶W¸ü¡C
¤¡B©Ó§å¤H¶·«ö·ÓºÊ¹î¹êÅ骺«ü¥Ü¡A©óÀç¹B¨®½ø¤º¸Ë³]©Î§G¸m¥ÑºÊ¹î¹êÅé´£¨Ñªº¥ô¦ó¦³§Q¹D¸ô¶°Åé«È¹B¤½¦@ªA°Èªº³]³Æ¡A¤×¨ä¶·t³d©ó·sÁʸmªºÀç¹B¨®½ø¤º¹w¥ý¦¬ÂÃÄݺʹî¹êÅ骺¤½¦@¤Ú¤hºÞ²z¨t²Î©Ò»ÝºÞ½u©M¦w¸Ë¬ÛÃö³]³Æ¡A¥]¬AGPS¤Ñ½u¡B»´Ä²¦¡Åã¥Ü«Ì¤Î¨®¸ü¥D¾÷µ¥¡C
¤»¡BÄݺʹî¹êÅ骺¤½¦@¤Ú¤hºÞ²z¨t²ÎGPS¨®¸ü¥D¾÷ªºGPS¤Ñ½u¶·¦w¸Ë©óÀç¹B¨®½ø¨®³»¡A»´Ä²¦¡Åã¥Ü«Ì¶·¦w¸Ë©ó¥q¾÷®y¦ì«e¤è®e©ö¾Þ±±¤Î¬d¬Ýªº¦ì¸m¡A¨®¸ü¥D¾÷¶·»P¹q¤l³f¹ôÀxÈ¥d¦©¶O»ö¾¹³s½u¡C
¤C¡B©Ó§å¤H¶·´£¨Ñ¥H¤U¨®½ø«H¸¹¡GACC«H¸¹¡]Accessory¡A¨T¨®ªº¨ä¤¤¤@ÀÉÂI¤õ«H¸¹¡^¡B¤W¸¨¨®ªùªº¶}Ãöªù«H¸¹¡B¨®³tªº¯ß½Ä«H¸¹¡B˨®ÀÉ«H¸¹µ¥¡A¨Ã´£¨Ñ¥²nªº§Þ³N¤ä´©¡A¥]¬A´£¨ÑÀç¹B¨®½ø¦U«H¸¹ªº±µ½u¹Ï¡B¬£§Þ³N¤Hû¨ó§U´£¨Ñ«ü¾É¤Î¶i¦æ¦w¸Ë©M±µ»é¤u§@¡C
¤K¡B©Ó§å¤H¶·«öºÊ¹î¹êÅ骺n¨D¡A´£¨Ñ¨®½ø³]³Æªº§Þ³N³W®æ»¡©ú¡B¬ÛÃö¸ê®Æ¤Î¼Ë«~¡C
²Ä¥|±ø
²¼´Ú¦¬¶°³]³Æ
¤@¡B©Ó§å¤H¶·t³d¬°©Ò¦³Àç¹B¨®½ø¸Ë¸m²¼´Ú¦¬¶°³]³Æ¡A¥]¬A±M¥Î§ë¹ô¿ú½c¤Î«D±µÄ²¦¡¹q¤l³f¹ôÀxÈ¥d¦©¶O»ö¾¹¡C
¤G¡B©Ó§å¤H¶·¦V¼«È¦P®É´£¨Ñ²{ª÷¤Î¹q¤l³f¹ôªº¦¬¶O¼Ò¦¡¡A©Ó§å¤H¤£¯à¥H¥ô¦ó¤è¦¡¼vÅT¼«È¥I´Ú¼Ò¦¡ªº¦Û¥Ñ¿ï¾Ü¡C
¤T¡B©Ó§å¤H¶·¦b²¼´Ú¦¬¶°³]³Æ©ÎªþªñªºÅã²´¦ì¸m¼Ð¥Ü¾A¥Îªº²¼»ù¡C
¥|¡B¤£³]§äÅ«ªA°ÈªºÀç¹B¨®½ø¶·¦b¨ä¨®ÀY¤Î²¼´Ú¦¬¶°³]³Æªþªñ§@¥X¼Ðµù¡C
¤¡B©Ò¦³²¼´Ú¦¬¶°³]³Æ¶·¨ã³Æ°ª«×«O¦w©Ê¡A¥H¨¾¤î²¼´Ú¬y¥¢¡C
¤»¡B©Ó§å¤H¶·t³d¦]¨Ï¥Î¹q¤l³f¹ô¥æ©öªA°È¨t²Î©Ò²£¥Íªº¤@¤Á¶O¥Î¤Î¦³Ãö³]³Æ¥¿±`¹B§@ªº¤@¤Á¶}¤ä¡A¦ý¤£¥]¬A¥ÑºÊ¹î¹êÅén¨D¶i¦æªº¨t²Î¶}µo¤Î¡þ©Î¨t²Î×§ï©Ò»Ý¶O¥Î¡C
¤C¡B²¼´Ú¦¬¶°³]³Æ¶·¥i¨Ñ¥q¾÷§Y®É®Ö¬d©Ò¦¬¨úªº²¼´Ú¡C
¤K¡B¥Î©óÀç¹B¨®½ø¤ºªº¹q¤l³f¹ôÀxÈ¥d¦©¶O»ö¾¹¡A¨ä¥æ©öªA°È¨t²Îªº¨î¦¡¡B³]³Æªº³W®æ¤Î¨äÀç¹B°Ó¶·¥ÑºÊ¹î¹êÅé©ú½T«ü©w¡F¦Ó¥Î©óÀç¹B¨®½ø¤ºªº±M¥Î§ë¹ô¿ú½c¡A©Ó§å¤H¶·±N¨ä³W®æ¤Î©Ê¯àµ¥¸ê®Æ¡A´£¥æºÊ¹î¹êÅé§åã¡C
¤E¡B©Ó§å¤H¶·¦b²¼´Ú¦¬¶°³]³Æªþªñ³]¸m¼Ð°O¡A¥HÃҹꨰª¤£¨¬¤@¦Ìªº¨àµ£¡C
²Ä¤±ø
¸ê°T³]³Æ
¤@¡BÀç¹B¨®½ø¦b¸gÀç©ÒÀç¸ô½uªA°È®É¡A¥²¶·¦b¨®ÀY¡B¥ªÃ䨮¨¤Î¨ä¥LÅã²´³B²M·¡Åã¥Ü¦³Ãö¸ô½uªº½s¸¹¤Î¥Øªº¦a¡A¤×¨ä¶·©ú½TÃѧO¥h¦^µ{¸ô½u¡F¦Ó¦b¨®§À¥²¶·Åã¥Ü¸ô½u½s¸¹¡C
¤G¡BÕÀç¹B¨®½ø«D¦]¸gÀç©ÒÀç¸ô½uªA°È¦Ó¦b¸ô±¦æ¨«®É¡A¥²¶·¦b¨äÅã²´³B¼Ð¥Ü¦³Ãöª¬ºA¡C
¤T¡BÀç¹B¨®½ø¦b¸gÀçªA°È®É¡A¥²¶·¦b¨®´[¤ºÅã²´³B²M·¡Åã¥Ü¦³Ãö¸ô½u½s¸¹¤Î¨ä¦æµ{¸ê°T¡A¤×¨äªu½u¦U°±¾aªº¤½¦@¤Ú¤h¯¸ÂI¦WºÙ¡C
¥|¡BÀç¹B¨®½ø¥²¶·¸Ë¸mµø°T¤Î»yµ³ø¯¸³]¬I¡A¥H´£¨Ñ·Ç½Tªº¸ô½u¸ê®Æ¡A¥]¬A¨ì¯¸«H®§¤Î¦³§Q¼«È·f¼ªº¨ä¥L«H®§¡A¥B¥²¶·¦b¨®½øÀç¹B´Á¶¡«O«ù¾Þ§@¥¿±`¤Î¸ê®Æ¥¿½T¡A¨ä¤¤µø°T³]¬I°ò¥»¥H¤¤¤å¡]ÁcÅé¡^¤Î¸²¤å«ö§ÇÅã¥Ü¡A»yµ³]¬I°ò¥»¥H¼sªF¸Ü¡B¸²»y¡B´¶³q¸Ü¤Î^»y«ö§Ç¼s¼½¡C
¤¡B©Ó§å¤H¥²¶·«ö·ÓºÊ¹î¹êÅ骺«ü¥Ü¡A©óÀç¹B¨®½ø¤ºµo§G©Ò«ü©wªº¸ê°T¡A¤×¨ä©Ò¦³Ãö©ó½Õ¾ã¹D¸ô¶°Åé«È¹B¤½¦@ªA°Èªº¬ÛÃö®ø®§¡C
¤»¡B©Ò¦³¦bÀç¹B¨®½ø¤ºªº¼vµ¼½©ñ¡A¶·²Å¦X²{¦æªk¨Òªº³W©w¡A¥B¥HÁ×§K¹ï¼«È§@¥X¤zÂZ¬°ì«h¡F¥¼¸gºÊ¹î¹êÅ骺¹w¥ý§åã¡A¸T¤îÀç¹B¨®½ø¦V¨®´[¥~§@¼vµ¼½©ñ¡C
²Ä¤»±ø
¨®³tºÊ±±³]³Æ
©Ó§å¤H¶·¦bÀç¹B¨®½ø¤º¦w¸Ë«ùÄò¦V¼«È²M·¡Åã¥Ü¦æ¨®³t«×ªº¸Ë¸m¤Î¦³Ãö°O¿ý»ö¾¹¡A¨Ã¶·«O¯d¤Î²Îp¨®³t°O¿ý¥H¨ÑºÊ¹î¹êÅé§@¥XºÊ¹î¡C
²Ä¤C±ø
ºÊ¹î³]³Æ
¤@¡B©Ó§å¤H¶·¦b¤£¹H¤Ï¦³Ãöªk¨Ò³W©w¤ÎÀò¨ãÅv¤½¦@·í§½µo¥Xªº³\¥i©Î¥i¦æ·N¨£®Ñªº«e´£¤U¡A¦bÀç¹B¨®½ø¤º¦w¸ËÄá¿ý¾÷¡A¥H²M·¡ºÊ¹î¨Ã°O¿ý¨®´[¤ºªºª¬ªp¡A¤×¨ä¼«È¤W¸¨¤Î²¼´Ú¦¬¶°±¡ªp¡C
¤G¡B¦p¥q¾÷ªºª½±µµøÄ±¤£¨¬®É¡A¥²¶·¸Ë³]¨Ï¥q¾÷¯à²M·¡¬Ý¨£¨®´[¥~¦æ¨®ª¬ªp¤Î¨®´[¤ºª¬ªpªº¥ú¾Ç¸Ë¸m©Î³¬¸ô¹qµø¨t²Î¡A¤×¨ä¦b¨C¤@¨Ñ¼«È¤W¸¨ªº¨®ªùªþªñ¤Î¦b˨®®Éªº¨®«á±¡ªp¡A¥H¨Ñ¥q¾÷¶i¦æ§Y®ÉºÊ¹î¡C
¤T¡B©Ó§å¤H¶·«ö·ÓºÊ¹î¹êÅé©Ò«ü©wªº´Á«O¯d¨Ã´£¨Ñ¦³Ãö¿ý¼v¬ö¿ý¡C
²Ä¤K±ø
ªÅ®ð½Õ¸`¨t²Î
¤@¡B©Ò¦³Àç¹B¨®½ø¥²¶·°t³ÆªÅ®ð½Õ¸`¨t²Î¡A¨Ã¦b¦³»Ýn¨Ï¥ÎªÅ®ð½Õ¸`¨t²Îªº¤Ñ®ð±¡ªp¤U¥²¶·±Ò¥Î¡A¥H«O«ù¼¨®Àô¹Ò¸g±`µÎ¾A¡C
¤G¡B©Ó§å¤H¶·½T«OªÅ®ð½Õ¸`¨t²Îéw¤Î«ùÄò¦a¬°¼«È´£¨ÑµÎ¾Aªº·Å«×¤Î¨}¦nªºªÅ®ð´`Àô¡A¥B¶·Á×§Kµo¥X¥ô¦ó²§¨ý¡C
²Ä¤E±ø
¤W¸¨¨®ªù¤Î¨®µ¡
¤@¡BÀç¹B¨®½ø¶·°t³Æ¦Ü¤Ö¨âӨѼ«È¤W¸¨ªº¨®ªù¡C
¤G¡B©Ò¦³¨Ñ¼«È¤W¸¨ªº¨®ªù¥²¶·¦ì©ó¨®½øªº¥ª¤è¡A¥H«KÀç¹B¨®½ø¾aªñ¨®¦æ¹D¥ª°¼ªº¸ô½t©Î¦æ¤H¹D¤W¸¨¼«È¡C
¤T¡B°t³Æ¨âÓ©Î¥H¤W¨Ñ¼«È¤W¸¨ªº¨®ªùªºÀç¹B¨®½ø¡A¥²¶·«ü¥Ü¼«È¦b¥q¾÷¯à¥H³Ì¨ÎµøÄ±¦ì¸mª½±µºÊ¹îªº¨®ªù¤W¨®¡A¨ä¾l¨Ñ¼«È¸¨¨®¡AÁ×§KÅý¼«È¦b¦P¤@¨®ªù¶i¦æ¤W¸¨¡A¥B¶·¨ã³Æ²M·¡¼Ð°O¤Þ¾É¼«È¤W¸¨¡A¦ýºÊ¹î¹êÅé¹w¥ý³\¥iªº¯S®í±¡ªp©Îºò«æ±¡ªp°£¥~¡C
¥|¡B¤W¸¨¨®ªù¥²¶·¨ã³Æ¦w¥þ¸Ë¸m¡A¥HÁ×§K¨®½ø¦b¨®ªù¶}±Òª¬ºA¤U¦æ¾p¡A¦P®É¥ç¥²¶·¨ã³Æ¥R¨¬ªºÁn¥ú´£¥Ü¤Î¬ÛÃö±¹¬I¡A¥HÁ×§K¦b¶}啓©MÃö³¬¤W¸¨¨®ªù®É¾ÉP¼«È¨ü¶Ë®`¡C
¤¡B¨Ñ¼«È¤W¸¨ªº¨®ªù¥²¶·¬°¦Û°Êªù¡A¥B¶·¨ã³Æ°ª«×¦w¥þ©Ê¯à¡C
¤»¡B¨®µ¡¤Î¨Ñ¼«È¤W¸¨ªº¨®ªù¦b¥ô¦ó®ÉÔ¥²¶·«O«ù¨ä°ª«×³zµø©Ê¡A¤£½×±q¨®´[¤º©Î¨®´[¥~Æ[¬Ýª«¥ó¥çµM¡C
¤C¡B¨®µ¡ªº³]¸m¶·¨ã³Æ³q·¥\¯à¡C
¤K¡BÀç¹B¨®½ø¤£¥i¸Ë³]µ¡Ã®¡A¦ý¸gºÊ¹î¹êÅé¹w¥ý³\¥i°£¥~¡C
¤E¡B¦Û¤G¹s¤@¤¦~¤Q¤ë¤@¤é°_©ÒÁʸmÄݺ¦¸µn°OªºÀç¹B¨®½ø¡A°£¤p¤Ú¥~¡A¨ä¾l¨®«¬¥²¶·ÄݧC¦a¥x³]p¡A§Y¼«È±q¦a±¶i¤J¨®´[¡A¤Î¥Ñ¨®´[¨ì¹F¦a±®É¡A¶È»Ý§@¤@¦¸½ñ¨B¡C
¤Q¡B¨®ªù¦b¶}±Ò®É¡A¨â°¼¥²¶·¦P®É³Æ¦³§ß¤â¨Ñ¼«È»²§U¤W¸¨¡C
²Ä¤Q±ø
¦w¥þ³]³Æ¤Î±¹¬I
¤@¡B¨®´[¤ºÄY¸T§l·Ï¤Î¸T¤îÄâ±a¦M®`¦w¥þªºª««~¤W¨®¡A©Ó§å¤H¥²¶·¥HÅã²´¤Î²M´·¤è¦¡¡A¦b¨®´[¤º§@¥X¼Ð¥Ü¡A¥B±i¶K¥²nªºÄµ¥Ü¼Ð»y¡A¥H½T«O¦æ¨®¦w¥þ¤Î¼«È¦w¥þ¡C
¤G¡B©Ò¦³Àç¹B¨®½ø¶·«ö·Óªk¨Ò³W©w¡A¦w©ñ·À¤õµ©¤Î¨ä¥L¦w¥þ³]³Æ¡A¨Ã½T«O¸g±`³B©ó¨}¦nªº³Æ¥Îª¬ºA¡C
¤T¡B¦p¦w¸Ë«D¬¡°Êµ¡¤f¡A¨®´[¤º¶·°t³Æ¨¬°÷¤Î¦³®Äªº°k¥Í¤u¨ã©Î³]³Æ¡C
¥|¡BÀç¹B¨®½ø¦b˨®®É¥²¶·¯àµo¥X²M´·¤Î©ö©ó¹îıªº«H¸¹¡C
¤¡B¨®´[¦aªO¶·¨ã³Æ¨¾·Æ¥\¯à¡C
¤»¡B¨®´[¤ºªº©Ò¦³±è¯Å¡A¤×¨ä¨Ñ¼«È¤W¸¨¨®ªº½ñªO¡A¤Î¨®´[¤º¨Ñ¼«È³q¦æªº¨«´Y¨B¯Å¡A¥²¶·²M·¡¼Ð¥Ü¨äÃä½t¡C
¤C¡B¨®´[¤º¶·¦w¸Ë¨¬°÷ªº§ß¤â©Î§â¤â³]¬I¡A¤×¨ä¦b¨Ñ¼«È¤W¸¨ªº¨®ªùªþªñ¡C
¤K¡BÀç¹B¨®½ø¹q¦À«Ç¶·³]¸m¡u¥¿t·¥¡v«OÀIµ·©Î¨ä¥L¦w¥þ¸Ë¸m¡A·í¨®½ø¹q¾¹µo¥Íµu¸ô®É¡A¥i¥ß§Y¤ÁÂ_¹q·½¨Ñ¹q¡C
¤E¡B¥q¾÷¾r¾p«Ç¶·¸Ë³]¹q·½Á`¨îº¶¨®¨î¡A¨Ã²M·¡¼Ð¥Ü¥H´£¿ô¥q¾÷¡C
¤Q¡B¤ÞÀº°_°Ê¾¹¹q·½½u¶·¨Ï¥Î¨¾¤õª«®Æ©Î¥H¨¾¤õª«®Æ¥]紥¡A¦Ó¤ÞÀº«Ç¥ç¶·³]¸m¨¾¤õª«®Æ¡C
²Ä¤Q¤@±ø
¨®´[¤º·Ó©ú¨t²Î
¤@¡BÀç¹B¨®½ø¶·«ö·Óªk¨Ò³W©w¡A¦b¨®´[¤º°t³Æ¾A·íªº·Ó©ú¨t²Î¡C
¤G¡B¦b©]¶¡©Î¨®´[¤º¥ú½u¤£¨¬ªº±¡ªp¤U¡A¥²¶·¶}±Ò¨®´[¤º·Ó©ú¨t²Î¡C
¤T¡B¥Î§@´£¥Ü©Ê½èªº·Ó©ú¡A¥²¶·¦b¨®½øªA°È´Á¶¡«ùÄò¹B§@¡C
²Ä¤Q¤G±ø
¤U¨®«ö¹a
¤@¡B©Ò¦³Àç¹B¨®½ø¶·¦w¸Ë¨¬°÷¥B¤è«K¼«È¨Ï¥Îªº¤U¨®«ö¹a¡C
¤G¡B¤U¨®«ö¹a¶·¦P®É¨ã³ÆÁnÅT¤Î¿O¥ú«H¸¹¡A¥B¯àÅý¥q¾÷¤Î¼«È²M·¡¨Ã®e©ö¿ë§O¡C
²Ä¤Q¤T±ø
µL»Ùê³]¬I
¤@¡B©Ó§å¤H¸gÀ窺¹D¸ô¶°Åé«È¹B¤½¦@ªA°È¶·¾¨¥i¯à¤è«K´Ý¯e¤H¤h¨Ï¥Î¡C
¤G¡B¦b¨®´[¤º³]¦³½ü´È°±¾a¦ì¸mªºÀç¹B¨®½ø¤£¥i¤Ö©óÀç¹B¨®½øÁ`¼Æ¶qªº¦Ê¤À¤§¤Q¡A¥B¶·¦b¨®¨§@¥XÃѧO¡C
¤T¡B¤Wz©Ò«üªº½ü´È°±¾a¦ì¸m¡A¬°¥i¨Ñ½ü´Èª½±µ°±¾aªº°Ï°ì¡C
¥|¡B³]¦³½ü´È°±¾a¦ì¸mªºÀç¹B¨®½ø¡A¶·«K©ó´Ý¯e¤H¤h¨Ï¥Î¡A¨Ãªþ³]¦³¸û®e©ö¤W¸¨ªº¨®ªù¡B«K©ó³q¹Lªº¨®´[³q¹D¡B¨¬°÷ªº§ß¤â¡B©T©w½ü´Èªº¸Ë¸m¤Î½ü´È´çªOµ¥¡C
²Ä¤Q¥|±ø
¦æ§õ¬[
©Ó§å¤H¶·«ö·ÓºÊ¹î¹êÅ骺n¨D¡A¦b«ü©w¸ô½uªºÀç¹B¨®½ø¤º°t³Æ«ü©w¤Ø¤oªº¦æ§õ¬[¡A¥B¥²¶·²Å¦X¬ÛÃö¦w¥þ³W©w¡C
²Ä¤Q¤±ø
¨ä¥L³]³Æ
¤@¡B©Ó§å¤H¶·¨ã³Æ¾A·í¤Î¨¬°÷ªº³]¬I¡B³]³Æ¤Î³W¼Òªº¤u³õ¡A¥H½T«OÀç¹B¨®½øºû«ù¨}¦nªº«O¾i¡B²M¼ä¤Î¦w¥þ±ø¥ó¡C
¤G¡B©Ó§å¤H¶·´£¨Ñ¤@¤Á°ò¥»³]³Æ¡A¨ÏªA°È§ó¨ã¦w¥þ©Ê¡B¦³®Ä¹B§@©Ê¤ÎµÎ¾A©Ê¡C
¤T¡B©Ó§å¤H¶·«ö·ÓºÊ¹î¹êÅ骺«ü¥Ü¡A¦w¸Ë¤Î½Õ¾ã¦³Ãö³]³Æ¡C
²Ä¤Q¤»±ø
Àç¹B¨®½øªºÀˬd¤Î¾Þ§@
¤@¡B©Ó§å¤H¶·©ó¸gÀç¨C¤@¯Z¦¸ªA°È«e¡A¹ïÀç¹B¨®½ø¡B³]³Æ¤Î¿U®Æ§@¥XÀˬd¡A¨Ã½T«OÀç¹B¨®½ø¤Î¨ä³]³Æ¦b¸gÀçªA°È®É¾Þ§@¥¿±`¡B¨Ï¥Î¥¿½T¤Î«K§Q¼«È¡A¤×¨ä¶·½T«O¦VºÊ¹î¹êÅé´£¨Ñ§¹¾ã¤Î¥¿½TªºGPS³]³Æ¤Î¹q¤l³f¹ôÀxÈ¥d¦©¶O»ö¾¹¸ê®Æ¡C
¤G¡B©Ó§å¤H¶·½T«OGPS³]³Æ¤Î¹q¤l³f¹ôÀxÈ¥d¦©¶O»ö¾¹³B©ó¥¿±`¹B§@ª¬ºA¡FÕ©ó¸gÀç¯Z¦¸ªA°È´Á¶¡¥¼¯à¥¿±`¹B§@¡A¶·©ó§¹¦¨¸Ó¯Z¦¸ªA°È«á§@¥X§ó´«¡A¨Ã¶·©óºò±µ¨ä«áªº¤@Ó¤u§@¤é¤º¦VºÊ¹î¹êÅé§@¥X¥Ó³ø¡A¨Ã©ó´£¥æªþ¥ó¤»²Ä¤G±ø¡]¤T¡^¶µ©Ò«üªº¯Z¦¸¸ê®Æ®É¡A¦VºÊ¹î¹êÅé¥Ó³ø¨ü¼vÅT¯Z¦¸¡C
¤T¡B©Ó§å¤H¶·«ö·Ó¦U©ÒÀç¸ô½uªº¹ê»ÚÀç¹Bª¬ªp¡A¦bGPS³]³Æ¤Î¹q¤l³f¹ôÀxÈ¥d¦©¶O»ö¾¹¿é¤J¥¿½TªºÀç¹B¸ê®Æ¡FÕ¨S¦³«ö·Ó¹ê»ÚÀç¹Bª¬ªp¿é¤J¥¿½TªºÀç¹B¸ê®Æ¡A¶·©ó´£¥æªþ¥ó¤»²Ä¤G±ø¡]¤T¡^¶µ©Ò«üªº¯Z¦¸¸ê®Æ®É¡A¦VºÊ¹î¹êÅé¥Ó³ø¨ü¼vÅT¯Z¦¸¡C
¥|¡B©Ó§å¤H¶·«ö·ÓºÊ¹î¹êÅ骺«ü¥Ü¡A©ó«ü©w®É¶¡¤º¡A½T«O§¹¾ãªºGPS³]³Æ¤Î¹q¤l³f¹ôÀxÈ¥d¦©¶O»ö¾¹¸ê®Æ¤w¤W¶Ç¦ÜºÊ¹î¹êÅé«ü©wªº¼Æ¾Ú¦¬¶°¨t²Î¡F¹ï©ó¤W§e¼Æ¾Ú¹Lµ{¦s¦³²§±`®É¡A¶·¾¨§ÖÁpµ¸GPS³]³Æ¤Î¹q¤l³f¹ôÀxÈ¥d¦©¶O»ö¾¹ªº¬ÛÀ³¨ÑÀ³°Ó³B²z¡A¨Ã¾¨§Ö¦VºÊ¹î¹êÅé§@¥X¥Ó³ø¡FÕ¸Óµ¥ºÊ¹î¸ê®Æ¼Æ¾Ú¦s¦³²§±`¡A¶·©ó´£¥æªþ¥ó¤»²Ä¤G±ø¡]¤T¡^¶µ©Ò«üªº¯Z¦¸¸ê®Æ®É¡A¦VºÊ¹î¹êÅé¥Ó³ø¨ü¼vÅT¯Z¦¸¡C
¤¡B¹ï©ó¨S¦³´N²Ä¤G´Ú¦Ü¤W´Ú©Ò¥X²{ªº±¡ªp¦VºÊ¹î¹êÅé§@¥X¥Ó³øªº¯Z¦¸¡A¥H¤Î¤í¯Ê§¹¾ã¤Î¥¿½TªºGPS³]³Æ¤Î¹q¤l³f¹ôÀxÈ¥d¦©¶O»ö¾¹¸ê®Æªº¯Z¦¸¡A¿Dªù¯S§O¦æ¬F°Ï¦bµ²ºâ°]¬F´©§U®É±N¤£¤©¦Ò¼{¡C
²Ä¤Q¤C±ø
¨®½øªººûפΫO¾i
¤@¡B©Ó§å¤H¶·¨î©wÄYÂÔªº¨®¶¤ºû׫O¾iµ{§Ç¡A¨Ã©w´Á¬°¨ä¨®½ø¶i¦æ¸Ô²ÓÀˬd¡A¥H«K§@¥XºûסB«O¾i¤Î§ïµ½ªº¤u§@¡A¨Ã¹ïÀË¥Xªº²§±`ª¬ªp©Î¼ç¦bªºÁô±w±Ä¨ú¦³®Ä³B²z±¹¬I¡C
¤G¡B©Ò¦³Àç¹B¨®½øªººûפΫO¾i¤u§@¡A¶È¦b¿Dªù¯S§O¦æ¬F°Ï¶i¦æ¡A¦ý¸gºÊ¹î¹êÅé¹w¥ý³\¥i°£¥~¡C
¤T¡B¨C¥xÀç¹B¨®½ø¥²¶·³Ì¤Ö¦b¹F¨ì¥H¤U©Ò³W©wªº¼Ð·Ç®É¶i¦æ¬ÛÃö«O¾i¤u§@¡A¥B¤£¼vÅT§@¥X§ó°ªªº¼Ð·Ç¡G
¡]¤@¡^¨C¦æ¾p¤@¤Ñ¡G¶i¦æ¦U¶µ¦w¥þÀˬd¤Î²M¼äªÅ½Õ¹j¹Ðºô¡F
¡]¤G¡^¨C¦æ¾p¥|Ó¤ë¡G§ó´«ªÅ®ðÂo²M¾¹¡F
¡]¤T¡^¨C¦æ¾p¤@¸U¤½¨½¡G§ó´«¾÷ªo¤Î¾÷ªoÂo²M¾¹¡B¥þ¨®¶i¦æ¦U¶µ³¡¥óÀˬd¤Î«O¾i¡F
¡]¥|¡^¨C¦æ¾p¤G¸U¤½¨½¡G§ó´«®ãªoÂo²M¾¹¡F
¡]¤¡^¨C¦æ¾p¥|¸U¤½¨½¡G§ó´«Åܳt½cªo²G¤Î®t³t¾¹ªo²G¡C
¥|¡B¦b¦³»Ýn®É¡A©Ó§å¤H¥ç¶·ÃB¥~¶i¦æ¤W´Ú©Òz¤u§@¡C
¤¡B©Ó§å¤H¥²¶·«ö·Ó¨C¥xÀç¹B¨®½øªºª¬ªp¡A©w´ÁÀˬd¤Î§ó´«¦U¶µ³¡¥ó¡A¤×¨ä§ó´«½üL¡B刹¨®¤ù¡A¤Î¸É¥R刹¨®ªo²G©M§N´C¡]³·ºØ¡^¡A¥H«O«ùÀu¨}ªº¨®½øª¬ªp¡C
¤»¡B©Ó§å¤H¶·±Ä¨ú¦³®Ä±¹¬IÁ×§KÀç¹B¨®½øµo¥X¾¸µ¡A¤×¨ä刹¨®¨t²Î¡C
¤C¡B©Ó§å¤H¶·±Ä¨ú¦³®Ä±¹¬I±±¨îÀç¹B¨®½øªº§À®ð±Æ©ñ¡C
¤K¡B©Ó§å¤H¶·½T«OÀç¹B¨®½ø¥~Æ[§¹¦n¡C
¤E¡B©Ó§å¤H¶·±Ä¨ú¦³§Q©ó§ïµ½Àç¹B¨®½øª¬ªp¤Î½è¯Àªº¤@¤Á±¹¬I¡C
¤Q¡B©Ó§å¤H¶·«O¯d»PÀç¹B¨®½ø§ï¸Ë¡BºûפΫO¾i¦³Ãöªº©Ò¦³¬ö¿ý¡C
²Ä¤Q¤K±ø
¨®½ø¤Î¨ä³]³Æªº²M¼ä¤Î®ø¬r
¤@¡B©Ó§å¤H¶·®É¨èºû«ùÀç¹B¨®½ø¤Î¨ä³]³Æªº¾ã²z¡B²M¼ä¡B½Ã¥Í¤Î®ø¬rªº±ø¥ó¨}¦n¡A¨Ã¶i¦æ¥²nªº¤u§@¡B¨ÑÀ³¤ÎªA°È¡C
¤G¡B©Ó§å¤H¶·«ö·Ó½Ã¥Í³¡ªù©Òµo¥Xªº«ü¤Þ¤Î«ØÄ³²M¼ä©M®ø¬r©Ò¦³Àç¹B¨®½ø¤Î¨ä³]³Æ¡A¨Ã°t¦X¨ä±À¦æªº±¹¬I¡C
¤T¡B¨C¥x¹ê»Ú¸gÀçªA°ÈªºÀç¹B¨®½ø¶·¦Ü¤Ö¨C¤Ñ¶i¦æ¥H¤U¤u§@¡G
¡]¤@¡^¹ý©³¥´±½¤Î²M¬~¨®´[¡F
¡]¤G¡^²M¼ä¤Î®ø¬r¨®´[¤º³]¬I¡A¤×¨ä®y¦ì¡B§ß¤â¡B§â¤â¡B¤U¨®«ö¹a¤Î§N®ð·¤fµ¥¡F
¡]¤T¡^¼ä²b¨®¨¡C
¥|¡B©Ó§å¤H¶·±Ä¨ú¦³®Ä±¹¬IÁ×§K¨®´[µo¥X²§¨ý¡C
¤¡B¨C¤@¯Z¦¸ªºÀç¹B¨®½øªð¦ÜÁ`¯¸«á¡A©Ó§å¤H¶·¬°Àç¹B¨®½ø¶i¦æ¥´±½¥H«O«ù¾ã¼ä¡C
ªþ¥ó¤
°]¬F´©§Uªºpºâ¤è¦¡
²Ä¤@±ø
°]¬F´©§Uªºpºâ¤è¦¡
¤@¡B¦UÀç¹B´ÁÁ`°]¬F´©§Uªºpºâ¤è¦¡¦p¤U¡G

¨ä¤¤¡A
Tt ¡Gt ´ÁÁ`°]¬F´©§U
Dte ¡Gt´ÁeÀç¹BÃþ«¬ªº°]¬F´©§U¡]e = 1®É¡A¥Nªí¥H®ãªo¤p¤Ú´£¨Ñ¤é¶¡¸ô½uÀç¹B¡Fe = 2®É¡A¥Nªí¥H®ãªo¤¤¤Ú´£¨Ñ¤é¶¡¸ô½uÀç¹B¡Fe = 3®É¡A¥Nªí¥H®ãªo¤j¤Ú´£¨Ñ¤é¶¡¸ô½uÀç¹B¡Fe = 4®É¡A¥Nªí¥H®ãªo¤p¤Ú´£¨Ñ²`®d¸ô½uÀç¹B¡Fe=5®É¡A¥Nªí¥H®ãªo¤¤¤Ú´£¨Ñ²`®d¸ô½uÀç¹B¡Fe = 6®É¡A¥Nªí¥H®ãªo¤j¤Ú´£¨Ñ²`®d¸ô½uÀç¹B¡Fe = 7®É¡A¥Nªí¥H¤ÑµM®ð¤j¤Ú´£¨Ñ¤é¶¡¸ô½uÀç¹B¡Fe = 8®É¡A¥Nªí¥H¤ÑµM®ð¤j¤Ú´£¨Ñ²`®d¸ô½uÀç¹B¡Fe = 9®É¡A¥Nªí¥H¯Â¹q°Ê¤j¤Ú´£¨Ñ¤é¶¡¸ô½uÀç¹B¡Fe = 10®É¡A¥Nªí¥H¯Â¹q°Ê¤j¤Ú´£¨Ñ²`®d¸ô½uÀç¹B¡^
n ¡GÀç¹BÃþ«¬ªº¼Æ¥Ø¡An = 10
t ¡Gªí¥ÜÀç¹B´Á¡At = 0¬°¤G¹s¤@¤¦~ªºÀç¹B´Á¡At=1¬°¤G¹s¤@¤»¦~ªºÀç¹B´Á¡A¦p¦¹Ãþ±À
¤G¡B¤QºØÀç¹BÃþ«¬ªº¦UÀç¹B´Á°]¬F´©§Uªºpºâ¤è¦¡¦p¤U¡G
Dt = At + Bt = Ct
¨ä¤¤¡A
Dt ¡Gt´Á¦UÀç¹BÃþ«¬ªº°]¬F´©§U¡]¤QºØÀç¹BÃþ«¬¡ADt1¦ÜDt10ªºpºâ¤èªk¬Û¦P¡A¦]¦¹¡A´î§K¤U¼Ðªí¥Ü¤è¦¡¡A¨Ï¥ÎDt¥N´ÀDte¡^
At ¡G«öt ´Á°ò¥»Àç¹BÃþ«¬¤½¨½¼Æpºâªº°]¬F´©§U
Bt ¡Gt´Á¤º¦]¨ú®ø¸ô½u¡B¼W´î¯Z¦¸¡B©µªø¤ÎÁYµu¸ô½u¦Ópºâªº°]¬F´©§U
Ct ¡Gt´Á¤º¦]¼W¥[¸ô½u¦Ópºâªº°]¬F´©§U
¤T¡B«ö°ò¥»Àç¹BÃþ«¬¤½¨½¼Æpºâ°]¬F´©§Uªºpºâ¤è¦¡¦p¤U¡G
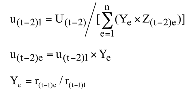
At = Rt ¡V Pt
Rt = rt x Kt
Pt = pt x Kt
¨ä ¤¤¡A
At ¡G«öt´Á°ò¥»Àç¹BÃþ«¬¤½¨½¼Æpºâªº°]¬F´©§U
rt ¡Gt´Á¨C¤½¨½¥§¡ªA°È»ùÈ
t = 0®É¡A¨C¤½¨½¥§¡ªA°È»ùȬ°¡G
r¡]t=0¡^1 = 17.49 ¤¸¡]¥H®ãªo¤p¤Ú´£¨Ñ¤é¶¡¸ô½uÀç¹B¡^¡B
r¡]t=0¡^2 = 22.74¤¸¡]¥H®ãªo¤¤¤Ú´£¨Ñ¤é¶¡¸ô½uÀç¹B¡^¡B
r¡]t=0¡^3 = 27.98¤¸¡]¥H®ãªo¤j¤Ú´£¨Ñ¤é¶¡¸ô½uÀç¹B¡^¡B
r¡]t=0¡^4 = 26.24¤¸¡]¥H®ãªo¤p¤Ú´£¨Ñ²`®d¸ô½uÀç¹B¡^¡B
r¡]t=0¡^5 = 34.11¤¸¡]¥H®ãªo¤¤¤Ú´£¨Ñ²`®d¸ô½uÀç¹B¡^¡B
r¡]t=0¡^6 = 41.98¤¸¡]¥H®ãªo¤j¤Ú´£¨Ñ²`®d¸ô½uÀç¹B¡^¡B
r¡]t=0¡^7 = 31.06¤¸¡]¥H¤ÑµM®ð¤j¤Ú´£¨Ñ¤é¶¡¸ô½uÀç¹B¡^¡B
r¡]t=0¡^8 = 46.59¤¸¡]¥H¤ÑµM®ð¤j¤Ú´£¨Ñ²`®d¸ô½uÀç¹B¡^¡B
r¡]t=0¡^9 = 55.85¤¸¡]¥H¯Â¹q°Ê¤j¤Ú´£¨Ñ¤é¶¡¸ô½uÀç¹B¡^¡B
r¡]t=0¡^10 = 83.78¤¸¡]¥H¯Â¹q°Ê¤j¤Ú´£¨Ñ²`®d¸ô½uÀç¹B¡^¡F
t=1®É¡Ar1 = r0
t>1®É¡Art «ö·Ó¤U±øpºâ
Rt ¡G«öt´Á°ò¥»Àç¹BÃþ«¬¤½¨½¼ÆpºâªºªA°È»ùÈ
t = 0®É¡A«ö·Ó¤G¹s¤@¤¦~ªºÀç¹B´Áªº¨C¤½¨½¥§¡ªA°È»ùÈ¡]r0¡^¡A¼¥Hªþ¥ó¤@²Ä¤Q±ø²Ä¤@´Ú©Ò«üªº¹ïÀ³°ò¥»Àç¹BÃþ«¬¤½¨½¼Æ¡]K0¡^¡Apºâªº¤G¹s¤@¤¦~ªºÀç¹B´ÁªºªA°È»ùȤÀ§O¬°¡G
R¡]t=0¡^1 = 12,604,647.73¤¸¡]¥H®ãªo¤p¤Ú´£¨Ñ¤é¶¡¸ô½uÀç¹B¡^¡B
R¡]t=0¡^2 = 6,834,574.31¤¸¡]¥H®ãªo¤¤¤Ú´£¨Ñ¤é¶¡¸ô½uÀç¹B¡^¡B
R¡]t=0¡^3 = 26,654,172.18¤¸¡]¥H®ãªo¤j¤Ú´£¨Ñ¤é¶¡¸ô½uÀç¹B¡^¡B
R¡]t=0¡^4 = 78,795.57¤¸¡]¥H®ãªo¤p¤Ú´£¨Ñ²`®d¸ô½uÀç¹B¡^¡B
R¡]t=0¡^5 = 125,869.99¤¸¡]¥H®ãªo¤¤¤Ú´£¨Ñ²`®d¸ô½uÀç¹B¡^¡B
R¡]t=0¡^6 = 7,124,212.54¤¸¡]¥H®ãªo¤j¤Ú´£¨Ñ²`®d¸ô½uÀç¹B¡^¡B
R¡]t=0¡^7 =16,647,711.49¤¸¡]¥H¤ÑµM®ð¤j¤Ú´£¨Ñ¤é¶¡¸ô½uÀç¹B¡^¡B
R¡]t=0¡^8 = 141,961.59¤¸¡]¥H¤ÑµM®ð¤j¤Ú´£¨Ñ²`®d¸ô½uÀç¹B¡^¡B
R¡]t=0¡^9 = 0¤¸ ¡]¥H¯Â¹q°Ê¤j¤Ú´£¨Ñ¤é¶¡¸ô½uÀç¹B¡^¡B
R¡]t=0¡^10 = 0¤¸¡]¥H¯Â¹q°Ê¤j¤Ú´£¨Ñ²`®d¸ô½uÀç¹B¡^¡F
¤G¹s¤@¤¦~ªºÀç¹B´ÁªºªA°È»ùȦXp¬°¿Dªù¤¸70,211,945.41¡C
Pt ¡Gt´Á¨C¤½¨½¥§¡²¼´Ú¦¬¤J¹wpÈ
t=0 ®É¡A³z¹L¹ï¤G¹s¤@¤G¦~¤Î¤G¹s¤@¤T¦~²Ä¤T¼Ð¬qªº¹ê»Ú²¼´Ú¦¬¤J¡A«ö¹ê»ÚÀç¹BÃþ«¬¤½¨½¼Æ¡A¨Ã¥H²Ä¤T±ø²Ä¤@´Ú©Ò«üªº¨t¼Æ¶i¦æpºâ¡A©Ò±o¥Xªº¨C¤½¨½¥§¡²¼´Ú¦¬¤J¹wpȬ°¡G
p¡]t=0¡^1 = 6.27¤¸¡]¥H®ãªo¤p¤Ú´£¨Ñ¤é¶¡¸ô½uÀç¹B¡^¡B
p¡]t=0¡^2 = 8.15¤¸¡]¥H®ãªo¤¤¤Ú´£¨Ñ¤é¶¡¸ô½uÀç¹B¡^¡B
p¡]t=0¡^3 = 10.03¤¸¡]¥H®ãªo¤j¤Ú´£¨Ñ¤é¶¡¸ô½uÀç¹B¡^¡B
p¡]t=0¡^4 = 6.27¤¸¡]¥H®ãªo¤p¤Ú´£¨Ñ²`®d¸ô½uÀç¹B¡^¡B
p¡]t=0¡^5 = 8.15¤¸¡]¥H®ãªo¤¤¤Ú´£¨Ñ²`®d¸ô½uÀç¹B¡^¡B
p¡]t=0¡^6 = 10.03¤¸¡]¥H®ãªo¤j¤Ú´£¨Ñ²`®d¸ô½uÀç¹B¡^¡B
p¡]t=0¡^7 = 10.03¤¸¡]¥H¤ÑµM®ð¤j¤Ú´£¨Ñ¤é¶¡¸ô½uÀç¹B¡^¡B
p¡]t=0¡^8 = 10.03¤¸¡]¥H¤ÑµM®ð¤j¤Ú´£¨Ñ²`®d¸ô½uÀç¹B¡^¡B
p¡]t=0¡^9 = 10.03¤¸¡]¥H¯Â¹q°Ê¤j¤Ú´£¨Ñ¤é¶¡¸ô½uÀç¹B¡^¡B
p¡]t=0¡^10 = 10.03¤¸¡]¥H¯Â¹q°Ê¤j¤Ú´£¨Ñ²`®d¸ô½uÀç¹B¡^¡F
t = 1®É¡Ap1 = p0
t>1®É¡Apt «ö·Ó²Ä¤T±ø²Ä¤@´Úªºpºâ¤è¦¡pºâ
Pt ¡G«öt´Á°ò¥»Àç¹BÃþ«¬¤½¨½¼Æpºâªº²¼´Ú¦¬¤J¹wpÈ
t = 0®É¡A«ö·Ó¤G¹s¤@¤¦~ªºÀç¹B´Áªº¨C¤½¨½¥§¡²¼´Ú¦¬¤J¹wpÈ¡]p0¡^¡A¼¥Hªþ¥ó¤@²Ä¤Q±ø²Ä¤@´Ú©Ò«üªº¹ïÀ³Àç¹BÃþ«¬¤½¨½¼Æ¡Apºâªº¤G¹s¤@¤¦~ªºÀç¹B´Á²¼´Ú¦¬¤J¹wpȤÀ§O¬°¡G
P¡]t=0¡^1 = 4,518,647.30¤¸¡]¥H®ãªo¤p¤Ú´£¨Ñ¤é¶¡¸ô½uÀç¹B¡^¡B
P¡]t=0¡^2 = 2,449,506.62¤¸¡]¥H®ãªo¤¤¤Ú´£¨Ñ¤é¶¡¸ô½uÀç¹B¡^¡B
P¡]t=0¡^3 = 9,554,730.05¤¸¡]¥H®ãªo¤j¤Ú´£¨Ñ¤é¶¡¸ô½uÀç¹B¡^¡B
P¡]t=0¡^4 = 18,828.06¤¸¡]¥H®ãªo¤p¤Ú´£¨Ñ²`®d¸ô½uÀç¹B¡^¡B
P¡]t=0¡^5 = 30,074.48¤¸¡]¥H®ãªo¤¤¤Ú´£¨Ñ²`®d¸ô½uÀç¹B¡^¡B
P¡]t=0¡^6 = 1,702,140.35¤¸¡]¥H®ãªo¤j¤Ú´£¨Ñ²`®d¸ô½uÀç¹B¡^¡B
P¡]t=0¡^7 = 5,375,935.17¤¸¡]¥H¤ÑµM®ð¤j¤Ú´£¨Ñ¤é¶¡¸ô½uÀç¹B¡^¡B
P¡]t=0¡^8 = 30,561.81¤¸¡]¥H¤ÑµM®ð¤j¤Ú´£¨Ñ²`®d¸ô½uÀç¹B¡^¡B
P¡]t=0¡^9 = 0¤¸¡]¥H¯Â¹q°Ê¤j¤Ú´£¨Ñ¤é¶¡¸ô½uÀç¹B¡^¡B
P¡]t=0¡^10 = 0¤¸¡]¥H¯Â¹q°Ê¤j¤Ú´£¨Ñ²`®d¸ô½uÀç¹B¡^¡F
¤G¹s¤@¤¦~ªºÀç¹B´Á²¼´Ú¦¬¤J¹wpȦXp¬°¿Dªù¤¸23,680,423.84¡C
Kt ¡Gt´Á°ò¥»Àç¹BÃþ«¬¤½¨½¼Æ
t ¡Gªí¥ÜÀç¹B´Á¡At=0¬°¤G¹s¤@¤¦~ªºÀç¹B´Á¡At=1¬°¤G¹s¤@¤»¦~ªºÀç¹B´Á¡A¦p¦¹Ãþ±À
¥|¡B¦]¨ú®ø¸ô½u¡B¼W´î¯Z¦¸¡B©µªø¤ÎÁYµu¸ô½u¦Ópºâªº°]¬F´©§Uªºpºâ¤è¦¡¦p¤U¡G

at = At/Kt
¨ä¤¤¡A
Bt ¡Gt´Á¤º¦]¨ú®ø¸ô½u¡B¼W´î¯Z¦¸¡B©µªø¤ÎÁYµu¸ô½u¦Ópºâªº°]¬F´©§U
Zth ¡Gt´Á¤º¨ú®øh¸ô½uªº¤½¨½¼Æ¡B´î¤Öh¯Z¦¸ªº¤½¨½¼Æ¡BÁYµuh¸ô½uªº¤½¨½¼Æ¡B©µªøh¸ô½uªº¤½¨½¼Æ¡B¼W¥[h¯Z¦¸ªº¤½¨½¼Æ¡F·í¤½¨½¼Æ´î¤Ö®É¡AZth¬°tÈ¡A¦]¦¹¡ABt¥i¬°¥¿¼Æ©Ît¼Æ
at ¡Gt´Á¨C¤½¨½¥§¡°]¬F´©§U
Kt ¡Gt´Á°ò¥»Àç¹BÃþ«¬¤½¨½¼Æ
At ¡G«öt´Á°ò¥»Àç¹BÃþ«¬¤½¨½¼Æpºâªº°]¬F´©§U
m ¡G ¨ú®ø¸ô½u¡B¼W´î¯Z¦¸¡B©µªø¤ÎÁYµu¸ô½uªº¸ô½u¼Æ¶q
¤¡B¦]¼W¥[¸ô½u¦Ópºâªº°]¬F´©§Uªºpºâ¤è¦¡¦p¤U¡G

¨ä¤¤¡A
Ct ¡Gt´Á¤º¦]¼W¥[¸ô½u¦Ópºâªº°]¬F´©§U
Cat ¡Gt´Á¤Ît-1´Á¦]¼W¥[¸ô½u¦Ópºâªº°]¬F´©§U
fti ¡Gt´Á¤Ît-1´Á¼W¥[i ¸ô½uªº¤½¨½¼Æ
xti ¡Gt´Á¤Ît-1´Á¼W¥[i¸ô½uªº¹ê»Ú²¼´Ú¦¬¤J¡] ·í«ö·Ó¦X¦P²Ä¤E±ø¦Ü²Ä¤Q±øpºâ°]¬F´©§Uªº¹wpª÷ÃB®É¡A¦¹¼ÆÈ¬°¹s¡^
v ¡Gt´Á¤Ît-1´Á¼W¥[¸ô½uªº¼Æ¶q
Cbt ¡Gt-2´Á¦]¼W¥[¸ô½u¦Ópºâªº°]¬F´©§U
gtj ¡Gt-2´Á¼W¥[j¸ô½uªº¤½¨½¼Æ
otj ¡Gt-2´Á¼W¥[j¸ô½uªº¹ê»Ú²¼´Ú¦¬¤J¡]·í«ö·Ó¦X¦P²Ä¤E±ø¦Ü²Ä¤Q±øpºâ°]¬F´©§Uªº¹wpª÷ÃB®É¡A¦¹¼ÆÈ¬°¹s¡^
w ¡Gt-2´Á¼W¥[¸ô½uªº¼Æ¶q
rt ¡Gt´Á¨C¤½¨½¥§¡ªA°È»ùÈ
²Ä ¤G±ø
°]¬F´©§Uªº½Õ¾ã
t>1 ®É¡A¤QºØÀç¹BÃþ«¬ªºªA°È»ùȤΰ]¬F´©§Uªº½Õ¾ãªºpºâ¤è¦¡¦p¤U¡G
At = Rt ¡V Pt
Rt = rt x Kt
Pt = pt x Kt

¨ä¤¤¡A
At ¡G«öt´Á°ò¥»Àç¹BÃþ«¬¤½¨½¼Æpºâªº°]¬F´©§U
Rt ¡G«öt ´Á°ò¥»Àç¹BÃþ«¬¤½¨½¼ÆpºâªºªA°È»ùÈ
Pt ¡G«öt ´Á°ò¥»Àç¹BÃþ«¬¤½¨½¼Æpºâªº²¼´Ú¦¬¤J¹wpÈ
Kt ¡Gt´Á°ò¥»Àç¹BÃþ«¬¤½¨½¼Æ
rt ¡Gt´Á¨C¤½¨½¥§¡ªA°È»ùÈ¡]Õ©Ó§å¤H¦bt-2´Á©|¥¼¶}©l¥H¯Â¹q°Ê¨®´£¨Ñ¸ô½uªA°È¡A«h¦bpºâ¯Â¹q°Ê¨®ªºrt®É¡Art = r0 ¡^
pt ¡Gt´Á¨C¤½¨½¥§¡²¼´Ú¦¬¤J¹wpÈ
u(t-2) ¡Gt-2´Á¨C¤½¨½¥§¡Àç¹B¦¨¥»¡A«ö·Ó²Ä¤T±ø²Ä¤G´Úªºpºâ¤è¦¡pºâ
q ¡Gªí¥Ü²Îp«ü¼Ðªº¦~´Á¡Aq = 0®É¬°¤G¹s¤@¥|¦~²Îp«ü¼Ðªº¦~´Á¡Aq = 1®É¬°¤G¹s¤@¤¦~²Îp«ü¼Ðªº¦~´Á¡A¦p¦¹Ãþ±À¡Ft=2 ®É¡Aq = 0¡Ft = 3®É¡Aq=1¡F¦p¦¹Ãþ±À
Gq ¡G¿Dªù²Îpº[´¶¬d§½¤½§Gªººî¦X®ø¶Oª«»ù«ü¼Æªºq¦~«×¥§¡«ü¼ÆÈ
Sq ¡G¿Dªù²Îpº[´¶¬d§½¤½§Gªº³°¸ô¹B¿é·~¥þ¾¦³Á~¹S¹µûªºq¦~«×¥§¡Á~¹S¡] Õ¿Dªù²Îpº[´¶¬d§½¨S¦³¤½§G¦~«×¥§¡¼ÆÈ¡A«h«ö·Ó¤w¤½§Gªº¤ë¥÷¼ÆÈ¨ú¨ä¥§¡È¡^
Fq ¡G±Ä¥Î¹ïÀ³¯à·½ªº²Îp«ü¼Æpºâ¡Gpºâ®ãªo¨®ªºrt®É¡A ±Ä¥Î¿Dªù²Îpº[´¶¬d§½¤½§Gªºq¦~«×¨®¥Î»´®ãªo¥§¡°â»ù§@¬°Fq¡Fpºâ¤ÑµM®ð¨®ªºrt®É¡A±Ä¥Î¿Dªù¯à·½·~µo®i¿ì¤½«Ç²Îpªºq ¦~«×¤ÑµM®ð¥§¡°â®ð»ù§@¬°Fq¡Fpºâ¯Â¹q°Ê¨®ªºrt®É¡A±Ä¥Î¿Dªù¯à·½·~µo®i¿ì¤½«Ç²Îpªºq¦~«×¹q¯à¶O¥Î§@¬°Fq
²Ä¤T±ø
¨C¤½¨½¥§¡²¼´Ú¦¬¤J¹wpȤΨC¤½¨½¥§¡Àç¹B¦¨¥»ªºpºâ¤è¦¡
¤@¡Bt>1®É¡A¨C¤½¨½¥§¡²¼´Ú¦¬¤J¹wpȪºpºâ¤è¦¡¦p¤U¡G

Pte = Pt1 x ye
¨ä¤¤¡A
pte ¡Gt´ÁeÀç¹BÃþ«¬ªº¨C¤½¨½¥§¡²¼´Ú¦¬¤J¹wpÈ
L(t¡V2) ¡Gt-2´Á¹ê»Ú²¼´Ú¦¬¤J
l(t¡V2) ¡Gt-2´Á¼W¥[¸ô½uªº¹ê»Ú²¼´Ú¦¬¤J
ye ¡GeÀç¹BÃþ«¬ªº¨t¼Æ¡]¦Ò¼{¨ì²¼´Ú¦¬¤J»PÀç¹B¨®½ø¨®«¬ªºÃö«Y¡A¦³Ãö¨t¼Æ¬O«ö·Ó¤G¹s¤@¤@¦~¤K¤ë¬°¿Dªù¯S§O¦æ¬F°Ï´£¨Ñ¹D¸ô¶°Åé«È¹B¤½¦@ªA°Èªº¤T¶¡©Ó§P¤½¥qªº¦UÀç¹B¨®½ø¨®«¬ªº¨C¤½¨½ªA°È³æ»ù¡A¨Ã¥H®ãªo¤p¤Ú¬°°ò¦§@¤ñ¨Òpºâ¡Gy1 = 1.00¡By2 = 1.30¡By3 =1.60¡By4 = 1.00¡By5 = 1.30¡By6 = 1.60¡By7 = 1.60¡By8 =1.60¡By9 = 1.60¡By10 = 1.60¡^
Z(t¡V2)e¡Gt-2´ÁeÀç¹BÃþ«¬ªº¹ê»ÚÀç¹BÃþ«¬¤½¨½¼Æ
Z(t¡V2)e¡Gt-2´Á¼W¥[¸ô½uªºeÀç¹BÃþ«¬ªº¹ê»ÚÀç¹BÃþ«¬¤½¨½¼Æ
¤G¡Bt>1®É¡A¨C¤½¨½¥§¡Àç¹B¦¨¥»ªºpºâ¤è¦¡¦p¤U¡G

¨ä¤¤¡A
u(t¡V2)e ¡Gt-2´ÁeÀç¹BÃþ«¬ªº¨C¤½¨½¥§¡Àç¹B¦¨¥»
U(t¡V2) ¡G«ö·Óªþ¥ó¤K³W¨î¦¨¥»«ü¤Þpºâªºt-2´ÁÀç¹B¦¨¥»
Ye ¡GeÀç¹BÃþ«¬ªº¨t¼Æ
Z(t¡V2)e¡Gt-2´ÁeÀç¹BÃþ«¬ªº¹ê»ÚÀç¹BÃþ«¬¤½¨½¼Æ
r(t¡V1)e¡G t-1´ÁeÀç¹BÃþ«¬¨C¤½¨½¥§¡ªA°È»ùÈ
ªþ¥ó¤»
Àç¹B¸ê®Æ
²Ä¤@±ø
¾ãÅép¹º
¤@¡B¥»±ø©Ò«üªº¾ãÅép¹º¥Ñ°]°Èp¹º¡B§ë¸êp¹º¤Î¨®½øºÞ²zp¹º²Õ¦¨¡C
¤G¡B°]°Èp¹º¤×¶·¥]¬A¤U¦C¸ê®Æ¡G
¡]¤@¡^¦UÀç¹B´Áªº¤Hû©Û¸u¤Î¤u§@³ø¹S©Ò¯A¤Îªº¦¨¥»¶}¤ä¡F
¡]¤G¡^¦UÀç¹B´Áªº¦U¶µ¦¨¥»¹wºâ¡A¨Ã¶·«ö·Óªþ¥ó¤K²Ä¥|´Úªº³W©w§@¥X¤ÀÃþ¡F
¡]¤T¡^¦UÀç¹B´Áªº¾ãÅ馬¤J¹wºâ¡A¨Ã¶·«ö·Óªþ¥ó¤K²Ä¤T´Ú¡]¤G¡^¶µªº³W©w§@¥X¤ÀÃþ¡C
¤T¡B§ë¸êp¹º¤×¶·¥]¬A¤U¦C¸ê®Æ¡G
¡]¤@¡^§ë¸ê¶µ¥Øªº¦WºÙ¡F
¡]¤G¡^§ë¸ê¶µ¥Ø»¡©ú©M²Õ¦¨¡F
¡]¤T¡^¸ÑÄÀ§ë¸êªº²z¥Ñ¤Î±N·|¹ê¬Iªº®É¶¡¡F
¡]¥|¡^¹ê¬I¥»§åµ¹ªA°È´Á¶¡ªº§ë¸êp¹ºªº¦¨¥»¦ôp¤Î¨ä¤À°t¡F
¡]¤¡^°õ¦æ®É¶¡ªí¡F
¡]¤»¡^¿Ä¸ê¤è¦¡¡C
¥|¡B¨®½øºÞ²zp¹º¤×¶·¥]¬A¤U¦C¸ê®Æ¡G
¡]¤@¡^¦UÃþÀÀ¥Î©ó¥»§åµ¹ªA°Èªº¨®½ø¹wp¼Æ¶q¡F
¡]¤G¡^¦U¨®½øªº«¬¸¹¡B°ò¥»©Ê¯à¤Î¨ä³]³Æ¸ê®Æ¡F
¡]¤T¡^¦U¨®½øÀÀ§ë¤JªA°Èªº®É´Á¡F
¡]¥|¡^Áʸm¨®½ø¼Æ¶q¤Î®É¶¡ªí¡F
¡]¤¡^²^¨O¨®½ø¼Æ¶q¤Î®É¶¡ªí¡C
²Ä¤G±ø
¨C¤éÀç¹B¸ê®Æ
©Ó§å¤H¶·«ö·Ó¥H¤Un¨D´£¥æ¨C¤éÀç¹B¸ê®Æ¡G
¡]¤@¡^©óÀç¹B¤é©Î²Ý¤é¤º¡A´£¥æ¥X¨®ªí¤Î²¼´Ú¦¬¶°°O¿ý¡F
¡]¤G¡^©óÀç¹B¤é§¹µ²«á¤T¤é¤º¡A´£¥æ¥X¨®ªí¤Îº§À¯Z¨®ªA°È°O¿ý¡F
¡]¤T¡^©óÀç¹B¤é§¹µ²«á¤C¤é¤º¡A´£¥æ¸Ô²Ó¯Z¦¸¸ê®Æ¡]¥]¬A¸gÀ祻§åµ¹ªA°È´Á¶¡ªº©Ò¦³²§±`±¡ªp»¡©ú¡^¤Î²¼´Ú¦¬¤J²Îpªí¡C
²Ä¤T±ø
¨C¤ëÀç¹BºÞ²z³ø§i
¤@¡B©Ó§å¤H¶·¨C¤ë¦VºÊ¹î¹êÅé´£¨ÑÀç¹B¸ê®Æ¨t²Î¤ºªº¼Æ¾Ú¡A¨Ã©ó³ø§i¸Ó¤ë¥÷ªº¤U¤@Ӥ뺤Q¤é¤º§e¥æ¡A¦ÓºÊ¹î¹êÅé¥ç¥i¦b¥ô¦ó®ÉÔn¨D©Ó§å¤H´£¨Ñ¸Óµ¥¼Æ¾Ú¡C
¤G¡B¤W´Ú©Òzªº¼Æ¾Ú¶·¥]§t¦U¸ô½uªº¥X¨®®É¶¡¡B¯Z¦¸¼Æ¶q¡B¦æ¨®®É¶¡¡B¼¨®¤H¦¸¡B²¼´Ú°O¿ý¤Î²Îp¡BÀç¹B¨®½ø¤Î¤Hû¼Æ¶q¡B¨Æ¬G¬ö¿ý¡B¨®³t°O¿ý¡BºûפΫO¾i°O¿ý¡A¥H¤Î»P¥»§åµ¹ªA°È¦³Ãöªº¤@¤Á¸ê®Æ¡A¨Ã¶·«ö·ÓºÊ¹î¹êÅén¨Dªº®æ¦¡§e¥æ¡C
¤T¡B©Ó§å¤H¶·©ó¨C¤ëªºº¤Q¤é¤º§e¥æ¤W¤@ÓÀç¹B¤ëªºÀç¹BºÞ²z±b¥Ø¡A¨ä¤¤À³¥]¬A¦U¶µ¸ê²£¡Bt¶Å¤Î¶O¥Îªº©ú²Ó°O¿ý¡A¥H¤Î»P¥»§åµ¹ªA°È¦³Ãöªº¤@¤Á°]°È±b¥Ø¡C
¥|¡B©Ó§å¤H¶·«OÃÒ¥»±ø©Òz¸ê®Æªº·Ç½T©Ê¡A¤×¨ä¬O¯Z¦¸¼Æ¶q¤Î¦¬¸ê±¡ªp¡C
²Ä¥|±ø
¨C©u¤u§@p¹º
¤@¡B©Ó§å¤H¥²¶·¨C©u¨î©w¤@¯ë¤u§@p¹º¡A¥H´£¨Ñ§óÀu½è¤Î±M·~ªºªA°È¡A¤º®e¥]¬A½s±Æ¤Î¨î©w¸ô½uÀç¹B¤è®×¡B¸ê·½½Õ«×¡B«O¾iºûסB²M¼ä¡B«È¤áªA°È¤Î¨ä¥L¤u§@¦w±Æ¡C
¤G¡B¤W´Ú©Ò«üªº¤u§@p¹º§@¬°Á`³W¹ºªº²Õ¦¨³¡¤À¡A¦Ó©Ó§å¤H¶·¦Ü¤Ö¦b¶}©l¹ê¬Ip¹º«e¤»¤Q¤é§e¥æºÊ¹î¹êÅé§åã¡C
¤T¡B®Ú¾Ú¤u§@p¹º©Î¤§«á¨óijªº³W©w°õ¦æªº¥ô¦ó¤u§@ªº¤é´Á¤Î®É¶¡¡A¶·ÀòºÊ¹î¹êÅé¹w¥ý§åã¤è¥i§ó§ï¡C
²Ä¤±ø
¨Æ¬G¬ö¿ý
¤@¡B©Ó§å¤H¥²¶·¦VºÊ¹î¹êÅé´£¨Ñ¨Æ¬G¬ö¿ý¸ê®Æ¡A·í¤¤°O¿ý¤@¤Á¦]¼i¦æ¥»¦X¦P©Ò¤ÞPªº¨Æ¹ê¡A©Ó§å¤H¥²¶·´N©Ò°O¿ýªº¤@¤Á¨Æ©y§@²ñ¡C
¤G¡B©Ó§å¤H¥²¶·¨C¤ë±N¨Æ¬G¬ö¿ý¸ê®Æ¦VºÊ¹î¹êÅé¶Ç¹F¡A¦ýÕ¦³»Ýn¥ÑºÊ¹î¹êÅé§@¨M©w¡A©Î¦bºÊ¹î¹êÅén¨D®É¡A¶·¥ß§Y¶Ç¹F¡C
¤T¡B¥H¤U¨Æ¹ê¤×¨ä¥²¶·°O¿ý¦b¨Æ¬G¬ö¿ý¤º¡G
¡]¤@¡^Àç¹B¨®½øµo¥Íªº¨Æ¬G¡A¥]¬A¥æ³q·N¥~¡B¨®½ø¬G»Ùµ¥¡A¨Ã¶·¸Ô²Ó°O¿ý¨®½ø¸ê®Æ¤Î´yz¨Æ¬G±¡ªp¡F
¡]¤G¡^¼«È¦bÀç¹B¨®½ø¤ºµo¥Íªº¨Æ¬G¡F
¡]¤T¡^¼vÅT¸ô½uªA°È¥¿±`¹B§@ªº¨Æ©y¡A¥]¬A¬ðµo©Ê§ï¹D¡B¨Æ¬G¡B¤£¥i§Ü¤O¨Æ¥ó¤Î¤£¥iÂk³d©ó©Ó§å¤Hªº¨ä¥L¨Æ¹ê¡F
¡]¥|¡^ºÊ¹î¹êÅé©ú½Tn¨Dªº¨ä¥L¨Æ¹ê¡C
¥|¡B¦p¹J«¤j¸ô±·N¥~©Î¬ðµo¨Æ¬G¡A©Ó§å¤H¶·§Y®É¶i¦æ¾A·íªº³B²z¡A¨Ã¾¨§Ö¦VºÊ¹î¹êÅé³q³ø¤Î´£¥æ¸Ô²Ó³ø§i¡C
ªþ¥ó¤C
·|p·Ç«h
¤@¡B©Ó§å¤H¶·«ö·Ó¿Dªù¯S§O¦æ¬F°Ï³W©wªº·|p·Ç«h½s¨î¨ä±b¥Ø¡A¨Ã¾A·í¦a¤À§O¦C¥XÄÝ¥»§åµ¹ªA°È¤Î«DÄÝ¥»§åµ¹ªA°Èªº¶µ¥Ø¡C
¤G¡B¥Ñ©ó©Ó§å¤H·~°È¹ï¿Dªù¯S§O¦æ¬F°Ï¸gÀÙªº«n©Ê¡A¦]¦¹¹ï¨ä±Ä¥Î§ó¨Î°t¦X¥ø·~¹êªp¥B²Å¦Xªk¨Ò³W©wªº©T©w¸ê²£¤ÎµL§Î¸ê²£ªº¨Ï¥Î´Á¡A¬°¦¹¡A±Ä¥Îªº§é¤ÎÅu¾P¶·¥H¤U¦C´N¨C¤@Ãþ§Oªº°]²£q©wªº¥§¡¨Ï¥Î´Á¬°·Ç¡G
| °]²£Ãþ§O | ¨Ï¥Î´Á¡]¦~¡^ |
| ¤£°Ê²£ | 50 |
| ¤u·~¼Ó¦t | 25 |
| ¤½¦@¤Ú¤h¡]®ãªo¨®¤Îªo¹q²V¦X¨®¡^ | 7 |
| ¤½¦@¤Ú¤h¡]¯Â¹q°Ê¨®¡^ | 3 |
| ¤½¦@¤Ú¤h¡]¤ÑµM®ð¨®¡^ | 6 |
| »´«¬¨®½ø¤Î¹q³æ¨® | 7.5 |
| ºû׳]³Æ¤Î¾÷¾¹¡]¹q¤l¡^ | 7.5 |
| ºû׳]³Æ¤Î¾÷¾¹¡]«D¹q¤l¡^ | 10.5 |
| ºû׳]³Æ¤Î¾÷¾¹¡]±Mªù¥Î©ó¯Â¹q°Ê¨®¡^ | 3 |
| ¹q¸£¡B·L«¬¹q¸£¤Î¤å®Ñ³B²z¾÷ | 6 |
| ¹q¸£µ{§Ç | 4.5 |
| ¼v¦L¾÷¡B¶Ç¯u¾÷¡B·L«¬ÁY¼v¾÷ | 7.5 |
| ¿ì¤½«Ç³]³Æ | 7.5 |
| ¿ì¤½«Ç³ÃÍï | 7.5 |
| ªÅ®ð½Õ¸`¾÷¡B©âÀã¾÷¡B·x®ð¾÷¡B³q·¸Ë¸m¤Î§NÂþ÷ | 7.5 |
¤T¡B¹ï©ó¥¼¦b¤W´Ú¤¤¦C¥Xªº¨ä¥L¸ê²£¡A©Ó§å¤H¶·«ØÄ³¦X¾Aªº¨Ï¥Î´Á´£¥æ¿Dªù¯S§O¦æ¬F°Ï¨M©w¡A¿Dªù¯S§O¦æ¬F°Ï±N¨Ìªk®Ú¾Ú¦X²z·Ç«h§@¼f®Ö¡C
¥|¡B©Ó§å¤H¶·¤£¦Ò¼{©T©w¸ê²£¤ÎµL§Î¸ê²£ªº´ÝÈ¡A¥B¶·±Ä¥Îª½½uªkªº¼Ð·Ç§@¬°§é¤ÎÅu¾Pªºpºâ¤èªk¡C
¤¡B©Ó§å¤H«ö¥»¦X¦P²Ä¤Q¤»±ø²Ä¥|´Ú¤Î²Ä¤´Úªº³W©w´£¥æªº¸ê®Æ¡AºÊ¹î¹êÅé¥in¨D¹ï©Ó§å¤Hªº°]¬Fª¬ªp¶i¦æµû¦ô¡A¬°¦¹¡A©Ó§å¤H¶·´£¨Ñ¬°¹FP¤Wz¥Øªº©Ò»Ýªº¤@¤Á¸ê®Æ©M¸ÑÄÀ¡C
¤»¡B¦b¨CÓ°]¬F¦~«×²×µ²®É¡A¿Dªù¯S§O¦æ¬F°Ï¥i¹ï©Ó§å¤Hªº·|p±b¥Ø¶i¦æ¼fp¡A©Ó§å¤H¶·´£¨Ñ¬°¶i¦æ¤Wz¤u§@©Ò»Ýªº¤@¤Á¸ê®Æ¤Î¸ÑÄÀ¡C
ªþ¥ó¤K
³W¨î¦¨¥»«ü¤Þ
¤@¡B¬°着pºâ°]¬F´©§Uªº®Ä¤O¡A©Ó§å¤Hªº¾ãÅ馨¥»²Õ¦¨¥²¶·²Å¦X¥»ªþ¥óªº³W©w¡C
¤G¡B©Ó§å¤H¦³¸q°È«ö·ÓºÊ¹î¹êÅ骺n¨D¦V¨ä´£¨Ñ¥i¼f®Ö©Ó§å¤H¾ãÅ馨¥»¦U¶µn¯À©Ò»Ýªº¥þ³¡¸ê®Æ¡A¨ä¤¤¶·¥]¬A¸g®Ö¼Æ®v¼f®Öªº°]°È¼Æ¾Ú¡C
¤T¡B©Ó§å¤Hªº¾ãÅ馨¥»¤Î¾ãÅ馬¤J¤À¬°¥H¤UÃþ«¬¡G
¡]¤@¡^¾ãÅ馨¥»¬°©Ó§å¤Hªº©Ò¦³¦¨¥»¡A¥]¬A¡G
¡]1¡^Àç¹B¦¨¥»¡X¡X¸gÀ祻§åµ¹ªA°Èªº¦¨¥»¡F
¡]2¡^«DÀç¹B¦¨¥»¡X¡X¥X¯²««¬¨®½ø¤Î±N¨®½ø¥Î©ó¬°²Ä¤TªÌ§@¼s§iªº¦¨¥»¡A¥H¤Î¸g¿Dªù¯S§O¦æ¬F°Ï§å㪺¸gÀ祻§åµ¹ªA°È¥H¥~ªº¨ä¥L·~°Èªº¦¨¥»¡C
¡]¤G¡^¾ãÅ馬¤J¬°©Ó§å¤Hªº©Ò¦³¦¬¤J¡A¥]¬A¡G
¡]1¡^Àç¹B¦¬¤J¡X¡X¹ê»Ú²¼´Ú¦¬¤J¤Î¥»¦X¦P²Ä¤E±ø¤Î²Ä¤Q±øªº°]¬F´©§U¡F
¡]2¡^ÂàÅý¸ê²£¦¬¤J¡X¡X¥H¥ô¦ó¦W¸qÂàÅýÄݩӧå¤H¸ê²£ªº¦¬¤J¡F
¡]3¡^¨ä¥L·~°È¦¬¤J¡X¡X¥X¯²««¬¨®½ø¤Î±N¨®½ø¥Î©ó¬°²Ä¤TªÌ§@¼s§iªº¦¬¤J¡A¥H¤Î¸g¿Dªù¯S§O¦æ¬F°Ï§å㪺¸gÀ祻§åµ¹ªA°È¥H¥~ªº¨ä¥L·~°Èªº¦¬¤J¡C
¥|¡B¿Dªù¯S§O¦æ¬F°Ï±N«ö·Ó¤U¦C³W¨î¦¨¥»ªºn¯À¡A¾ãÅé¦Ò¼{©Ó§å¤H¾ãÅ馨¥»ªº¦X²z©Ê¡G
¡]¤@¡^û¤u¤u§@ªº³ø¹S¡G¨Ìªk¦V¥þ¾©Î«D¥þ¾û¤uµo©ñªº¤u§@ªº³ø¹S¡A¨Ã¶·«öû¤u¾ºØ¦C©ú¡F
¡]¤G¡^¿U®Æ¶O¡G¯A¤ÎÀç¹Bªº©Ò¦³¨®½øªº¿U®Æ®ø¯Ó¶O¡F
¡]¤T¡^½üL®ø¯Ó¶O¤Î¨®½ø×²z¶O¡G½üL®ø¯Ó¶O¬°¯A¤ÎÀç¹Bªº©Ò¦³¨®½ø©Ò²£¥Íªº½üL®ø¯Ó¶O¡A¨®½ø×²z¶O¬°¯A¤ÎÀç¹Bªº©Ò¦³¨®½ø©Ò²£¥Íªº«O¾i©Mºû×¶O¥Î¡A¥Dn¥]¬A¨®½ø¹s°t¥ó¶O©M¼í·Æ¶O¡F
¡]¥|¡^¯²ª÷¶O¥Î¡G¿ì¤½«Ç¡B¯¸ªø«Ç¤Îºû×¼tªº¯²ª÷¡A¥H¤Î¤ô¶O¡B¹q¶O¡B¿U®Æ¶Oµ¥Âø¶µ¶O¥Î¡F
¡]¤¡^ºÞ²z¶O¥Î¡GÃöÁp¤è¬°²Õ´©MºÞ²z©Ó§å¤H¦V©Ó§å¤H¦¬¨úªº¶O¥Î¡F
¡]¤»¡^§é¤ÎÅu¾P¡G«ö·Óªþ¥ó¤Cpºâ§é¤ÎÅu¾P¦¨¥»¡A¦ý¥»§åµ¹ªA°È«D¥²nªºµL§Î¸ê²£°£¥~¡F
¡]¤C¡^°]°È¶O¥Î¡G¦b¸gÀç¹Lµ{¤¤¬°Äw¶°¤é±`Àç¹B¸êª÷¡BÁʸm¤Î§ó·s¨®½øªº¶U´Ú¡]¥]¬A¥¿±`ªºªÑªF©ÎÃöÁp¤è¶U´Ú¡^ªº¶O¥Î¡A¶O¥Î¥]¬A¿Ä¸ê©Òl¥Íªº¦X²z¤âÄò¶O¤Î§Q®§¡A¶U´Ú³W¼Ò¶·²Å¦X¥»¦X¦P²Ä¤Q¤G±ø²Ä¤G´Ú¡]¤¡^¶µªº³W©w¡F
¡]¤K¡^¨ä¥¦¶O¥Î¡G¨ä¥L»PÀç¹B¦³Ãöªº¶O¥Î¡A¦p©Ó§å¤H·í¦~ªº©Ò±oµ|¶}¤ä¡BÀç¹Bªº¼s§i¶}¤ä¡B«OÀI¶O¡Bû¤u°ö°V¶O¡B¤u§@ªA¡Bû¤u¯S§O¸ÉÀvª÷¡B®t®È¶O¡B¿ì¤½¶O¡B©Û«Ý¶O¡B¥æ³q¸É§U©M³q°T¸É§U¡Bײz¶O¡B¼fp¶O¡B«ß®v¶O¤Î¨ä¥L«ö¤½¦@¦æ¬F¾÷Ãö©Î¹êÅé©Ò§@ªº«ü¥Ü¦Ó¥²¶·¤ä¥Xªº¶O¥Î¡A¦ý¤£¥]¬A¥H¤U©Ò¦CªÌ¡G
¡]1¡^©Ó§å¤H«D«ùÄò©Î«D¥¿±`¬¡°Ê©Ò¥Íªº¶O¥Î¡A¦p·N¥~½ßÀv¡F
¡]2¡^¹H¬ùª÷¡B»@´Ú¤Î¨ä¥L¦]¦¹¦Ól¥Íªº¦³Ãö¶O¥Î¡A¥]¬A¼fp¶O¤Î«ß®v¶Oµ¥¡F
¡]3¡^¤½¯q©Ê®½ÃØ¡F
¡]4¡^¤½¯q¼s§i©Î¤½¯q«Å¶Ç¶O¥Î¡F
¡]5¡^¤@¯ë¥H«D¥«³õÈ»PÃöÁp¤èªº¥æ©ö¡F
¡]6¡^¥Ñ¥ô¦ó¤½¦@¦æ¬F¾÷Ãö©Î¹êÅ鬰¤½¦@¤Ú¤hªA°È©Òt¾áªº¶O¥Î¤ä¥X¡C
¤¡B¤W´Ú©Ò«üªº³W¨î¦¨¥»ªºn¯À¤£¥]¬A¨ä¥L»PÀç¹BµLÃöªº¶O¥Î¡C
¤»¡B³W¨î¦¨¥»©|¶·¿í¦u¥H¤U¼Ð·Ç¡G
¡]¤@¡^û¤u¤u§@ªºÁ~¹S¡G
¡]1¡^¤H¼Æ¡X¡X°£¾r¾pÀç¹B¨®½øªº¥q¾÷¥~¡A¨C¦~û¤u¼Æ¶qªº¼Wªø¶·°Ñ·Ó¹ïÀ³Àç¹B´Á¥H©¹¤@¦~ªºû¤u¼Æ¥Ø°£¥H¹ê»Ú¤½¨½¼Æ§@¼Ð·Ç¡A¥B¥i¦]¥[´î¸ô½u¤½¨½Á`¼Æ¨Ã«ö¹ê»Ú»Ýn½Õ¾ãû¤uªº¼Æ¥Ø¡F
¡]2¡^Á~¹S¡X¡X¨C¦~û¤uÁ~¹Sªº¼Wªø¶·°Ñ·Ó¤£¶W¥X©ó¿Dªù¯S§O¦æ¬F°Ï¤½§G¤W¤@¦~«×¹B¿é³q°T¤ÎÜÀx·~¥þ¾¹µûªº¥§¡Á~¹Sªº¼Wªø²v¤Î¹ê»Ú±¡ªp§@¼Ð·Ç¡A¨Ã°Ñ¦Ò¹ïÀ³Àç¹B´Á¥H©¹¤@¦~û¤uªº¥§¡Á~¹S¡F
¡]3¡^ºÖ§Q¡X¡X°Ñ·Ó¹ïÀ³Àç¹B´Á¥H©¹¤@¦~û¤u¨ú±oªºª÷¿úºÖ§Qªº¥§¡¼ÆÈ§@¼Ð·Ç¡A¨Ã°Ñ¦Ò¥H©¹¤@¦~ªº¿Dªù¯S§O¦æ¬F°Ïºî¦X®ø¶Oª«»ù«ü¼Æ¡C
¡]¤G¡^¿U®Æ¶O¡G
¡]1¡^¥Î¶q¡X¡X°Ñ·Ó¹ïÀ³Àç¹B´Á¥H©¹¤@¦~ªº¿U®Æ¥Î¶q¡]¨®¥Î»´®ãªo¡G¤½¤É/¹q¯à¡G«×/¤ÑµM®ð¡G¥ß¤è¦Ì¡^¡A¤Î«ö²Ä¤K´Ú¡]¤G¡^¶µªº³W©w¶i¦æ©î¤À¡A¨Ã°Ñ¦Ò¥[´î¸ô½u¤½¨½Á`¼Æ©Ò¨Ï¥Î¿U®Æªº¥Î¶q¡A¦U¿U®Æªº¥Î¶q¤Î¨ä¹ïÀ³ªº¸ô½u¤½¨½Á`¼Æ¿W¥ßpºâ¡F
¡]2¡^»ù®æ¡X¡X°Ñ·Ó¥«³õ¥H©¹¤@¦~ªº¿U®Æ»ù®æ°£¥H¥Î¶q§@¼Ð·Ç¡A¨Ã°Ñ¦Ò¿Dªù¯S§O¦æ¬F°Ï¤½§G¤W¤@¦~«×ªº¯à·½²Îp»ù®æ¡C
¡]¤T¡^½üL®ø¯Ó¶O¤Î¨®½ø×²z¶O¶·°Ñ·Ó¹ïÀ³Àç¹B´Á¥H©¹¤@¦~ªº¯Ó¥Î¶q¡A¤Î«ö²Ä¤K´Ú¡]¤G¡^¶µªº³W©w¶i¦æ©î¤À¡A¨Ã°Ñ¦Ò¥H©¹¤@¦~ªº¿Dªù¯S§O¦æ¬F°Ïºî¦X®ø¶Oª«»ù«ü¼Æ¡F
¡]¥|¡^¯²ª÷¶O¥Î¶·°Ñ·Ó¹ïÀ³Àç¹B´Á¥H©¹¤@¦~ªº¯²ª÷¶O¼ÆÈ§@¼Ð·Ç¡A¨Ã°Ñ¦Ò¥H©¹¤@¦~ªº¿Dªù¯S§O¦æ¬F°Ïºî¦X®ø¶Oª«»ù«ü¼Æ¡F
¡]¤¡^ºÞ²z¶O¥Î¶·°Ñ·Ó¹ïÀ³Àç¹B´Á¥H©¹¤@¦~ªººÞ²z¶O¼ÆÈ§@¼Ð·Ç¡A¨Ã°Ñ¦Ò¥H©¹¤@¦~ªº¿Dªù¯S§O¦æ¬F°Ïºî¦X®ø¶Oª«»ù«ü¼Æ¡F
¡]¤»¡^¸ê²£§é¤ÎÅu¾P¡G
¡]1¡^Àç¹B¨®½ø¤Î¥Î©óºÊ¹î©M»²§U¥»§åµ¹ªA°Èªº©ì¨®¡B»´«¬¨T¨®¡B»´«¬©Î««¬¼¯¦«¨®¡X¡X«ö·Óªþ¥ó¥|²Ä¤G±ø©Ò«ü¤wÀòºÊ¹î¹êÅé§å㪺¨®½øÁʸm¤Î²^¨O°õ¦æp¹ºq©wªºÁʨ®»ù®æ¼Ð·Ç©ÒÁʸmªº¨®½ø¡A¶·®Ú¾Úªþ¥ó¤C²Ä¤G´Ú³W©wªº¨Ï¥Î´Ápºâ§é¶O¥Î¡A¦Ó¬ÛÃöªº§é¶O¥Î¤~¥i³Q½T»{¬°³W¨î¦¨¥»¡F
¡]2¡^Àç¹B¨®½ø¤Î¥Î©óºÊ¹î©M»²§U¥»§åµ¹ªA°Èªº©ì¨®¡B»´«¬¨T¨®¡B»´«¬©Î««¬¼¯¦«¨®¡X¡X«ö·Óªþ¥ó¥|²Ä¤G±ø©Ò«ü¤wÀòºÊ¹î¹êÅé§å㪺¨®½øÁʸm¤Î²^¨O°õ¦æp¹º©Ò²^¨Oªº¨®½ø¡A¶·®Ú¾Úªþ¥ó¤C²Ä¤G´Ú³W©wªº¨Ï¥Î´Ápºâ©|¥¼§éªº±b±»ùÈ¡A·í¤¤¦]³ø¼o©ÎÂàÅý¨®½ø¦Ó³y¦¨ªº·l¥¢¤~¥i³Q½T»{¬°³W¨î¦¨¥»¡F
¡]3¡^¤£°Ê²£¡X¡X¸gºÊ¹î¹êÅé§åã«á¡A©Ó§å¤HÁʸm»PÀç¹B¦³Ãöªº¤£°Ê²£ªº§é¶O¥Î¥i½T»{¬°³W¨î¦¨¥»¡C
¡]¤C¡^¿Ä¸ê¶U´Ú§Q²v¤ÎªÑªF©ÎÃöÁp¤è¶U´Ú§Q²v¶·¤£°ª©ó¦P´Á¿Dªù¯S§O¦æ¬F°Ï»È¦æ³ÌÀu´f§Q²v¡AªÑªF©ÎÃöÁp¤è¶U´Ú§Q²v¸û¥«³õ°ªªº³¡¤À¤£¥]¬A¦b³W¨î¦¨¥»¤º¡F
¡]¤K¡^¨ä¥L¶O¥Î¶·«ö·Ó¹ïÀ³Àç¹B´Á¥H©¹¤@¦~¨ä¥L¶O¥Îªº¼ÆÈ§@¼Ð·Ç¡A¨Ã°Ñ¦Ò¥H©¹¤@¦~ªº¿Dªù¯S§O¦æ¬F°Ïºî¦X®ø¶Oª«»ù«ü¼Æ¡C
¤C¡B¥»ªþ¥ó©Ò«ü¦³ÃöÃöÁp¤èªº©w¸q¶·°Ñ·Ó¿Dªù¯S§O¦æ¬F°Ï³W©wªº·|p·Ç«h¤Î°ê»Ú·|p·Ç«h²Ä¤G¤Q¥|¸¹ªº³W©w¡C
¤K¡B¦¨¥»©î¤À¤è¦¡¦p¤U¡G
¡]¤@¡^¹ï©ó©Ó§å¤H¥X¯²««¬¨®½øªº¦¬¤J©Ò¤Þ°_ªº¦¨¥»¡A¶·«ö·Ó¥X¯²««¬¨®½øªº¦¬¤J»P¾ãÅ馬¤Jªº¤ñ¨Ò¡A¹ï¤Hû¦¨¥»¡B¿U®Æ¦¨¥»¡B½üL®ø¯Ó¤Î¨®½ø×²z¦¨¥»¶i¦æ©î¤À¡A¥H°Ï¤À¾ãÅ馨¥»¤ÎÀç¹B¦¨¥»¡F
¡]¤G¡^Àç¹B¦¨¥»¤¤¡A¹ï©ó©Ó§å¤Hªº¦UºØ¤£¦P¨®«¬¡A¶·«ö·Ó¦U¨®«¬ªº¤½¨½¼Æ¡A¨Ã¥H¨ä¬ÛÀ³ªº¨t¼Æ¡]¤p¤Ú¡G¤¤¤Ú¡G¤j¤Ú = 1.00¡G1.30¡G1.60¡^¡A¹ï¦U¨®«¬ªº¨C¤½¨½¥§¡¿U®Æ¦¨¥»¡B½üL®ø¯Ó¤Î¨®½ø×²z¦¨¥»¶i¦æ©î¤À¡C
¤E¡B¹ï©ó©Ó§å¤H¤G¹s¤@¤¦~°]¬F¦~«×ªºÀç¹B¦¨¥»¡A¿Dªù¯S§O¦æ¬F°Ï±N°Ñ¦Ò¸g®Ö¼Æ®v¼f®Öªº¥Ñ©Ó§å¤H©ó¤G¹s¤@¤@¦~¤K¤ë¤@¤é¦Ü¤G¹s¤@¤¦~¤E¤ë¤T¤Q¤é¸gÀç²Ä¤T¼Ð¬qªºªA°È©Ò¨ú±oªº¼Æ¾Ú¡A¨Ã¾ãÅé¦Ò¼{©Ó§å¤HÀç¹B¦¨¥»ªº¦X²z©Ê¡C
¤Q¡B©Ó§å¤H¶·«ö·ÓºÊ¹î¹êÅ骺n¨D¦V¨ä´£¨Ñ¾ãÅ馨¥»¤ÎÀç¹B¦¨¥»ªº¼Æ¾Ú¤Î¬ÛÃöªºpºâ¡A·í¤¤¥]¬A¯²¨®¦¨¥»¡B¤Hû¦¨¥»¡B¿U®Æ¦¨¥»¡B½üL®ø¯Ó¤Î¨®½ø×²z¦¨¥»¡B§é¡B°]°È¶O¥Î¡BºÞ²z¶O¥Î¤ÎÀ³¶i¦æ©î¤Àªº¦¨¥»µ¥¡C
¤Q¤@¡B©Ó§å¤H¶·¬°¤Ö©ó¤W¤@°]¬F¦~«×ªº¨C³æ¦ì¯²¨®¦¬¤J¤Î¼s§i¦¬¤J§@¥X»¡©ú¡C¡¨
¡X¡X¡X
¤G¹s¤@¤¦~¤E¤ë¤Q¤K¤é©ó°]¬F§½
±M³d¤½ÃÒû ¦óÆA´A
§å ¥Ü ºK ¿ý
«ö·Ó¸gÀÙ°]¬F¥q¥qªø©ó¤G¹s¤@¤¦~¤K¤ë¤G¤Q¤¤é¤§§å¥Ü¡G
®Ú¾Ú²Ä14/2009¸¹ªk«ß²Ä¤Q¥|±ø¤Î¤Q¤G¤ë¤G¤Q¤@¤é²Ä87/89/M¸¹ªk¥O®Ö㤧²{¦æ¡m¿Dªù¤½¦@¦æ¬F¤u§@¤Hû³q«h¡n²Ä¤G¤Q¤±ø¤Î²Ä¤G¤Q¤»±ø³W©w¡A¥Hªþµù¤è¦¡×§ï³²Q»ö¡B±ç«Ø®x¡B±ç¼ä©ú¡B½²Å¬õ¤Î¤ýÄR¸s¦b¥»§½¾á¥ô¾°Èªº½s¨î¥~¦X¦P²Ä¤T±ø´Ú¡AÂର¦¬¨ú¬Ûµ¥©ó²Ä¤@¾¶¥¯S¯Å§Þ³N»²¾ÉûªºÁ~ÄÂI400ªºÁ~Ä¡A¦Û¤G¹s¤@¤¦~¤E¤ë¤Q¤K¤é°_¥Í®Ä¡C
«ö·Ó¥»§½§½ªø©ó¤G¹s¤@¤¦~¤E¤ë¤@¤é¤§§å¥Ü¡G
®Ú¾Ú²Ä14/2009¸¹ªk«ß¤Î¤Q¤G¤ë¤G¤Q¤@¤é²Ä87/89/M¸¹ªk¥O®Ö㤧²{¦æ¡m¿Dªù¤½¦@¦æ¬F¤u§@¤Hû³q«h¡n²Ä¤G¤Q¤±ø¤Î²Ä¤G¤Q¤»±ø³W©w¡A¥Hªþµù§Î¦¡×§ïCristina Maria Dias¦b¥»§½¾á¥ô¾°Èªº½s¨î¥~¦X¦P²Ä¤T±ø´Ú¡AÂର²Ä¤G¾¶¥¯S¯Å¦æ¬F§Þ³N§U²zû¡AÁ~ÄÂI¬°315ÂI¡A¦Û¤G¹s¤@¤¦~¤K¤ë¤T¤é°_¥Í®Ä¡C
«ö·Ó¸gÀÙ°]¬F¥q¥qªø©ó¤G¹s¤@¤¦~¤E¤ë¤G¤é¤§§å¥Ü¡G
®Ú¾Ú²Ä15/2009¸¹ªk«ß²Ä¤±ø¤Î²Ä26/2009¸¹¦æ¬Fªk³W²Ä¤K±ø¤§³W©w¡A¥»§½°Æ§½ªøÁé¸t¤ß¦]¨ã³Æ¾A·í¸gÅç¤Î±M·~¯à¤O¼i¦æÂ¾°È¡A¬G¨ä©w´Á©e¥ô¦Û¤G¹s¤@¤¦~¤Q¤@¤ë¤Q¤¤é°_ÀòÄò´Á¤@¦~¡C
¡X¡X¡X
¤G¹s¤@¤¦~¤E¤ë¤G¤Q¤¤é©ó°]¬F§½
§½ªø ®e¥ú«G
²Î p º[ ´¶ ¬d §½
§å ¥Ü ºK ¿ý
ºK¿ý¦Û¸gÀÙ°]¬F¥q¥qªø©ó¤G¹s¤@¤¦~¤K¤ë¤G¤Q¤¤é§@¥Xªº§å¥Ü¡G
±çµq´@¡B§õ¨ØµØ¡B³¯¥ÉÁø¤ÎªL°¶»¨¡A¬°¥»§½²Ä¤G¾¶¥º®u´¶¬dº[½Õ¬dû¡X¡X®Ú¾Ú²Ä14/2009¸¹ªk«ß²Ä¤Q¥|±ø²Ä¤@´Ú²Ä¡]¤G¡^¶µ¡B²Ä23/2011¸¹¦æ¬Fªk³W²Ä¤G¤Q¤E±ø²Ä¤@´Ú¤Î®Ú¾Ú¤Q¤G¤ë¤G¤Q¤@¤é²Ä87/89/M¸¹ªk¥O®Öã¡A¨Ã¸g¤Q¤G¤ë¤G¤Q¤K¤é²Ä62/98/M¸¹ªk¥O×qªº¡m¿Dªù¤½¦@¦æ¬F¤u§@¤Hû³q«h¡n²Ä¤G¤Q¤¤Î²Ä¤G¤Q¤»±øªº³W©w¡A§åã¥Hªþµù¤è¦¡×§ï¨ä½s¨î¥~¦X¦P²Ä¤T±ø´Ú¡A§ï¬°²Ä¤@¾¶¥¯S¯Å´¶¬dº[½Õ¬dû¡AÁ~ÄÂI¬°305¡A¦Û¤G¹s¤@¤¦~¤E¤ë¤@¤é°_¡]ñ¸pªþµù¤§¤é¡^¥Í®Ä¡C
¡X¡X¡X
¤G¹s¤@¤¦~¤E¤ë¤G¤Q¤G¤é©ó²Îpº[´¶¬d§½
§½ªø ·¨¦W´N
³Ò ¤u ¨Æ °È §½
§å ¥Ü ºK ¿ý
ºK¿ý¦Û¥»¤H©ó¤G¹s¤@¤¦~¤C¤ë¤Q¤»¤é§@¥Xªº§å¥Ü¡G
®Ú¾Ú²{¦æªº¡m¿Dªù¤½¦@¦æ¬F¤u§@¤Hû³q«h¡n²Ä¤G¤Q¤±ø©M²Ä¤G¤Q¤»±øªº³W©w¡A¤U¦C¤u§@¤Hû¦b¥»§½¾á¥ô¾°Èªº½s¨î¥~¦X¦PÄò´Á¤@¦~¡A¾°È©MÁ~ÄÂI¤À§O¦p¤U¡G
¤è¥Ã³Ç¡BÁé§Ó¦¿¡B¯Î«T³Ç¡B¦ó«Ø©v¡B±ç¥ÃµØ¤ÎºÂÆAªÚ¡A¦Û¤G¹s¤@¤¦~¤K¤ë¤Q¤é°_Äò¸u¾á¥ô²Ä¤@¾¶¥º®u§Þ³Nû¾°È¡AÁ~ÄÂI¬°450ÂI¡F
§E²hÅß¡A¦Û¤G¹s¤@¤¦~¤E¤ë¤@¤é°_Äò¸u¾á¥ô²Ä¤@¾¶¥º®u§Þ³Nû¾°È¡AÁ~ÄÂI¬°450ÂI¡F
³¢º~ªL¡A¦Û¤G¹s¤@¤¦~¤K¤ë¤Q¤K¤é°_Äò¸u¾á¥ô²Ä¤@¾¶¥¯S¯Å¦æ¬F§Þ³N§U²zû¾°È¡AÁ~ÄÂI¬°305ÂI¡C
ºK¿ý¦Û¸gÀÙ°]¬F¥q¥qªø©ó¤G¹s¤@¤¦~¤K¤ë¥|¤é§@¥Xªº§å¥Ü¡G
®Ú¾Ú²Ä14/2009¸¹ªk«ß²Ä¤Q±ø²Ä¤G´Ú³s¦P¤Q¤G¤ë¤G¤Q¤@¤é²Ä87/89/M¸¹ªk¥O®Ö㪺¨Ã¸g¤Q¤G¤ë¤G¤Q¤K¤é²Ä62/98/M¸¹ªk¥O×qªº¡m¿Dªù¤½¦@¦æ¬F¤u§@¤Hû³q«h¡n²Ä¤G¤Q¤±ø©M²Ä¤G¤Q¤»±øªº³W©w¡A¥H½s¨î¥~¦X¦P¤è¦¡¸u¥Î±i«Øºa¦b¥»§½¾á¥ô²Ä¤@¾¶¥¤Gµ¥§Þ³Nû¾°È¡AÁ~ÄÂI¬°350ÂI¡A¬°´Á¤@¦~¡A¦Û¤G¹s¤@¤¦~¤K¤ë¥|¤é°_¥Í®Ä¡C
ºK¿ý¦Û¸gÀÙ°]¬F¥q¥qªø©ó¤G¹s¤@¤¦~¤K¤ë¥|¤é¤Î¤K¤ë¤G¤Q¤¤é§@¥Xªº§å¥Ü¡G
®Ú¾Ú²Ä14/2009¸¹ªk«ß¡m¤½°È¤Hû¾µ{¨î«×¡n²Ä¤Q¥|±ø²Ä¤@´Ú¡]¤G¡^¶µ¡A¥H¤Î²Ä23/2011¸¹¦æ¬Fªk³W¡m¤½°È¤Hûªº©Û¸u¡BºÂ¿ï¤Î®Ê¯Å°ö°V¡n²Ä¤G¤Q¤E±ø²Ä¤@´Ú¡A¨Ã«ö·Ó¤Q¤G¤ë¤G¤Q¤@¤é²Ä87/89/M¸¹ªk¥O®Ö㪺¡m¿Dªù¤½¦@¦æ¬F¤u§@¤Hû³q«h¡n²Ä¤G¤Q¤±ø²Ä¤G´Ú¤Î¤G¤Q¤»±ø²Ä¤T´Úªº³W©w¡A×§ï¤U¦C¤u§@¤Hû¦b¥»§½¾á¥ô¾°Èªº½s¨î¥~¦X¦P¡A¤é´Á¡B¾°È©MÁ~ÄÂI¤À§O¦p¤U¡G
¦ó«ØÁø¡A¦Û¤G¹s¤@¤¦~¤K¤ë¤G¤Q¤K¤é°_§ï¬°¾á¥ô²Ä¤@¾¶¥¯S¯Å§Þ³N»²¾Éû¾°È¡AÁ~ÄÂI¬°400ÂI¡F
¾Gªl¡B³Á¦¨·~¡BĬÀR»ö¡BĬ¸ÎÀô¡B§õ¤å«T¡B³¯ÆA¬Â¡B±ç¾åºÑ¡B¿c¾å¶³¡B³¯ÆA´@¡Bµ{¼zµÓ¡B¶¾¼z¬õ¡B¼B±ÓªÛ¡B¶À´f±l¤Î¤ÕºÑ¬À¡A¦Û¤G¹s¤@¤¦~¤K¤ë¤Q¤é°_§ï¬°¾á¥ô²Ä¤@¾¶¥º®u§Þ³N»²¾Éû¾°È¡AÁ~ÄÂI¬°350ÂI¡C
ºK¿ý¦Û¥»¤H©ó¤G¹s¤@¤¦~¤K¤ë¤»¤é§@¥Xªº§å¥Ü¡G
À³³¯¤ß»öªº½Ð¨D¡A¨ä¦b¥»§½¾á¥ô¤@µ¥·þ¹î¾°Èªº½s¨î¥~¦X¦P¡A¦Û¤G¹s¤@¤¦~¤E¤ë¤G¤Q¤T¤é°_¤©¥H¸Ñ°£¡C
À³©P°íªº½Ð¨D¡A¨ä¦b¥»§½¾á¥ôº®u§Þ³N»²¾Éû¾°Èªº½s¨î¥~¦X¦P¡A¦Û¤G¹s¤@¤¦~¤E¤ë¤G¤Q¤T¤é°_¤©¥H¸Ñ°£¡C
À³¶À´¼¶²ªº½Ð¨D¡A¨ä¦b¥»§½¾á¥ô¤@µ¥§Þ³N»²¾Éû¾°Èªº½s¨î¥~¦X¦P¡A¦Û¤G¹s¤@¤¦~¤E¤ë¤G¤Q¤T¤é°_¤©¥H¸Ñ°£¡C
ºK¿ý¦Û¥»§½¥N§½ªø©ó¤G¹s¤@¤¦~¤K¤ë¤Q¤C¤é§@¥Xªº§å¥Ü¡G
®Ú¾Ú²Ä14/2009¸¹ªk«ß²Ä¤Q¤T±ø²Ä¤@´Ú¡]¤G¡^¶µ¤Î²Ä¥|´Ú³s¦P¤Q¤G¤ë¤G¤Q¤@¤é²Ä87/89/M¸¹ªk¥O®Ö㪺¡m¿Dªù¤½¦@¦æ¬F¤u§@¤Hû³q«h¡n²Ä¤G¤Q¤»±ø²Ä¤T´Úªº³W©w¡A×§ï¤U¦C¤u§@¤Hû¦b¥»§½¾á¥ô¾°Èªº½s¨î¥~¦X¦P¡A¤é´Á¡B¾°È©MÁ~ÄÂI¤À§O¦p¤U¡G
Ãö°¶¦p¡B¦ó®a»¨¡B¦ó§³ó¡B¾H¤l´¤Î³¯¹Å½å¡A¦Û¤G¹s¤@¤¦~¤K¤ë¤Q¤¤é°_§ï¬°¾á¥ô²Ä¤G¾¶¥¤@µ¥°ª¯Å§Þ³Nû¾°È¡AÁ~ÄÂI¬°510ÂI¡F
ªLÄR´A¤Î§d¼z»ö¡A¦Û¤G¹s¤@¤¦~¤K¤ë¤Q¤¤é°_§ï¬°¾á¥ô²Ä¤G¾¶¥¤@µ¥¦æ¬F§Þ³N§U²zû¾°È¡AÁ~ÄÂI¬°240ÂI¡C
ºK¿ý¦Û¥»§½¥N§½ªø©ó¤G¹s¤@¤¦~¤K¤ë¤Q¤K¤é¤Î¤E¤ë¤@¤é§@¥Xªº§å¥Ü¡G
®Ú¾Ú²{¦æªº¡m¿Dªù¤½¦@¦æ¬F¤u§@¤Hû³q«h¡n²Ä¤G¤Q¤±ø©M²Ä¤G¤Q¤»±øªº³W©w¡A¤U¦C¤u§@¤Hû¦b¥»§½¾á¥ô¾°Èªº½s¨î¥~¦X¦PÄò´Á¤@¦~¡A¾°È©MÁ~ÄÂI¤À§O¦p¤U¡G
Á¤֬¡A¦Û¤G¹s¤@¤¦~¤Q¤ë¤@¤é°_Äò¸u¾á¥ô²Ä¤T¾¶¥º®u¯S¯Å§Þ³N»²¾Éû¾°È¡AÁ~ÄÂI¬°480ÂI¡F
¿c¾å¶³¡A¦Û¤G¹s¤@¤¦~¤E¤ë¤K¤é°_Äò¸u¾á¥ô²Ä¤@¾¶¥º®u§Þ³N»²¾Éû¾°È¡AÁ~ÄÂI¬°350ÂI¡F
±ç¾åºÑ¡A¦Û¤G¹s¤@¤¦~¤Q¤ë¤Q¤G¤é°_Äò¸u¾á¥ô²Ä¤@¾¶¥º®u§Þ³N»²¾Éû¾°È¡AÁ~ÄÂI¬°350ÂI¡F
§õ¤å«T¡A¦Û¤G¹s¤@¤¦~¤Q¤ë¤Q¤E¤é°_Äò¸u¾á¥ô²Ä¤@¾¶¥º®u§Þ³N»²¾Éû¾°È¡AÁ~ÄÂI¬°350ÂI¡F
»¯«T¼Ý¡A¦Û¤G¹s¤@¤¦~¤E¤ë¤K¤é°_Äò¸u¾á¥ô²Ä¤@¾¶¥º®u¦æ¬F§Þ³N§U²zû¾°È¡AÁ~ÄÂI¬°265ÂI¡C
¡X¡X¡X
¤G¹s¤@¤¦~¤E¤ë¤G¤Q¤T¤é©ó³Ò¤u¨Æ°È§½
§½ªø ¶À§Ó¶¯
®ø ¶O ªÌ ©e û ·|
§å ¥Ü ºK ¿ý
ºK¿ý¦Û®ø¶OªÌ©eû·|°õ¦æ©eû·|¥D®u©ó¤G¹s¤@¤¦~¤E¤ë¤Q¤é§@¥Xªº§å¥Ü¡G
¤¨¼ä¾ì¡X¡X®Ú¾Ú²{¦æ¡m¿Dªù¤½¦@¦æ¬F¤u§@¤Hû³q«h¡n²Ä¤G¤Q¤±ø¤Î²Ä¤G¤Q¤»±ø¤§³W©w¡A¨ä¦b¥»·|²Ä¤@¾¶¥¤Gµ¥¦æ¬F§Þ³N§U²zû¤§½s¨î¥~¦X¦P¦Û¤G¹s¤@¤¦~¤Q¤ë¤Q¥|¤é°_Äò´Á¤@¦~¡C
¡X¡X¡X
¤G¹s¤@¤¦~¤E¤ë¤G¤Q¤T¤é©ó®ø¶OªÌ©eû·|
°õ¦æ©eû·|¥D®u ¶À¿«¹ç
ª÷ ¿Ä ±¡ ³ø ¿ì ¤½ «Ç
§å ¥Ü ºK ¿ý
ºK¿ý¦Û¥»¿ì¤½«Ç¥D¥ô©ó¤G¹s¤@¤¦~¤E¤ë¤G¤é©Ò§@¥Xªº§å¥Ü¡G
®Ú¾Ú²{¦æ¡m¿Dªù¤½¦@¦æ¬F¤u§@¤Hû³q«h¡n²Ä¤G¤Q¤C±ø¤Î²Ä¤G¤Q¤K±øªº³W©w¡A¥Hªþµù¤è¦¡×§ï³¯¬±Åv¤Î±i´«°¤§´²¦ì¦X¦P²Ä¤T±ø´Ú¡A¬°²Ä¤»Â¾¶¥»´«¬¨®½ø¥q¾÷¡AÁ~ÄÂI¬°220¡A¦Û¤G¹s¤@¤¦~¤E¤ë¤@¤é°_¥Í®Ä¡C
ºK¿ý¦Û¥»¿ì¤½«Ç¥D¥ô©ó¤G¹s¤@¤¦~¤E¤ë¤K¤é©Ò§@¥Xªº§å¥Ü¡G
®Ú¾Ú²{¦æ¡m¿Dªù¤½¦@¦æ¬F¤u§@¤Hû³q«h¡n²Ä¤G¤Q¤»±ø²Ä¤@¤Î²Ä¤T´Úªº³W©w¡A¥Hªþµù¤è¦¡×§ï¶À«H·s¤Î¿c¤p¤Z¤§½s¨î¥~¦X¦P²Ä¤T±ø´Ú¡A¬°²Ä¤G¾¶¥º®u°ª¯Å§Þ³Nû¡AÁ~ÄÂI¬°565¡A¦Û¤G¹s¤@¤¦~¤E¤ë¤»¤é°_¥Í®Ä¡C
ºK¿ý¦Û¸gÀÙ°]¬F¥q¥qªø©ó¤G¹s¤@¤¦~¤E¤ë¤E¤é©Ò§@¥Xªº§å¥Ü¡G
¶À¤åµØ¡X¡X®Ú¾Ú²Ä14/2009¸¹ªk«ß²Ä¤Q¥|±ø²Ä¤@´Ú¡]¤G¡^¶µ¥H¤Î²{¦æ¡m¿Dªù¤½¦@¦æ¬F¤u§@¤Hû³q«h¡n²Ä¤G¤Q¤±ø¤Î²Ä¤G¤Q¤»±øªº³W©w¡A¥Hªþµù¤è¦¡×§ï¨ä½s¨î¥~¦X¦P²Ä¤T±ø´Ú¡A®Ê¯Å¬°²Ä¤@¾¶¥º®u°ª¯Å§Þ³Nû¡AÁ~ÄÂI¬°540¡A¥Ñ¤G¹s¤@¤¦~¤E¤ë¤E¤é°_¥Í®Ä¡C
ºK¿ý¦Û¥»¿ì¤½«Ç¥D¥ô©ó¤G¹s¤@¤¦~¤E¤ë¤E¤é©Ò§@¥Xªº§å¥Ü¡G
®Ú¾Ú²{¦æ¡m¿Dªù¤½¦@¦æ¬F¤u§@¤Hû³q«h¡n²Ä¤G¤Q¤»±ø²Ä¤@¤Î²Ä¤T´Úªº³W©w¡A¥H½s¨î¥~¦X¦Pªþµù¤è¦¡Äò¸u¤U¦C¤u§@¤Hû¦b¥»¿ì¾á¥ô¾°È¡A¬°´Á¤@¦~¡A¾¯Å¤ÎÁ~ÄÂI¤À§O¦p¤U¡G
´¿º~Åv¡A²Ä¤G¾¶¥¤@µ¥§Þ³N»²¾Éû¡AÁ~ÄÂI¬°320¡A¦Û¤G¹s¤@¤¦~¤Q¤ë¤Q¤T¤é°_¥Í®Ä¡F
±ç¤l¼z¡A²Ä¤@¾¶¥º®u§Þ³N»²¾Éû¡AÁ~ÄÂI¬°350¡A¦Û¤G¹s¤@¤¦~¤Q¤ë¤T¤Q¤é°_¥Í®Ä¡C
¡X¡X¡X
¤G¹s¤@¤¦~¤E¤ë¤G¤Q¥|¤é©óª÷¿Ä±¡³ø¿ì¤½«Ç
¿ì¤½«Ç¥N¥D¥ô ¦¶°û»ö
¿D ªù «O ¦w ³¡ ¶¤ ¨Æ °È §½
§å ¥Ü ºK ¿ý
ºK¿ý¦Û¥»§½¥N§½ªø©ó¤G¹s¤@¤¦~¤K¤ë¤Q¥|¤é¤§§å¥Ü¡G
À³·¨¶®©g¤§¥Ó½Ð¡A¨ä¦b¥»§½¾á¥ô²Ä¤G¾¶¥¤Gµ¥§Þ³N»²¾Éûªº½s¨î¥~¦X¦P¦Û¤G¹s¤@¤¦~¤E¤ë¤G¤Q¤T¤é°_¤©¥H¸Ñ°£¡C
¡X¡X¡X
¤G¹s¤@¤¦~¤E¤ë¤G¤Q¤T¤é©ó¿Dªù«O¦w³¡¶¤¨Æ°È§½
§½ªø ¼ï¾ð¥Äµ°ÈÁ`ºÊ
ªv ¦w ĵ ¹î §½
§å ¥Ü ºK ¿ý
ºK¿ý¦Û§½ªø©ó¤G¹s¤@¤¦~¤E¤ë¤E¤é¤§§å¥Ü¡G
À³Äµû½s¸¹113141½²®¶½å¤§n¨D¡A®Ú¾Ú²{¦æ¡m¿Dªù«O¦w³¡¶¤x¨Æ¤Æ¤Hû³q«h¡n²Ä¤C¤Q¤»±ø²Ä¤@´Ú¤§³W©w¡A§åã¸Ó¤Hû¦Û¤G¹s¤@¤¦~¤E¤ë¤G¤Q¥|¤é°_§K°£¤u§@¡A¥¿¦¡²æÂ÷ªv¦wĵ¹î§½¡C
À³Äµû½s¸¹104981¬xºa©[¤§n¨D¡A®Ú¾Ú²{¦æ¡m¿Dªù«O¦w³¡¶¤x¨Æ¤Æ¤Hû³q«h¡n²Ä¤C¤Q¤»±ø²Ä¤@´Ú¤§³W©w¡A§åã¸Ó¤Hû¦Û¤G¹s¤@¤¦~¤Q¤ë¤¤é°_§K°£¤u§@¡A¥¿¦¡²æÂ÷ªv¦wĵ¹î§½¡C
ºK¿ý¦Û«O¦w¥q¥qªø©ó¤G¹s¤@¤¦~¤E¤ë¤Q¤C¤é§@¥Xªº²Ä182/2015¸¹§å¥Ü¡G
®Ú¾Ú¤Q¤G¤ë¤T¤Q¤é²Ä66/94/M¸¹ªk¥O®Ö㪺¡m¿Dªù«O¦w³¡¶¤x¨Æ¤Æ¤Hû³q«h¡n²Ä¤C¤Q¤G±ø¤Î²Ä¤C¤Q¤±ø²Ä¤G´Úa¡^¶µ¤§³W©w¤Î«ö¨äÓ¤H·NÄ@¡Aªv¦wĵ¹î§½¤U¦C¤Hû¥H¯S§O©e¥ô¤è¦¡¡A©ó¤G¹s¤@¤¦~¤E¤ë¤G¤Q¤@¤é¦Ü¤G¹s¤@¤»¦~¤T¤ë¤Q¤T¤é´Á¶¡¡A«e©¹¥qªkĵ¹î§½×۲ĤQ¤K©¡¹ê²ß¦D¨Æ°»¬dû°ö°V½Òµ{¡A¨Ã«ö·Ó¦P¤@¡m³q«h¡n²Ä¤E¤Q¤K±øb¡^¶µ¤§³W©w¡AÂର³B©ó¡§ªþ©ó½s¨î¡¨¤§ª¬ªp¡C
| ĵû | 187071 | ±ç¬x°· |
| " | 152081 | ±çÀAºa |
| " | 206081 | ù°··s |
| " | 239091 | ³¯¥ÃÂE |
| " | 256091 | ±ç®aÂ@ |
| " | 122101 | ªL¤pÙy |
| " | 189101 | ±ç¼w¤å |
| " | 103110 | §d°ûªY |
| " | 112111 | ªL¥º¡ |
| " | 113111 | ¦¿®a°¶ |
| " | 167111 | §E°ê¦t |
| " | 180111 | ĬªY³Ç |
| " | 181111 | ±i¦tµ¾ |
| " | 221110 | ¨¿¹Å±Ó |
| " | 236111 | ±i¸´ |
| " | 297111 | Á馰«Â |
| " | 327111 | §f½÷³ó |
| " | 101121 | ¾G¦t«í |
| " | 106121 | Ãö»¨½÷ |
| " | 176121 | ³¯©|´¼ |
| " | 237121 | ñK§Ó½÷ |
| " | 258121 | §E¥ß°ò |
| " | 140130 | ³¯¹Å±Ó |
¡X¡X¡X
¤G¹s¤@¤¦~¤E¤ë¤G¤Q¤¤é©óªv¦wĵ¹î§½
§½ªø ±ç¤å©÷ĵ°ÈÁ`ºÊ
¥q ªk ĵ ¹î §½
§å ¥Ü ºK ¿ý
ºK¿ý¦Û¥»¤H©ó¤G¹s¤@¤¦~¤K¤ë¤Q¤@¤é§@¥Xªº§å¥Ü¡G
®Ú¾Ú²{¦æ¡m¿Dªù¤½¦@¦æ¬F¤u§@¤Hû³q«h¡n²Ä¤G¤Q¤C±ø²Ä¤@´Ú¡B²Ä¤G´Ú¡B²Ä¤T´Úb¡^¶µ¡B²Ä¤´Ú©M²Ä¤C´Ú¤Î²Ä¤G¤Q¤K±ø¡A¥H¤Î²Ä5/2006¸¹ªk«ß²Ä¤Q¤@±ø²Ä¤@´Ú¡A¥H¤Î¤½§G©ó¤G¹s¤@¤¦~¤G¤ë¤Q¤T¤é²Ä¤»´Á²Ä¤G²Õ¡m¿Dªù¯S§O¦æ¬F°Ï¤½³ø¡n°Æ¥Z¤ºªº²Ä33/2015¸¹«O¦w¥q¥qªø§å¥Ü²Ä¤@´Ú¡]¤¡^¶µ¤§³W©w¡A¶À¿P»ö¦b¥»§½¾á¥ô²Ä¤T¾¶¥º®u¯S¯Å¸ê°T§U²z§Þ³Nû¾°Èªº´²¦ì¦X¦P¡A¦Û¤G¹s¤@¤¦~¤Q¤ë¤Q¤@¤é°_Äò´Á¤@¦~¡C
®Ú¾Ú²{¦æ¡m¿Dªù¤½¦@¦æ¬F¤u§@¤Hû³q«h¡n²Ä¤G¤Q¤C±ø²Ä¤@´Ú¡B²Ä¤G´Ú¡B²Ä¤T´Úa¡^¶µ¡B²Ä¤´Ú©M²Ä¤C´Ú¤Î²Ä¤G¤Q¤K±ø¡A¥H¤Î²Ä5/2006¸¹ªk«ß²Ä¤Q¤@±ø²Ä¤@´Ú¡A¥H¤Î¤½§G©ó¤G¹s¤@¤¦~¤G¤ë¤Q¤T¤é²Ä¤»´Á²Ä¤G²Õ¡m¿Dªù¯S§O¦æ¬F°Ï¤½³ø¡n°Æ¥Z¤ºªº²Ä33/2015¸¹«O¦w¥q¥qªø§å¥Ü²Ä¤@´Ú¡]¤¡^¶µ¤§³W©w¡A±ç°¶¤å¤Î§õ¬K½å¦b¥»§½¾á¥ô²Ä¤T¾¶¥¶ÔÂø¤Hû¾°Èªº´²¦ì¦X¦P¡A¦Û¤G¹s¤@¤¦~¤Q¤ë¤Q¤K¤é°_Äò´Á¤@¦~¡C
ºK¿ý¦Û¥»¤H©ó¤G¹s¤@¤¦~¤K¤ë¤Q¤K¤é§@¥Xªº§å¥Ü¡G
®Ú¾Ú²{¦æ¡m¿Dªù¤½¦@¦æ¬F¤u§@¤Hû³q«h¡n²Ä¤G¤Q¤±ø¡B²Ä¤G¤Q¤»±ø¡B²Ä¥|¤Q¥|±ø²Ä¤@´Úc¡^¶µ¤Î²Ä¤G´Ú¡A²Ä5/2006¸¹ªk«ß²Ä¤Q¤@±ø²Ä¤@´Ú¡A¥H¤Î¤½§G©ó¤G¹s¤@¤¦~¤G¤ë¤Q¤T¤é²Ä¤»´Á²Ä¤G²Õ¡m¿Dªù¯S§O¦æ¬F°Ï¤½³ø¡n°Æ¥Z¤ºªº²Ä33/2015¸¹«O¦w¥q¥qªø§å¥Ü²Ä¤@´Ú¡]¤¡^¶µ¤§³W©w¡AAntónio Luís Mota¦b¥»§½¾á¥ô²Ä¤@¾¶¥º®u¯S¯Å§Þ³N»²¾Éû¾°Èªº½s¨î¥~¦X¦P¡A¦Û¤G¹s¤@¤¦~¤Q¤ë¤G¤Q¤G¤é°_Äò´Á¦Ü¤G¹s¤@¤»¦~¤@¤ë¤K¤é¡C
¡X¡X¡X
¤G¹s¤@¤¦~¤E¤ë¤G¤Q¥|¤é©ó¥qªkĵ¹î§½
§½ªø ©P°¶¥ú
¿D ªù ºÊ º»
§å ¥Ü ºK ¿ý
ºK¿ý¦Û«O¦w¥q¥qªø©ó¤G¹s¤@¤¦~¤C¤ë¤G¤Q¤E¤é§@¥Xªº§å¥Ü¡G
ªL¼äÃs¡X¡X®Ú¾Ú¸g¤Q¤G¤ë¤G¤Q¤K¤é²Ä62/98/M¸¹ªk¥Oק諸¤Q¤G¤ë¤G¤Q¤@¤é²Ä87/89/M¸¹ªk¥O®Ö㪺¡m¿Dªù¤½¦@¦æ¬F¤u§@¤Hû³q«h¡n²Ä¤G¤Q±ø²Ä¤@´Úa¡^¶µ¡B²Ä¤G¤Q¤G±ø²Ä¤@´Úªº³W©w¡A¥H¤Î²Ä23/2011¸¹¦æ¬Fªk³W²Ä¤T¤Q¤C±øªº³W©w¡A¦b¤G¹s¤@¤¦~¤¤ë¤»¤é²Ä¤Q¤K´Á¡m¿Dªù¯S§O¦æ¬F°Ï¤½³ø¡n²Ä¤G²Õ¤½§Gªº¥H¤¤¥¡¶}¦Ò¦Ò®Ö¤è¦¡¶ñ¸É¦U¤½¦@³¡ªù¤ß²z¾Ç½dÃ¥°ª¯Å§Þ³Nû¾µ{²Ä¤@¾¶¥¤Gµ¥°ª¯Å§Þ³Nû¤§Â¾¯Ê¡A³Ì«á¦¨ÁZ¦W³æ±Æ¦W²Ä¤»¦Wªº¤Î®æ§ë¦Ò¤H¡AÀòÁ{®É©e¥ô¬°¿DªùºÊº»¤Hû½s¨î¤º°ª¯Å§Þ³Nû¾µ{²Ä¤@¾¶¥¤Gµ¥°ª¯Å§Þ³Nû¡A¬°´Á¤@¦~¡C
¦ó¨q´A¡X¡X®Ú¾Ú¸g¤Q¤G¤ë¤G¤Q¤K¤é²Ä62/98/M¸¹ªk¥Oק蠟¤Q¤G¤ë¤G¤Q¤@¤é²Ä87/89/M¸¹ªk¥O®Ö㪺¡m¿Dªù¤½¦@¦æ¬F¤u§@¤Hû³q«h¡n²Ä¤G¤Q¤C±ø¤Î²Ä¤G¤Q¤K±ø¡A¥H¤Î²Ä23/2011¸¹¦æ¬Fªk³W²Ä¤G¤Q¤E±ø²Ä¤@´Úªº³W©w¡A¥H´²¦ì¦X¦P¤è¦¡Àò¨ü¸u¬°¿DªùºÊº»²Ä¤@¾¶¥¤Gµ¥§Þ³Nû¡AÁ~ÄÂI¬°350ÂI¡A¦Û¤G¹s¤@¤¦~¤E¤ë¤Q¤»¤é°_¥Í®Ä¡A¸Õ¥Î´Á¬°¤»Ó¤ë¡C
ºK¿ý¦Û¥Nº»ªø©ó¤G¹s¤@¤¦~¤K¤ë¤Q¤K¤é§@¥Xªº§å¥Ü¡G
¤ý§g¶®¡X¡X¿DªùºÊº»²Ä¤@¾¶¥Äµû¡AÄÝÁ{®É©e¥ô¡AÀ³¨än¨D²×¤î©ó¥»ºÊº»¤§Â¾°È¡A¦Û¤G¹s¤@¤¦~¤E¤ë¤G¤Q¤@¤é°_¥Í®Ä¡C
ºK¿ý¦Û¿DªùºÊº»¤H¤O¸ê·½³B³Bªø©ó¤G¹s¤@¤¦~¤E¤ë¤Q¤é§@¥Xªº§å¥Ü¡G
Nguyen Thi Nguyen¡A¿DªùºÊº»²Ä¤G¾¶¥Äµû¡X¡X®Ú¾Ú²Ä7/2006¸¹ªk«ß²Ä¤Q¤T±ø²Ä¤T´Úªº³W©w¡A¸g¤Q¤G¤ë¤G¤Q¤K¤é²Ä62/98/M¸¹ªk¥Oק諸¤Q¤G¤ë¤G¤Q¤@¤é²Ä87/89/M¸¹ªk¥O®Ö㪺¡m¿Dªù¤½¦@¦æ¬F¤u§@¤Hû³q«h¡n²Ä¤G¦Ê¤E¤Q¤C±ø²Ä¤T´Ú¤Î²Ä¥|´Ú¡A°t¦X¤Wz¡m³q«h¡n²Ä¤G¤Q¤C±ø¤Î²Ä¤G¤Q¤K±øªº³W©w¡A§åã¥Hªþµù¤è¦¡×§ï¨ä´²¦ì¦X¦P²Ä¤T±ø´Ú¡AÂର©ÒÄݾ¯Å¤§²Ä¤T¾¶¥¡AÁ~ÄÂI¬°280ÂI¡A®Ú¾Ú¡m¦æ¬Fµ{§Çªk¨å¡n²Ä¤@¦Ê¤@¤Q¤K±ø²Ä¤@´Úc¡^¶µªº³W©w¡A°l·¹¦Û¤G¹s¤@¤¦~¤T¤ë¤G¤Q¤G¤é°_¥Í®Ä¡C
¡X¡X¡X
¤G¹s¤@¤¦~¤E¤ë¤G¤Q¤E¤é©ó¿DªùºÊº»
º»ªø §õÀA©÷
®ø ¨¾ §½
§å ¥Ü ºK ¿ý
«ö·Ó¤G¹s¤@¤¦~¤E¤ë¤Q¤C¤é²Ä183/2015¸¹«O¦w¥q¥qªø§å¥Ü¡G
®Ú¾Ú¤Q¤G¤ë¤T¤Q¤é²Ä66/94/M¸¹ªk¥O®Ö㤧¡m¿Dªù«O¦w³¡¶¤x¨Æ¤Æ¤Hû³q«h¡n²Ä¤C¤Q¤G±ø²Ä¤@´Ú¤Î²Ä¤C¤Q¤±ø²Ä¤G´Úa¡^¶µ¤§³W©w¡A§åã¤U¦Cx¨Æ¤Æ¤Hû¥Ñ¤G¹s¤@¤¦~¤E¤ë¤G¤Q¤@¤é¦Ü¤G¹s¤@¤»¦~¤T¤ë¤Q¤T¤é¡A¥H¯S§O©e¥ô¨î«×´NŪ¥qªkĵ¹î§½²Ä¤Q¤K©¡¹ê²ß¦D¨Æ°»¬dû°ö°V½Òµ{¡A¦]»{¬°¸Ó½Òµ{ªº¥Øªº¦³§Q©ó¥»¦a°Ï¤Î¸Ó®ø¨¾û¤w³q¹L¦³Ãöªº¤½¶}¦Ò¸Õ¡A¨Ã«ö·Ó¦P¤@³q«h²Ä¤E¤Q¤K±øb¡^¶µ©Ò¸ü¡AÂର¡§ªþ©ó½s¨î¡¨ª¬ªp¡C
| ¾¯Å | ½s¸¹ | ©m¦W |
| ®ø¨¾û | 406111 | ±ç©þ¤¯ |
| " | 408131 | ´¿¾_¾^ |
¡X¡X¡X
¤G¹s¤@¤¦~¤E¤ë¤G¤Q¥|¤é©ó®ø¨¾§½
§½ªø °¨Ä£ºa®ø¨¾Á`ºÊ
½Ã ¥Í §½
§å ¥Ü ºK ¿ý
ºK¿ý¦Û§½ªø©ó¤G¹s¤@¤¦~¥|¤ë¤Q¥|¤é¤§§å¥Ü¡G
§õ¯ï¾W¡X¡X®Ú¾Ú²{¦æ¡m¿Dªù¤½¦@¦æ¬F¤u§@¤Hû³q«h¡n²Ä¤G¤Q¤C±ø¤Î²Ä¤G¤Q¤K±ø¤§³W©w¡A±q¤G¹s¤@¤¦~¤K¤ë¤T¤é°_¡A¥H¸Õ¥Î´Á©Ê½èªº´²¦ì¦X¦P¤è¦¡Àò¸u¥Î¬°²Ä¤@¾¶¥¤Gµ¥§Þ³Nû¡A¬°´Á¤»Ó¤ë¡C
ºK¿ý¦Û¥N§½ªø©ó¤G¹s¤@¤¦~¤¤ë¤Q¤T¤é¤§§å¥Ü¡G
³¢»ñ¸s¡X¡X®Ú¾Ú²{¦æ¡m¿Dªù¤½¦@¦æ¬F¤u§@¤Hû³q«h¡n²Ä¤G¤Q¤±ø¤Î²Ä¤G¤Q¤»±ø¤§³W©w¡A±q¤G¹s¤@¤¦~¤K¤ë¤T¤é°_¡A¥H½s¨î¥~¦X¦P¤è¦¡Àò¸u¥Î¬°²Ä¤@¾¶¥¤Gµ¥§Þ³N»²¾Éû¡A¬°´Á¤»Ó¤ë¡C
ºK¿ý¦Û§½ªø©ó¤G¹s¤@¤¦~¤¤ë¤G¤Q¤»¤é¤§§å¥Ü¡G
®Ú¾Ú²{¦æ¡m¿Dªù¤½¦@¦æ¬F¤u§@¤Hû³q«h¡n²Ä¤G¤Q¤±ø¤Î²Ä¤G¤Q¤»±ø¤§³W©w¡A¥»§½¥H¤U¤Hû¡A¥H½s¨î¥~¦X¦P¤è¦¡Àò¸u¥Î¬°²Ä¤@¾¶¥¤Gµ¥§Þ³N»²¾Éû¡A¬°´Á¤»Ó¤ë¡G
³\´f¸s©M±äÄ£Åï¡A±q¤G¹s¤@¤¦~¤K¤ë¤T¤é°_¡F
³¯¿o©k¡A±q¤G¹s¤@¤¦~¤K¤ë¤G¤Q¥|¤é°_¡C
ºK¿ý¦Û§½ªø©ó¤G¹s¤@¤¦~¤»¤ë¤Q¤»¤é¤§§å¥Ü¡G
³¯º³¡X¡X®Ú¾Ú²{¦æ¡m¿Dªù¤½¦@¦æ¬F¤u§@¤Hû³q«h¡n²Ä¤G¤Q¤C±ø¤Î²Ä¤G¤Q¤K±ø¤§³W©w¡A±q¤G¹s¤@¤¦~¤K¤ë¤Q¤é°_¡A¥H¸Õ¥Î´Á©Ê½èªº´²¦ì¦X¦P¤è¦¡Àò¸u¥Î¬°²Ä¤@¾¶¥´¶³q¬ìÂå¥Í¡A¬°´Á¤»Ó¤ë¡C
ºK¿ý¦Û§½ªø©ó¤G¹s¤@¤¦~¤»¤ë¤Q¤C¤é¤§§å¥Ü¡G
®Ú¾Ú²{¦æ¡m¿Dªù¤½¦@¦æ¬F¤u§@¤Hû³q«h¡n²Ä¤G¤Q¤C±ø¤Î²Ä¤G¤Q¤K±ø¤§³W©w¡A¥»§½¥H¤U¤Hû¡A¥H¸Õ¥Î´Á©Ê½èªº´²¦ì¦X¦P¤è¦¡Àò¸u¥Î¬°²Ä¤@¾¶¥¤Gµ¥§Þ³Nû¡A¬°´Á¤»Ó¤ë¡G
±ç¥É´A©M´^±Ó¬Â¡A±q¤G¹s¤@¤¦~¤K¤ë¤G¤Q¥|¤é°_¡F
¼Ú¶§´¼½÷©M¤ý¿P¯è¡A±q¤G¹s¤@¤¦~¤K¤ë¤G¤Q¤¤é°_¡C
ºK¿ý¦Û§½ªø©ó¤G¹s¤@¤¦~¤»¤ë¤G¤Q¤E¤é¤§§å¥Ü¡G
·¨¨Ø½¬¡X¡X®Ú¾Ú²{¦æ¡m¿Dªù¤½¦@¦æ¬F¤u§@¤Hû³q«h¡n²Ä¤G¤Q¤C±ø¤Î²Ä¤G¤Q¤K±ø¤§³W©w¡A±q¤G¹s¤@¤¦~¤K¤ë¤»¤é°_¡A¥H¸Õ¥Î´Á©Ê½èªº´²¦ì¦X¦P¤è¦¡Àò¸u¥Î¬°²Ä¤@¾¶¥§Þ³N¤u¤H¡A¬°´Á¤»Ó¤ë¡C
®Ú¾Ú²{¦æ¡m¿Dªù¤½¦@¦æ¬F¤u§@¤Hû³q«h¡n²Ä¤G¤Q¤±ø¤Î²Ä¤G¤Q¤»±ø¤§³W©w¡A¥»§½¥H¤U¤Hû¡A¥H½s¨î¥~¦X¦P¤è¦¡Àò¸u¥Î¬°²Ä¤@¾¶¥¤Gµ¥§Þ³N»²¾Éû¡A¬°´Á¤»Ó¤ë¡G
Áé·ç¬Â¡B¶À¹Å©ú©M³¯¬h¯Â¡A±q¤G¹s¤@¤¦~¤K¤ë¤Q¤é°_¡F
¶À´@´@©M§õÆA¶²¡A±q¤G¹s¤@¤¦~¤K¤ë¤Q¤C¤é°_¡F
Ĭ²Q¬Â¡A±q¤G¹s¤@¤¦~¤K¤ë¤G¤Q¥|¤é°_¡F
±ä®Ûªâ¡A±q¤G¹s¤@¤¦~¤K¤ë¤T¤Q¤@¤é°_¡C
ºK¿ý¦Û§½ªø©ó¤G¹s¤@¤¦~¤C¤ë¤@¤é¤§§å¥Ü¡G
®Ú¾Ú¸g²Ä34/2011¸¹¦æ¬Fªk³Wק諸¤Q¤@¤ë¤Q¤¤é²Ä81/99/M¸¹ªk¥O²Ä¤K±ø²Ä¤G´Úc¡^¶µ¡B²Ä23/2011¸¹¦æ¬Fªk³W²Ä¤G¤Q¤E±ø²Ä¤@´Ú¡A²Ä14/2009¸¹ªk«ßªþ¥ó¤@ªí¤G¡A¥H¤Î²{¦æ¡m¿Dªù¤½¦@¦æ¬F¤u§@¤Hû³q«h¡n²Ä¤G¤Q¤C±ø¤Î²Ä¤G¤Q¤K±øªº³W©w¡A¥»§½Â²¾®Áq¥H´²¦ì¦X¦P¤è¦¡Àò¸u¥Î¬°²Ä¤@¾¶¥¤Gµ¥§Þ³Nû¡A¬°´Á¤»Ó¤ë¡A¦Û¤G¹s¤@¤¦~¤E¤ë¤Q¤@¤é°_¥Í®Ä¡C
®Ú¾Ú²{¦æ¡m¿Dªù¤½¦@¦æ¬F¤u§@¤Hû³q«h¡n²Ä¤G¤Q¤C±ø¤Î²Ä¤G¤Q¤K±ø¤§³W©w¡A¥»§½¥H¤U¤Hû¡A¥H¸Õ¥Î´Á©Ê½èªº´²¦ì¦X¦P¤è¦¡Àò¸u¥Î¬°²Ä¤@¾¶¥¤Gµ¥§Þ³Nû¡A¬°´Á¤»Ó¤ë¡G
¤×²Q¿P¡A±q¤G¹s¤@¤¦~¤K¤ë¤Q¤é°_¡F
±i´fÄõ¡A±q¤G¹s¤@¤¦~¤K¤ë¤Q¤C¤é°_¡F
ÛÀR»ö¡A±q¤G¹s¤@¤¦~¤K¤ë¤G¤Q¥|¤é°_¡C
ºK¿ý¦Û§½ªø©ó¤G¹s¤@¤¦~¤C¤ë¤C¤é¤§§å¥Ü¡G
®Ú¾Ú²{¦æ¡m¿Dªù¤½¦@¦æ¬F¤u§@¤Hû³q«h¡n²Ä¤G¤Q¤±ø¤Î²Ä¤G¤Q¤»±ø¤§³W©w¡A¥»§½¥H¤U¤Hû¡A¥H½s¨î¥~¦X¦P¤è¦¡Àò¸u¥Î¬°²Ä¤@¾¶¥¤Gµ¥§Þ³N»²¾Éû¡A¬°´Á¤»Ó¤ë¡G
¶¾°ê°¶©M®]·ç´¹¡A±q¤G¹s¤@¤¦~¤K¤ë¤G¤Q¥|¤é°_¡F
¦óÀR¤å¡A±q¤G¹s¤@¤¦~¤K¤ë¤T¤Q¤@¤é°_¡C
ºK¿ý¦Û§½ªø©ó¤G¹s¤@¤¦~¤C¤ë¤Q¥|¤é¤§§å¥Ü¡G
À³±i¾åÁø¤§n¨D¡A¨ä¦b¥»§½¾á¥ô²Ä¤@¾¶¥¤Gµ¥¦æ¬F§Þ³N§U²zû¤§´²¦ì¦X¦P¡A¦Û¤G¹s¤@¤¦~¤E¤ë¤@¤é°_¤©¥H¸Ñ°£¡C
ºK¿ý¦Û§½ªø©ó¤G¹s¤@¤¦~¤C¤ë¤Q¤C¤é¤§§å¥Ü¡G
¾G¾Ç´ò¡B§dÄR±Ó¡B³¯³·µX¡B¦ó·ç§Í¡B§d¸Ö¶®¡B¶À·Ó«í©M§d¨q¶²¡X¡X®Ú¾Ú²{¦æ¡m¿Dªù¤½¦@¦æ¬F¤u§@¤Hû³q«h¡n²Ä¤G¤Q¤C±ø¤Î²Ä¤G¤Q¤K±ø¤§³W©w¡A±q¤G¹s¤@¤¦~¤K¤ë¤G¤Q¥|¤é°_¡A¥H¸Õ¥Î´Á©Ê½èªº´²¦ì¦X¦P¤è¦¡Àò¸u¥Î¬°²Ä¤@¾¶¥¤Gµ¥¶EÀø§Þ³Nû¡A¬°´Á¤»Ó¤ë¡C
®Ú¾Ú²{¦æ¡m¿Dªù¤½¦@¦æ¬F¤u§@¤Hû³q«h¡n²Ä¤G¤Q¤C±ø¤Î²Ä¤G¤Q¤K±ø¤§³W©w¡A¥»§½¤U¦C´²¦ì¦X¦P¤HûÀòÄò´Á¤@¦~¡G
²Ä¤C¾¶¥««¬¨®½ø¥q¾÷¸¸ôµØ¡A¦Û¤G¹s¤@¤¦~¤K¤ë¤Q¤T¤é°_¥Í®Ä¡F
²Ä¤T¾¶¥««¬¨®½ø¥q¾÷ÃÓ®a°¶¡A¦Û¤G¹s¤@¤¦~¤E¤ë¤@¤é°_¥Í®Ä¡F
²Ä¤»Â¾¶¥§Þ³N¤u¤H½²®p¡A¦Û¤G¹s¤@¤¦~¤K¤ë¤C¤é°_¥Í®Ä¡C
ºK¿ý¦ÛªÀ·|¤å¤Æ¥q¥qªø©ó¤G¹s¤@¤¦~¤C¤ë¤G¤Q¤@¤é¤§§å¥Ü¡G
®Ú¾Ú²{¦æ¡m¿Dªù¤½¦@¦æ¬F¤u§@¤Hû³q«h¡n²Ä¤G¤Q¤C±ø¤Î²Ä¤G¤Q¤K±ø¤§³W©w¡A¥t®Ú¾Ú²Ä9/2010¸¹ªk«ß²Ä¤Q¤G±ø¤Î²Ä23/2011¸¹¦æ¬Fªk³W²Ä¤G¤Q¤E±ø²Ä¤@´Ú¤§³W©w¡A»¯¥Ã¶Ô¡B±ç¬ü®S¤ÎñK¥Ã«í¦b¥»§½¾á¥ô´²¦ì¦X¦P²Ä¤C¾¶¥¤Gµ¥Å@²z§U²zû¡A¥Hªþµù§Î¦¡×§ï¦X¦P²Ä¤T±ø´Ú¡AÂର²Ä¤@¾¶¥¤@µ¥Å@²z§U²zû¡A¦Û¤G¹s¤@¤¦~¤K¤ë¤»¤é°_¥Í®Ä¡C
®Ú¾Ú²{¦æ¡m¿Dªù¤½¦@¦æ¬F¤u§@¤Hû³q«h¡n²Ä¤G¤Q¤C±ø¤Î²Ä¤G¤Q¤K±ø¤§³W©w¡A¥t®Ú¾Ú²Ä9/2010¸¹ªk«ß²Ä¤Q¤G±ø¤Î²Ä23/2011¸¹¦æ¬Fªk³W²Ä¤G¤Q¤E±ø²Ä¤@´Ú¤§³W©w¡A¸â°ê¥¡B»¯¤ë©ú¡B¿àÄR»ö¤ÎªL´f³s¦b¥»§½¾á¥ô´²¦ì¦X¦P²Ä¤»Â¾¶¥¤Gµ¥Å@²z§U²zû¡A¥Hªþµù§Î¦¡×§ï¦X¦P²Ä¤T±ø´Ú¡AÂର²Ä¤@¾¶¥¤@µ¥Å@²z§U²zû¡A¦Û¤G¹s¤@¤¦~¤K¤ë¤»¤é°_¥Í®Ä¡C
®Ú¾Ú²{¦æ¡m¿Dªù¤½¦@¦æ¬F¤u§@¤Hû³q«h¡n²Ä¤G¤Q¤C±ø¤Î²Ä¤G¤Q¤K±ø¤§³W©w¡A¥t®Ú¾Ú²Ä9/2010¸¹ªk«ß²Ä¤Q¤G±ø¤Î²Ä23/2011¸¹¦æ¬Fªk³W²Ä¤G¤Q¤E±ø²Ä¤@´Ú¤§³W©w¡AÃÓÄRµØ¡B³¢ª÷¬Â¡B¼Ú¶§¬ü¬À¡B¼ï§Ó½÷¤Î¿cb±ö¦b¥»§½¾á¥ô´²¦ì¦X¦P²Ä¤Â¾¶¥¤Gµ¥Å@²z§U²zû¡A¥Hªþµù§Î¦¡×§ï¦X¦P²Ä¤T±ø´Ú¡AÂର²Ä¤@¾¶¥¤@µ¥Å@²z§U²zû¡A¦Û¤G¹s¤@¤¦~¤K¤ë¤»¤é°_¥Í®Ä¡C
®Ú¾Ú²{¦æ¡m¿Dªù¤½¦@¦æ¬F¤u§@¤Hû³q«h¡n²Ä¤G¤Q¤C±ø¤Î²Ä¤G¤Q¤K±ø¤§³W©w¡A¥t®Ú¾Ú²Ä9/2010¸¹ªk«ß²Ä¤Q¤G±ø¤Î²Ä23/2011¸¹¦æ¬Fªk³W²Ä¤G¤Q¤E±ø²Ä¤@´Ú¤§³W©w¡A§õ¿A²»¡B§õ»â©y¡B¬_®üÂסB³¢§ÓµØ¡B§d¨È½¬¡B§õÄR·ì¡B¿½¨qªÚ¤Î·¨²QÁø¦b¥»§½¾á¥ô´²¦ì¦X¦P²Ä¥|¾¶¥¤Gµ¥Å@²z§U²zû¡A¥Hªþµù§Î¦¡×§ï¦X¦P²Ä¤T±ø´Ú¡AÂର²Ä¤@¾¶¥¤@µ¥Å@²z§U²zû¡A¦Û¤G¹s¤@¤¦~¤K¤ë¤»¤é°_¥Í®Ä¡C
®Ú¾Ú²{¦æ¡m¿Dªù¤½¦@¦æ¬F¤u§@¤Hû³q«h¡n²Ä¤G¤Q¤C±ø¤Î²Ä¤G¤Q¤K±ø¤§³W©w¡A¥t®Ú¾Ú²Ä9/2010¸¹ªk«ß²Ä¤Q¤G±ø¤Î²Ä23/2011¸¹¦æ¬Fªk³W²Ä¤G¤Q¤E±ø²Ä¤@´Ú¤§³W©w¡A¾G²Q¼_¡B³°¤p±Ó¡B¿c®Û¬K¡B¤ý琼½¬¡B±i¨q¬Â¡B¤ý³ÍºÑ¡B®}ÀR¨Ø¡BªL¥©»A¡B³¯±öªÚ¡B³¯´f®S¡BÃÓ«Oµ^¡B³Á¥É½¬¡B¦óÆA¬õ¡B³¯¤ÖµÓ¡BÃÓ±ê¹p¡B¬I©úªÞ¤ÎÃÓ¤_«í ¦b¥»§½¾á¥ô´²¦ì¦X¦P²Ä¤T¾¶¥¤Gµ¥Å@²z§U²zû¡A¥Hªþµù§Î¦¡×§ï¦X¦P²Ä¤T±ø´Ú¡AÂର²Ä¤@¾¶¥¤@µ¥Å@²z§U²zû¡A¦Û¤G¹s¤@¤¦~¤K¤ë¤»¤é°_¥Í®Ä¡C
ºK¿ý¦Û§½ªø©ó¤G¹s¤@¤¦~¤C¤ë¤G¤Q¤T¤éªº§å¥Ü¡G
®Ú¾Ú²{¦æ¡m¿Dªù¤½¦@¦æ¬F¤u§@¤Hû³q«h¡n²Ä¤G¤Q¤±ø¤Î²Ä¤G¤Q¤»±ø³W©w¡A¥»§½¥H½s¨î¥~¦X¦P¤è¦¡¸u¥Î¤U¦C¤Hû¾á¥ô²Ä¤@¾¶¥¤Gµ¥§Þ³Nû¡A¬°´Á¤@¦~¡G
¹ù½¬®¦¡A¦Û¤G¹s¤@¤¦~¤E¤ë¤@¤é°_¥Í®Ä¡F
§d«Û²ú¡A¦Û¤G¹s¤@¤¦~¤K¤ë¤Q¤»¤é°_¥Í®Ä¡C
®Ú¾Ú²{¦æ¡m¿Dªù¤½¦@¦æ¬F¤u§@¤Hû³q«h¡n²Ä¤G¤Q¤±ø¤Î²Ä¤G¤Q¤»±ø³W©w¡A¥»§½¥H½s¨î¥~¦X¦P¤è¦¡¸u¥Î¤U¦C¤Hû¾á¥ô²Ä¤@¾¶¥¤Gµ¥¦æ¬F§Þ³N§U²zû¡A¬°´Á¤@¦~¡G
²øÄ_µY¤Î¼B´¼ªY¡A¦Û¤G¹s¤@¤¦~¤K¤ë¤G¤é°_¥Í®Ä¡F
°ª¤åªÛ¡B¼B¤Ñ½ç¤Î±ç»ñÄÆ¡A¦Û¤G¹s¤@¤¦~¤K¤ë¤E¤é°_¥Í®Ä¡F
¾¤±mÁø¡A¦Û¤G¹s¤@¤¦~¤K¤ë¤Q¤»¤é°_¥Í®Ä¡C
ºK¿ý¦Û§½ªø©ó¤G¹s¤@¤¦~¤C¤ë¤G¤Q¤K¤é¤§§å¥Ü¡G
®Ú¾Ú²{¦æ¡m¿Dªù¤½¦@¦æ¬F¤u§@¤Hû³q«h¡n²Ä¤G¤Q¤C±ø¤Î²Ä¤G¤Q¤K±ø¤§³W©w¡A¥t®Ú¾Ú²Ä9/2010¸¹ªk«ß²Ä¤Q¤@±ø²Ä¤@´Ú¡]¤T¡^¶µ¤§³W©w¡A¼Ú¶§¬ü¬À¦b¥»§½¾á¥ô´²¦ì¦X¦P²Ä¥|¾¶¥¤Gµ¥Å@²z§U²zû¡A¥Hªþµù§Î¦¡×§ï¦X¦P²Ä¤T±ø´Ú¡AÂର²Ä¤Â¾¶¥¤Gµ¥Å@²z§U²zû¡A¦Û¤G¹s¤@¤¦~¤K¤ë¤@¤é°_¥Í®Ä¡C
®Ú¾Ú²{¦æ¡m¿Dªù¤½¦@¦æ¬F¤u§@¤Hû³q«h¡n²Ä¤G¤Q¤C±ø¤Î²Ä¤G¤Q¤K±ø¤§³W©w¡A¥t®Ú¾Ú²Ä9/2010¸¹ªk«ß²Ä¤Q¤@±ø²Ä¤@´Ú¡]¤T¡^¶µ¤§³W©w¡A»¯¤ë©ú¤Î¿àÄR»ö¦b¥»§½¾á¥ô´²¦ì¦X¦P²Ä¤Â¾¶¥¤Gµ¥Å@²z§U²zû¡A¥Hªþµù§Î¦¡×§ï¦X¦P²Ä¤T±ø´Ú¡AÂର²Ä¤»Â¾¶¥¤Gµ¥Å@²z§U²zû¡A¦Û¤G¹s¤@¤¦~¤K¤ë¤@¤é°_¥Í®Ä¡C
®Ú¾Ú²{¦æ¡m¿Dªù¤½¦@¦æ¬F¤u§@¤Hû³q«h¡n²Ä¤G¤Q¤C±ø¤Î²Ä¤G¤Q¤K±ø¤§³W©w¡A¥t®Ú¾Ú²Ä9/2010¸¹ªk«ß²Ä¤Q¤@±ø²Ä¤@´Ú¡]¥|¡^¶µ¤§³W©w¡AñK¥Ãùڤαç¬ü®S¦b¥»§½¾á¥ô´²¦ì¦X¦P²Ä¤»Â¾¶¥¤Gµ¥Å@²z§U²zû¡A¥Hªþµù§Î¦¡×§ï¦X¦P²Ä¤T±ø´Ú¡AÂର²Ä¤C¾¶¥¤Gµ¥Å@²z§U²zû¡A¦Û¤G¹s¤@¤¦~¤K¤ë¤@¤é°_¥Í®Ä¡C
ºK¿ý¦Û§½ªø©ó¤G¹s¤@¤¦~¤C¤ë¤T¤Q¤@¤é¤§§å¥Ü¡G
®Ú¾Ú²{¦æ¡m¿Dªù¤½¦@¦æ¬F¤u§@¤Hû³q«h¡n²Ä¤G¤Q¤C±ø¤Î²Ä¤G¤Q¤K±ø¤§³W©w¡A¥t®Ú¾Ú²Ä9/2010¸¹ªk«ß²Ä¤Q¤@±ø²Ä¤@´Ú¡]¤T¡^¶µ¤§³W©w¡A¼ï§Ó½÷¦b¥»§½¾á¥ô´²¦ì¦X¦P²Ä¥|¾¶¥¤Gµ¥Å@²z§U²zû¡A¥Hªþµù§Î¦¡×§ï¦X¦P²Ä¤T±ø´Ú¡AÂର²Ä¤Â¾¶¥¤Gµ¥Å@²z§U²zû¡A¦Û¤G¹s¤@¤¦~¤K¤ë¤@¤é°_¥Í®Ä¡C
®Ú¾Ú²{¦æ¡m¿Dªù¤½¦@¦æ¬F¤u§@¤Hû³q«h¡n²Ä¤G¤Q¤C±ø¤Î²Ä¤G¤Q¤K±ø¤§³W©w¡A¥t®Ú¾Ú²Ä9/2010¸¹ªk«ß²Ä¤Q¤@±ø²Ä¤@´Ú¡]¥|¡^¶µ¤§³W©w¡A»¯¥Ã¶Ô¦b¥»§½¾á¥ô´²¦ì¦X¦P²Ä¤»Â¾¶¥¤Gµ¥Å@²z§U²zû¡A¥Hªþµù§Î¦¡×§ï¦X¦P²Ä¤T±ø´Ú¡AÂର²Ä¤C¾¶¥¤Gµ¥Å@²z§U²zû¡A¦Û¤G¹s¤@¤¦~¤K¤ë¤@¤é°_¥Í®Ä¡C
ºK¿ý¦Û§½ªø©ó¤G¹s¤@¤¦~¤K¤ë¥|¤é¤§§å¥Ü¡G
®Ú¾Ú²{¦æ¡m¿Dªù¤½¦@¦æ¬F¤u§@¤Hû³q«h¡n²Ä¤G¤Q¤C±ø¤Î²Ä¤G¤Q¤K±ø¤§³W©w¡A¥»§½¥H¤U¤Hû¡A¥H¸Õ¥Î´Á©Ê½èªº´²¦ì¦X¦P¤è¦¡Àò¸u¥Î¬°²Ä¤@¾¶¥¤Gµ¥¦æ¬F§Þ³N§U²zû¡A¬°´Á¤»Ó¤ë¡G
§d¤Ö½÷¡A±q¤G¹s¤@¤¦~¤K¤ë¤Q¤é°_¡F
±i®aÙy©M±ç咏¬ü¡A±q¤G¹s¤@¤¦~¤K¤ë¤G¤Q¥|¤é°_¡C
ºK¿ý¦Û§½ªø©ó¤G¹s¤@¤¦~¤K¤ë¤C¤é¤§§å¥Ü¡G
À³±ç²Qs¤§n¨D¡A¨ä¦b¥»§½¾á¥ô²Ä¤@¾¶¥¤@¯ëªA°È§U²zû¤§´²¦ì¦X¦P¡A¦Û¤G¹s¤@¤¦~¤K¤ë¤T¤Q¤@¤é°_¤©¥H¸Ñ°£¡C
ºK¿ý¦Û§½ªø©ó¤G¹s¤@¤¦~¤K¤ë¤Q¥|¤éªº§å¥Ü¡G
®Ú¾Ú²{¦æ¡m¿Dªù¤½¦@¦æ¬F¤u§@¤Hû³q«h¡n²Ä¤G¤Q¤±ø¤Î²Ä¤G¤Q¤»±ø³W©w¡A¥»§½¥H½s¨î¥~¦X¦P¤è¦¡¸u¥ÎÁé§ö®ç¾á¥ô²Ä¤@¾¶¥¤@¯ÅÅ@¤h¡A¬°´Á¤@¦~¡A¦Û¤G¹s¤@¤¦~¤E¤ë¤Q¤@¤é°_¥Í®Ä¡C
ºK¿ý¦Û¥N§½ªø©ó¤G¹s¤@¤¦~¤K¤ë¤G¤Q¤»¤é¤§§å¥Ü¡G
¼B²ú¡X¡X®Ú¾Ú²{¦æ¡m¿Dªù¤½¦@¦æ¬F¤u§@¤Hû³q«h¡n²Ä¤G¤Q¤C±ø¤Î²Ä¤G¤Q¤K±ø¤§³W©w¡A±q¤G¹s¤@¤¦~¤K¤ë¤T¤Q¤@¤é°_¡A¥H¸Õ¥Î´Á©Ê½èªº´²¦ì¦X¦P¤è¦¡Àò¸u¥Î¬°²Ä¤@¾¶¥¤Gµ¥§Þ³Nû¡A¬°´Á¤»Ó¤ë¡C
«ö·Ó°Æ§½ªø©ó¤G¹s¤@¤¦~¤E¤ë¤G¤Q¤G¤é¤§§å¥Ü¡G
®Öã¦V¶À,©ú«³¥ý¥Íµoµ¹¡§«H¤ßÃĩС]¦^¤O¤À©±¡^¡¨ã·Ó¡A½s¸¹¬°²Ä248¸¹¥H¤Î¨äÀç·~¦aÂI¬°¿Dªù®ü´äµó71¸¹°ê»Ú¤¤¤ßI¡]²Ä¤@®y¡^¦a¤UBJ®y¡]A°Ï¡^¤Î»Õ¥J¡A¦í§}¦ì©ó¿Dªù¿N¦ÇÄlµó24¸¹®p´ºªá¶é11¼ÓC¡C
¡X¡X¡X
«ö·Ó¤G¹s¤@¤¦~¤E¤ë¤G¤Q¤T¤é¥»§½¤@¯ë½Ã¥ÍÅ@²z°Æ§½ªøªº§å¥Ü¡G
Á°¶·s¡X¡XÀòã³\±q¨ÆÅ@¤h¾·~¡AµP·Ó½s¸¹¬O¡GE-2462¡C
¡X¡X¡X
¨ú®ø®]¥ò°¶²ÄD-0062¸¹¤ú¬ìÂå¥Í°õ·~µP·Ó¤§³\¥i¡A¦]¨ä¨S¼i¦æ¤¤ë¤Q¤K¤é²Ä20/98/M¸¹ªk¥O×qªº¤Q¤G¤ë¤T¤Q¤@¤é²Ä84/90/M¸¹ªk¥O²Ä¤Q¤T±ø²Ä¤G´Ú¤§³W©w¡C
¡X¡X¡X
Ãö¥ú¦i¡B´ö¹F¥ú¡X¡XÀ³¨än¨D¡A¤À§O¤¤¤î²ÄM-0119¡BM-2089¸¹Âå¥Í°õ·~µP·Ó¤§³\¥i¡A¬°´Á¨â¦~¡C
¡X¡X¡X
»¯§Ó¨}¡X¡XÀòã³\±q¨ÆÂå¥Í¾·~¡AµP·Ó½s¸¹¬O¡GM-2179¡C
¡X¡X¡X
»¯§Ó¨}¡X¡XÀòã³\±q¨Æ¤¤Âå¥Í¾·~¡AµP·Ó½s¸¹¬O¡GW-0530¡C
¡X¡X¡X
§d°·ªY¡X¡XÀ³¨än¨D¡A¤¤¤î²ÄT-0103¸¹¶EÀø»²§U§Þ³Nû¡]Á{§É¤ÀªR¤Î¤½¦@½Ã¥Í¡^°õ·~µP·Ó¤§³\¥i¡A¬°´Á¨â¦~¡C
¡X¡X¡X
¿cµúªÛ¡B³¯¹Å±Ó¡X¡XÀ³¨än¨D¡A¤À§O¨ú®ø²ÄT-0192¡BT-0280¸¹¶EÀø»²§U§Þ³Nû¡]Á{§É¤ÀªR¤Î¤½¦@½Ã¥Í¡^°õ·~µP·Ó¤§³\¥i¡C
¡X¡X¡X
«ö·Ó°Æ§½ªø©ó¤G¹s¤@¤¦~¤E¤ë¤G¤Q¥|¤é¤§§å¥Ü¡G
®Öãã·Ó½s¸¹¬°²Ä134¸¹ªºÃĪ«²£«~¥X¤J¤f¤Î§åµo°Ó¸¹¡§´¼Áp¡¨ªºªF¥D¡X¡X§Q¦h«Â¶T©ö¦³¤½¥qªk¤H¦í©ÒªºÅܧó¡A·s§}¦ì©ó¿Dªù¦è§|µó5A-5B¸¹¸tµ½¤j·H¦a¤U¡C
¡X¡X¡X
®Öãã·Ó½s¸¹¬°²Ä243¸¹ªºÃĪ«²£«~¥X¤J¤f¤Î§åµo°Ó¸¹¡§¼w°ê¤Ñ©ú¶T©ö¦æ¡¨·h¾E¡A·s§}¦ì©ó¿Dªù©M¼Öµó67¤Î71¸¹¤Î©M¼Ö§{¤@µó60¤Î74¸¹§»¼w¤u·~¤j·H3¼ÓF®y¡AªF¥D¦í§}¦ì©ó¿Dªù©M¼Öµó67¤Î71¸¹§»¼w¤u·~¤j·H3¼ÓF®y¡C
¡X¡X¡X
®Öã¦VÃô®õÃĩЦ³¤½¥qµoµ¹¡§Ãô®õÃĩС¨ã·Ó¡A½s¸¹¬°²Ä249¸¹¥H¤Î¨äÀç·~¦aÂI¬°¿Dªù¶Â¨FÀô¤¤µó523¸¹¼sºÖ¦wªá¶é²Ä¤»®y¦a¤UI®y¡Aªk¤H¦a§}¦ì©ó¿Dªù¶Â¨FÀô¤¤µó523¸¹¼sºÖ¦wªá¶é²Ä¤»®y¦a¤UI®y¡C
¡X¡X¡X
«ö·Ó¤G¹s¤@¤¦~¤E¤ë¤G¤Q¤¤é¥»§½¤@¯ë½Ã¥ÍÅ@²z¥N°Æ§½ªøªº§å¥Ü¡G
¿ÄRªY¡B¿c®a¼^¡Bðºö´@¡X¡XÀòã³\±q¨ÆÅ@¤h¾·~¡AµP·Ó½s¸¹¤À§O¬O¡GE-2463¡BE-2464¡BE-2465¡C
¡X¡X¡X
ĬªÚ©É¡X¡XÀòã³\±q¨ÆÂå¥Í¾·~¡AµP·Ó½s¸¹¬O¡GM-2180¡C
¡X¡X¡X
¼ï¹ÅÀç¡B³Á¹ÅÀÚ¡BªL±Ó®R¡B±i¥Ã¾W¡X¡XÀòã³\±q¨Æ¤¤Âå¥Í¾·~¡AµP·Ó½s¸¹¤À§O¬O¡GW-0531¡BW-0532¡BW-0533¡BW-0534¡C
¡X¡X¡X
§õ¿o°a¡X¡XÀòã³\±q¨ÆªvÀø®v¡]ª«²zªvÀø¡^¾·~¡AµP·Ó½s¸¹¬O¡GT-0412¡C
Án ©ú
®Ú¾Ú²{¦æ¡m¿Dªù¤½¦@¦æ¬F¤u§@¤Hû³q«h¡n²Ä¥|¤Q¤±øªº³W©w¡A¥»§½½T©w©e¥ô¤Hû²Ä¤G¾¶¥¤@¯ÅÅ@¤h¥ÌÄRµ×¡A¦Û¤G¹s¤@¤¦~¤E¤ë¤G¤é°_¡A§Y¦bªÀ·|¤u§@§½¾á¥ô¾°È¤§¤é°_²×¤î©ó¥»§½ªºÂ¾°È¡C
®Ú¾Ú²{¦æ¡m¿Dªù¤½¦@¦æ¬F¤u§@¤Hû³q«h¡n²Ä¥|¤Q¤±øªº³W©w¡A¥»§½½s¨î¥~¦X¦P¤Hû²Ä¤@¾¶¥¤Gµ¥§Þ³N»²¾Éû¶À¼z¬À¡A¦Û¤G¹s¤@¤¦~¤E¤ë¤C¤é°_¡A§Y¦bªÀ·|¤u§@§½¾á¥ô¾°È¤§¤é°_²×¤î©ó¥»§½ªºÂ¾°È¡C
¨F¥ÉÄ_¡X¡X¥H©w´Á©e¥ô¤è¦¡¦b¥»§½¶i¦æ¤Gµ¥½Ã¥Í·þ¹îªº¯S§O°ö°V¡AÀ³¨än¨D¡A¦Û¤G¹s¤@¤¦~¤E¤ë¥|¤é°_²×¤î¨ä¦b¥»§½¤§Â¾°È¡A¨Ãªð¦^쳡ªù¡C
¡X¡X¡X
¤G¹s¤@¤¦~¤E¤ë¤G¤Q¤E¤é©ó½Ã¥Í§½
§½ªø §õ®i¼í
±Ð ¨| º[ «C ¦~ §½
§å ¥Ü ºK ¿ý
ºK¿ý¦ÛªÀ·|¤å¤Æ¥q¥qªø¤G¹s¤@¤¦~¤E¤ë¥|¤é§å¥Ü¡G
Ana Margarida Lopes de Albuquerque¡X¡X®Ú¾Ú²Ä14/2009¸¹ªk«ß²Ä¤Q¥|±ø¤Îªþ¥ó¤@ªí¤G¡A¥H¤Î²{¦æ¡m¿Dªù¤½¦@¦æ¬F¤u§@¤Hû³q«h¡n²Ä¤G¤Q¤±ø©M²Ä¤G¤Q¤»±øªº³W©w¡A¥Hªþµù§Î¦¡×§ï½s¨î¥~¦X¦P²Ä¤T±ø´Ú¡AÂର¥»§½²Ä¤@¾¶¥º®u§Þ³Nû¡AÁ~ÄÂI¬°450¡A¦Û¤G¹s¤@¤¦~¤E¤ë¤Q¤»¤é°_¥Í®Ä¡C
ºK¿ý¦Û¥»§½§½ªø¤G¹s¤@¤¦~¤E¤ë¤E¤é§å¥Ü¡G
À³²öÜåÞmªº½Ð¨D¡A¨ä¦b¥»§½¾á¥ô²Ä¤@¾¶¥¤Gµ¥§Þ³Nû¾°Èªº½s¨î¥~¦X¦P¡A¦Û¤G¹s¤@¤¦~¤E¤ë¤Q¤»¤é°_¤©¥H¸Ñ°£¡C
¡X¡X¡X
¤G¹s¤@¤¦~¤E¤ë¤G¤Q¤¤é©ó±Ð¨|º[«C¦~§½
¥N§½ªø ¦Ñ¬f¥Í¡]°Æ§½ªø¡^
¤å ¤Æ §½
§å ¥Ü ºK ¿ý
ºK¿ý¦Û¥»§½¥N§½ªø©ó¤G¹s¤@¤¦~¤C¤ë¤T¤Q¤@¤é§@¥Xªº§å¥Ü¡G
®Ú¾Ú²{¦æ¡m¿Dªù¤½¦@¦æ¬F¤u§@¤Hû³q«h¡n²Ä¤G¤Q¤±ø¤Î²Ä¤G¤Q¤»±ø¡A¥H¤Î²Ä14/2009¸¹ªk«ß²Ä¤Q¤T±øªº³W©w¡A¥Hªþµù§Î¦¡×§ï¦ó´¹´¹¦b¥»§½¾á¥ô¾°Èªº½s¨î¥~¦X¦P²Ä¤T±ø´Ú¡A®Ê¶¥¦Ü²Ä¤G¾¶¥¤Gµ¥§Þ³Nû¡AÁ~ÄÂI¬°370¡A¦Û¤G¹s¤@¤¦~¤C¤ë¤@¤é°_¥Í®Ä¡C
ºK¿ý¦Û¦æ¬Fªø©x©ó¤G¹s¤@¤¦~¤K¤ë¤Q¤G¤é§@¥Xªº§å¥Ü¡G
®Ú¾Ú¡m¿Dªù¯S§O¦æ¬F°Ï°ò¥»ªk¡n²Ä¤E¤Q¤C±ø¤Î²Ä5/2010¸¹¦æ¬Fªk³Wק諸¤Q¤G¤ë¤Q¤E¤é²Ä63/94/M¸¹ªk¥O²Ä¤G¤Q¤@±ø²Ä¤G´Úªº³W©w¡A·¨¾å¦|¦b¥»§½¾á¥ôºtÃÀ¾Ç°|²Ä¤G¾¶¥¤¤¾Ç±Ð¨|¤G¯Å±Ð®vªºÓ¤H³Ò°Ê¦X¦PÄò´Á¨â¦~¡A¦Û¤G¹s¤@¤¦~¤Q¤G¤ë¤@¤é°_¥Í®Ä¡C
ºK¿ý¦Û¦æ¬Fªø©x©ó¤G¹s¤@¤¦~¤K¤ë¤T¤Q¤@¤é§@¥Xªº§å¥Ü¡G
®Ú¾Ú¡m¿Dªù¯S§O¦æ¬F°Ï°ò¥»ªk¡n²Ä¤E¤Q¤C±ø¤Î²Ä5/2010¸¹¦æ¬Fªk³Wק諸¤Q¤G¤ë¤Q¤E¤é²Ä63/94/M¸¹ªk¥O²Ä¤G¤Q¤@±ø²Ä¤G´Úªº³W©w¡A°ªªå¦b¥»§½¾á¥ôºtÃÀ¾Ç°|²Ä¤G¾¶¥¤¤¾Ç±Ð¨|¤G¯Å±Ð®vªºÓ¤H³Ò°Ê¦X¦PÄò´Á¤@¦~¡A¦Û¤G¹s¤@¤¦~¤Q¤ë¤Q¤@¤é°_¥Í®Ä¡C
Án ©ú
¬°µÛ¦³Ãö®Ä¤O¡A¯÷Án©ú¡A¥»§½½s¨î¥~¦X¦P²Ä¤@¾¶¥º®u¯S¯Å¦æ¬F§Þ³N§U²zû©ö±ê°¶¡A¦]¹F¦~ÄÖ¤W¡A®Ú¾Ú²{¦æ¡m¿Dªù¤½¦@¦æ¬F¤u§@¤Hû³q«h¡n²Ä¥|¤Q¥|±ø¤§³W©w¡A¦Û¤G¹s¤@¤¦~¤Q¤ë¤»¤é°_²×¤î¾°È¡C
¡X¡X¡X
¤G¹s¤@¤¦~¤E¤ë¤G¤Q¤E¤é©ó¤å¤Æ§½
§½ªø §d½Ã»ï
®È ¹C §½
§å ¥Ü ºK ¿ý
ºK¿ý¦ÛªÀ·|¤å¤Æ¥q¥qªø©ó¤G¹s¤@¤¦~¤¤ë¤G¤Q¤E¤é§@¥Xªº§å¥Ü¡G
®Ú¾Ú²{¦æ¡m¿Dªù¤½¦@¦æ¬F¤u§@¤Hû³q«h¡n²Ä¤G¤Q¤±ø¤Î²Ä¤G¤Q¤»±ø¤§³W©w¡A¥H½s¨î¥~¦X¦P¤è¦¡¸u¥Î¥q®{®¶§»¦Û¤G¹s¤@¤¦~¤K¤ë¤T¤é°_¦b¥»§½¾á¥ô²Ä¤@¾¶¥¤Gµ¥§Þ³N»²¾Éû¡AÁ~ÄÂI¬°260¡A¬°´Á¤@¦~¡C
ºK¿ý¦ÛªÀ·|¤å¤Æ¥q¥qªø©ó¤G¹s¤@¤¦~¤»¤ë¤Q¤@¤é§@¥Xªº§å¥Ü¡G
®Ú¾Ú²{¦æ¡m¿Dªù¤½¦@¦æ¬F¤u§@¤Hû³q«h¡n²Ä¤G¤Q¤±ø¤Î²Ä¤G¤Q¤»±ø¤§³W©w¡A¥H½s¨î¥~¦X¦P¤è¦¡¸u¥Î³s¨q琼¦Û¤G¹s¤@¤¦~¤K¤ë¤T¤é°_¦b¥»§½¾á¥ô²Ä¤@¾¶¥¤Gµ¥§Þ³N»²¾Éû¡AÁ~ÄÂI¬°260¡A¬°´Á¤@¦~¡C
®Ú¾Ú²{¦æ¡m¿Dªù¤½¦@¦æ¬F¤u§@¤Hû³q«h¡n²Ä¤G¤Q¤±ø¤Î²Ä¤G¤Q¤»±ø¤§³W©w¡A¥H½s¨î¥~¦X¦P¤è¦¡¸u¥Î³¯§Ó½÷¦Û¤G¹s¤@¤¦~¤K¤ë¤¤é°_¦b¥»§½¾á¥ô²Ä¤@¾¶¥¤Gµ¥§Þ³N»²¾Éû¡AÁ~ÄÂI¬°260¡A¬°´Á¤@¦~¡C
®Ú¾Ú²{¦æ¡m¿Dªù¤½¦@¦æ¬F¤u§@¤Hû³q«h¡n²Ä¤G¤Q¤±ø¤Î²Ä¤G¤Q¤»±ø¤§³W©w¡A¥H½s¨î¥~¦X¦P¤è¦¡¸u¥Î¨¿§®«C¦Û¤G¹s¤@¤¦~¤K¤ë¤C¤é°_¦b¥»§½¾á¥ô²Ä¤@¾¶¥¤Gµ¥§Þ³N»²¾Éû¡AÁ~ÄÂI¬°260¡A¬°´Á¤@¦~¡C
®Ú¾Ú²{¦æ¡m¿Dªù¤½¦@¦æ¬F¤u§@¤Hû³q«h¡n²Ä¤G¤Q¤±ø¤Î²Ä¤G¤Q¤»±ø¤§³W©w¡A¥H½s¨î¥~¦X¦P¤è¦¡¸u¥Î³¢«º¤Î¶À¥É¼y¦Û¤G¹s¤@¤¦~¤K¤ë¤Q¤é°_¦b¥»§½¾á¥ô²Ä¤@¾¶¥¤Gµ¥§Þ³N»²¾Éû¡AÁ~ÄÂI¬°260¡A¬°´Á¤@¦~¡C
®Ú¾Ú²{¦æ¡m¿Dªù¤½¦@¦æ¬F¤u§@¤Hû³q«h¡n²Ä¤G¤Q¤±ø¤Î²Ä¤G¤Q¤»±ø¤§³W©w¡A¥H½s¨î¥~¦X¦P¤è¦¡¸u¥Î©öÅ©y¦Û¤G¹s¤@¤¦~¤K¤ë¤Q¤G¤é°_¦b¥»§½¾á¥ô²Ä¤@¾¶¥¤Gµ¥§Þ³N»²¾Éû¡AÁ~ÄÂI¬°260¡A¬°´Á¤@¦~¡C
®Ú¾Ú²{¦æ¡m¿Dªù¤½¦@¦æ¬F¤u§@¤Hû³q«h¡n²Ä¤G¤Q¤±ø¤Î²Ä¤G¤Q¤»±ø¤§³W©w¡A¥H½s¨î¥~¦X¦P¤è¦¡¸u¥Î³¯®a½÷¦Û¤G¹s¤@¤¦~¤K¤ë¤Q¤C¤é°_¦b¥»§½¾á¥ô²Ä¤@¾¶¥¤Gµ¥§Þ³N»²¾Éû¡AÁ~ÄÂI¬°260¡A¬°´Á¤@¦~¡C
Án ©ú
¬°µÛ¦³Ãö¤§®Ä¤O¡A¯÷Án©ú¡G´¿¾á¥ô®È¹C§½¤Hû½s¨î²Ä¤T¾¶¥¯S¯Å§Þ³Nû¸ë¬ü²ú¡A¦]±j¨î°h¥ð¡A¦Û¤G¹s¤@¤¦~¤E¤ë¤Q¤@¤é°_¡A²×¤î©ó¥»§½¤§©Ò¦³Â¾°È¡C
§ó ¥¿
Ų©ó¥Zµn©ó¤G¹s¤@¤¦~¤K¤ë¤G¤Q¤»¤é²Ä¤T¤Q¥|´Á¡m¿Dªù¯S§O¦æ¬F°Ï¤½³ø¡n²Ä¤G²Õ¤º²Ä17532¶¤§§å¥ÜºK¿ý¸²¤å¤å¥»¦s¦b¦³¤£¥¿½T¤§³B¡A²{§ó¥¿¦p¤U¡G
ì¤å¬°¡G
¡§Si Tou Siu Hei Silva...¡¨
À³§ï¬°¡G
¡§Si Tou Siu Hei Silvia...¡¨¡C
¡X¡X¡X
¤G¹s¤@¤¦~¤E¤ë¤G¤Q¤¤é©ó®È¹C§½
§½ªø ¤åºöµØ
¤g ¦a ¤u °È ¹B ¿é §½
§å ¥Ü ºK ¿ý
ºK¿ý¦Û¥»§½§½ªø©ó¤G¹s¤@¤¦~¤K¤ë¤Q¤E¤é§@¥Xªº§å¥Ü¡G
À³¬xª÷^ªº½Ð¨D¡A¨ä¦b¥»§½¾á¥ô²Ä¤@¾¶¥¤Gµ¥¦æ¬F§Þ³N§U²zûªº½s¨î¥~¦X¦P¥Ñ¤G¹s¤@¤¦~¤E¤ë¤G¤Q¤E¤é°_¤©¥H¸Ñ°£¡C
ºK¿ý¦Û§½ªø©ó¤G¹s¤@¤¦~¤E¤ë¤C¤é§@¥Xªº§å¥Ü¡G
±i§Ó»¨¡A²Ä¤@¾¶¥¤@µ¥§Þ³N»²¾Éû¡X¡X®Ú¾Ú¤Q¤G¤ë¤G¤Q¤@¤é²Ä87/89/M¸¹ªk¥O®Öã¡A¨Ã¸g¤Q¤G¤ë¤G¤Q¤K¤é²Ä62/98/M¸¹ªk¥O×q¤§¡m¿Dªù¤½¦@¦æ¬F¤u§@¤Hû³q«h¡n²Ä¤G¤Q¤±ø¤Î²Ä¤G¤Q¤»±ø¤§³W©w¡A¨ä½s¨î¥~¦X¦PÀòÄò´Á¤@¦~¡A¥Ñ¤G¹s¤@¤¦~¤Q¤ë¤Q¤»¤é°_¥Í®Ä¡C
ºK¿ý¦Û¥»§½¦æ¬Fº[°]¬FÆUÆUªø©ó¤G¹s¤@¤¦~¤E¤ë¤K¤é§@¥Xªº§å¥Ü¡G
±i¹Å¨à¡A²Ä¤@¾¶¥¤@µ¥Â½Ä¶û¡AÄݽs¨î¥~¦X¦P¡X¡X®Ú¾Ú¤Q¤G¤ë¤G¤Q¤@¤é²Ä87/89/M¸¹ªk¥O®Öã¡A¨Ã¸g¤Q¤G¤ë¤G¤Q¤K¤é²Ä62/98/M¸¹ªk¥O×q¤§¡m¿Dªù¤½¦@¦æ¬F¤u§@¤Hû³q«h¡n²Ä¤G¤Q¤±ø¤Î²Ä¤G¤Q¤»±ø¡A¥H¤Î²Ä14/2009¸¹ªk«ß¡m¤½°È¤Hû¾µ{¨î«×¡n²Ä¤Q¤T±ø²Ä¤@´Ú¡]¤G¡^¶µ¤Î²Ä¥|´Ú¤§³W©w¡A¥Hªþµù§Î¦¡§ó§ï¨ä½s¨î¥~¦X¦P²Ä¤T±ø´Ú¡A¥Ñ¤G¹s¤@¤¦~¤K¤ë¤G¤Q¤¤é°_¡AÂର²Ä¤G¾¶¥¤@µ¥Â½Ä¶û¡A¦X¦P¨ä¥L±ø¥óºû«ù¤£ÅÜ¡C
°ÏÄ£¦w¤Î³¯¨Ø·ì¡A²Ä¤@¾¶¥ÅU°Ý°ª¯Å§Þ³Nû¡AÄݽs¨î¥~¦X¦P¡X¡X®Ú¾Ú¤Q¤G¤ë¤G¤Q¤@¤é²Ä87/89/M¸¹ªk¥O®Öã¡A¨Ã¸g¤Q¤G¤ë¤G¤Q¤K¤é²Ä62/98/M¸¹ªk¥O×q¤§¡m¿Dªù¤½¦@¦æ¬F¤u§@¤Hû³q«h¡n²Ä¤G¤Q¤±ø¤Î²Ä¤G¤Q¤»±ø¡A¥H¤Î²Ä14/2009¸¹ªk«ß¡m¤½°È¤Hû¾µ{¨î«×¡n²Ä¤Q¤T±ø²Ä¤@´Ú¡]¤G¡^¶µ¤Î²Ä¥|´Ú¤§³W©w¡A¥Hªþµù§Î¦¡§ó§ï¨äµ¥½s¨î¥~¦X¦P²Ä¤T±ø´Ú¡A¥Ñ¤G¹s¤@¤¦~¤E¤ë¤¤é°_¡AÂର²Ä¤G¾¶¥ÅU°Ý°ª¯Å§Þ³Nû¡A¦X¦P¨ä¥L±ø¥óºû«ù¤£ÅÜ¡C
ºK¿ý¦Û¹B¿é¤u°È¥q¥qªø©ó¤G¹s¤@¤¦~¤E¤ë¤E¤é§@¥Xªº§å¥Ü¡G
»¯¿A®¦¡A²Ä¤G¾¶¥º®u§Þ³N»²¾Éû¡AÄݽs¨î¥~¦X¦P¡X¡X®Ú¾Ú¤Q¤G¤ë¤G¤Q¤@¤é²Ä87/89/M¸¹ªk¥O®Öã¡A¨Ã¸g¤Q¤G¤ë¤G¤Q¤K¤é²Ä62/98/M¸¹ªk¥Oק諸¡m¿Dªù¤½¦@¦æ¬F¤u§@¤Hû³q«h¡n²Ä¤G¤Q¤±ø¤Î²Ä¤G¤Q¤»±ø¡A¥H¤Î²Ä14/2009¸¹ªk«ß²Ä¤Q¥|±ø²Ä¤@´Ú¡]¤G¡^¶µ¡A¥H¤Î²Ä23/2011¸¹¦æ¬Fªk³W²Ä¤G¤Q¤E±ø²Ä¤@´Úªº³W©w¡A¥Hªþµù§Î¦¡×§ï¨ä½s¨î¥~¦X¦P²Ä¤T±ø´Ú¡A¦Û¤G¹s¤@¤¦~¤E¤ë¤Q¤é°_¡AÂର²Ä¤@¾¶¥¯S¯Å§Þ³N»²¾Éû¡A¦X¦P¨ä¥L±ø¥óºû«ù¤£ÅÜ¡C
³\©÷¤å¡X¡X®Ú¾Ú¤Q¤G¤ë¤G¤Q¤@¤é²Ä87/89/M¸¹ªk¥O®Öã¡A¨Ã¸g¤Q¤G¤ë¤G¤Q¤K¤é²Ä62/98/M¸¹ªk¥O×q¤§¡m¿Dªù¤½¦@¦æ¬F¤u§@¤Hû³q«h¡n²Ä¤G¤Q¤±ø¤Î²Ä¤G¤Q¤»±ø¤§³W©w¡A¥H½s¨î¥~¦X¦P¤è¦¡Àò¸u¥ô¬°¥»§½²Ä¤@¾¶¥¤Gµ¥°ª¯Å§Þ³Nû¡A¦X¦P¥Ñ¤G¹s¤@¤¦~¤Q¤ë¤@¤é°_¥Í®Ä¡A¬°´Á¤@¦~¡C
³¯¶i»¨¡X¡X®Ú¾Ú¤Q¤G¤ë¤G¤Q¤@¤é²Ä87/89/M¸¹ªk¥O®Öã¡A¨Ã¸g¤Q¤G¤ë¤G¤Q¤K¤é²Ä62/98/M¸¹ªk¥O×q¤§¡m¿Dªù¤½¦@¦æ¬F¤u§@¤Hû³q«h¡n²Ä¤G¤Q¤C±ø¤Î²Ä¤G¤Q¤K±ø¤§³W©w¡A¥H´²¦ì¦X¦P¤è¦¡Àò¸u¥ô¬°¥»§½²Ä¤@¾¶¥§Þ³N¤u¤H¡A¦X¦P¥Ñ¤G¹s¤@¤¦~¤Q¤ë¤@¤é°_¥Í®Ä¡A¬°´Á¤@¦~¡C
«ö·Ó²Ä14/2009¸¹ªk«ß²Ä¤Q¥|±ø²Ä¤@´Ú¡]¤@¡^¶µ¡A²Ä23/2011¸¹¦æ¬Fªk³W²Ä¤G¤Q¤E±ø²Ä¤@´Ú¥H¤Î¤Q¤G¤ë¤G¤Q¤@¤é²Ä87/89/M¸¹ªk¥O®Öã¡A¨Ã¸g¤Q¤G¤ë¤G¤Q¤K¤é²Ä62/98/M¸¹ªk¥O×q¤§¡m¿Dªù¤½¦@¦æ¬F¤u§@¤Hû³q«h¡n²Ä¤G¤Q¤G±ø²Ä¤K´Úa¡^¶µ¤§³W©w¡A¥H½T©w©e¥ô¤è¦¡©e¥ô¦³Ãö¶}¦Ò¤§µû®Ö¦W³æ¤¤°ß¤@¦X®æÀ³¦Ò¤H§õ¹Åë¾á¥ô¥»§½½s¨î²Ä¤@¾¶¥º®u¯S¯Å¦æ¬F§Þ³N§U²zû¡C
§õÄR»ö¡B¸³¾A¡B¶À°·«Â¡B³Á´¼ÂסB±ç¥Ã¹F¡B±ç®a³Ç¡B¿½°·«Â¡B¼ÚêM珉¤Î¨¿«Ø½÷¡X¡X®Ú¾Ú¤Q¤G¤ë¤G¤Q¤@¤é²Ä87/89/M¸¹ªk¥O®Öã¡A¨Ã¸g¤Q¤G¤ë¤G¤Q¤K¤é²Ä62/98/M¸¹ªk¥O×q¤§¡m¿Dªù¤½¦@¦æ¬F¤u§@¤Hû³q«h¡n²Ä¤G¤Q¤±ø¤Î²Ä¤G¤Q¤»±ø¤§³W©w¡A¥H½s¨î¥~¦X¦P¤è¦¡Àò¸u¥ô¬°¥»§½²Ä¤@¾¶¥¤Gµ¥§Þ³Nû¡A¦X¦P¥Ñ¤G¹s¤@¤¦~¤Q¤ë¤@¤é°_¥Í®Ä¡A¬°´Á¤@¦~¡C
®]ª÷Äõ¤ÎÁé¾å¥Í¡A²Ä¤G¾¶¥¤@µ¥§Þ³N»²¾Éû¡AÄݽs¨î¥~¦X¦P¡X¡X®Ú¾Ú¤Q¤G¤ë¤G¤Q¤@¤é²Ä87/89/M¸¹ªk¥O®Öã¡A¨Ã¸g¤Q¤G¤ë¤G¤Q¤K¤é²Ä62/98/M¸¹ªk¥Oק諸¡m¿Dªù¤½¦@¦æ¬F¤u§@¤Hû³q«h¡n²Ä¤G¤Q¤±ø¤Î²Ä¤G¤Q¤»±ø¡A²Ä14/2009¸¹ªk«ß²Ä¤Q¥|±ø²Ä¤@´Ú¡]¤G¡^¶µ¡A¥H¤Î²Ä23/2011¸¹¦æ¬Fªk³W²Ä¤G¤Q¤E±ø²Ä¤@´Úªº³W©w¡A¥Hªþµù§Î¦¡×§ï¨äµ¥½s¨î¥~¦X¦P²Ä¤T±ø´Ú¡A¥Ñ¤G¹s¤@¤¦~¤E¤ë¤Q¤é°_¡AÂର²Ä¤@¾¶¥º®u§Þ³N»²¾Éû¡A¦X¦P¨ä¥L±ø¥óºû«ù¤£ÅÜ¡C
ºK¿ý¦Û¹B¿é¤u°È¥q¥qªø©ó¤G¹s¤@¤¦~¤E¤ë¤Q¥|¤é§@¥Xªº§å¥Ü¡G
¦ó¥Ã±j¡A²Ä¤G¾¶¥¤@µ¥°ª¯Å§Þ³Nû¡AÄݽs¨î¥~¦X¦P¡X¡X®Ú¾Ú¤Q¤G¤ë¤G¤Q¤@¤é²Ä87/89/M¸¹ªk¥O®Öã¡A¨Ã¸g¤Q¤G¤ë¤G¤Q¤K¤é²Ä62/98/M¸¹ªk¥Oק諸¡m¿Dªù¤½¦@¦æ¬F¤u§@¤Hû³q«h¡n²Ä¤G¤Q¤±ø¤Î²Ä¤G¤Q¤»±ø¡A²Ä14/2009¸¹ªk«ß²Ä¤Q¥|±ø²Ä¤@´Ú¡]¤G¡^¶µ¡A¥H¤Î²Ä23/2011¸¹¦æ¬Fªk³W²Ä¤G¤Q¤E±ø²Ä¤@´Úªº³W©w¡A¥Hªþµù§Î¦¡×§ï¨ä½s¨î¥~¦X¦P²Ä¤T±ø´Ú¡A¦Û¤G¹s¤@¤¦~¤E¤ë¤Q¤»¤é°_¡AÂର²Ä¤@¾¶¥º®u°ª¯Å§Þ³Nû¡A¦X¦P¨ä¥L±ø¥óºû«ù¤£ÅÜ¡C
ÃÓÄ£«T¡A²Ä¤G¾¶¥¤Gµ¥§Þ³N»²¾Éû¡AÄݽs¨î¥~¦X¦P¡X¡X®Ú¾Ú¤Q¤G¤ë¤G¤Q¤@¤é²Ä87/89/M¸¹ªk¥O®Öã¡A¨Ã¸g¤Q¤G¤ë¤G¤Q¤K¤é²Ä62/98/M¸¹ªk¥Oק諸¡m¿Dªù¤½¦@¦æ¬F¤u§@¤Hû³q«h¡n²Ä¤G¤Q¤±ø¤Î²Ä¤G¤Q¤»±ø¡A²Ä14/2009¸¹ªk«ß²Ä¤Q¥|±ø²Ä¤@´Ú¡]¤G¡^¶µ¡A¥H¤Î²Ä23/2011¸¹¦æ¬Fªk³W²Ä¤G¤Q¤E±ø²Ä¤@´Úªº³W©w¡A¥Hªþµù§Î¦¡×§ï¨ä½s¨î¥~¦X¦P²Ä¤T±ø´Ú¡A¦Û¤G¹s¤@¤¦~¤E¤ë¤Q¤¤é°_¡AÂର²Ä¤@¾¶¥¤@µ¥§Þ³N»²¾Éû¡A¦X¦P¨ä¥L±ø¥óºû«ù¤£ÅÜ¡C
¡X¡X¡X
¤G¹s¤@¤¦~¤E¤ë¤G¤Q¤E¤é©ó¤g¦a¤u°È¹B¿é§½
¥N§½ªø ¼B®¶·É
®ü ¨Æ ¤Î ¤ô °È §½
§å ¥Ü ºK ¿ý
ºK¿ý¦Û¹B¿é¤u°È¥q¥qªø©ó¤G¹s¤@¤¦~¤E¤ë¤E¤é§@¥Xªº§å¥Ü¡G
®Ú¾Ú²Ä15/2009¸¹ªk«ß²Ä¤G±ø²Ä¤T´Ú¡]¤@¡^¶µ¡B²Ä¥|±ø¤Î²Ä¤±ø¡A¨Ãµ²¦X²Ä26/2009¸¹¦æ¬Fªk³W²Ä¤G±ø²Ä¤G´Ú¡B²Ä¤T±ø²Ä¤@´Ú¡B²Ä¤±ø©M²Ä¤C±ø¡A¥H¤Î²Ä14/2013¸¹¦æ¬Fªk³W²Ä¤±ø²Ä¤T´Ú¡]¤G¡^¶µ¡A²{¦æ¡m¿Dªù¤½¦@¦æ¬F¤u§@¤Hû³q«h¡n²Ä¤G¤Q±ø²Ä¤@´Úb¡^¶µ¤Î²Ä¤G¤Q¤T±ø²Ä¤@´Úa¡^¶µªº³W©w¡A¥H©w´Á©e¥ô¤è¦¡©e¥ô³¯©y°ûºÓ¤h¾á¥ô®ü¨Æ³Õª«À]À]ªø¡A¥Ñ¤G¹s¤@¤¦~¤Q¤ë¤C¤é°_¥Í®Ä¡A¬°´Á¤@¦~¡A¥iÄò´Á¡C¦Ó¨ä³Õª«§Þ³N³B³Bªø¤§©w´Á©e¥ô®Ú¾Ú²Ä15/2009¸¹ªk«ß²Ä¤Q¤C±ø²Ä¤@´Ú¡]¤G¡^¶µ¥Ñ¦P¤é°_²×¤î¡C
«ö·Ó²Ä15/2009¸¹ªk«ß²Ä¤±ø²Ä¤G´Úªº³W©w¡A²{¥Zµn©e¥ô²z¥Ñ¤ÎÀò©e¥ô¤Hªº¾Ç¾ú©M±M·~²¾ú¦p¤U¡G
1. ©e¥ô³¯©y°û¾á¥ô®ü¨Æ³Õª«À]À]ªø¤@¾ªº²z¥Ñ¦p¤U¡G
- ¡X¡X¾¦ì¥X¯Ê¡A¸Ó¾¦ì®Ú¾Ú²Ä14/2013¸¹¦æ¬Fªk³W¦Ó³]¥ß¡F
- ¡X¡X³¯©y°ûªºÓ¤H¼i¾úÅã¥Ü¨ä¨ã³Æ±M·~¯à¤O¤Î¤~·F¾á¥ô®ü¨Æ³Õª«À]À]ªø¤@¾¡C
2. ¾Ç¾ú¡G
- ¡X¡X¸²µå¤ú¨½´µ¥»·s¤j¾Ç³Õª«À]¾Ç»P¤å¤Æ¿ò²£ºÓ¤h¡F
- ¡X¡X¤¤¤s¤j¾Ç¦æ¬F¾ÇºÓ¤h¡F
- ¡X¡XªF¨È¤j¾ÇªÀ·|¬ì¾Ç¾Ç¤h¡C
3. ±M·~²¾ú¡G
¥qªk¨Æ°È¥q¡G
- ¡X¡X¥Ñ1990¦~9¤ë19¤é¦Ü1992¦~1¤ë31¤é¡A§Þ³Nû¡F
- ¡X¡X¥Ñ1992¦~2¤ë1¤é¦Ü1992¦~8¤ë31¤é¡A°ª¯Å§Þ³Nû¡C
®ü¨Æ¤Î¤ô°È§½¡G
- ¡X¡X¥Ñ1992¦~9¤ë1¤é¦Ü¤µ¡A°ª¯Å§Þ³Nû¡F
- ¡X¡X¥Ñ2000¦~10¤ë18¤é¦Ü¤µ¡A³Õª«§Þ³N³B³Bªø¡F
- ¡X¡X¥Ñ2015¦~4¤ë15¤é¦Ü¤µ¡A®ü¨Æ³Õª«À]¥NÀ]ªø¡C
®Ú¾Ú¤Q¤G¤ë¤G¤Q¤@¤é²Ä87/89/M¸¹ªk¥O®Ö㪺²{¦æ¡m¿Dªù¤½¦@¦æ¬F¤u§@¤Hû³q«h¡n²Ä¤G¤Q¤±ø¤Î²Ä¤G¤Q¤»±øªº³W©w¡A»P¿½¬f±d¡B©P®a»¨¡B·¨¥iªY¡B°¨¬I¼Ö¡B¥Ð«T°·¡B°K¬fºa¡B¿c®¶»¨¡B³°¤å«T¤Î¾¤«TÆGñq¬°´Á¤@¦~¤§½s¨î¥~¦X¦P¡A¾á¥ô²Ä¤@¾¶¥¤Gµ¥®ü¤W¥æ³q±±¨îû¾°È¡AÁ~ÄÂI¬°260ÂI¡A¥iÄò´Á¡Aº¤¦W¦Û¤G¹s¤@¤¦~¤Q¤ë¤Q¤T¤é¤Î³Ì«á¥|¦W¦Û¤G¹s¤@¤¦~¤Q¤ë¤G¤Q¤C¤é°_¥Í®Ä¡C
ºK¿ý¦Û¹B¿é¤u°È¥q¥qªø©ó¤G¹s¤@¤¦~¤E¤ë¤Q¤»¤é§@¥Xªº§å¥Ü¡G
®Ú¾Ú²Ä15/2009¸¹ªk«ß²Ä¤G±ø²Ä¤G´Ú¡]¤G¡^¶µ¡B²Ä¥|±ø¤Î²Ä¤±ø¡A¨Ãµ²¦X²Ä26/2009¸¹¦æ¬Fªk³W²Ä¤G±ø²Ä¤@´Ú¡B²Ä¤T±ø²Ä¤@´Ú¡B²Ä¥|±ø©M²Ä¤C±ø¡A¥H¤Î²Ä14/2013¸¹¦æ¬Fªk³W²Ä¤±ø²Ä¤@´Ú¡]¤@¡^¶µ¡A²{¦æ¡m¿Dªù¤½¦@¦æ¬F¤u§@¤Hû³q«h¡n²Ä¤G¤Q±ø²Ä¤@´Úb¡^¶µ¤Î²Ä¤G¤Q¤T±ø²Ä¤@´Úa¡^¶µªº³W©w¡A¥H©w´Á©e¥ô¤è¦¡©e¥ô±ä½ç¼w¾Ç¤h¾á¥ô®ü¨Æ¤Î¤ô°È§½°Æ§½ªø¡A¥Ñ¤G¹s¤@¤¦~¤Q¤ë¤C¤é°_¥Í®Ä¡A¬°´Á¤@¦~¡A¥iÄò´Á¡C¦Ó¨ä´ä¤fºÞ²zÆUÆUªø¤§©w´Á©e¥ô®Ú¾Ú²Ä15/2009¸¹ªk«ß²Ä¤Q¤C±ø²Ä¤@´Ú¡]¤G¡^¶µ¥Ñ¦P¤é°_²×¤î¡C
«ö·Ó²Ä15/2009¸¹ªk«ß²Ä¤±ø²Ä¤G´Úªº³W©w¡A²{¥Zµn©e¥ô²z¥Ñ¤ÎÀò©e¥ô¤Hªº¾Ç¾ú©M±M·~²¾ú¦p¤U¡G
1. ©e¥ô±ä½ç¼w¾á¥ô°Æ§½ªø¤@¾ªº²z¥Ñ¦p¤U¡G
- ¡X¡X¾¦ì¥X¯Ê¡A¸Ó¾¦ì®Ú¾Ú²Ä14/2013¸¹¦æ¬Fªk³W¦Ó³]¥ß¡F
- ¡X¡X±ä½ç¼wªºÓ¤H¼i¾úÅã¥Ü¨ä¨ã³Æ±M·~¯à¤O¤Î¤~·F¾á¥ô¥»§½°Æ§½ªø¤@¾¡C
2. ¾Ç¾ú¡G
- ¡X¡XµØ¹´¤j¾Ç¡]Hua Chiao University, R.P.C.¡^¤u¾Ç¾Ç¤h¡C
3. ±M·~²¾ú¡G
®ü¨Æ¤Î¤ô°È§½¡G
- ¡X¡X¥Ñ1995¦~5¤ë2¤é¦Ü¤µ¡A°ª¯Å§Þ³Nû¡F
- ¡X¡X¥Ñ1998¦~1¤ë9¤é¦Ü2001¦~2¤ë28¤é¡A°ò¦³]¬Iº[¹B¿é³B³Bªø¡F
- ¡X¡X¥Ñ2001¦~3¤ë1¤é¦Ü2008¦~7¤ë22¤é¡A¦w¥þÀËÅç³B³Bªø¡F
- ¡X¡X¥Ñ2008¦~6¤ë20¤é¦Ü2008¦~7¤ë22¤é¡A²î²í«Ø³y¼t¥N¼tªø¡F
- ¡X¡X¥Ñ2008¦~7¤ë23¤é¦Ü2015¦~1¤ë20¤é¡A¬F©²²î¶õ¼tªø¡F
- ¡X¡X¥Ñ2015¦~1¤ë21¤é¦Ü¤µ¡A´ä¤fºÞ²zÆUÆUªø¡F
- ¡X¡X¥Ñ2015¦~4¤ë8¤é¦Ü¤µ¡A¥N°Æ§½ªø¡C
®Ú¾Ú²Ä15/2009¸¹ªk«ß²Ä¤G±ø²Ä¤T´Ú¡]¤@¡^¶µ¡B²Ä¥|±ø¤Î²Ä¤±ø¡A¨Ãµ²¦X²Ä26/2009¸¹¦æ¬Fªk³W²Ä¤G±ø²Ä¤G´Ú¡B²Ä¤T±ø²Ä¤@´Ú¡B²Ä¤±ø©M²Ä¤C±ø¡A¥H¤Î²Ä14/2013¸¹¦æ¬Fªk³W²Ä¤±ø²Ä¤G´Ú¡]¤T¡^¶µ¡A²{¦æ¡m¿Dªù¤½¦@¦æ¬F¤u§@¤Hû³q«h¡n²Ä¤G¤Q±ø²Ä¤@´Úb¡^¶µ¤Î²Ä¤G¤Q¤T±ø²Ä¤@´Úa¡^¶µªº³W©w¡A§åã¥H©w´Á©e¥ô¤è¦¡©e¥ôð¥ÉµÓºÓ¤h¾á¥ô®ü¨Æ¤Î¤ô°È§½´ä¤fºÞ²zÆUÆUªø¡A¥Ñ¤G¹s¤@¤¦~¤Q¤ë¤C¤é°_¥Í®Ä¡A¬°´Á¤@¦~¡A¥iÄò´Á¡C¦Ó¨ä¤ô°È§Þ³N³B³Bªø¤§©w´Á©e¥ô®Ú¾Ú²Ä15/2009¸¹ªk«ß²Ä¤Q¤C±ø²Ä¤@´Ú¡]¤G¡^¶µ¥Ñ¦P¤é°_²×¤î¡C
«ö·Ó²Ä15/2009¸¹ªk«ß²Ä¤±ø²Ä¤G´Úªº³W©w¡A²{¥Zµn©e¥ô²z¥Ñ¤ÎÀò©e¥ô¤Hªº¾Ç¾ú©M±M·~²¾ú¦p¤U¡G
1. ©e¥ôð¥ÉµÓ¾á¥ô´ä¤fºÞ²zÆUÆUªø¤@¾ªº²z¥Ñ¦p¤U¡G
- ¡X¡X¾¦ì¥X¯Ê¡A¸Ó¾¦ì®Ú¾Ú²Ä14/2013¸¹¦æ¬Fªk³W¦Ó³]¥ß¡F
- ¡X¡Xð¥ÉµÓªºÓ¤H¼i¾úÅã¥Ü¨ä¨ã³Æ±M·~¯à¤O¤Î¤~·F¾á¥ô¥»§½´ä¤fºÞ²zÆUÆUªø¤@¾¡C
2. ¾Ç¾ú¡G
- ¡X¡X¤¤¤s¤j¾Ç¦æ¬FºÞ²zºÓ¤h¡F
- ¡X¡X¥xÆW¤j¾Ç¾÷±ñ¤uµ{¾Ç¨t¾Ç¤h¡C
3. ±M·~²¾ú¡G
®ü¨Æ¤Î¤ô°È§½¡G
- ¡X¡X¥Ñ1995¦~5¤ë2¤é¦Ü¤µ¡A°ª¯Å§Þ³Nû¡F
- ¡X¡X¥Ñ1998¦~8¤ë19¤é¦Ü2001¦~2¤ë28¤é¡A¦w¥þÀËÅçº[ºÊ¹î³B³Bªø¡F
- ¡X¡X¥Ñ2001¦~3¤ë1¤é¦Ü2013¦~7¤ë17¤é¡A°ò¦³]¬I¤Î¨¾¦Ã³B³Bªø¡F
- ¡X¡X¥Ñ2013¦~7¤ë18¤é¦Ü¤µ¡A¤ô°È§Þ³N³B³Bªø¡F
- ¡X¡X¥Ñ2015¦~4¤ë15¤é¦Ü¤µ¡A´ä¤fºÞ²zÆU¥NÆUªø¡C
ºK¿ý¦Ûñ¸p¤H©ó¤G¹s¤@¤¦~¤E¤ë¤Q¤K¤é§@¥Xªº§å¥Ü¡G
®Ú¾Ú¤Q¤G¤ë¤G¤Q¤@¤é²Ä87/89/M¸¹ªk¥O®Ö㪺²{¦æ¡m¿Dªù¤½¦@¦æ¬F¤u§@¤Hû³q«h¡n²Ä¤G¤Q¤C±ø¤Î²Ä¤G¤Q¤K±øªº³W©w¡A²Ä¤@¾¶¥§Þ³N¤u¤H³¯§¡¦À¦b¥»§½¾á¥ô¾°Èªº´²¦ì¦X¦P¡A¦Û¤G¹s¤@¤¦~¤Q¤ë¤G¤Q¤é°_Äò¬ù¤@¦~¡C
¡X¡X¡X
¤G¹s¤@¤¦~¤E¤ë¤G¤Q¤¤é©ó®ü¨Æ¤Î¤ô°È§½
§½ªø ¶ÀÁJ¤å
©Ð «Î §½
§å ¥Ü ºK ¿ý
®Ú¾Ú¸g²Ä28/2009¸¹¦æ¬Fªk³Wק蠟²Ä6/2006¸¹¦æ¬Fªk³W²Ä¥|¤Q¤@±ø²Ä¤T´Ú¤Î²Ä¥|¤Q¤T±øªº³W©w¡A¯÷¤½§G¸g¥Ñ¹B¿é¤u°È¥q¥qªø©ó¤G¹s¤@¤¦~¤E¤ë¤Q¤K¤é©Ò®Ö㤧©Ð«Î§½¤G¹s¤@¤¦~°]¬F¦~«×¥»¨¹wºâ²Ä¤T¦¸¤§×§ï¡G
|
澳門幣 |
| 經濟分類 | 追加/登錄 | 註銷 | |||||
| 編號 | 預算名稱 | ||||||
| 章 | 組 | 條 | 款 | 項 | |||
|
經常開支 |
|||||||
| 01 | 00 | 00 | 00 | 00 | 人員 | ||
| 01 | 01 | 00 | 00 | 00 | 固定及長期報酬 | ||
| 01 | 01 | 01 | 00 | 00 | 法律通過之編制人員 | ||
| 01 | 01 | 01 | 01 | 00 | 薪俸或服務費 | 2,600,000.00 | |
| 01 | 01 | 06 | 00 | 00 | 重疊薪俸 | 100,000.00 | |
| 01 | 02 | 00 | 00 | 00 | 附帶報酬 | ||
| 01 | 02 | 06 | 00 | 00 | 房屋津貼 | 2,500,000.00 | |
| 02 | 00 | 00 | 00 | 00 | 資產及勞務 | ||
| 02 | 01 | 00 | 00 | 00 | 耐用品 | ||
| 02 | 01 | 07 | 00 | 00 | 辦事處設備 | 50,000.00 | |
| 02 | 03 | 00 | 00 | 00 | 勞務之取得 | ||
| 02 | 03 | 01 | 00 | 00 | 資產之保養及利用 | ||
| 02 | 03 | 01 | 00 | 05 | 各類資產 | 1,000,000.00 | |
| 02 | 03 | 05 | 00 | 00 | 交通及通訊 | ||
| 02 | 03 | 05 | 03 | 00 | 交通及通訊之其他負擔 | 350,000.00 | |
| 02 | 03 | 08 | 00 | 00 | 各項特別工作 | ||
| 02 | 03 | 08 | 00 | 01 | 研究、顧問及翻譯 | 1,400,000.00 | |
| 總額 | 4,000,000.00 | 4,000,000.00 | |||||
¤G¹s¤@¤¦~¤E¤ë¤Q¤K¤é©ó©Ð«Î§½¡X¡X¦æ¬FºÞ²z©eû·|¡X¡X¥N¥D®u¡G³¢´f¼_¡X¡X©eû¡G§õ¼ä¦p¡A±iªF»·¡A¾G¥@¦w¡X¡XԸɩeû¡G³¯µØ±j
ºK¿ý¦Û¥N§½ªø©ó¤G¹s¤@¤¦~¤E¤ë¤Q¤é§@¥Xªº§å¥Ü¡G
®Ú¾Ú²{¦æ¡m¿Dªù¤½¦@¦æ¬F¤u§@¤Hû³q«h¡n²Ä¤G¤Q¤G±ø¤Î²Ä¤G¤Q¤T±ø²Ä¤Q¤G´Úªº³W©w¡A¥»§½½s¨î¤º°ª¯Å§Þ³Nû¾µ{²Ä¤@¾¶¥¤Gµ¥°ª¯Å§Þ³Nû®}°·¶i¡A¥Ñ©w´Á©e¥ôÂର½T©w©e¥ô¡A¦Û¤G¹s¤@¤¦~¤Q¤ë¤Q¤¤é°_¥Í®Ä¡C
Án ©ú
À³±ç¥H´@¤§½Ð¨D¡A¨ä¦b¥»§½¾á¥ô²Ä¤G¾¶¥¤Gµ¥§Þ³N½]¬dªº½s¨î¥~¦X¦P¡A¦Û¤G¹s¤@¤¦~¤E¤ë¤G¤Q¤T¤é°_¤©¥H¸Ñ°£¡C
¡X¡X¡X
¤G¹s¤@¤¦~¤E¤ë¤G¤Q¥|¤é©ó©Ð«Î§½
§½ªø ·¨ÀAµØ



