²Ä 33 ´Á
§å¥ÜºK¿ý¼Æ¥÷
¤G¹s¤@¤K¦~¤K¤ë¤Q¤¤é¡A¬P´Á¤T
¿Dªù¯S§O¦æ¬F°Ï
§å¥ÜºK¿ý¼Æ¥÷
¬F ©² Á` ³¡ »² §U ³¡ ªù
§å ¥Ü ºK ¿ý
³z¹L¦æ¬Fªø©x¤G¹s¤@¤K¦~¤¤ë¤Q¤K¤é§å¥Ü¡G
¦ó°¶½å¡B±i¾^Âפαç¸g°¶¡X¡X®Ú¾Ú²Ä12/2015¸¹ªk«ß²Ä¤±ø²Ä¤@´Ú¤Î²Ä¤»±ø²Ä¤@´Úªº³W©w¡A¥H¦æ¬F¥ô¥Î¦X¦P¤è¦¡¸u¥Î¨ä¦b¬F©²Á`³¡»²§U³¡ªù¾á¥ô²Ä¤@¾¶¥¶ÔÂø¤Hû¡A¦Û¤G¹s¤@¤K¦~¤C¤ë¤Q¤»¤é°_¡A¬°´Á¤»Ó¤ë¡C
³z¹L¦æ¬Fªø©x¤G¹s¤@¤K¦~¤¤ë¤T¤Q¤é§å¥Ü¡G
®Ú¾Ú²Ä12/2015¸¹ªk«ß²Ä¤±ø²Ä¤@´Ú¤Î²Ä¤»±ø²Ä¤@´Úªº³W©w¡A¥H¦æ¬F¥ô¥Î¦X¦P¤è¦¡¸u¥Î¨ä¦b¬F©²Á`³¡»²§U³¡ªù¾á¥ô²Ä¤@¾¶¥¶ÔÂø¤Hû¡A¬°´Á¤»Ó¤ë¡A¦Û¤Uz¤é´Á°_¥Í®Ä¡G
¨ô¨ä¬w¡BNakamura Mirai¤Î¾H¥K¥Í¡A¦Û¤G¹s¤@¤K¦~¤C¤ë¤Q¤»¤é¥Í®Ä¡F
¶À¦Ê±j¡A¦Û¤G¹s¤@¤K¦~¤C¤ë¤G¤Q¤T¤é¥Í®Ä¡C
¡X¡X¡X
¤G¹s¤@¤K¦~¤K¤ë¤K¤é©ó¦æ¬Fªø©x¿ì¤½«Ç
¿ì¤½«Ç¥D¥ô ¬_´P
ªÀ ·| ¤å ¤Æ ¥q ¥q ªø ¿ì ¤½ «Ç
§å ¥Ü ºK ¿ý
ºK¿ý¦ÛªÀ·|¤å¤Æ¥q¥qªø©ó¤G¹s¤@¤K¦~¤K¤ë¤T¤é§@¥Xªº§å¥Ü¡G
®Ú¾Ú²Ä12/2015¸¹ªk«ß²Ä¥|±ø²Ä¤G´Ú¡A¥H¤Î«ö·Ó²{¦æ²Ä14/2009¸¹ªk«ß²Ä¤Q¥|±ø²Ä¤@´Ú¡]¤G¡^¶µ¤Î²Ä¤G´Úªº³W©w¡A¥Hªþµù§Î¦¡×§ï§E§«í¦b®È¹Cµo®i©eû·|¾á¥ô¾°Èªº¤£¨ã´Áªº¦æ¬F¥ô¥Î¦X¦P²Ä¤T±ø´Ú¡A®Ê¯Å¦Ü²Ä¤@¾¶¥ÅU°Ý°ª¯Å§Þ³Nû¡AÁ~ÄÂI600ÂI¡A¦Û¤½§G¤é°_¥Í®Ä¡C
ºK¿ý¦ÛªÀ·|¤å¤Æ¥q¥qªø©ó¤G¹s¤@¤K¦~¤K¤ë¤C¤é§@¥Xªº§å¥Ü¡G
®Ú¾Ú¤Q¤G¤ë¤»¤é²Ä469/99/M¸¹°V¥O®Ö㪺¡m¿Dªù²z¤u¾Ç°|³¹µ{¡n²Ä¤Q¤T±ø²Ä¤G´Ú¡Aµ²¦X²Ä112/2014¸¹¦æ¬F©R¥O²Ä¤@´Úªº³W©w¡A©e¥ô§õ¶½¬³Õ¤h¬°¿Dªù²z¤u¾Ç°|°Æ°|ªø¡A¦Û¤G¹s¤@¤K¦~¤E¤ë¤@¤é°_¡A¥ô´Á¬°¨â¦~¡C
¡X¡X¡X
¤G¹s¤@¤K¦~¤K¤ë¤E¤é©óªÀ·|¤å¤Æ¥q¥qªø¿ì¤½«Ç
¿ì¤½«Ç¥D¥ô ¸¬±Åv
®ü Ãö
§å ¥Ü ºK ¿ý
ºK¿ý¦ÛÃöªø©ó¤G¹s¤@¤K¦~¤C¤ë¤G¤Q¤T¤é©Ò§@ªº§å¥Ü¡G
®Ú¾Ú²Ä12/2015¸¹ªk«ß¡m¤½¦@³¡ªù³Ò°Ê¦X¦P¨î«×¡n²Ä¤»±ø²Ä¤@´Ú¤§³W©w¡A¥»³¡ªù²Ä¤@¾¶¥¶ÔÂø¤Hû³¯¶¶·R¡A½s¸¹¬°170020¡AÁ~Ĭ°²{¦æÁ~Äªí¤§110ÂI¡A¨ä¦æ¬F¥ô¥Î¦X¦PÀòÄò´Á¤@¦~¡A¦Û¤G¹s¤@¤K¦~¤K¤ë¤G¤é°_¥Í®Ä¡C
¡X¡X¡X
¤G¹s¤@¤K¦~¤K¤ë¤»¤é©ó®üÃö
Ãöªø ¶À¦³¤O
²× ¼f ªk °| °| ªø ¿ì ¤½ «Ç
§å ¥Ü ºK ¿ý
ºK¿ý¦Û²×¼fªk°|°|ªø©ó¤G¹s¤@¤K¦~¤C¤ë¤»¤é§@¥Xªº§å¥Ü¡G
®Ú¾Ú¸g¤Q¤G¤ë¤Q¤E¤é²Ä39/2011¸¹¦æ¬Fªk³W«·s¤½§Gªº¤T¤ë¤»¤é²Ä19/2000¸¹¦æ¬Fªk³W²Ä¤Q¤T±ø²Ä¤@´Ú¡B¤K¤ë¤T¤é²Ä14/2009¸¹ªk«ß²Ä¤Q¤G±ø¡A¥H¤Î¤K¤ë¤Q¤C¤é²Ä12/2015¸¹ªk«ß²Ä¥|±ø¡B²Ä¤±ø²Ä¤@´Ú¤Î²Ä¤»±ø²Ä¤@´Úªº³W©w¡A¥H¦æ¬F¥ô¥Î¦X¦P¤è¦¡¸u¥Î¦¿¤p¬ü¤Î¦ó¨qªâ¾á¥ô²Ä¤@¾¶¥¶ÔÂø¤Hû¡AÁ~ÄÂI110¡A¸Õ¥Î´Á¤»Ó¤ë¡A¥Ñ¤G¹s¤@¤K¦~¤K¤ë¤Q¤¤é°_¥Í®Ä¡C
ºK¿ý¦Û²×¼fªk°|°|ªø¿ì¤½«Ç¥D¥ô©ó¤G¹s¤@¤K¦~¤K¤ë¤T¤é§@¥Xªº§å¥Ü¡G
®Ú¾Ú¸g¤Q¤G¤ë¤Q¤E¤é²Ä39/2011¸¹¦æ¬Fªk³W«·s¤½§Gªº¤T¤ë¤»¤é²Ä19/2000¸¹¦æ¬Fªk³W²Ä¤Q¤T±ø²Ä¤@´Ú¡B¤K¤ë¤T¤é²Ä14/2009¸¹ªk«ß²Ä¤Q¤T±ø²Ä¤@´Ú¡]¤G¡^¶µ¡B²Ä¥|´Ú¡B¤K¤ë¤Q¤C¤é²Ä12/2015¸¹ªk«ß²Ä¥|±ø¡A¥H¤Î²Ä3/GPTUI/2016¸¹²×¼fªk°|°|ªø§å¥Ü²Ä¤@´Ú¡]¤»¡^¶µªº³W©w¡A¥»¿ì¤½«Ç²Ä¤G¾¶¥¯S¯Å§Þ³N»²¾Éû¦ó¼ä¦Bªº¤£¨ã´Áªº¦æ¬F¥ô¥Î¦X¦PÀò§ó§ï¬°²Ä¤T¾¶¥¡AÁ~ÄÂI430¡A¦Û¤G¹s¤@¤K¦~¤K¤ë¤@¤é°_¥Í®Ä¡C
®Ú¾Ú¸g¤Q¤G¤ë¤Q¤E¤é²Ä39/2011¸¹¦æ¬Fªk³W«·s¤½§Gªº¤T¤ë¤»¤é²Ä19/2000¸¹¦æ¬Fªk³W²Ä¤Q¤T±ø²Ä¤@´Ú¡B¤K¤ë¤T¤é²Ä14/2009¸¹ªk«ß²Ä¤Q¤T±ø²Ä¤@´Ú¡]¤G¡^¶µ¡B²Ä¥|´Ú¡B¤K¤ë¤Q¤C¤é²Ä12/2015¸¹ªk«ß²Ä¥|±ø¡A¥H¤Î²Ä3/GPTUI/2016¸¹²×¼fªk°|°|ªø§å¥Ü²Ä¤@´Ú¡]¤»¡^¶µªº³W©w¡A¥»¿ì¤½«Ç²Ä¤@¾¶¥º®u§Þ³N»²¾ÉûªLl¶¯¡B§õ¨qª÷¡B§dÄRÁø¡BÀ¹º¸ªY¡B¾H°¶Áo¡B¶À¹Å²ú¤Î¶À´@´@ªº¤£¨ã´Áªº¦æ¬F¥ô¥Î¦X¦PÀò§ó§ï¬°²Ä¤G¾¶¥¡AÁ~ÄÂI365¡A¦Û¤G¹s¤@¤K¦~¤K¤ë¤G¤é°_¥Í®Ä¡C
ºK¿ý¦Û²×¼fªk°|°|ªø©ó¤G¹s¤@¤K¦~¤K¤ë¤»¤é§@¥Xªº§å¥Ü¡G
®Ú¾Ú¸g¤Q¤G¤ë¤Q¤E¤é²Ä39/2011¸¹¦æ¬Fªk³W«·s¤½§Gªº¤T¤ë¤»¤é²Ä19/2000¸¹¦æ¬Fªk³W²Ä¤Q¤T±ø²Ä¤@´Ú¡B¸g¤¤ë¤G¤Q¤G¤é²Ä4/2017¸¹ªk«ßק諸¤K¤ë¤T¤é²Ä14/2009¸¹ªk«ß²Ä¤Q¥|±ø²Ä¤@´Ú¡]¤G¡^¶µ¡A¥H¤Î¤K¤ë¤Q¤C¤é²Ä12/2015¸¹ªk«ß²Ä¥|±øªº³W©w¡A¥»¿ì¤½«Ç²Ä¤G¾¶¥º®u§Þ³N»²¾ÉûªLl¶¯¡B§õ¨qª÷¡B§dÄRÁø¡BÀ¹º¸ªY¡B¾H°¶Áo¡B¶À¹Å²ú¤Î¶À´@´@ªº¤£¨ã´Áªº¦æ¬F¥ô¥Î¦X¦P¥Hªþµù§Î¦¡×§ï¸Ó¦X¦P²Ä¤T±ø´Ú¡A®Ê¯Å¬°²Ä¤@¾¶¥¯S¯Å§Þ³N»²¾Éû¡AÁ~ÄÂI400¡C
®Ú¾Ú¸g¤Q¤G¤ë¤Q¤E¤é²Ä39/2011¸¹¦æ¬Fªk³W«·s¤½§Gªº¤T¤ë¤»¤é²Ä19/2000¸¹¦æ¬Fªk³W²Ä¤Q¤T±ø²Ä¤@´Ú¡B¸g¤¤ë¤G¤Q¤G¤é²Ä4/2017¸¹ªk«ßק諸¤K¤ë¤T¤é²Ä14/2009¸¹ªk«ß²Ä¤Q¥|±ø²Ä¤@´Ú¡]¤G¡^¶µ¡A¥H¤Î¤K¤ë¤Q¤C¤é²Ä12/2015¸¹ªk«ß²Ä¥|±øªº³W©w¡A¥»¿ì¤½«Ç²Ä¤G¾¶¥¤Gµ¥§Þ³N»²¾Éû²¦¥ü´Ñªºªø´Á¦æ¬F¥ô¥Î¦X¦P¥Hªþµù§Î¦¡×§ï¸Ó¦X¦P²Ä¤T±ø´Ú¡A®Ê¯Å¬°²Ä¤@¾¶¥¤@µ¥§Þ³N»²¾Éû¡AÁ~ÄÂI305¡C
¡X¡X¡X
¤G¹s¤@¤K¦~¤K¤ë¤K¤é©ó²×¼fªk°|°|ªø¿ì¤½«Ç
¿ì¤½«Ç¥D¥ô ³¯¥É½¬
ÀË ¹î ªø ¿ì ¤½ «Ç
§å ¥Ü ºK ¿ý
ºK¿ý¦ÛÀË¹îªø©ó¤G¹s¤@¤K¦~¤C¤ë¤G¤Q¤é§@¥Xªº§å¥Ü¡G
§d©ú®õ¾Ç¤h¡X¡X®Ú¾Ú¸g²Ä38/2011¸¹¦æ¬Fªk³Wק蠟²Ä13/1999¸¹¦æ¬Fªk³W²Ä¥|±ø¤Î²Ä¤Q¤E±ø²Ä¤T´Ú¡B²Ä15/2009¸¹ªk«ß²Ä¤±ø¤Î²Ä26/2009¸¹¦æ¬Fªk³W²Ä¤K±ø¤§³W©w¡A¨Ãºû«ù¥ý«e¦³Ãö©e¥ôªº¨Ì¾Ú¡A¨ä¦b¥»¿ì¤½«Ç¾á¥ô«ß¬FÆUÆUªø¤§©w´Á©e¥ôÀòãÄò´Á¨â¦~¡A¥Ñ¤G¹s¤@¤K¦~¤Q¤ë¤@¤é°_¥Í®Ä¡C
ºK¿ý¦ÛÀË¹îªø©ó¤G¹s¤@¤K¦~¤K¤ë¤»¤é§@¥Xªº§å¥Ü¡G
®Ú¾Ú¸g²Ä4/2017¸¹ªk«ßק蠟²Ä14/2009¸¹ªk«ß²Ä¤Q¥|±ø¡B²Ä¤G¤Q¤C±ø²Ä¥|´Ú¡B¥H¤Î²{¦æ¡m¿Dªù¤½¦@¦æ¬F¤u§@¤Hû³q«h¡n²Ä¤G¤Q¤G±ø²Ä¤K´Úa¡^¶µ¤§³W©w¡A½T©w©e¥ô¸ë¹Å¼z¡B¦ó¯\¬Â¡B¿c¤@i¾á¥ô¥»¿ì¤½«Ç½s¨î¤º¤Hû½Ķû¾µ{²Ä¤@¾¶¥¤@µ¥Â½Ä¶û¡AÁ~ÄÂI¬°490¡A¨Ã¦Û¥»§å¥ÜºK¿ý©ó¡m¿Dªù¯S§O¦æ¬F°Ï¤½³ø¡n¤½§G¤é°_¥Í®Ä¡C
Án ©ú ®Ñ
ºKn
¤G¹s¤@¤K¦~°]¬F¦~«×²Ä¤@¦¸¹wºâ×§ï
®Ú¾Ú²Ä2/2018¸¹¦æ¬Fªk³W²Ä¤¤Q¤G±ø¤Î²Ä¤¤Q¤T±ø²Ä¤´Úªº³W©w¡A¯÷¤½§G¤U¦C¡]¿Dªù¯S§O¦æ¬F°Ï°]¬F¹wºâ/¤G¹s¤@¤K¡^´Ú¶µÂಾ¡G
¡X¡X¡X
¤G¹s¤@¤K¦~¤K¤ë¤K¤é©óÀË¹îªø¿ì¤½«Ç¡X¡X¿ì¤½«Ç¥D¥ô ÃÓ¬±´Å
¦æ ¬F ¤½ ¾ §½
§å ¥Ü ºK ¿ý
«ö§½ªø©ó¤G¹s¤@¤K¦~¤C¤ë¤T¤Q¤@¤é§@¥Xªº§å¥Ü¡G
®Ú¾Ú¸g²Ä4/2017¸¹ªk«ßק諸²Ä14/2009¸¹ªk«ß²Ä¤Q¥|±ø²Ä¤@´Ú¡]¤G¡^¶µ¤Î²Ä¤G´Ú³s¦P²Ä12/2015¸¹ªk«ß²Ä¥|±øªº³W©w¡A¥Hªþµù¤è¦¡×§ï¹Q¦t´µ¤Î¦ó°û©ú¦b¥»§½¾á¥ô¾°Èªº¤£¨ã´Áªº¦æ¬F¥ô¥Î¦X¦P²Ä¤T±ø´Ú¡A§ï¬°¾á¥ô²Ä¤@¾¶¥ÅU°Ý°ª¯Å§Þ³Nû¡AÁ~ÄÂI600ÂI¡A¦Û¥»§å¥ÜºKn©ó¡m¿Dªù¯S§O¦æ¬F°Ï¤½³ø¡n¤½§G¤é°_¥Í®Ä¡C
®Ú¾Ú¸g²Ä4/2017¸¹ªk«ßק諸²Ä14/2009¸¹ªk«ß²Ä¤Q¥|±ø²Ä¤@´Ú¡]¤G¡^¶µ¤Î²Ä¤G´Ú³s¦P²Ä12/2015¸¹ªk«ß²Ä¥|±øªº³W©w¡A¥Hªþµù¤è¦¡×§ï±d¹Å©ú¦b¥»§½¾á¥ô¾°Èªº¤£¨ã´Áªº¦æ¬F¥ô¥Î¦X¦P²Ä¤T±ø´Ú¡A§ï¬°¾á¥ô²Ä¤@¾¶¥¯S¯Å§Þ³Nû¾°È¡AÁ~ÄÂI505ÂI¡A¦Û¥»§å¥ÜºKn©ó¡m¿Dªù¯S§O¦æ¬F°Ï¤½³ø¡n¤½§G¤é°_¥Í®Ä¡C
«ö§½ªø©ó¤G¹s¤@¤K¦~¤K¤ë¤G¤é§@¥Xªº§å¥Ü¡G
®Ú¾Ú¸g²Ä4/2017¸¹ªk«ßק諸²Ä14/2009¸¹ªk«ß²Ä¤Q¥|±ø²Ä¤@´Ú¡]¤G¡^¶µ¤Î²Ä¤G´Ú³s¦P²Ä12/2015¸¹ªk«ß²Ä¥|±øªº³W©w¡A¥Hªþµù¤è¦¡×§ï«À«O©É¦b¥»§½¾á¥ô¾°Èªº¦æ¬F¥ô¥Î¦X¦P²Ä¤T±ø´Ú¡A§ï¬°¾á¥ô²Ä¤@¾¶¥¤@µ¥§Þ³N»²¾Éû¡AÁ~ÄÂI305ÂI¡A¦Û¥»§å¥ÜºKn©ó¡m¿Dªù¯S§O¦æ¬F°Ï¤½³ø¡n¤½§G¤é°_¥Í®Ä¡C
«ö§½ªø©ó¤G¹s¤@¤K¦~¤K¤ë¤T¤é§@¥Xªº§å¥Ü¡G
®Ú¾Ú¸g²Ä4/2017¸¹ªk«ßק諸²Ä14/2009¸¹ªk«ß²Ä¤Q¥|±ø²Ä¤@´Ú¡]¤G¡^¶µ¤Î²Ä¤G´Ú³s¦P²Ä12/2015¸¹ªk«ß²Ä¥|±øªº³W©w¡A¥Hªþµù¤è¦¡×§ïùÄR®S¦b¥»§½¾á¥ô¾°Èªº¤£¨ã´Áªº¦æ¬F¥ô¥Î¦X¦P²Ä¤T±ø´Ú¡A§ï¬°¾á¥ô²Ä¤@¾¶¥¤@µ¥°ª¯Å§Þ³Nû¾°È¡AÁ~ÄÂI485ÂI¡A¦Û¥»§å¥ÜºKn©ó¡m¿Dªù¯S§O¦æ¬F°Ï¤½³ø¡n¤½§G¤é°_¥Í®Ä¡C
¡X¡X¡X
¤G¹s¤@¤K¦~¤K¤ë¤K¤é©ó¦æ¬F¤½Â¾§½
§½ªø °ª¬±©[
¨ ¥÷ ÃÒ ©ú §½
Án ©ú
¯÷Án©ú¡A¥»§½¤£¨ã´Áªº¦æ¬F¥ô¥Î¦X¦Pªº²Ä¤G¾¶¥º®u§Þ³N»²¾Éû¦¿»ñ¶³¡A²{À³¨ä¥»¤Hn¨D¡A¦Û¤G¹s¤@¤K¦~¤K¤ë¤»¤é°_²×¤î¦b¥»§½¾á¥ôªºÂ¾°È¡C
¡X¡X¡X
¤G¹s¤@¤K¦~¤K¤ë¤C¤é©ó¨¥÷ÃÒ©ú§½
¥N§½ªø ¶ÀÄ_¼ü
¦L °È §½
Án ©ú ®Ñ
ºKn
¤G¹s¤@¤K¦~°]¬F¦~«×²Ä¤T¦¸¹wºâ×§ï
®Ú¾Ú²Ä2/2018¸¹¦æ¬Fªk³W²Ä¤¤Q¤G±ø¤Î²Ä¤¤Q¤T±ø²Ä¤´Úªº³W©w¡A¯÷¤½§G¤U¦C¡]¿Dªù¯S§O¦æ¬F°Ï°]¬F¹wºâ/¤G¹s¤@¤K¡^´Ú¶µÂಾ¡G
¡X¡X¡X
¤G¹s¤@¤K¦~¤K¤ë¤E¤é©ó¦L°È§½¡X¡X§½ªø §ù§Ó¤å
¥Á ¬F Á` ¸p
§å ¥Ü ºK ¿ý
«ö¥»¸pºÞ²z©eû·|¥N¥D®u©ó¤G¹s¤@¤K¦~¤C¤ë¤T¤é§@¥X¤§§å¥Ü¡A¨Ã©ó¦P¤ë¤»¤é´£¥æºÞ²z©eû·|·|ijª¾±x¡G
®Ú¾Ú²Ä12/2015¸¹ªk«ß²Ä¥|±ø¤Î²Ä¤»±øªº³W©w¡A§Þ³N»²§U¿ì¤½«Ç²Ä¤@¾¶¥ÅU°Ý°ª¯Å§Þ³Nû¾¤¹ß´A¡AÀòãÄò¦³Ãö¦æ¬F¥ô¥Î¦X¦P¡A¬°´Á¤@¦~¡AÁ~Ä600ÂI¡A¦Û¤G¹s¤@¤K¦~¤E¤ë¤Q¤@¤é°_¥Í®Ä¡C
«ö¥»¸pºÞ²z©eû·|¥N¥D®u©ó¤G¹s¤@¤K¦~¤C¤ë¤Q¤K¤é§@¥X¤§§å¥Ü¡A¨Ã©ó¦P¤ë¤G¤Q¤é´£¥æºÞ²z©eû·|·|ijª¾±x¡G
®Ú¾Ú²Ä14/2009¸¹ªk«ß²Ä¤Q¤T±ø¤Î²Ä12/2015¸¹ªk«ß²Ä¥|±øªº³W©w¡A¥H¦æ¬F¥ô¥Î¦X¦P¥ô¥Îªº¤U¦Cû¤uÀòã½Õ¾ã¾¶¥¡G
±ç°í¹B¡X¡X½è¶q±±¨î¿ì¤½«Ç²Ä¤T¾¶¥º®u¯S¯Å§Þ³Nû¡AÁ~Ä600ÂI¡A¦Û¤G¹s¤@¤K¦~¤K¤ë¤Q¤T¤é°_¥Í®Ä¡F
¥î¤Ö¬Â¡X¡XÂ÷®q°Ï¥«¥ÁªA°È¤¤¤ß²Ä¤K¾¶¥§Þ³N¤u¤H¡AÁ~Ä260ÂI¡A¦Û¤G¹s¤@¤K¦~¤K¤ë¤@¤é°_¥Í®Ä¡C
¶éªLºñ¤Æ³¡¡G
¨ô·Å¶¯¡BªL¥ü©÷¡B½²«Ø°¶¡B°Kº~ªì¤Î°Ï°êºa¡X¡X²Ä¤Â¾¶¥««¬¨®½ø¥q¾÷¡AÁ~Ä220ÂI¡A¬Ò¦Û¤G¹s¤@¤K¦~¤K¤ë¥|¤é°_¥Í®Ä¡F
§õ¸ÎµØ¡X¡X²Ä¤Â¾¶¥»´«¬¨®½ø¥q¾÷¡AÁ~Ä200ÂI¡A¦Û¤G¹s¤@¤K¦~¤K¤ë¥|¤é°_¥Í®Ä¡F
¾G°ê¥î¡X¡X²Ä¤C¾¶¥¶ÔÂø¤Hû¡AÁ~Ä180ÂI¡A¦Û¤G¹s¤@¤K¦~¤K¤ë¤Q¤E¤é°_¥Í®Ä¡C
¦æ¬F»²§U³¡¡G
§ÂÄ_ªâ¡X¡X²Ä¤G¾¶¥ÅU°Ý°ª¯Å§Þ³Nû¡AÁ~Ä625ÂI¡A¦Û¤G¹s¤@¤K¦~¤K¤ë¤¤é°_¥Í®Ä¡F
§õµØ´I¡X¡X²Ä¤G¾¶¥¯S¯Å§Þ³N»²¾Éû¡AÁ~Ä415ÂI¡A¦Û¤G¹s¤@¤K¦~¤K¤ë¤¤é°_¥Í®Ä¡C
«ö¥»¸pºÞ²z©eû·|°Æ¥D®u©ó¤G¹s¤@¤K¦~¤C¤ë¤Q¤K¤é§@¥X¤§§å¥Ü¡A¨Ã©ó¦P¤ë¤G¤Q¤é´£¥æºÞ²z©eû·|·|ijª¾±x¡G
®Ú¾Ú²Ä14/2009¸¹ªk«ß²Ä¤Q¤T±ø¤Î²Ä12/2015¸¹ªk«ß²Ä¥|±øªº³W©w¡A¥H¦æ¬F¥ô¥Î¦X¦P¥ô¥ÎªºÀô¹Ò½Ã¥Í¤Î°õ·Ó³¡¤U¦Cû¤uÀòã½Õ¾ã¾¶¥¡G
·¨¹Å»Ê¡X¡X²Ä¤G¾¶¥ÅU°Ý°ª¯Å§Þ³Nû¡AÁ~Ä625ÂI¡A¦Û¤G¹s¤@¤K¦~¤K¤ë¤¤é°_¥Í®Ä¡F
³¯°ê¹Î¡X¡X²Ä¤K¾¶¥¶ÔÂø¤Hû¡AÁ~Ä200ÂI¡A¦Û¤G¹s¤@¤K¦~¤K¤ë¥|¤é°_¥Í®Ä¡C
«ö¥»¸pºÞ²z©eû·|¥D®u©ó¤G¹s¤@¤K¦~¤C¤ë¤Q¤E¤é§@¥X¤§§å¥Ü¡A¨Ã©ó¦P¤ë¤G¤Q¤é´£¥æºÞ²z©eû·|·|ijª¾±x¡G
®Ú¾Ú²Ä14/2009¸¹ªk«ß²Ä¤Q¤T±ø¤Î²Ä12/2015¸¹ªk«ß²Ä¥|±øªº³W©w¡A¥H¦æ¬F¥ô¥Î¦X¦P¥ô¥Îªº°]°È¸ê°T³¡¤U¦Cû¤uÀòã½Õ¾ã¾¶¥¡G
³¯¹F¥Í¡X¡X²Ä¤G¾¶¥¯S¯Å§Þ³Nû¡AÁ~Ä525ÂI¡A¦Û¤G¹s¤@¤K¦~¤K¤ë¤¤é°_¥Í®Ä¡F
³·s¬ü¡X¡X²Ä¤G¾¶¥¯S¯Å§Þ³N»²¾Éû¡AÁ~Ä415ÂI¡A¦Û¤G¹s¤@¤K¦~¤K¤ë¤¤é°_¥Í®Ä¡F
¾G§Óºa¡X¡X²Ä¤K¾¶¥««¬¨®½ø¥q¾÷¡AÁ~Ä280ÂI¡A¦Û¤G¹s¤@¤K¦~¤K¤ë¥|¤é°_¥Í®Ä¡F
¾H¥Ã¹ç¡B¤¨¦~·s¤Î¶ÀªÀ²K¡X¡X²Ä¤Â¾¶¥««¬¨®½ø¥q¾÷¡AÁ~Ä220ÂI¡Aº¦ì¦Û¤G¹s¤@¤K¦~¤K¤ë¤G¤Q¤C¤é°_¥Í®Ä¡A¨ä¾l¦Û¤G¹s¤@¤K¦~¤K¤ë¥|¤é°_¥Í®Ä¡C
«ö¥»¸pºÞ²z©eû·|°Æ¥D®u©ó¤G¹s¤@¤K¦~¤C¤ë¤Q¤E¤é§@¥X¤§§å¥Ü¡A¨Ã©ó¦P¤ë¤G¤Q¤é´£¥æºÞ²z©eû·|·|ijª¾±x¡G
®Ú¾Ú²Ä14/2009¸¹ªk«ß²Ä¤Q¤T±ø¤Î²Ä12/2015¸¹ªk«ß²Ä¥|±øªº³W©w¡A¥H¦æ¬F¥ô¥Î¦X¦P¥ô¥Îªº¤U¦Cû¤uÀòã½Õ¾ã¾¶¥¡G
§d°·±j¡X¡X¹D¸ô´ë°È³¡²Ä¤Â¾¶¥»´«¬¨®½ø¥q¾÷¡AÁ~Ä200ÂI¡A¦Û¤G¹s¤@¤K¦~¤K¤ë¥|¤é°_¥Í®Ä¡F
©P¬u¡X¡X¸ê°T³B²Ä¤Â¾¶¥»´«¬¨®½ø¥q¾÷¡AÁ~Ä200ÂI¡A¦Û¤G¹s¤@¤K¦~¤K¤ë¥|¤é°_¥Í®Ä¡C
½Ã¥ÍºÊ·þ³¡¡G
±çÚZ¤å¡X¡X²Ä¤G¾¶¥ÅU°Ý°ª¯Å§Þ³Nû¡AÁ~Ä625ÂI¡A¦Û¤G¹s¤@¤K¦~¤K¤ë¤¤é°_¥Í®Ä¡F
±iÆAÄõ¡X¡X²Ä¤G¾¶¥¯S¯Å§Þ³N»²¾Éû¡AÁ~Ä415ÂI¡A¦Û¤G¹s¤@¤K¦~¤K¤ë¤¤é°_¥Í®Ä¡F
³¯Ä_±j¡X¡X²Ä¤C¾¶¥§Þ³N¤u¤H¡AÁ~Ä240ÂI¡A¦Û¤G¹s¤@¤K¦~¤K¤ë¤Q¤T¤é°_¥Í®Ä¡C
«Ø¿v¤Î³]³Æ³¡¡G
S¦Ê±]¡X¡X²Ä¤K¾¶¥»´«¬¨®½ø¥q¾÷¡AÁ~Ä260ÂI¡A¦Û¤G¹s¤@¤K¦~¤K¤ë¤G¤Q¤G¤é°_¥Í®Ä¡F
±ç±a¤Í¡X¡X²Ä¤K¾¶¥§Þ³N¤u¤H¡AÁ~Ä260ÂI¡A¦Û¤G¹s¤@¤K¦~¤K¤ë¤Q¤»¤é°_¥Í®Ä¡C
¡X¡X¡X
¤G¹s¤@¤K¦~¤K¤ë¤»¤é©ó¥Á¬FÁ`¸p
ºÞ²z©eû·|©eû §ù²Q»ö
°h ¥ð °ò ª÷ ·|
§å ¥Ü ºK ¿ý
°h¥ð/¼¾¨ùª÷ªºq©w
«ö·Ó¦æ¬Fªk°È¥q¥qªø©ó¤G¹s¤@¤K¦~¤K¤ë¤T¤é§@¥Xªº§å¥Ü¡G
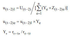
¡]¤@¡^ªv¦wĵ¹î§½²Ä¤T¾¶¥°ÆÄµªø¤ý½ËµØ¡A°h¥ð¤Î¼¾¨ù¨î«×·|û½s¸¹130486¡A¦]²Å¦X²{¦æ¡m¿Dªù¤½¦@¦æ¬F¤u§@¤Hû³q«h¡n²Ä¤G¦Ê¤»¤Q¤G±ø²Ä¤@´Úc¡^¶µ¡A¦Ó¶·Â÷¾°h¥ð¡C¨ä¨C¤ëªº°h¥ðª÷¬O®Ú¾Ú¤Wz¡m³q«h¡n²Ä¤G¦Ê¤»¤Q¥|±ø²Ä¤@¡B²Ä¤G¤Î²Ä¥|´Ú¡A¨Ã°t¦X²Ä¤G¦Ê¤»¤Q¤±ø²Ä¤@´Úb¡^¶µ¤§³W©w¡A¥H¬Û·í©ó¤T¤Q¤»¦~¤u§@¦~¼Æ§@pºâ¡A¥Ñ¤G¹s¤@¤K¦~¤¤ë¤G¤Q¤¤é¶}©l¥H¬Ûµ¥©ó²{¦æÁ~įÁ¤Þªí¤ºªº400ÂIq¥X¡A¨Ã¦b¦³Ãöª÷ÃB¤W¥[¤W¥|Ó®Ú¾Ú²Ä1/2014¸¹ªk«ß²Ä¤@±ø©Ò«üªþªí¨Ã°t¦X²Ä2/2011¸¹ªk«ß²Ä¤C¡B²Ä¤K¤Î²Ä¤E±ø³W©wªº¦~¸ê¼úª÷¡C
¡]¤G¡^¦³Ãö©Òqª÷ÃBªº¤ä¥I¡A¥þ¼Æ¥Ñ¿Dªù¯S§O¦æ¬F°Ï¬F©²t³d¡C
Åv¯qÂkÄݤñ²vªºq©w
«ö·Ó¦æ¬Fªk°È¥q¥qªø©ó¤G¹s¤@¤K¦~¤K¤ë¤@¤é§@¥Xªº§å¥Ü¡G
¥Á¬FÁ`¸p¶ÔÂø¤Hû´¿Âí°ê¡A¨Ñ´Ú¤H½s¸¹6038717¡A®Ú¾Ú²Ä8/2006¸¹ªk«ß²Ä¤Q¤T±ø²Ä¤@´Ú¡]¤@¡^¶µ¤§³W©w¡A¦Û¤G¹s¤@¤K¦~¤C¤ë¤Q¤é°_µù¾P¨ä¦b¤½¿nª÷¨î«×¤§µn°O¡C¨ä¦b¤½¿nª÷¨î«×¤U¤§¨Ñ´Ú®É¶¡º¡¤G¤Q¤K¦~¡A®Ú¾Ú¦P¤@ªk«ß²Ä¤Q¥|±ø²Ä¤@´Ú¤Î²Ä¤T¤Q¤E±ø²Ä¤»´Ú¤§³W©w¡Aq©w¨ä¦b¤½¿nª÷¨î«×¤U¦³Åv¨ú±o¡uÓ¤H¨Ñ´Ú±b¤á¡v¡B¡u¿Dªù¯S§O¦æ¬F°Ï¨Ñ´Ú±b¤á¡v¤Î¡u¯S§O±b¤á¡v¤§Åv¯qÂkÄݤñ²v¬°¦Ê¤À¤§¤@¦Ê¡C
¿Dªù«O¦w³¡¶¤¨Æ°È§½¶ÔÂø¤Hû¾G¶¶¿³¡A¨Ñ´Ú¤H½s¸¹6042072¡A®Ú¾Ú²Ä8/2006¸¹ªk«ß²Ä¤Q¤T±ø²Ä¤@´Ú¡]¤@¡^¶µ¤§³W©w¡A¦Û¤G¹s¤@¤K¦~¤C¤ë¥|¤é°_µù¾P¨ä¦b¤½¿nª÷¨î«×¤§µn°O¡C¨ä¦b¤½¿nª÷¨î«×¤U¤§¨Ñ´Ú®É¶¡º¡¤G¤Q¤G¦~¡A®Ú¾Ú¦P¤@ªk«ß²Ä¤Q¥|±ø²Ä¤@´Ú¤Î²Ä¤T¤Q¤E±ø²Ä¤»´Ú¤§³W©w¡Aq©w¨ä¦b¤½¿nª÷¨î«×¤U¦³Åv¨ú±o¡uÓ¤H¨Ñ´Ú±b¤á¡v¤Î¡u¯S§O±b¤á¡v¤§Åv¯qÂkÄݤñ²v¬°¦Ê¤À¤§¤@¦Ê¡A¥H¤Î¡u¿Dªù¯S§O¦æ¬F°Ï¨Ñ´Ú±b¤á¡vªºÅv¯qÂkÄݤñ²v¬°¦Ê¤À¤§¤E¤Q¤@¡C
¤å¤Æ§½¤¤¾Ç±Ð¨|¤T¯Å±Ð®v¼ï¶ê¶ê¡A¨Ñ´Ú¤H½s¸¹6067385¡A®Ú¾Ú²Ä8/2006¸¹ªk«ß²Ä¤Q¤T±ø²Ä¤@´Ú¤§³W©w¡A¦Û¤G¹s¤@¤K¦~¤C¤ë¤G¤é°_µù¾P¨ä¦b¤½¿nª÷¨î«×¤§µn°O¡C¨ä¦b¤½¿nª÷¨î«×¤U¤§¨Ñ´Ú®É¶¡º¡¤Q¤G¦~¡A®Ú¾Ú¦P¤@ªk«ß²Ä¤Q¥|±ø²Ä¤@´Ú¤§³W©w¡Aq©w¨ä¦b¤½¿nª÷¨î«×¤U¦³Åv¨ú±o¡uÓ¤H¨Ñ´Ú±b¤á¡v¤§Åv¯qÂkÄݤñ²v¬°¦Ê¤À¤§¤@¦Ê¤Î¡u¿Dªù¯S§O¦æ¬F°Ï¨Ñ´Ú±b¤á¡vªºÅv¯qÂkÄݤñ²v¬°¦Ê¤À¤§¤¤Q¡C
¬F©²Á`³¡»²§U³¡ªù¦æ¬F§Þ³N§U²zû¥q¤p¬ü¡A¨Ñ´Ú¤H½s¸¹6104000¡A®Ú¾Ú²Ä8/2006¸¹ªk«ß²Ä¤Q¤T±ø²Ä¤@´Ú¤§³W©w¡A¦Û¤G¹s¤@¤K¦~¤C¤ë¤Q¤C¤é°_µù¾P¨ä¦b¤½¿nª÷¨î«×¤§µn°O¡C¨ä¦b¤½¿nª÷¨î«×¤U¤§¨Ñ´Ú®É¶¡º¡¤K¦~¡A®Ú¾Ú¦P¤@ªk«ß²Ä¤Q¥|±ø²Ä¤@´Ú¤§³W©w¡Aq©w¨ä¦b¤½¿nª÷¨î«×¤U¦³Åv¨ú±o¡uÓ¤H¨Ñ´Ú±b¤á¡v¤§Åv¯qÂkÄݤñ²v¬°¦Ê¤À¤§¤@¦Ê¤Î¡u¿Dªù¯S§O¦æ¬F°Ï¨Ñ´Ú±b¤á¡vªºÅv¯qÂkÄݤñ²v¬°¦Ê¤À¤§¤G¤Q¤¡C
¤å¤Æ§½§Þ³Nû±iªï^¡A¨Ñ´Ú¤H½s¸¹6174483¡A®Ú¾Ú²Ä8/2006¸¹ªk«ß²Ä¤Q¤T±ø²Ä¤@´Ú¤§³W©w¡A¦Û¤G¹s¤@¤K¦~¤C¤ë¤Q¤C¤é°_µù¾P¨ä¦b¤½¿nª÷¨î«×¤§µn°O¡C¨ä¦b¤½¿nª÷¨î«×¤U¤§¨Ñ´Ú®É¶¡¤Ö©ó¤¦~¡A®Ú¾Ú¦P¤@ªk«ß²Ä¤Q¥|±ø²Ä¤@´Ú¤§³W©w¡Aq©w¨ä¦b¤½¿nª÷¨î«×¤U¦³Åv¨ú±o¡uÓ¤H¨Ñ´Ú±b¤á¡v¤§Åv¯qÂkÄݤñ²v¬°¦Ê¤À¤§¤@¦Ê¤ÎµLÅv¨ú±o¡u¿Dªù¯S§O¦æ¬F°Ï¨Ñ´Ú±b¤á¡vªº¥ô¦óµ²¾l¡C
Ó¤H¸ê®Æ«OÅ@¿ì¤½«Ç¦æ¬F§Þ³N§U²zû¨L±Ó´@¡A¨Ñ´Ú¤H½s¸¹6198315¡A®Ú¾Ú²Ä8/2006¸¹ªk«ß²Ä¤Q¤T±ø²Ä¤@´Ú¤§³W©w¡A¦Û¤G¹s¤@¤K¦~¤C¤ë¤Q¤»¤é°_µù¾P¨ä¦b¤½¿nª÷¨î«×¤§µn°O¡C¨ä¦b¤½¿nª÷¨î«×¤U¤§¨Ñ´Ú®É¶¡¤Ö©ó¤¦~¡A®Ú¾Ú¦P¤@ªk«ß²Ä¤Q¥|±ø²Ä¤@´Ú¤§³W©w¡Aq©w¨ä¦b¤½¿nª÷¨î«×¤U¦³Åv¨ú±o¡uÓ¤H¨Ñ´Ú±b¤á¡v¤§Åv¯qÂkÄݤñ²v¬°¦Ê¤À¤§¤@¦Ê¤ÎµLÅv¨ú±o¡u¿Dªù¯S§O¦æ¬F°Ï¨Ñ´Ú±b¤á¡vªº¥ô¦óµ²¾l¡C
¤U¦C¤H¤~µo®i©eû·|¤u§@¤Hû¡A®Ú¾Ú²Ä8/2006¸¹ªk«ß²Ä¤Q¤T±ø²Ä¤@´Ú¤§³W©w¡A¦Û¤G¹s¤@¤K¦~¤C¤ë¤Q¤é°_µù¾P¨äµ¥¦b¤½¿nª÷¨î«×¤§µn°O¡C¨äµ¥¦b¤½¿nª÷¨î«×¤U¤§¨Ñ´Ú®É¶¡¤Ö©ó¤¦~¡A®Ú¾Ú¦P¤@ªk«ß²Ä¤Q¥|±ø²Ä¤@´Ú¤§³W©w¡Aq©w¨äµ¥¦b¤½¿nª÷¨î«×¤U¦³Åv¨ú±o¡uÓ¤H¨Ñ´Ú±b¤á¡v¤§Åv¯qÂkÄݤñ²v¬°¦Ê¤À¤§¤@¦Ê¤ÎµLÅv¨ú±o¡u¿Dªù¯S§O¦æ¬F°Ï¨Ñ´Ú±b¤á¡vªº¥ô¦óµ²¾l¡C
| ¨Ñ´Ú¤H½s¸¹ | ©m¦W | ¨Ñ´Ú¤H½s¸¹ | ©m¦W |
| 6232297 | ¶ÀÄR¥É | 6232300 | Ĭ¥¿°¶ |
| 6232319 | §dºöµX | - | - |
·s»D§½§Þ³NûÃQ¨ô¤å¡A¨Ñ´Ú¤H½s¸¹6235032¡A®Ú¾Ú²Ä8/2006¸¹ªk«ß²Ä¤Q¤T±ø²Ä¤@´Ú¡]¤»¡^¶µ¤§³W©w¡A¦Û¤G¹s¤@¤K¦~¤C¤ë¤G¤é°_µù¾P¨ä¦b¤½¿nª÷¨î«×¤§µn°O¡C¨ä¦b¤½¿nª÷¨î«×¤U¤§¨Ñ´Ú®É¶¡¤Ö©ó¤¦~¡A®Ú¾Ú¦P¤@ªk«ß²Ä¤Q¥|±ø²Ä¤@´Ú¡]¤@¡^¶µ¤Î²Ä¥|´Ú¤§³W©w¡Aq©w¨ä¦b¤½¿nª÷¨î«×¤U¦³Åv¨ú±o¡uÓ¤H¨Ñ´Ú±b¤á¡v¤§Åv¯qÂkÄݤñ²v¬°¦Ê¤À¤§¤@¦Ê¤ÎµLÅv¨ú±o¡u¿Dªù¯S§O¦æ¬F°Ï¨Ñ´Ú±b¤á¡vªº¥ô¦óµ²¾l¡C
«ö·Ó¦æ¬Fªk°È¥q¥qªø©ó¤G¹s¤@¤K¦~¤K¤ë¤T¤é§@¥Xªº§å¥Ü¡G
ªk°È§½¸ê°T§U²z§Þ³Nû§õ¤Ö®S¡A¨Ñ´Ú¤H½s¸¹3007803¡A®Ú¾Ú²Ä8/2006¸¹ªk«ß²Ä¤Q¤T±ø²Ä¤@´Ú¤§³W©w¡A¦Û¤G¹s¤@¤K¦~¤C¤ë¤Q¤C¤é°_µù¾P¨ä¦b¤½¿nª÷¨î«×¤§µn°O¡C¨ä¦b¤½¿nª÷¨î«×¤U¤§¨Ñ´Ú®É¶¡º¡¤G¤Q¤G¦~¡A®Ú¾Ú¦P¤@ªk«ß²Ä¤Q¥|±ø²Ä¤@´Ú¤§³W©w¡Aq©w¨ä¦b¤½¿nª÷¨î«×¤U¦³Åv¨ú±o¡uÓ¤H¨Ñ´Ú±b¤á¡v¤§Åv¯qÂkÄݤñ²v¬°¦Ê¤À¤§¤@¦Ê¤Î¡u¿Dªù¯S§O¦æ¬F°Ï¨Ñ´Ú±b¤á¡vªºÅv¯qÂkÄݤñ²v¬°¦Ê¤À¤§¤E¤Q¤@¡C
°ªµ¥±Ð¨|»²§U¿ì¤½«Ç§Þ³Nû©PÆA¬Â¡A¨Ñ´Ú¤H½s¸¹6077291¡A®Ú¾Ú²Ä8/2006¸¹ªk«ß²Ä¤Q¤T±ø²Ä¤@´Ú¤§³W©w¡A¦Û¤G¹s¤@¤K¦~¤C¤ë¤Q¤K¤é°_µù¾P¨ä¦b¤½¿nª÷¨î«×¤§µn°O¡C¨ä¦b¤½¿nª÷¨î«×¤U¤§¨Ñ´Ú®É¶¡º¡¤Q¦~¡A®Ú¾Ú¦P¤@ªk«ß²Ä¤Q¥|±ø²Ä¤@´Ú¤§³W©w¡Aq©w¨ä¦b¤½¿nª÷¨î«×¤U¦³Åv¨ú±o¡uÓ¤H¨Ñ´Ú±b¤á¡v¤§Åv¯qÂkÄݤñ²v¬°¦Ê¤À¤§¤@¦Ê¤Î¡u¿Dªù¯S§O¦æ¬F°Ï¨Ñ´Ú±b¤á¡vªºÅv¯qÂkÄݤñ²v¬°¦Ê¤À¤§¤¤Q¡C
Åé¨|§½§Þ³N¤u¤H¶À¤¤¥þ¡A¨Ñ´Ú¤H½s¸¹6078786¡A®Ú¾Ú²Ä8/2006¸¹ªk«ß²Ä¤Q¤T±ø²Ä¤@´Ú¡]¤G¡^¶µ¤§³W©w¡A¦Û¤G¹s¤@¤K¦~¤C¤ë¤Q¤G¤é°_µù¾P¨ä¦b¤½¿nª÷¨î«×¤§µn°O¡C®Ú¾Ú¦P¤@ªk«ß²Ä¤Q¥|±ø²Ä¤@´Ú¤Î²Ä¤G´Ú¤§³W©w¡Aq©w¨ä¦b¤½¿nª÷¨î«×¤U¦³Åv¨ú±o¡uÓ¤H¨Ñ´Ú±b¤á¡v¤Î¡u¿Dªù¯S§O¦æ¬F°Ï¨Ñ´Ú±b¤á¡v¤§Åv¯qÂkÄݤñ²v¬°¦Ê¤À¤§¤@¦Ê¡C
§»«¤½Ãö¥~¨Æ¿ì¤½«Ç¤u§@¤Hû³°°·¼w¡A¨Ñ´Ú¤H½s¸¹6169366¡A®Ú¾Ú²Ä8/2006¸¹ªk«ß²Ä¤Q¤T±ø²Ä¤@´Ú¤§³W©w¡A¦Û¤G¹s¤@¤K¦~¤C¤ë¤G¤Q¤G¤é°_µù¾P¨ä¦b¤½¿nª÷¨î«×¤§µn°O¡C¨ä¦b¤½¿nª÷¨î«×¤U¤§¨Ñ´Ú®É¶¡¤Ö©ó¤¦~¡A®Ú¾Ú¦P¤@ªk«ß²Ä¤Q¥|±ø²Ä¤@´Ú¤§³W©w¡Aq©w¨ä¦b¤½¿nª÷¨î«×¤U¦³Åv¨ú±o¡uÓ¤H¨Ñ´Ú±b¤á¡v¤§Åv¯qÂkÄݤñ²v¬°¦Ê¤À¤§¤@¦Ê¤ÎµLÅv¨ú±o¡u¿Dªù¯S§O¦æ¬F°Ï¨Ñ´Ú±b¤á¡vªº¥ô¦óµ²¾l¡C
³Ò¤u¨Æ°È§½§Þ³N»²¾Éû·¨§¼ä¡A¨Ñ´Ú¤H½s¸¹6185590¡A®Ú¾Ú²Ä8/2006¸¹ªk«ß²Ä¤Q¤T±ø²Ä¤@´Ú¤§³W©w¡A¦Û¤G¹s¤@¤K¦~¤C¤ë¤G¤é°_µù¾P¨ä¦b¤½¿nª÷¨î«×¤§µn°O¡C¨ä¦b¤½¿nª÷¨î«×¤U¤§¨Ñ´Ú®É¶¡¤Ö©ó¤¦~¡A®Ú¾Ú¦P¤@ªk«ß²Ä¤Q¥|±ø²Ä¤@´Ú¤§³W©w¡Aq©w¨ä¦b¤½¿nª÷¨î«×¤U¦³Åv¨ú±o¡uÓ¤H¨Ñ´Ú±b¤á¡v¤§Åv¯qÂkÄݤñ²v¬°¦Ê¤À¤§¤@¦Ê¤ÎµLÅv¨ú±o¡u¿Dªù¯S§O¦æ¬F°Ï¨Ñ´Ú±b¤á¡vªº¥ô¦óµ²¾l¡C
«ö·Ó¦æ¬Fªk°È¥q¥qªø©ó¤G¹s¤@¤K¦~¤K¤ë¤»¤é§@¥Xªº§å¥Ü¡G
·s»D§½»´«¬¨®½ø¥q¾÷¶¾ªF¿³¡A¨Ñ´Ú¤H½s¸¹6026034¡A®Ú¾Ú²Ä8/2006¸¹ªk«ß²Ä¤Q¤T±ø²Ä¤@´Ú¡]¤@¡^¶µ¤§³W©w¡A¦Û¤G¹s¤@¤K¦~¤C¤ë¤G¤Q¥|¤é°_µù¾P¨ä¦b¤½¿nª÷¨î«×¤§µn°O¡C¨ä¦b¤½¿nª÷¨î«×¤U¤§¨Ñ´Ú®É¶¡º¡¤T¤Q¤¦~¡A®Ú¾Ú¦P¤@ªk«ß²Ä¤Q¥|±ø²Ä¤@´Ú¤Î²Ä¤T¤Q¤E±ø²Ä¤»´Ú¤§³W©w¡Aq©w¨ä¦b¤½¿nª÷¨î«×¤U¦³Åv¨ú±o¡uÓ¤H¨Ñ´Ú±b¤á¡v¡B¡u¿Dªù¯S§O¦æ¬F°Ï¨Ñ´Ú±b¤á¡v¤Î¡u¯S§O±b¤á¡v¤§Åv¯qÂkÄݤñ²v¬°¦Ê¤À¤§¤@¦Ê¡C
½Ã¥Í§½§Þ³N»²¾Éû³¯¼y»Ê¡A¨Ñ´Ú¤H½s¸¹6058432¡A®Ú¾Ú²Ä8/2006¸¹ªk«ß²Ä¤Q¤T±ø²Ä¤@´Ú¡]¤@¡^¶µ¤§³W©w¡A¦Û¤G¹s¤@¤K¦~¤C¤ë¤Q¤¤é°_µù¾P¨ä¦b¤½¿nª÷¨î«×¤§µn°O¡C¨ä¦b¤½¿nª÷¨î«×¤U¤§¨Ñ´Ú®É¶¡º¡¤G¤Q¤C¦~¡A®Ú¾Ú¦P¤@ªk«ß²Ä¤Q¥|±ø²Ä¤@´Ú¤Î²Ä¥|¤Q±ø²Ä¥|´Ú¤§³W©w¡Aq©w¨ä¦b¤½¿nª÷¨î«×¤U¦³Åv¨ú±o¡uÓ¤H¨Ñ´Ú±b¤á¡v¡B¡u¿Dªù¯S§O¦æ¬F°Ï¨Ñ´Ú±b¤á¡v¤Î¡u¯S§O±b¤á¡v¤§Åv¯qÂkÄݤñ²v¬°¦Ê¤À¤§¤@¦Ê¡C
ÀË¹îªø¿ì¤½«Ç§Þ³N»²¾Éû·¨°·¤å¡A¨Ñ´Ú¤H½s¸¹6083097¡A®Ú¾Ú²Ä8/2006¸¹ªk«ß²Ä¤Q¤T±ø²Ä¤@´Ú¤§³W©w¡A¦Û¤G¹s¤@¤K¦~¤C¤ë¤Q¤¤é°_µù¾P¨ä¦b¤½¿nª÷¨î«×¤§µn°O¡C¨ä¦b¤½¿nª÷¨î«×¤U¤§¨Ñ´Ú®É¶¡º¡¤Q¦~¡A®Ú¾Ú¦P¤@ªk«ß²Ä¤Q¥|±ø²Ä¤@´Ú¤§³W©w¡Aq©w¨ä¦b¤½¿nª÷¨î«×¤U¦³Åv¨ú±o¡uÓ¤H¨Ñ´Ú±b¤á¡v¤§Åv¯qÂkÄݤñ²v¬°¦Ê¤À¤§¤@¦Ê¤Î¡u¿Dªù¯S§O¦æ¬F°Ï¨Ñ´Ú±b¤á¡vªºÅv¯qÂkÄݤñ²v¬°¦Ê¤À¤§¤¤Q¡C
½Ã¥Í§½¤@¯ëªA°È§U²zû¼Ú¥òÃð¡A¨Ñ´Ú¤H½s¸¹6206300¡A®Ú¾Ú²Ä8/2006¸¹ªk«ß²Ä¤Q¤T±ø²Ä¤@´Ú¤§³W©w¡A¦Û¤G¹s¤@¤K¦~¤C¤ë¤Q¤¤é°_µù¾P¨ä¦b¤½¿nª÷¨î«×¤§µn°O¡C¨ä¦b¤½¿nª÷¨î«×¤U¤§¨Ñ´Ú®É¶¡¤Ö©ó¤¦~¡A®Ú¾Ú¦P¤@ªk«ß²Ä¤Q¥|±ø²Ä¤@´Ú¤§³W©w¡Aq©w¨ä¦b¤½¿nª÷¨î«×¤U¦³Åv¨ú±o¡uÓ¤H¨Ñ´Ú±b¤á¡v¤§Åv¯qÂkÄݤñ²v¬°¦Ê¤À¤§¤@¦Ê¤ÎµLÅv¨ú±o¡u¿Dªù¯S§O¦æ¬F°Ï¨Ñ´Ú±b¤á¡vªº¥ô¦óµ²¾l¡C
«ö·Ó¦æ¬Fªk°È¥q¥qªø©ó¤G¹s¤@¤K¦~¤K¤ë¤»¤éªº§å¥Ü¡G
®Ú¾Ú²Ä12/2015¸¹ªk«ß¡m¤½¦@³¡ªù³Ò°Ê¦X¦P¨î«×¡n²Ä¤G¤Q¥|±ø²Ä¤T´Ú¡]¤@¡^¶µ¤Î²Ä¥|´Úªº³W©w¡A¥»·|²Ä¤@¾¶¥¤Gµ¥§Þ³Nû³¢ÀA¤åªº¦æ¬F¥ô¥Î¦X¦PÀòקאּªø´Á¦æ¬F¥ô¥Î¦X¦P¡A¦Û¤G¹s¤@¤K¦~¤C¤ë¤Q¤@¤é°_¥Í®Ä¡C
¡X¡X¡X
¤G¹s¤@¤K¦~¤K¤ë¤E¤é©ó°h¥ð°òª÷·|
¦æ¬FºÞ²z©eû·|¥D®u ·¨»ü»ö
¸g ÀÙ §½
§å ¥Ü ºK ¿ý
ºK¿ý¦Ûñ¸p¤H©ó¤G¹s¤@¤K¦~¤K¤ë¤T¤é¤§§å¥Ü¡G
§õ¤Ö±j¡X¡X®Ú¾Ú²Ä12/2015¸¹ªk«ß²Ä¥|±ø¡A¨ÃÁp¦P¸g²Ä4/2017¸¹ªk«ßק諸²Ä14/2009¸¹ªk«ß²Ä¤Q¤T±ø²Ä¤@´Ú¡]¤G¡^¶µ¤Î²Ä¥|´Ú¤§³W©w¡A¥Hªþµù§Î¦¡×§ï¨ä¦b¥»§½¾á¥ô¾°Èªº¤£¨ã´Á¦æ¬F¥ô¥Î¦X¦P²Ä¤T±ø´Ú¡A¦Û¤G¹s¤@¤K¦~¤K¤ë¤@¤é®Ê¶¥¦Ü²Ä¤G¾¶¥¤@µ¥·þ¹î¡AÁ~ÄÂI¬°340¡C
¡X¡X¡X
¤G¹s¤@¤K¦~¤K¤ë¤C¤é©ó¸gÀÙ§½
¥N§½ªø ³¯¤l¼z
°] ¬F §½
¿Dªù¯S§O¦æ¬F°Ï
»P
¿Dªù·sºÖ§Q¤½¦@¨T¨®¦³¤½¥q
ñ¸p¤§¤½ÃÒ¦X¦PºK¿ý
¹D¸ô¶°Åé«È¹B¤½¦@ªA°È¡X¡X²Ä¤@¼Ð¬q¤Î²Ä¥|¼Ð¬q
¤½ÃÒ¦X¦P¤§×§ï¦X¦P
¯÷ÃÒ©ú¡G²{³z¹L2018¦~7¤ë31¤é°]¬F§½¤½ÃÒ³B²Ä253A¸¹Ã¯¥U²Ä82¶¦Ü98¶I¶Âµ¥ß¤§¤½ÃÒ¦X¦P¡A¹ï2011¦~1¤ë3¤é¦b¦P¤@¤½ÃÒ³B²Ä21A¸¹Ã¯¥U²Ä72¶¦Ü80¶I¶Ã±¸pªº¡A¨Ã©ó2016¦~1¤ë14¤é²Ä162A¸¹Ã¯¥U²Ä138¶¦Ü150¶¤Î©ó2018¦~4¤ë18¤é²Ä243A¸¹Ã¯¥U²Ä95¶¦Ü100¶Ã±¸pªº¹D¸ô¶°Åé«È¹B¤½¦@ªA°È²Ä¤@¼Ð¬q¤Î²Ä¥|¼Ð¬q¤½ÃÒ¦X¦P×q¥»¦A§@¥X×q¡Aק諸¤º®eºK¿ý¦p¤U¡G
¡§²Ä¤@±ø
×q
¿Dªù¯S§O¦æ¬F°Ï»P¿Dªù·sºÖ§Q¤½¦@¨T¨®¦³¤½¥q©ó2011¦~1¤ë3¤éñ¸p¡A¨Ã©ó2016¦~1¤ë14¤é¤Î©ó2018¦~4¤ë18¤é§@¥X×qªº¦³Ãö¹D¸ô¶°Åé«È¹B¤½¦@ªA°È¡X¡X²Ä¤@¼Ð¬q¤Î²Ä¥|¼Ð¬qªº¤½ÃÒ¦X¦P×q¥»²Ä¤@±ø¡B²Ä¤±ø¡B²Ä¤»±ø¡B²Ä¤C±ø¡B²Ä¤E±ø¡B²Ä¤Q±ø¡Bªþ¥ó¤@²Ä¤C±ø¦Ü²Ä¤Q±ø¡Bªþ¥ó¤T²Ä¤G±ø¡Bªþ¥ó¤¤Îªþ¥ó¤C×q¦p¤U¡G
¡§²Ä¤@±ø
©w¸q
¥H¤U©w¸q¾A¥Î©ó¥»¦X¦P¤Îªþ¥ó¡G
¡]¤@¡^......
¡]¤G¡^......
¡]¤T¡^......
¡]¥|¡^......
¡]¤¡^......
¡]¤»¡^Àç¹B´Á¡X¡X«ü©Ó§å¤H¦Û2016¦~1¤ë16¤é¦Ü2019¦~10¤ë31¤é¸gÀ祻§åµ¹ªA°Èªº´Á¶¡¡A¥]¬A¡G
¡]1¡^......
¡]2¡^......
¡]3¡^2018¦~¤W¥b¦~ªºÀç¹B´Á¬°2018¦~1¤ë1¤é¦Ü2018¦~7¤ë31¤é¡F
¡]4¡^2018¦~¤U¥b¦~ªºÀç¹B´Á¬°2018¦~8¤ë1¤é¦Ü2018¦~12¤ë31¤é¡F
¡]5¡^2019¦~ªºÀç¹B´Á¬°2019¦~1¤ë1¤é¦Ü2019¦~10¤ë31¤é¡C
¡]¤C¡^......
¡]¤K¡^......
¡]¤E¡^°ò¥»Àç¹BÃþ«¬¤½¨½¼Æ¡X¡X«ü¥ÑºÊ¹î¹êÅé«öÀç¹B´Áq©wªºÀç¹BÃþ«¬¤½¨½¼Æ¡A¥]¬A¡G
¡]1¡^2016¦~Àç¹B´Áªº°ò¥»Àç¹BÃþ«¬¤½¨½¼Æ¸ü©óªþ¥ó¤@²Ä¤Q±ø²Ä¤@´Ú¡F
¡]2¡^2017¦Ü2018¦~¤W¥b¦~Àç¹B´Áªº°ò¥»Àç¹BÃþ«¬¤½¨½¼Æ¥ÑºÊ¹î¹êÅé«öªþ¥ó¤@²Ä¤K±ø¡B²Ä¤E±ø©Ò¸üªº¸ô½u¯S¼x¤Î¨äÕ¦³ªº½Õ¾ã¦Óq©w¡A¦ý¤£¥]¬A¹ïÀ³Àç¹B´Á¤ÎÕ¦³ªº¤W¨âÀç¹B´Á¦]¼W¥[¸ô½u©Ò¯A¤ÎªºÀç¹BÃþ«¬¤½¨½¼Æ¡F
¡]3¡^2018¦~¤U¥b¦~Àç¹B´Áªº°ò¥»Àç¹BÃþ«¬¤½¨½¼Æ¸ü©óªþ¥ó¤@²Ä¤Q¤@±ø²Ä¤@´Ú¡F
¡]4¡^2019¦~Àç¹B´Áªº°ò¥»Àç¹BÃþ«¬¤½¨½¼Æ¥ÑºÊ¹î¹êÅé«ö·Óªþ¥ó¤@²Ä¤K±ø¡B²Ä¤E±ø©Ò¸üªº¸ô½u¯S¼x¤Î¨äÕ¦³ªº½Õ¾ã¦Óq©w¡A¦ý¤£¥]¬A¹ïÀ³Àç¹B´Á¤ÎÕ¦³ªº¹L¥hÀç¹B´Á¦]¼W¥[¸ô½u©Ò¯A¤ÎªºÀç¹BÃþ«¬¤½¨½¼Æ¡C
¡]¤Q¡^......
²Ä¤±ø
§åµ¹´Á
¤@¡B¹D¸ô¶°Åé«È¹B¤½¦@ªA°È¢w¢w²Ä¤@¼Ð¬q¤Î²Ä¥|¼Ð¬q§åµ¹©ó2019¦~10¤ë31¤é©¡º¡¡A¦ý¤£¼vÅT¿Dªù¯S§O¦æ¬F°Ï«ö·Ó¥»¦X¦Pªº³W©w¦æ¨ÏÅ«¦^Åv©Î¸Ñ°£Åvªº±¡ªp¡A¥B¤£¼vÅT¤U´Úªº³W©w¡C
¤G¡B......
¤T¡B ......
¥|¡B......
²Ä¤»±ø
²¼´Ú¦¬¤J
¤@¡B......
¤G¡B......
¤T¡B......
¥|¡B©Ó§å¤H¥²¶·«ö·Ó¿Dªù¯S§O¦æ¬F°Ïªºn¨D¡A¦V¼«ÈµLÀv´£¨Ñ«ü©wªº¨®¸êÀu´f¤ÎÂà¼Àu´f¡A¤Î³]©w¬Û·í©ó°»ùªº¼¨®Àu´f±¹¬I¡A¦Ó©Ó§å¤H¶·¦Û¦æ©Ó¾á¦]¦b2018¦~8¤ë1¤é«e¤w±À¦æªº¦³Ãö±¹¬I¦Ó´î¤Öªº²¼´Ú¦¬¤J¡A¦ý¤£¼vÅT²Ä¤K±ø¤Î²Ä¤E±øªº³W©w¡A¤×¨ä¬O¹ê³ø¹ê¾PÀ³±oªºªA°È»ùÈ®tÃB¡C
¤¡B......
¤»¡B......
¤C¡B......
¤K¡B......
¤E¡B......
¤Q¡B¦Û2018¦~8¤ë1¤é°_¡AÕ¿Dªù¯S§O¦æ¬F°Ï§ó§ï¦¬¶O¨î«×¦Ó¥O©Ó§å¤H¦³·l¥¢©Î±o¯q®É¡AÂù¤è±N³z¹L¨óij½Õ¾ã²Ä¤K±ø¤Î²Ä¤E±øªºªA°È»ùÈ®tÃBª÷ÃB¡C
²Ä¤C±ø
µ¹¤©¿Dªù¯S§O¦æ¬F°Ïªº¦^³ø
¥Ñ©ó¹w®Æª½¦Ü¤½¦@ªA°È§åµ¹©¡º¡¡]2019¦~10¤ë31¤é¡^«e¡A¥»¦X¦P¼Ðªº¦]¸gÀç±ø¥ó©MÀç¹B´Á¸ûµu¡A¤£·|²£¥Í©Ó§å¤H¦V¿Dªù¯S§O¦æ¬F°Ï§@¥X¦^³ø©Ò»Ýªº°]·½¡A©Ó§å¤HÀòÁŧK¦V¿Dªù¯S§O¦æ¬F°Ï¤ä¥I¥»§åµ¹ªº¦^³ø¡C
²Ä¤E±ø
¦UÀç¹B´ÁªºªA°È»ùÈ®tÃB
¤@¡B......
¡]¤@¡^......
¡]¤G¡^¬°¨ú±o2017¦~¦Ü2018¦~¤W¥b¦~Àç¹B´ÁªºªA°È»ùÈ®tÃB¡A¶·©ó¹ïÀ³Àç¹B´Áªº¤W¤@¦~9¤ë¥÷¤º¦V¿Dªù¯S§O¦æ¬F°Ï´£¥æ¥Ó½Ð¡A¨ä¤º¶·¸ü©ú¥HºÊ¹î¹êÅé«öªþ¥ó¤@²Ä¤Q±ø²Ä¤T´Úªº³W©wq©wªº¹wpÀç¹BÃþ«¬¤½¨½¼Æ¡A«ö·Óªþ¥ó¤²Ä¤T´Ú¦Ü²Ä¤´Úªº³W©wpºâ©Ò¯A¤ÎªºªA°È»ùÈ®tÃB¹wpª÷ÃB¡F
¡]¤T¡^¬°¨ú±o2018¦~¤U¥b¦~Àç¹B´ÁªºªA°È»ùÈ®tÃB¡A¶·©ó¥»¦X¦Pñq¤é°_p¤Ó¤u§@¤é¤º¦V¿Dªù¯S§O¦æ¬F°Ï´£¥æ¥Ó½Ð¡A¨ä¤º¶·¸ü©ú¥HºÊ¹î¹êÅé«öªþ¥ó¤@²Ä¤Q¤@±ø²Ä¤@´Ú¤Î²Ä¤G´Úªº³W©wq©wªº¹wpÀç¹BÃþ«¬¤½¨½¼Æ¡A«ö·Óªþ¥ó¤²Ä¤T´Ú¦Ü²Ä¤´Úªº³W©wpºâ©Ò¯A¤ÎªºªA°È»ùÈ®tÃB¹wpª÷ÃB¡F
¡]¥|¡^¬°¨ú±o2019¦~Àç¹B´ÁªºªA°È»ùÈ®tÃB¡A¶·©ó2018¦~9¤ë¥÷¤º¦V¿Dªù¯S§O¦æ¬F°Ï´£¥æ¥Ó½Ð¡A¨ä¤º¶·¸ü©ú¥HºÊ¹î¹êÅé«öªþ¥ó¤@²Ä¤Q¤@±ø²Ä¤T´Úªº³W©wq©wªº¹wpÀç¹BÃþ«¬¤½¨½¼Æ¡A«ö·Óªþ¥ó¤²Ä¤T´Ú¦Ü²Ä¤´Úªº³W©wpºâ©Ò¯A¤ÎªºªA°È»ùÈ®tÃB¹wpª÷ÃB¡F
¡]¤¡^ì²Ä¡]¤T¡^¶µ¡C
¤G¡B......
¤T¡B......
¥|¡B......
¤¡B¡K¡K
¤»¡B......
²Ä¤Q±ø
©Ó§å¤Hªº¸q°È
¤@¡B......
¡]¤@¡^......
¡]¤G¡^......
¡]¤T¡^......
¡]¥|¡^......
¡]¤¡^......
¡]¤»¡^¶·©ó¥»¦X¦Pñq¤é°_p¤QÓ¤u§@¤é¤º¡A«ö·Óªþ¥ó¤»²Ä¤@±øªº³W©w¦V¿Dªù¯S§O¦æ¬F°Ï´£¥æ2018¦~8¤ë1¤é¦Ü2019¦~10¤ë31¤éªº¾ãÅép¹º¡A¨ä¤¤¶·¥]¬A©Ó§å¤Hªº§ë¸êp¹º¤Î¨®½øºÞ²zp¹º¡F
¡]¤C¡^......
¤G¡B......
¤T¡B......
¥|¡B......
¤¡B......
ªþ¥ó¤@
¸ô½u¯S¼x
²Ä¤C±ø
¸ô½uÁ`Äý
©Ó§å¤Hªº©ÒÀç¸ô½u¥]¬A¥H¤U¤T¤Q¤G±ø¸ô½u¡G
¡]¤@¡^1A¸ô½u¡F
¡]¤G¡^4¸ô½u¡F
¡]¤T¡^5¸ô½u¡F
¡]¥|¡^5AX¸ô½u¡F
¡]¤¡^5X¸ô½u¡F
¡]¤»¡^9¸ô½u¡F
¡]¤C¡^9A¸ô½u¡F
¡]¤K¡^15¸ô½u¡F
¡]¤E¡^15T¸ô½u¡F
¡]¤Q¡^16¸ô½u¡F
¡]¤Q¤@¡^17¸ô½u¡F
¡]¤Q¤G¡^25¸ô½u¡F
¡]¤Q¤T¡^25AX¸ô½u¡F
¡]¤Q¥|¡^25B¸ô½u¡F
¡]¤Q¤¡^26¸ô½u¡F
¡]¤Q¤»¡^26A¸ô½u¡F
¡]¤Q¤C¡^28C¸ô½u¡F
¡]¤Q¤K¡^32¸ô½u¡F
¡]¤Q¤E¡^32T¸ô½u¡F
¡]¤G¤Q¡^33¸ô½u¡F
¡]¤G¤Q¤@¡^34¸ô½u¡F
¡]¤G¤Q¤G¡^37¸ô½u¡F
¡]¤G¤Q¤T¡^37T¸ô½u¡F
¡]¤G¤Q¥|¡^39¸ô½u¡F
¡]¤G¤Q¤¡^51¸ô½u¡F
¡]¤G¤Q¤»¡^51A¸ô½u¡F
¡]¤G¤Q¤C¡^72¸ô½u¡F
¡]¤G¤Q¤K¡^AP1¸ô½u¡F
¡]¤G¤Q¤E¡^AP1X¸ô½u¡F
¡]¤T¤Q¡^H3¸ô½u¡F
¡]¤T¤Q¤@¡^MT4¸ô½u¡F
¡]¤T¤Q¤G¡^102X¡C
²Ä¤K±ø
¸ô½u°ò¥»ªA°È¸ê®Æ
¤@¡B©Ó§å¤H©ÒÀç¸ô½uªºÁ`¯¸¡B°ò¥»ªA°È®É¶¡¡B°ò¥»¯Z¦¸ÀW²v¡B¨®«¬¡B¸ô½u¤½¨½¼Æ¡B¨C¤é¤é¶¡°ò¥»¯Z¦¸¶q¤Î¨C¤é²`®d°ò¥»¯Z¦¸¶q¦p¤U¡G
| ¸ô½u½s¸¹ | Á`¯¸ | °ò¥»ªA°È®É¶¡ | °ò¥»¯Z¦¸ÀW²v ¡]¤ÀÄÁ¡^ |
¨®«¬ | ¸ô½u¤½¨½¼Æ ¡]¤½¨½¡^ |
| 1A | ¸_¤l°òÁ`¯¸¡B·s¤f©¤/¬ì^¥¬©Ôµó | 6¡G00-²Ý¤é00¡G10 | 4-15 | ¤j¤Ú | 11.86 |
| 4 | ¸_¤l°òÁ`¯¸ | 6¡G00-²Ý¤é00¡G10 | 6-20 | ¤¤¤Ú | 6.28 |
| 5 | ®È¹C¶ð/¦æ¨®ÀG¹D | 5¡G40-²Ý¤é01¡G00 | 6-10 | ¤j¤Ú | 14.34 |
| 5AX | ®È¹C¶ð/¦æ¨®ÀG¹D | 6¡G30-10¡G00 | 10-15 | ¤j¤Ú | 13.66 |
| ¡]¬P´Á¤é¤Î¤½²³°²´Á°±¾p¡^ | |||||
| 5X | ¨F±ùÀY¥_µó/¸_¤l°ò¥_ÆW | 7¡G00-9¡G30 | 5-15 | ¤j¤Ú | 9.48 |
| 17¡G00-19¡G30 | |||||
| ¡]¬P´Á¤é¤Î¤½²³°²´Á°±¾p¡^ | |||||
| 9 | ªª³õµóÁ`¯¸ | 5¡G45-²Ý¤é01¡G10 | 10-15 | ¤p¤Ú | 16.63 |
| 9A | µæ¶é¯FÃäµó | 5¡G45-²Ý¤é01¡G10 | 8-18 | ¤j¤Ú | 13.11 |
| 15 | ®ü¬vªá¶éÁA±æ¥x¡B¤E¿D§ø | 6¡G00-20¡G00 | 30-45 | ¤p¤Ú | 32.42 |
| 15T | ¶Â¨F®üÅy | ¡]®É¸`©Ê¹ê¬I¡^ | 10-18 | ¤j¤Ú | 9.57 |
| 16 | µæ¶é¯FÃäµóÁ`¯¸ | 6¡G00-²Ý¤é01¡G00 | 4-10 | ¤p¤Ú | 11.03 |
| 17 | ¥ÕÂF±_Á`¯¸ | 5¡G30-²Ý¤é00¡G50 | 6-10 | ¤p¤Ú | 13.45 |
| 25 | ¤Úªi¨F¤j°¨¸ô¡B¸ôÀô¥«°Ï | 6¡G00-²Ý¤é01¡G15 | 5-18 | ¤j¤Ú | 30.26 |
| 25AX | Ãö¹h¼s³õ | 6¡G00-9¡G00 | 8-12 | ¤j¤Ú | 26.79 |
| ¡]±j¨î©Ê°²¤é°±¾p¡^ | |||||
| 25B | ªª³õµóÁ`¯¸ | 6¡G00-²Ý¤é01¡G00 | 6-12 | ¤j¤Ú | 27.91 |
| 26 | ¨F±ùÀY¥_µó/¸_¤l°ò¥_ÆW¡B¸ôÀô¥«°Ï | 6¡G00-00¡G00 | 16-25 | ¤¤¤Ú | 45.53 |
| 26A | ¨F±ùÀY¥_µó/¸_¤l°ò¥_ÆW¡B¶Â¨F®üÅy | 6¡G00-²Ý¤é01¡G00 | 8-15 | ¤j¤Ú | 40.02 |
| 28C | ¦^¤O | 5¡G40-²Ý¤é00¡G45 | 10-15 | ¤p¤Ú | 12.65 |
| 32 | ¸_¤l°òÁ`¯¸ | 6¡G00-00¡G00 | 5-10 | ¤j¤Ú | 15.62 |
| 32T | ¨È°¨³â«e¦a | ¡]®É¸`©Ê¹ê¬I¡^ | 10-15 | ¤j¤Ú | 4.34 |
| 33 | ¸_¤l°òÁ`¯¸ | 5¡G30-²Ý¤é00¡G30 | 3-8 | ¤j¤Ú | 20 |
| 34 | µæ¶é¯FÃäµóÁ`¯¸¡B®ü¬vªá¶éÁA±æ¥x | 6¡G00-²Ý¤é01¡G00 | 5-15 | ¤j¤Ú | 25.47 |
| 37 | ªQ¾ð§ÀÁ`¯¸ | 6¡G30-23¡G30 | 15-20 | ¤p¤Ú | 12.06 |
| 37T | ´ò¯`¤j·H | ²M©ú¸`¤Î«¶§¸` | 5 | ¤j¤Ú | 5.63 |
| 8¡G00-17¡G30 | |||||
| 39 | ¨È°¨³â«e¦a | 6¡G00-00¡G00 | 10-12 | ¤¤¤Ú | 10.37 |
| 51 | ½¹½º¨¦¤j°¨¸ôÁ`¯¸ | 5¡G30-²Ý¤é01¡G00 | 4-15 | ¤j¤Ú¤Î¯S¤j¤Ú | 26.66 |
| 51A | ®üÀº¤ÑÁ`¯¸¡B½¹½º¨¦¤j°¨¸ôÁ`¯¸ | 6¡G00-00¡G00 | 6-20 | ¤j¤Ú | 33.18 |
| 72 | ¿Dªù¤j¾ÇÁ`¯¸ | 6¡G00-²Ý¤é00¡G15 | 8-15 | ¤j¤Ú | 20.85 |
| AP1 | Ãö¹h¼s³õ | 6¡G00-²Ý¤é01¡G20 | 5-12 | ¤j¤Ú | 23.62 |
| AP1X | Ãö¹h¼s³õ | 6¡G00-10¡G00 | 6-15 | ¤j¤Ú | 18.13 |
| 15¡G00-20¡G00 | |||||
| ¡]±j¨î©Ê°²¤é°±¾p¡^ | |||||
| H3 | ½¹½º¨¦¤j°¨¸ôÁ`¯¸ | 6¡G20-20¡G00 | 20 | ¤p¤Ú | 20.74 |
| MT4 | ¬ö©À®]¤¤¤s¤½¶é¡B氹¥J«È¹B½XÀY | 5¡G45-²Ý¤é00¡G45 | 6-15 | ¤j¤Ú | 37.15 |
| 102X | ´ä¯]¿D¤j¾ô¿DªùÃäÀˤj¼Ó | 7¡G00-23¡G00 | 12-20 | ¤j¤Ú | 28.27 |
¤G¡B......
²Ä¤E±ø
¸ô½u¦æµ{
¤@¡B©Ó§å¤H©ÒÀç¸ô½uªº¦æµ{¦p¤U¡G
| ¸ô½u½s¸¹ | ¤è¦V | ¦æµ{ |
| 1A | ¸_¤l°òÁ`¯¸➝·s¤f©¤¡þ¬ì^¥¬©Ôµó | ©M¼Ö¤j°¨¸ô¡B¼}©Ô¤h¤j°¨¸ô¡B¤Í½Ë¤j°¨¸ô¡B®ü´ä«e¦a¡B°ª¬ü¤hµó¡B¬ì^¥¬©Ôµó |
| ·s¤f©¤¡þ¬ì^¥¬©Ôµó➝¸_¤l°òÁ`¯¸ | ¬ì^¥¬©Ôµó¡B°ª¬ü¤hµó¡B¤Í½Ë¤j°¨¸ô¡B¼}©Ô¤h¤j°¨¸ô¡B«C¬w¤j°¨¸ô¡B©M¼Ö¤j°¨¸ô | |
| 4 | --- | ©M¼Ö¤j°¨¸ô¡B¶®·G³X¤j°¨¸ô¡B¤h¦h³¾«ô´µ¤j°¨¸ô¡B¤ô§|§Àµó¡B·s°¨¸ô¡B¨F±ùÀY®üÃäµó¡Bíá¨Ç³â´£·þ¤j°¨¸ô¡B©M¼Ö¤j°¨¸ô |
| 5 | --- | ¦èÆW´ò´º¤j°¨¸ô¡B·s°¨¸ô¡B°ª¤h¼w¤j°¨¸ô¡Bµæ¶é¯FÃäµó¡BÃö¹h°¨¸ô¡B°ª¤h¼w¤j°¨¸ô¡Bù²z°ò³Õ¤h¤j°¨¸ô¡B·s°¨¸ô¡B¦èÆW´ò´º¤j°¨¸ô |
| 5AX | --- | ¦èÆW´ò´º¤j°¨¸ô¡B¨F±ùÀY¥_µó¡BÃö¹h°¨¸ô¡B°ª¤h¼w¤j°¨¸ô¡Bù²z°ò³Õ¤h¤j°¨¸ô¡B·s°¨¸ô¡B¦èÆW´ò´º¤j°¨¸ô |
| 5X | --- | ¨F±ùÀY¥_µó¡B¬ü°Æ±N¤j°¨¸ô¡Bù²z°ò³Õ¤h¤j°¨¸ô¡B§º¥É¥Í¼s³õ¡Bù²z°ò³Õ¤h¤j°¨¸ô¡B°ª¤h¼w¤j°¨¸ô¡B¨F±ùÀY¥_µó |
| 9 | --- | ªª³õµó¡B°ª¤h¼w¤j°¨¸ô¡B¤ô§|§Àµó¡B¥Á°ê¤j°¨¸ô¡B§õ¥[¸Sµó¡B·¶¶°óµó¡B¥Á°ê¤j°¨¸ô¡B¤ô§|§Àµó¡B°ª¤h¼w¤j°¨¸ô¡Bªª³õµó |
| 9A | --- | µæ¶é¯FÃäµó¡B°ª¤h¼w¤j°¨¸ô¡B¤ô§|§Àµó¡B¨È°¨³â«e¦a¡B¦èÆW´ò¼s³õ¡B¦óÂEêP³Õ¤h¤j°¨¸ô¡B¤ô§|§Àµó¡B°ª¤h¼w¤j°¨¸ô¡Bíá¨Ç³â´£·þ¤j°¨¸ô¡B¤Úªi¨F¤j°¨¸ô¡Bµæ¶é¯FÃäµó |
| 15 | ®ü¬vªá¶éÁA±æ¥x➝¤E¿D§ø | ªá¶éµó¡B¬_ºû¯Ç°¨¸ô¡B¸ô氹³s³e¤½¸ô¡B¥Û±ÆÆW°¨¸ô¡B¦ËÆW°¨¸ô¡B¶Â¨F°¨¸ô¡B¤E¿D§ø¸ô |
| ¤E¿D§ø➝®ü¬vªá¶éÁA±æ¥x | ¤E¿D§ø¸ô¡B¶Â¨F°¨¸ô¡B¦ËÆW°¨¸ô¡B¥Û±ÆÆW°¨¸ô¡B¸ô氹³s³e¤½¸ô¡B¦a³ùµó¡B¬_ºû¯Ç°¨¸ô¡Bªá¶éµó | |
| 15T | --- | ·s¶Â¨F°¨¸ô¡B¶Â¨F°¨¸ô¡B¤E¿D°ª³»°¨¸ô¡B©M¿Ó¼s³õ¡B¤E¿D°ª³»°¨¸ô¡B¶Â¨F°¨¸ô¡B·s¶Â¨F°¨¸ô |
| 16 | --- | µæ¶é¯FÃäµó¡BÃö¹h°¨¸ô¡Bíá¨Ç³â´£·þ¤j°¨¸ô¡B§õ¥[¸Sµó¡B·¶¶°óµó¡B¦è§|µó¡B¥Á°ê¤j°¨¸ô¡B¤ô§|§Àµó¡B¶®·G³X¤j°¨¸ô¡Bµæ¶é¯FÃäµó |
| 17 | --- | ¥ÕÂF±_«e¦a¡B³s³Ó°¨¸ô¡B±o³Ó°¨¸ô¡B§º¥É¥Í¼s³õ¡B¼}©Ô¤h¤j°¨¸ô¡BÃö¹h°¨¸ô¡B¶®·G³X¤j°¨¸ô¡B¸ë§B¼Ö´£·þµó¡B¥ÕÂF±_«e¦a |
| 25 | ¤Úªi¨F¤j°¨¸ô➝¸ôÀô¥«°Ï | ¤Úªi¨F¤j°¨¸ô¡B¬ü°Æ±N¤j°¨¸ô¡B¤ô§|§Àµó¡B¹Å¼Ö§ÈÁ`·þ¤j¾ô¡B®]¶h¥P³Õ¤h¤j°¨¸ô¡B¸ô氹³s³e¤½¸ô¡B©M¿Ó¼s³õ¡B®¦¥§´µÁ`²Î«e¦a |
| ¸ôÀô¥«°Ï➝¤Úªi¨F¤j°¨¸ô | ®¦¥§´µÁ`²Î«e¦a¡B©M¿Ó¼s³õ¡B¸ô氹³s³e¤½¸ô¡B®]¶h¥P³Õ¤h¤j°¨¸ô¡B¹Å¼Ö§ÈÁ`·þ¤j¾ô¡B¤ô§|§Àµó¡B°ª¤h¼w¤j°¨¸ô¡B¤Úªi¨F¤j°¨¸ô | |
| 25AX | --- | Ãö¹h¼s³õ¡B³Ò°Ê¸`¤j°¨¸ô¡B¹Å¼Ö§ÈÁ`·þ¤j¾ô¡B¸ô氹³s³e¤½¸ô¡B©M¿Ó¼s³õ¡B¸ô氹³s³e¤½¸ô¡B¹Å¼Ö§ÈÁ`·þ¤j¾ô¡B¶Â¨FÀô·sµó¡BÃö¹h¼s³õ |
| 25B | --- | ªª³õµó¡B¬ü°Æ±N¤j°¨¸ô¡B¤ô§|§Àµó¡B¹Å¼Ö§ÈÁ`·þ¤j¾ô¡B±æ¼w¸t¥ÀÆW¤j°¨¸ô¡B¸ô氹³s³e¤½¸ô¡B¶øªL¤Ç§J¤j°¨¸ô¡B¹Å¼Ö§ÈÁ`·þ¤j¾ô¡B¤ô§|§Àµó¡B°ª¤h¼w¤j°¨¸ô¡B¤Úªi¨F¤j°¨¸ô |
| 26 | ¨F±ùÀY¥_µó/¸_¤l°ò¥_ÆW➝¸ôÀôµó¥« | ¨F±ùÀY¥_µó¡BªeÃä·sµó¡B¦èÆW¤j¾ô¡B¬_ºû¯Ç°¨¸ô¡B¥_¦w¤j°¨¸ô¡B¸ô氹³s³e¤½¸ô¡B©M¿Ó¼s³õ¡B®¦¥§´µÁ`²Î«e¦a |
| ¸ôÀôµó¥«➝¨F±ùÀY¥_µó/¸_¤l°ò¥_ÆW | ®¦¥§´µÁ`²Î«e¦a¡B©M¿Ó¼s³õ¡B¸ô氹³s³e¤½¸ô¡B«H¦w°¨¸ô¡B¬_ºû¯Ç°¨¸ô¡B¦èÆW¤j¾ô¡B¨FÄæ¥Jµó¡BÃè´ò°¨¸ô¡B¨F±ùÀY¥_µó | |
| 26A | ¨F±ùÀY¥_µó/¸_¤l°ò¥_ÆW➝¶Â¨F®üÅy | ¨F±ùÀY¥_µó¡B·s°¨¸ô¡B¹Å¼Ö§ÈÁ`·þ¤j¾ô¡B±æ¼w¸t¥ÀÆW¤j°¨¸ô¡B¸ô氹³s³e¤½¸ô¡B¦ËÆW°¨¸ô¡B·s¶Â¨F°¨¸ô |
| ¶Â¨F®üÅy➝¨F±ùÀY¥_µó/¸_¤l°ò¥_ÆW | ·s¶Â¨F°¨¸ô¡B¦ËÆW°¨¸ô¡B¸ô氹³s³e¤½¸ô¡B±æ¼w¸t¥ÀÆW¤j°¨¸ô¡B¹Å¼Ö§ÈÁ`·þ¤j¾ô¡B·s°¨¸ô¡B¨F±ùÀY¥_µó | |
| 28C | ¦^¤O➝Ãö¹h | ®ü´äµó¡B¥[«äÄæ°¨¸ô¡BÚ§Q³âµó¡BÃö¹h°¨¸ô¡B°ª¤h¼w¤j°¨¸ô¡B¥[«äÄæ°¨¸ô¡B°ª¬ü¤hµó¡B®ü´äµó |
| 32 | --- | ©M¼Ö¤j°¨¸ô¡B°ª¤h¼w¤j°¨¸ô¡B®ü´ä«e¦a¡Bù²z°ò³Õ¤h¤j°¨¸ô¡B¦èÆW´ò¼s³õ¡B«nÆW¤j°¨¸ô¡B¤ô¶í°¨¸ô¡B°ª¤h¼w¤j°¨¸ô¡B©M¼Ö¤j°¨¸ô |
| 32T | --- | ¨È°¨³â«e¦a¡B«nÆW´ò´º¤j°¨¸ô¡B¦èÆW´ò¼s³õ¡B«nÆW¤j°¨¸ô¡B¨È°¨³â«e¦a |
| 33 | --- | ©M¼Ö¤j°¨¸ô¡Bíá¨Ç³â´£·þ¤j°¨¸ô¡B·s°¨¸ô¡B¹Å¼Ö§ÈÁ`·þ¤j¾ô¡B¦a³ùµó¡B¬_ºû¯Ç°¨¸ô¡B¹Å¼Ö§ÈÁ`·þ¤j¾ô¡B·s°¨¸ô¡Bíá¨Ç³â´£·þ¤j°¨¸ô¡B©M¼Ö¤j°¨¸ô |
| 34 | µæ¶é¯FÃäµóÁ`¯¸➝®ü¬vªá¶éÁA±æ¥x | µæ¶é¯FÃäµó¡B¼}©Ô¤h¤j°¨¸ô¡B¤Í½Ë¤j¾ô¡B¶øªL¤Ç§J¤j°¨¸ô¡B¬_ºû¯Ç°¨¸ô¡Bªá¶éµó |
| ®ü¬vªá¶éÁA±æ¥x➝µæ¶é¯FÃäµóÁ`¯¸ | ªá¶éµó¡B¬_ºû¯Ç°¨¸ô¡B¶øªL¤Ç§J¤j°¨¸ô¡B¤Í½Ë¤j¾ô¡B¼}©Ô¤h¤j°¨¸ô¡Bµæ¶é¯FÃäµó | |
| 37 | --- | «ß¬F¥qµó¡B°ò°¨©Ô´µ¤j°¨¸ô¡B氹¥JªF¥_°¨¸ô¡B®}¤éª@±G¤½°¨¸ô¡B¶øªL¤Ç§J¤j°¨¸ô¡B«ß¬F¥qµó |
| 37T | --- | ¬ü°Æ±N°¨¸ô¡B鷄ÀV°¨¸ô¡B°¶Às°¨¸ô¡B¹Å¼Ö§ÈÁ`·þ°¨¸ô¡B¬ü°Æ±N°¨¸ô |
| 39 | --- | ¨È°¨³â«e¦a¡B¹Å¼Ö§ÈÁ`·þ¤j¾ô¡B®]¶h¥P³Õ¤h¤j°¨¸ô¡B´ò¯`¤j·H¡B氹¥JªF¥_°¨¸ô¡B¹Å¼Ö§ÈÁ`·þ¤j¾ô¡B¨È°¨³â«e¦a |
| 51 | --- | ©M¿Ó¼s³õ¡B¾÷³õ¤j°¨¸ô¡B¤Í½Ë¤j¾ô¡BÃö¹h¼s³õ¡B¤Í½Ë¤j¾ô¡B¥_¦w¤j°¨¸ô¡B¸ô氹³s³e¤½¸ô¡B©M¿Ó¼s³õ |
| 51A | ®üÀº¤ÑÁ`¯¸➝½¹½º¨¦¤j°¨¸ôÁ`¯¸ | ²î¿Dµó¡B³Ò°Ê¸`¤j°¨¸ô¡B¤Í½Ë¤j¾ô¡B¥_¦w¤j°¨¸ô¡B·s«°¤j°¨¸ô¡B¸ô氹³s³e¤½¸ô¡B½¹½º¨¦¤j°¨¸ô |
| ½¹½º¨¦¤j°¨¸ôÁ`¯¸➝®üÀº¤ÑÁ`¯¸ | ½¹½º¨¦¤j°¨¸ô¡B¸ô氹³s³e¤½¸ô¡B±æ¼w¸t¥ÀÆW¤j°¨¸ô¡B¤Í½Ë¤j¾ô¡B°¨³õ¥_¤j°¨¸ô¡B²î¿Dµó | |
| 72 | --- | ºZ¹B¤j°¨¸ô¡B½¬ªá®üÀؤj°¨¸ô¡B±æ¼w¸t¥ÀÆW¤j°¨¸ô¡B®}¤éª@±G¤½°¨¸ô¡B½¬ªá®üÀؤj°¨¸ô¡B¤j¾Ç¤j°¨¸ô¡BºZ¹B¤j°¨¸ô |
| AP1 | --- | Ãö¹h¼s³õ¡B³Ò°Ê¸`¤j°¨¸ô¡B®ü´ä«e¦a¡B¤Í½Ë¤j¾ô¡B¥_¦w¤j°¨¸ô¡B¹Å¼Ö§ÈÁ`·þ°¨¸ô¡B¤Í½Ë¤j¾ô¡B®ü´ä«e¦a¡B¶Â¨FÀô·sµó¡BÃö¹h¼s³õ |
| AP1X | --- | Ãö¹h¼s³õ¡B¤Í½Ë¤j¾ô¡B¥_¦w¤j°¨¸ô¡B¹Å¼Ö§ÈÁ`·þ°¨¸ô¡B¤Í½Ë¤j¾ô¡B°¨³õ¥_¤j°¨¸ô¡BÃö¹h¼s³õ |
| H3 | --- | ½¹½º¨¦¤j°¨¸ô¡B½¬ªá®üÀؤj°¨¸ô¡B°ò°¨©Ô´µ¤j°¨¸ô¡B¹Å¼Ö§ÈÁ`·þ¤j¾ô¡B¥[«äÄæ°¨¸ô¡B¹Å¼Ö§ÈÁ`·þ¤j¾ô¡B°ò°¨©Ô´µ¤j°¨¸ô¡B½¬ªá®üÀؤj°¨¸ô¡B½¹½º¨¦¤j°¨¸ô |
| MT4 | ¬ö©À®]¤¤¤s¤½¶é➝氹¥J«È¹B½XÀY | ¦ó½å²Ô¤h¤j°¨¸ô¡BªLZ®üÃä¤j°¨¸ô¡BªeÃä·sµó¡B¦èÆW¤j¾ô¡B¬_ºû¯Ç°¨¸ô¡B·s«°¤j°¨¸ô¡B°¶Às°¨¸ô¡B氹¥J«È¹B½XÀY |
| 氹¥J«È¹B½XÀY➝¬ö©À®]¤¤¤s¤½¶é | 氹¥J«È¹B½XÀY¡B¸ô氹«°¤j°¨¸ô¡B¬_ºû¯Ç°¨¸ô¡B¦èÆW¤j¾ô¡BªeÃä·sµó¡BªLZ®üÃä¤j°¨¸ô¡B¦ó½å²Ô¤h¤j°¨¸ô | |
| 102X | --- | ´ä¯]¿D¤j¾ô¿Dªù¤f©¤ÃäÀˤj¼Ó¡B°¨¸U¸R³Õ¤h¤j°¨¸ô¡B¤Í½Ë¤j°¨¸ô¡B¹Å¼Ö§ÈÁ`·þ¤j¾ô¡B®]¶h¥P³Õ¤h¤j°¨¸ô¡B¬_ºû¯Ç°¨¸ô¡B¹Å¼Ö§ÈÁ`·þ¤j¾ô¡B¤Í½Ë¤j°¨¸ô¡B°¨¸U¸R³Õ¤h¤j°¨¸ô¡B´ä¯]¿D¤j¾ô¿Dªù¤f©¤ÃäÀˤj¼Ó |
¤G¡B......
²Ä¤Q±ø
Àç¹BÃþ«¬¤½¨½¼Æ
¤@¡B©Ó§å¤H¦b¤G¹s¤@¤»¦~ªºÀç¹B´Á¤º¡A©ÒÀç¸ô½uªº°ò¥»Àç¹BÃþ«¬¤½¨½¼Æ¦p¤U¡A¦ý¤£¥]¬A¥ÑºÊ¹î¹êÅé«ü©wªº·s¼W¸ô½u¡G
¡]¤@¡^......
¡]¤G¡^......
¡]¤T¡^......
¡]¥|¡^......
¡]¤¡^......
¡]¤»¡^......
¡]¤C¡^......
¡]¤K¡^......
¤G¡B......
¤T¡BºÊ¹î¹êÅé±N©ó2017¦~¤Î2018¦~¤W¥b¦~Àç¹B´Áªº¤W¤@¦~5¤ë31¤é©Î¥H«e¥H®Ñ±¤è¦¡³qª¾©Ó§å¤H¦³Ãö¦U¹ïÀ³Àç¹B´Áq©wªº¹wpÀç¹BÃþ«¬¤½¨½¼Æ¡A¸Ó³qª¾¶·«ü¥X¹ïÀ³Àç¹B´Á¹wpªº°ò¥»Àç¹BÃþ«¬¤½¨½¼Æ¤Î¦]¼W´î¸ô½u¤Î¯Z¦¸¡B©µªø¤ÎÁYµu¸ô½u¹wp©Ò¯A¤ÎªºÀç¹BÃþ«¬¤½¨½¼Æ¡C
ªþ¥ó¤T
Àç¹BªA°È
²Ä¤G±ø
²¼´Úªº¦¬¶°¤Î®Öºâ
¤@¡B......
¤G¡B......
¤T¡B......
¥|¡B......
¤¡B......
¤»¡B......
¤C¡B¤W´Ú©Ò«üªºÁŧK¡A¨Ã¤£¥]¬A¥ÑºÊ¹î¹êÅé«ü©wªº·s¼W¸ô½u¡C
¤K¡B......
¤E¡B......
¤Q¡B......
¤Q¤@¡B......
¤Q¤G¡B......
¤Q¤T¡B......
ªþ¥ó¤
ªA°È»ùÈ®tÃBªºpºâ¤è¦¡
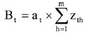
¤@¡B¦UÀç¹B´ÁÁ`ªA°È»ùÈ®tÃBªºpºâ¤è¦¡¦p¤U¡G

¨ä¤¤¡A
Tt¡Gt´ÁÁ`ªA°È»ùÈ®tÃB
Dte¡Gt´ÁeÀç¹BÃþ«¬ªºªA°È»ùÈ®tÃB¡]e=1®É¡A¥Nªí¥H®ãªo¤p¤Ú´£¨Ñ¤é¶¡¸ô½uÀç¹B¡Fe=2®É¡A¥Nªí¥H®ãªo¤¤¤Ú´£¨Ñ¤é¶¡¸ô½uÀç¹B¡Fe=3®É¡A¥Nªí¥H®ãªo¤j¤Ú´£¨Ñ¤é¶¡¸ô½uÀç¹B¡Fe=4®É¡A¥Nªí¥H®ãªo¤p¤Ú´£¨Ñ²`®d¸ô½uÀç¹B¡Fe=5®É¡A¥Nªí¥H®ãªo¤¤¤Ú´£¨Ñ²`®d¸ô½uÀç¹B¡Fe=6®É¡A¥Nªí¥H®ãªo¤j¤Ú´£¨Ñ²`®d¸ô½uÀç¹B¡Fe=7®É¡A¥Nªí¥H¯Â¹q°Ê¤j¤Ú´£¨Ñ¤é¶¡¸ô½uÀç¹B¡Fe=8®É¡A¥Nªí¥H¯Â¹q°Ê¤j¤Ú´£¨Ñ²`®d¸ô½uÀç¹B¡Fe=9®É¡A¥Nªí¥H®ãªo¯S¤j¤Ú´£¨Ñ¤é¶¡¸ô½uÀç¹B¡Fe=10®É¡A¥Nªí¥H®ãªo¯S¤j¤Ú´£¨Ñ²`®d¸ô½uÀç¹B¡Fe=11®É¡A¥Nªí¥H¼Wµ{¦¡¹q°Ê¤j¤Ú´£¨Ñ¤é¶¡¸ô½uÀç¹B¡Fe=12®É¡A¥Nªí¥H¼Wµ{¦¡¹q°Ê¤j¤Ú´£¨Ñ²`®d¸ô½uÀç¹B¡^
n¡GÀç¹BÃþ«¬ªº¼Æ¥Ø¡An=12
t¡Gªí¥ÜÀç¹B´Á¡At=0¬°2016¦~ªºÀç¹B´Á¡At=1¬°2017¦~ªºÀç¹B´Á¡A¦p¦¹Ãþ±À
Et¡Gt´Á¦]²¼»ù½Õ¾ã¦Ó¥X²{ªº²¼´Ú®tÃBªºÁ`©M¡]2018¦~4¤ë21¤é¦Ü2019¦~10¤ë31¤é´Á¶¡¡A«ö¤£¦P¦¬¶OÃþ§O¤Î¬ÛÀ³¼«È¼Æ¥Øpºâªº¹ê»Ú²¼´Ú¦¬¤J¦b²¼»ù½Õ¾ã«e«áªº®tÃB¡^
Mt¡Gt´Á¦]²¼»ù½Õ¾ã¦Ó¥X²{ªº¨C¤½¨½²¼´Ú¦¬¤J®tÃBªºÁ`©M¡]2018¦~4¤ë21¤é¦Ü2019¦~10¤ë31¤é´Á¶¡¡A«ö°ò¥»Àç¹BÃþ«¬¤½¨½¼Æpºâªº¨C¤½¨½©Ó§å¤H¹ê»Ú¦¬¨úªº²¼´Ú¦¬¤J¦b²¼»ù½Õ¾ã«e«áªº®tÃB¡^
¤G¡B¤Q¤GºØÀç¹BÃþ«¬ªº¦UÀç¹B´ÁªA°È»ùÈ®tÃBªºpºâ¤è¦¡¦p¤U¡G

¨ä¤¤¡A
Dt¡Gt´Á¦UÀç¹BÃþ«¬ªºªA°È»ùÈ®tÃB¡]¤Q¤GºØÀç¹BÃþ«¬¡ADt1¦ÜDt12ªºpºâ¤èªk¬Û¦P¡A¦]¦¹¡A´î§K¤U¼Ðªí¥Ü¤è¦¡¡A¨Ï¥ÎDt¥N´ÀDte¡^
At¡G«öt´Á°ò¥»Àç¹BÃþ«¬¤½¨½¼ÆpºâªºªA°È»ùÈ®tÃB
Bt¡Gt´Á¤º¦]¨ú®ø¸ô½u¡B¼W´î¯Z¦¸¡B©µªø¤ÎÁYµu¸ô½u¦ÓpºâªºªA°È»ùÈ®tÃB
Ct¡Gt´Á¤º¦]¼W¥[¸ô½u¦ÓpºâªºªA°È»ùÈ®tÃB
¤T¡B«ö°ò¥»Àç¹BÃþ«¬¤½¨½¼ÆpºâªA°È»ùÈ®tÃBªºpºâ¤è¦¡¦p¤U¡G



¨ä¤¤¡A
At¡G«öt´Á°ò¥»Àç¹BÃþ«¬¤½¨½¼ÆpºâªºªA°È»ùÈ®tÃB
rt¡Gt´Á¨C¤½¨½¥§¡ªA°È»ùÈ
t<3®É¡A¨C¤½¨½¥§¡ªA°È»ùÈ¡G
rt1 =20.14¤¸¡]¥H®ãªo¤p¤Ú´£¨Ñ¤é¶¡¸ô½uÀç¹B¡^¡B
rt2 =25.83¤¸¡]¥H®ãªo¤¤¤Ú´£¨Ñ¤é¶¡¸ô½uÀç¹B¡^¡B
rt3 =31.97¤¸¡]¥H®ãªo¤j¤Ú´£¨Ñ¤é¶¡¸ô½uÀç¹B¡^¡B
rt4 =29.91¤¸¡]¥H®ãªo¤p¤Ú´£¨Ñ²`®d¸ô½uÀç¹B¡^¡B
rt5 =38.45¤¸¡]¥H®ãªo¤¤¤Ú´£¨Ñ²`®d¸ô½uÀç¹B¡^¡B
rt6 =47.10¤¸¡]¥H®ãªo¤j¤Ú´£¨Ñ²`®d¸ô½uÀç¹B¡^¡B
rt7 =84.80¤¸¡]¥H¯Â¹q°Ê¤j¤Ú´£¨Ñ¤é¶¡¸ô½uÀç¹B¡^¡B
rt8 =84.80¤¸¡]¥H¯Â¹q°Ê¤j¤Ú´£¨Ñ²`®d¸ô½uÀç¹B¡^¡B
rt9 =48.00¤¸¡]¥H®ãªo¯S¤j¤Ú´£¨Ñ¤é¶¡¸ô½uÀç¹B¡^¡B
rt10=48.00¤¸¡]¥H®ãªo¯S¤j¤Ú´£¨Ñ²`®d¸ô½uÀç¹B¡^¡B
rt11 =60.00¤¸¡]¥H¼Wµ{¦¡¹q°Ê¤j¤Ú´£¨Ñ¤é¶¡¸ô½uÀç¹B¡^¡B
rt12 =60.00¤¸¡]¥H¼Wµ{¦¡¹q°Ê¤j¤Ú´£¨Ñ²`®d¸ô½uÀç¹B¡^¡F
t=3¤Ît=4®É¡A¨C¤½¨½¥§¡ªA°È»ùÈ¡G
rt1 =21.51¤¸¡]¥H®ãªo¤p¤Ú´£¨Ñ¤é¶¡¸ô½uÀç¹B¡^¡B
rt2 =27.55¤¸¡]¥H®ãªo¤¤¤Ú´£¨Ñ¤é¶¡¸ô½uÀç¹B¡^¡B
rt3 =34.11¤¸¡]¥H®ãªo¤j¤Ú´£¨Ñ¤é¶¡¸ô½uÀç¹B¡^¡B
rt4 =31.94¤¸¡]¥H®ãªo¤p¤Ú´£¨Ñ²`®d¸ô½uÀç¹B¡^¡B
rt5 =41.05¤¸¡]¥H®ãªo¤¤¤Ú´£¨Ñ²`®d¸ô½uÀç¹B¡^¡B
rt6 =50.22¤¸¡]¥H®ãªo¤j¤Ú´£¨Ñ²`®d¸ô½uÀç¹B¡^¡B
rt7 =84.80¤¸¡]¥H¯Â¹q°Ê¤j¤Ú´£¨Ñ¤é¶¡¸ô½uÀç¹B¡^¡B
rt8 =84.80¤¸¡]¥H¯Â¹q°Ê¤j¤Ú´£¨Ñ²`®d¸ô½uÀç¹B¡^¡B
rt9 =48.00¤¸¡]¥H®ãªo¯S¤j¤Ú´£¨Ñ¤é¶¡¸ô½uÀç¹B¡^¡B
rt10=48.00¤¸¡]¥H®ãªo¯S¤j¤Ú´£¨Ñ²`®d¸ô½uÀç¹B¡^¡B
rt11 =60.00¤¸¡]¥H¼Wµ{¦¡¹q°Ê¤j¤Ú´£¨Ñ¤é¶¡¸ô½uÀç¹B¡^¡B
rt12 =60.00¤¸¡]¥H¼Wµ{¦¡¹q°Ê¤j¤Ú´£¨Ñ²`®d¸ô½uÀç¹B¡^¡F
Rt¡G«öt´Á°ò¥»Àç¹BÃþ«¬¤½¨½¼ÆpºâªºªA°È»ùÈ
t=0®É¡A«ö·Ó2016¦~ªºÀç¹B´Áªº¨C¤½¨½¥§¡ªA°È»ùÈ¡]r0¡^¡A¼¥Hªþ¥ó¤@²Ä¤Q±ø²Ä¤@´Ú©Ò«üªº¹ïÀ³°ò¥»Àç¹BÃþ«¬¤½¨½¼Æ¡]K0¡^¡Apºâªº2016¦~ªºÀç¹B´ÁªºªA°È»ùȤÀ§O¬°¡G
R¡]t=0¡^1 = 71,747,097.71¤¸¡]¥H®ãªo¤p¤Ú´£¨Ñ¤é¶¡¸ô½uÀç¹B¡^¡B
R¡]t=0¡^2 = 7,869,413.26¤¸¡]¥H®ãªo¤¤¤Ú´£¨Ñ¤é¶¡¸ô½uÀç¹B¡^¡B
R¡]t=0¡^3 = 492,451,861.79¤¸¡]¥H®ãªo¤j¤Ú´£¨Ñ¤é¶¡¸ô½uÀç¹B¡^¡B
R¡]t=0¡^4 = 3,238,463.97¤¸¡]¥H®ãªo¤p¤Ú´£¨Ñ²`®d¸ô½uÀç¹B¡^¡B
R¡]t=0¡^5 = 96,900.92¤¸¡]¥H®ãªo¤¤¤Ú´£¨Ñ²`®d¸ô½uÀç¹B¡^¡B
R¡]t=0¡^6 = 26,080,820.53¤¸¡]¥H®ãªo¤j¤Ú´£¨Ñ²`®d¸ô½uÀç¹B¡^¡B
R¡]t=0¡^7 =0¤¸¡]¥H¯Â¹q°Ê¤j¤Ú´£¨Ñ¤é¶¡¸ô½uÀç¹B¡^¡B
R¡]t=3¡^8 =0¤¸¡]¥H¯Â¹q°Ê¤j¤Ú´£¨Ñ²`®d¸ô½uÀç¹B¡^¡F
2016¦~ªºÀç¹B´ÁªºªA°È»ùȦXp¬°¿Dªù¤¸601,484,558.20¡C
t=3®É¡A«ö·Ó¨C¤½¨½¥§¡ªA°È»ùÈ¡]rt¡^¡A¼¥Hªþ¥ó¤@²Ä¤Q¤@±ø²Ä¤@´Ú©Ò«üªº¹ïÀ³°ò¥»Àç¹BÃþ«¬¤½¨½¼Æ¡]K0¡^¡Apºâªº2018¦~¤U¥b¦~Àç¹B´ÁªºªA°È»ùȤÀ§O¬°¡G
R¡]t=3¡^1 = 29,348,903.71¤¸¡]¥H®ãªo¤p¤Ú´£¨Ñ¤é¶¡¸ô½uÀç¹B¡^¡B
R¡]t=3¡^2 = 5,909,883.29¤¸¡]¥H®ãªo¤¤¤Ú´£¨Ñ¤é¶¡¸ô½uÀç¹B¡^¡B
R¡]t=3¡^3 = 200,659,253.79¤¸¡]¥H®ãªo¤j¤Ú´£¨Ñ¤é¶¡¸ô½uÀç¹B¡^¡B
R¡]t=3¡^4 = 2,031,754.82¤¸¡]¥H®ãªo¤p¤Ú´£¨Ñ²`®d¸ô½uÀç¹B¡^¡B
R¡]t=3¡^5 = 104,572.82¤¸¡]¥H®ãªo¤¤¤Ú´£¨Ñ²`®d¸ô½uÀç¹B¡^¡B
R¡]t=3¡^6 = 13,984,559.51¤¸¡]¥H®ãªo¤j¤Ú´£¨Ñ²`®d¸ô½uÀç¹B¡^¡B
R¡]t=3¡^7 =0¤¸¡]¥H¯Â¹q°Ê¤j¤Ú´£¨Ñ¤é¶¡¸ô½uÀç¹B¡^¡B
R¡]t=3¡^8 =0¤¸¡]¥H¯Â¹q°Ê¤j¤Ú´£¨Ñ²`®d¸ô½uÀç¹B¡^¡B
R¡]t=3¡^9 = 783,164.16¤¸¡]¥H®ãªo¯S¤j¤Ú´£¨Ñ¤é¶¡¸ô½uÀç¹B¡^¡B
R¡]t=3¡^10 =0¤¸¡]¥H®ãªo¯S¤j¤Ú´£¨Ñ²`®d¸ô½uÀç¹B¡^¡B
R¡]t=3¡^11 =0¤¸¡]¥H¼Wµ{¦¡¹q°Ê¤j¤Ú´£¨Ñ¤é¶¡¸ô½uÀç¹B¡^¡B
R¡]t=3¡^12 =0¤¸¡]¥H¼Wµ{¦¡¹q°Ê¤j¤Ú´£¨Ñ²`®d¸ô½uÀç¹B¡^¡F
2018¦~¤U¥b¦~Àç¹B´ÁªºªA°È»ùȦXp¬°¿Dªù¤¸252,822,092.10¡C
pt¡Gt<3®É¡A¨C¤½¨½¥§¡²¼´Ú¦¬¤J¹wpÈ¡G
pt1 =6.12¤¸¡]¥H®ãªo¤p¤Ú´£¨Ñ¤é¶¡¸ô½uÀç¹B¡^¡B
pt2 =7.96¤¸¡]¥H®ãªo¤¤¤Ú´£¨Ñ¤é¶¡¸ô½uÀç¹B¡^¡B
pt3 =9.79¤¸¡]¥H®ãªo¤j¤Ú´£¨Ñ¤é¶¡¸ô½uÀç¹B¡^¡B
pt4 =6.12¤¸¡]¥H®ãªo¤p¤Ú´£¨Ñ²`®d¸ô½uÀç¹B¡^¡B
pt5 =7.96¤¸¡]¥H®ãªo¤¤¤Ú´£¨Ñ²`®d¸ô½uÀç¹B¡^¡B
pt6 =9.79¤¸¡]¥H®ãªo¤j¤Ú´£¨Ñ²`®d¸ô½uÀç¹B¡^¡B
pt7 =9.79¤¸¡]¥H¯Â¹q°Ê¤j¤Ú´£¨Ñ¤é¶¡¸ô½uÀç¹B¡^¡B
pt8 =9.79¤¸¡]¥H¯Â¹q°Ê¤j¤Ú´£¨Ñ²`®d¸ô½uÀç¹B¡^¡B
pt¡Gt=3¤Ît=4®É¡A¨C¤½¨½¥§¡²¼´Ú¦¬¤J¹wpÈ¡G
pt1 =7.17¤¸¡]¥H®ãªo¤p¤Ú´£¨Ñ¤é¶¡¸ô½uÀç¹B¡^¡B
pt2 =7.76¤¸¡]¥H®ãªo¤¤¤Ú´£¨Ñ¤é¶¡¸ô½uÀç¹B¡^¡B
pt3 =9.25¤¸¡]¥H®ãªo¤j¤Ú´£¨Ñ¤é¶¡¸ô½uÀç¹B¡^¡B
pt4 =7.17¤¸¡]¥H®ãªo¤p¤Ú´£¨Ñ²`®d¸ô½uÀç¹B¡^¡B
pt5 =7.76¤¸¡]¥H®ãªo¤¤¤Ú´£¨Ñ²`®d¸ô½uÀç¹B¡^¡B
pt6 =9.25¤¸¡]¥H®ãªo¤j¤Ú´£¨Ñ²`®d¸ô½uÀç¹B¡^¡B
pt7 =9.25¤¸¡]¥H¯Â¹q°Ê¤j¤Ú´£¨Ñ¤é¶¡¸ô½uÀç¹B¡^¡B
pt8 =9.25¤¸¡]¥H¯Â¹q°Ê¤j¤Ú´£¨Ñ²`®d¸ô½uÀç¹B¡^¡B
pt9 =17.21¤¸¡]¥H®ãªo¯S¤j¤Ú´£¨Ñ¤é¶¡¸ô½uÀç¹B¡^¡B
pt10 =17.21¤¸¡]¥H®ãªo¯S¤j¤Ú´£¨Ñ²`®d¸ô½uÀç¹B¡^¡B
pt11 =9.25¤¸¡]¥H¼Wµ{¦¡¹q°Ê¤j¤Ú´£¨Ñ¤é¶¡¸ô½uÀç¹B¡^¡B
pt12 =9.25¤¸¡]¥H¼Wµ{¦¡¹q°Ê¤j¤Ú´£¨Ñ²`®d¸ô½uÀç¹B¡^¡F
Pt¡G«öt´Á°ò¥»Àç¹BÃþ«¬¤½¨½¼Æpºâªº²¼´Ú¦¬¤J¹wpÈ
t=0®É¡A«ö·Ó2016¦~ªºÀç¹B´Áªº¨C¤½¨½¥§¡²¼´Ú¦¬¤J¹wpÈ¡]p0¡^¡A¼¥Hªþ¥ó¤@²Ä¤Q±ø²Ä¤@´Ú©Ò«üªº¹ïÀ³Àç¹BÃþ«¬¤½¨½¼Æ¡Apºâªº2016¦~ªºÀç¹B´Á²¼´Ú¦¬¤J¹wpȤÀ§O¬°¡G
P¡]t=0¡^1 =21,801,997.92¤¸¡]¥H®ãªo¤p¤Ú´£¨Ñ¤é¶¡¸ô½uÀç¹B¡^¡B
P¡]t=0¡^2 =2,425,107.61¤¸¡]¥H®ãªo¤¤¤Ú´£¨Ñ¤é¶¡¸ô½uÀç¹B¡^¡B
P¡]t=0¡^3 =150,800,867.28¤¸¡]¥H®ãªo¤j¤Ú´£¨Ñ¤é¶¡¸ô½uÀç¹B¡^¡B
P¡]t=0¡^4 =662,634.55¤¸¡]¥H®ãªo¤p¤Ú´£¨Ñ²`®d¸ô½uÀç¹B¡^¡B
P¡]t=0¡^5 =20,060.63¤¸¡]¥H®ãªo¤¤¤Ú´£¨Ñ²`®d¸ô½uÀç¹B¡^¡B
P¡]t=0¡^6 =5,421,045.29¤¸¡]¥H®ãªo¤j¤Ú´£¨Ñ²`®d¸ô½uÀç¹B¡^¡B
P¡]t=0¡^7 =0¤¸¡]¥H¯Â¹q°Ê¤j¤Ú´£¨Ñ¤é¶¡¸ô½uÀç¹B¡^¡B
P¡]t=0¡^8 =0¤¸¡]¥H¯Â¹q°Ê¤j¤Ú´£¨Ñ²`®d¸ô½uÀç¹B¡^¡F
2016¦~ªºÀç¹B´Á²¼´Ú¦¬¤J¹wpȦXp¬°¿Dªù¤¸181,131,713.30¡C
t=3®É¡A«ö·Ó¨C¤½¨½¥§¡²¼´Ú¦¬¤J¹wpÈ¡]p0¡^¡A¼¥Hªþ¥ó¤@²Ä¤Q¤@±ø²Ä¤@´Ú©Ò«üªº¹ïÀ³Àç¹BÃþ«¬¤½¨½¼Æ¡Apºâªº2018¦~¤U¥b¦~Àç¹B´Á²¼´Ú¦¬¤J¹wpȤÀ§O¬°¡G
P¡]t=3¡^1 = 9,782,967.90¤¸¡]¥H®ãªo¤p¤Ú´£¨Ñ¤é¶¡¸ô½uÀç¹B¡^¡B
P¡]t=3¡^2 = 1,664,635.00¤¸¡]¥H®ãªo¤¤¤Ú´£¨Ñ¤é¶¡¸ô½uÀç¹B¡^¡B
P¡]t=3¡^3 = 54,415,071.76¤¸¡]¥H®ãªo¤j¤Ú´£¨Ñ¤é¶¡¸ô½uÀç¹B¡^¡B
P¡]t=3¡^4 = 456,095.24¤¸¡]¥H®ãªo¤p¤Ú´£¨Ñ²`®d¸ô½uÀç¹B¡^¡B
P¡]t=3¡^5 = 19,768.21¤¸¡]¥H®ãªo¤¤¤Ú´£¨Ñ²`®d¸ô½uÀç¹B¡^¡B
P¡]t=3¡^6 = 2,575,809.95¤¸¡]¥H®ãªo¤j¤Ú´£¨Ñ²`®d¸ô½uÀç¹B¡^¡B
P¡]t=3¡^7 =0¤¸¡]¥H¯Â¹q°Ê¤j¤Ú´£¨Ñ¤é¶¡¸ô½uÀç¹B¡^¡B
P¡]t=3¡^8 =0¤¸¡]¥H¯Â¹q°Ê¤j¤Ú´£¨Ñ²`®d¸ô½uÀç¹B¡^¡B
P¡]t=3¡^9 = 280,796.98¤¸¡]¥H®ãªo¯S¤j¤Ú´£¨Ñ¤é¶¡¸ô½uÀç¹B¡^¡B
P¡]t=3¡^10 =0¤¸¡]¥H®ãªo¯S¤j¤Ú´£¨Ñ²`®d¸ô½uÀç¹B¡^¡B
P¡]t=3¡^11 =0¤¸¡]¥H¼Wµ{¦¡¹q°Ê¤j¤Ú´£¨Ñ¤é¶¡¸ô½uÀç¹B¡^¡B
P¡]t=3¡^12 =0¤¸¡]¥H¼Wµ{¦¡¹q°Ê¤j¤Ú´£¨Ñ²`®d¸ô½uÀç¹B¡^¡F
2018¦~¤U¥b¦~Àç¹B´Á²¼´Ú¦¬¤J¹wpȦXp¬°¿Dªù¤¸69,195,145.04¡C
Kt¡Gt´Á°ò¥»Àç¹BÃþ«¬¤½¨½¼Æ
t¡Gªí¥ÜÀç¹B´Á¡At=0¬°2016¦~ªºÀç¹B´Á¡At=1¬°2017¦~ªºÀç¹B´Á¡A¦p¦¹Ãþ±À
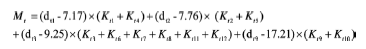
¥|¡B¦]¨ú®ø¸ô½u¡B¼W´î¯Z¦¸¡B©µªø¤ÎÁYµu¸ô½u¦ÓpºâªºªA°È»ùÈ®tÃBªºpºâ¤è¦¡¦p¤U¡G


¨ä¤¤¡A
Bt¡Gt´Á¤º¦]¨ú®ø¸ô½u¡B¼W´î¯Z¦¸¡B©µªø¤ÎÁYµu¸ô½u¦ÓpºâªºªA°È»ùÈ®tÃB
zth¡Gt´Á¤º¨ú®øh¸ô½uªº¤½¨½¼Æ¡B´î¤Öh¯Z¦¸ªº¤½¨½¼Æ¡BÁYµuh¸ô½uªº¤½¨½¼Æ¡B©µªøh¸ô½uªº¤½¨½¼Æ¡B¼W¥[h¯Z¦¸ªº¤½¨½¼Æ¡F·í¤½¨½¼Æ´î¤Ö®É¡Azth¬°tÈ¡A¦]¦¹¡ABt¥i¬°¥¿¼Æ©Ît¼Æ
at¡Gt´Á¨C¤½¨½¥§¡ªA°È»ùÈ®tÃB
Kt¡Gt´Á°ò¥»Àç¹BÃþ«¬¤½¨½¼Æ
At¡G«öt´Á°ò¥»Àç¹BÃþ«¬¤½¨½¼ÆpºâªºªA°È»ùÈ®tÃB
m¡G¨ú®ø¸ô½u¡B¼W´î¯Z¦¸¡B©µªø¤ÎÁYµu¸ô½uªº¸ô½u¼Æ¶q
¤¡B¦]¼W¥[¸ô½u¦ÓpºâªºªA°È»ùÈ®tÃBªºpºâ¤è¦¡¦p¤U¡G
¡]¤@¡^t<3®É¡A¦]¼W¥[¸ô½u¦ÓpºâªºªA°È»ùÈ®tÃBªºpºâ¤è¦¡¦p¤U¡G



¨ä¤¤¡A
Ct¡Gt´Á¤º¦]¼W¥[¸ô½u¦ÓpºâªºªA°È»ùÈ®tÃB
Cat¡Gt´Á¤Ît-1´Á¦]¼W¥[¸ô½u¦ÓpºâªºªA°È»ùÈ®tÃB
fti¡Gt´Á¤Ît-1´Á¼W¥[i¸ô½uªº¤½¨½¼Æ
xti¡Gt´Á¤Ît-1´Á¼W¥[i¸ô½uªº¹ê»Ú²¼´Ú¦¬¤J¡]·í«ö·Ó¦X¦P²Ä¤E±øpºâªA°È»ùÈ®tÃBªº¹wpª÷ÃB®É¡A¦¹¼ÆÈ¬°¹s¡^
v¡Gt´Á¤Ît-1´Á¼W¥[¸ô½uªº¼Æ¶q
Cbt¡Gt-2´Á¦]¼W¥[¸ô½u¦ÓpºâªºªA°È»ùÈ®tÃB
gtj¡Gt-2´Á¼W¥[j¸ô½uªº¤½¨½¼Æ
otj¡Gt-2´Á¼W¥[j¸ô½uªº¹ê»Ú²¼´Ú¦¬¤J¡]·í«ö·Ó¦X¦P²Ä¤E±øpºâªA°È»ùÈ®tÃBªº¹wpª÷ÃB®É¡A¦¹¼ÆÈ¬°¹s¡^
w¡Gt-2´Á¼W¥[¸ô½uªº¼Æ¶q
rt¡Gt´Á¨C¤½¨½¥§¡ªA°È»ùÈ
¡]¤G¡^t=3¤Ît=4®É¡A¦]¼W¥[¸ô½u¦ÓpºâªºªA°È»ùÈ®tÃBªºpºâ¤è¦¡¦p¤U¡G



¨ä¤¤¡A
Ct¡Gt´Á¤º¦]¼W¥[¸ô½u¦ÓpºâªºªA°È»ùÈ®tÃB
Cat¡Gt´Á°_©l®Éªº©ÒÄݦ~«×¦]¼W¥[¸ô½u¦ÓpºâªºªA°È»ùÈ®tÃB¡]¨Ò¦p¡At=3¤Ît=4®É¡A°_©l®É©ÒÄݦ~«×¬°2018¦~¡^
fti¡Gt´Á°_©l®Éªº©ÒÄݦ~«×¼W¥[i¸ô½uªº¤½¨½¼Æ
xti¡Gt´Á°_©l®Éªº©ÒÄݦ~«×¼W¥[i¸ô½uªº¹ê»Ú²¼´Ú¦¬¤J¡]·í«ö·Ó¦X¦P²Ä¤E±øpºâªA°È»ùÈ®tÃBªº¹wpª÷ÃB®É¡A¦¹¼ÆÈ¬°¹s¡^
v¡Gt´Á°_©l®Éªº©ÒÄݦ~«×¼W¥[¸ô½uªº¼Æ¶q
Cbt¡Gt´Á°_©l®Éªº«e¤@Ó¦~«×¦]¼W¥[¸ô½u¦ÓpºâªºªA°È»ùÈ®tÃB¡]¨Ò¦pt=3¤Ît=4®É¡A°_©l®É©ÒÄݦ~«×¬°2018¦~¡A¦]¦¹t´Á°_©l®Éªº©ÒÄݦ~«×ªº«e¤@Ó¦~«×¬°2017¦~¡A¦p¦¹Ãþ±À¡^
gtj¡Gt´Á°_©l®Éªº«e¤@Ó¦~«×¼W¥[j¸ô½uªº¤½¨½¼Æ
otj¡Gt´Á°_©l®Éªº«e¤@Ó¦~«×¼W¥[j¸ô½uªº¹ê»Ú²¼´Ú¦¬¤J¡]·í«ö·Ó¦X¦P²Ä¤E±øpºâªA°È»ùÈ®tÃBªº¹wpª÷ÃB®É¡A¦¹¼ÆÈ¬°¹s¡^
w¡Gt´Á°_©l®Éªº«e¤@Ó¦~«×¼W¥[¸ô½uªº¼Æ¶q
rt¡Gt´Á¨C¤½¨½¥§¡ªA°È»ùÈ
¤»¡B2018¦~4¤ë21¤é¦Ü2019¦~10¤ë31¤é´Á¶¡¡A¦]²¼»ù½Õ¾ã¦Ó¥X²{ªº¨C¤½¨½²¼´Ú¦¬¤J®tÃBªºpºâ¤è¦¡¦p¤U¡G

¨ä¤¤¡A
Qt¡Gt´Á©Ó§å¤H¹ê»Ú¦¬¨úªº²¼´Ú¦¬¤J¡]¤Q¤GºØÀç¹BÃþ«¬¡AQt1¦ÜQt12ªºpºâ¤èªk¬Û¦P¡A¦]¦¹¡A´î§K¤U¼Ðªí¥Ü¤è¦¡¡A¨Ï¥ÎQt¥N´ÀQte¡^
Nt¡Gt´Á°ò¥»Àç¹BÃþ«¬¤½¨½¼Æ¹ïÀ³ªº¹ê»Ú²¼´Ú¦¬¤J
Et¡Gt´Á¦]²¼»ù½Õ¾ã¦Ó¥X²{ªº²¼´Ú®tÃBªºÁ`©M




¨ä¤¤¡A
dt¡Gt´Á°ò¥»Àç¹BÃþ«¬¤½¨½¼Æ¹ïÀ³ªº¥§¡¨C¤½¨½©Ó§å¤H¹ê»Ú¦¬¨úªº²¼´Ú¦¬¤J
Qt¡Gt´Á©Ó§å¤H¹ê»Ú¦¬¨úªº²¼´Ú¦¬¤J
Kt¡Gt´Á°ò¥»Àç¹BÃþ«¬¤½¨½¼Æ

¨ä¤¤¡A
Mt¡Gt´Á¦]²¼»ù½Õ¾ã¦Ó¥X²{ªº¨C¤½¨½²¼´Ú¦¬¤J®tÃBªºÁ`©M
dt¡Gt´Á°ò¥»Àç¹BÃþ«¬¤½¨½¼Æ¹ïÀ³ªº¥§¡¨C¤½¨½©Ó§å¤H¹ê»Ú¦¬¨úªº²¼´Ú¦¬¤J
Kt¡Gt´Á°ò¥»Àç¹BÃþ«¬¤½¨½¼Æ
ªþ¥ó¤C
·|p·Ç«h
¤@¡B......
¤G¡B¥Ñ©ó©Ó§å¤H·~°È¹ï¿Dªù¯S§O¦æ¬F°Ï¸gÀÙªº«n©Ê¡A¦]¦¹¹ï¨ä±Ä¥Î§ó¨Î°t¦X¥ø·~¹êªp¥B²Å¦Xªk¨Ò³W©wªº©T©w¸ê²£¤ÎµL§Î¸ê²£ªº¨Ï¥Î´Á¡A¬°¦¹¡A±Ä¥Îªº§é¤ÎÅu¾P¶·¥H¤U¦C´N¨C¤@Ãþ§Oªº°]²£q©wªº¥§¡¨Ï¥Î´Á¬°·Ç¡G
°]²£Ãþ§O |
¨Ï¥Î´Á¡]¦~¡^ |
| ¤£°Ê²£ |
50 |
| ¤u·~¼Ó¦t |
25 |
| ¤½¦@¤Ú¤h¡]®ãªo¨®¤Îªo¹q²V¦X¨®¡^ |
7 |
| ¤½¦@¤Ú¤h¡]¯Â¹q°Ê¨®¤Î¼Wµ{¦¡¹q°Ê¨®¡^ |
3 |
| »´«¬¨®½ø¤Î¹q³æ¨® |
7.5 |
| ºû׳]³Æ¤Î¾÷¾¹¡]¹q¤l¡^ |
7.5 |
| ºû׳]³Æ¤Î¾÷¾¹¡]«D¹q¤l¡^ |
10.5 |
| ºû׳]³Æ¤Î¾÷¾¹¡]±Mªù¥Î©ó¯Â¹q°Ê¨®¡^ |
3 |
| ¹q¸£¡B·L«¬¹q¸£¤Î¤å®Ñ³B²z¾÷ |
6 |
| ¹q¸£µ{§Ç |
4.5 |
| ¼v¦L¾÷¡B¶Ç¯u¾÷¡B·L«¬ÁY¼v¾÷ |
7.5 |
| ¿ì¤½«Ç³]³Æ |
7.5 |
| ¿ì¤½«Ç³ÃÍï |
7.5 |
| ªÅ®ð½Õ¸`¾÷¡B©âÀã¾÷¡B·x®ð¾÷¡B³q·¸Ë¸m¤Î§NÂþ÷ |
7.5 |
¤T¡B......
¥|¡B......
¤¡B......
¤»¡B......¡¨
²Ä¤G±ø
¼W¥[
¿Dªù¯S§O¦æ¬F°Ï»P¿Dªù·sºÖ§Q¤½¦@¨T¨®¦³¤½¥q©ó2011¦~1¤ë3¤éñ¸p¡A¨Ã©ó2016¦~1¤ë14¤é¤Î©ó2018¦~4¤ë18¤é§@¥X×qªº¦³Ãö¹D¸ô¶°Åé«È¹B¤½¦@ªA°È¡X¡X²Ä¤@¼Ð¬q¤Î²Ä¥|¼Ð¬qªº¤½ÃÒ¦X¦P×q¥»¼W¥[ªþ¥ó¤@²Ä¤Q¤@±ø¡A¤º®e¦p¤U¡G
¡§ªþ¥ó¤@
¸ô½u¯S¼x
²Ä¤Q¤@±ø
2018¦~¤U¥b¦~¦Ü2019¦~Àç¹B´ÁªºÀç¹BÃþ«¬¤½¨½¼Æ
¤@¡B©Ó§å¤H¦b2018¦~¤U¥b¦~ªºÀç¹B´Á¤º¡A©ÒÀç¸ô½uªº°ò¥»Àç¹BÃþ«¬¤½¨½¼Æ¦p¤U¡A¦ý¤£¥]¬A¥ÑºÊ¹î¹êÅé«ü©wªº·s¼W¸ô½u¡G
¡]¤@¡^¥H®ãªo¤p¤Ú´£¨Ñ¤é¶¡¸ô½uÀç¹Bªº¤½¨½¼Æ¬°1,364,430.67¤½¨½¡F
¡]¤G¡^¥H®ãªo¤¤¤Ú´£¨Ñ¤é¶¡¸ô½uÀç¹Bªº¤½¨½¼Æ¬°214,514.82¤½¨½¡F
¡]¤T¡^¥H®ãªo¤j¤Ú´£¨Ñ¤é¶¡¸ô½uÀç¹Bªº¤½¨½¼Æ¬°5,882,710.46¤½¨½¡F
¡]¥|¡^¥H®ãªo¤p¤Ú´£¨Ñ²`®d¸ô½uÀç¹Bªº¤½¨½¼Æ¬°63,611.61¤½¨½¡F
¡]¤¡^¥H®ãªo¤¤¤Ú´£¨Ñ²`®d¸ô½uÀç¹Bªº¤½¨½¼Æ¬°2,547.45¤½¨½¡F
¡]¤»¡^¥H®ãªo¤j¤Ú´£¨Ñ²`®d¸ô½uÀç¹Bªº¤½¨½¼Æ¬°278,465.94¤½¨½¡F
¡]¤C¡^¥H¯Â¹q°Ê¤j¤Ú´£¨Ñ¤é¶¡¸ô½uÀç¹Bªº¤½¨½¼Æ¬°0¤½¨½¡F
¡]¤K¡^¥H¯Â¹q°Ê¤j¤Ú´£¨Ñ²`®d¸ô½uÀç¹Bªº¤½¨½¼Æ¬°0¤½¨½¡F
¡]¤E¡^¥H®ãªo¯S¤j¤Ú´£¨Ñ¤é¶¡¸ô½uÀç¹Bªº¤½¨½¼Æ¬°16,315.92¤½¨½¡F
¡]¤Q¡^¥H®ãªo¯S¤j¤Ú´£¨Ñ²`®d¸ô½uÀç¹Bªº¤½¨½¼Æ¬°0¤½¨½¡F
¡]¤Q¤@¡^¥H¼Wµ{¦¡¹q°Ê¤j¤Ú´£¨Ñ¤é¶¡¸ô½uÀç¹Bªº¤½¨½¼Æ¬°0¤½¨½¡F
¡]¤Q¤G¡^¥H¼Wµ{¦¡¹q°Ê¤j¤Ú´£¨Ñ²`®d¸ô½uÀç¹Bªº¤½¨½¼Æ¬°0¤½¨½¡C
¤G¡B°£¤W´Ú©Ò«üªº°ò¥»Àç¹BÃþ«¬¤½¨½¼Æ¥~¡AºÊ¹î¹êÅé±N©ó¥»¦X¦Pñq·í¤é¥H®Ñ±¤è¦¡³qª¾©Ó§å¤H¦³Ãö2018¦~¤U¥b¦~Àç¹B´Á¦]¼W´î¸ô½u¤Î¯Z¦¸¡B©µªø¤ÎÁYµu¸ô½u¦Ó¹wp¯A¤ÎªºÀç¹BÃþ«¬¤½¨½¼Æ¡C
¤T¡BºÊ¹î¹êÅé±N©ó2018¦~8¤ë31¤é©Î¥H«e¥H®Ñ±¤è¦¡³qª¾©Ó§å¤H¦³Ãö2019¦~Àç¹B´Áªº¹wpÀç¹BÃþ«¬¤½¨½¼Æ¡A¸Ó³qª¾¶·«ü¥X¹ïÀ³Àç¹B´Á¹wpªº°ò¥»Àç¹BÃþ«¬¤½¨½¼Æ¤Î¦]¼W´î¸ô½u¤Î¯Z¦¸¡B©µªø¤ÎÁYµu¸ô½u¦Ó¹wp¯A¤ÎªºÀç¹BÃþ«¬¤½¨½¼Æ¡C¡¨
²Ä¤T±ø
¦X¦P¨ä¥L±ø´Ú
°£²{§@¥Xªº×q¤º®e¥~¡A¿Dªù¯S§O¦æ¬F°Ï»P¿Dªù·sºÖ§Q¤½¦@¨T¨®¦³¤½¥q©ó2011¦~1¤ë3¤éñ¸p¡A¨Ã©ó2016¦~1¤ë14¤é¤Î©ó2018¦~4¤ë18¤é§@¥X×qªº¦³Ãö¹D¸ô¶°Åé«È¹B¤½¦@ªA°È¡X¡X²Ä¤@¼Ð¬q¤Î²Ä¥|¼Ð¬qªº¤½ÃÒ¦X¦P×q¥»¤§©Ò¦³¨ä¥L±ø´Úºû«ù¤£ÅÜ¡C
²Ä¥|±ø
¥Í®Ä
¥»¦X¦P¦Û2018¦~8¤ë1¤é°_¥Í®Ä¡C¡¨
¿Dªù¯S§O¦æ¬F°Ï
»P
¿Dªù¤½¦@¨T¨®ªÑ¥÷¦³¤½¥q
ñ¸p¤§¤½ÃÒ¦X¦PºK¿ý
¹D¸ô¶°Åé«È¹B¤½¦@ªA°È¡X¡X²Ä¤T¼Ð¬q
¤½ÃÒ¦X¦P¤§×§ï¦X¦P
¯÷ÃÒ©ú¡G²{³z¹L2018¦~7¤ë31¤é°]¬F§½¤½ÃÒ³B²Ä253A¸¹Ã¯¥U²Ä99¶¦Ü125¶Âµ¥ß¤§¤½ÃÒ¦X¦P¡A¹ï2011¦~1¤ë3¤é¦b¦P¤@¤½ÃÒ³B²Ä21A¸¹Ã¯¥U²Ä81¶¦Ü90¶I¶Ã±¸pªº¡A¨Ã©ó2015¦~9¤ë17¤é²Ä151A¸¹Ã¯¥U²Ä2¶¦Ü16¶¤Î©ó2018¦~4¤ë18¤é²Ä243A¸¹Ã¯¥U²Ä90¶¦Ü94¶Ã±¸pªº¹D¸ô¶°Åé«È¹B¤½¦@ªA°È²Ä¤T¼Ð¬q¤½ÃÒ¦X¦P×q¥»¦A§@¥X×q¡Aק諸¤º®eºK¿ý¦p¤U¡G
¡§²Ä¤@±ø
×q
¿Dªù¯S§O¦æ¬F°Ï»P¿Dªù¤½¦@¨T¨®ªÑ¥÷¦³¤½¥q©ó2011¦~1¤ë3¤éñ¸p¡A¨Ã©ó2015¦~9¤ë17¤é¤Î©ó2018¦~4¤ë18¤é§@¥X×qªº¦³Ãö¹D¸ô¶°Åé«È¹B¤½¦@ªA°È¡X¡X²Ä¤T¼Ð¬qªº¤½ÃÒ¦X¦P×q¥»²Ä¤@±ø¡B²Ä¤T±ø¡B²Ä¥|±ø¦Ü²Ä¤Q¤G±ø¡B²Ä¤Q¤»±ø¡B²Ä¤G¤Q¤»±ø¡B²Ä¤G¤Q¤K±ø¡Bªþ¥ó¤@²Ä¤@±ø¡B²Ä¤±ø¡B²Ä¤C±ø¦Ü²Ä¤Q±ø¡Bªþ¥ó¤T²Ä¤G±ø¡Bªþ¥ó¥|²Ä¤@±ø¤Î²Ä¤Q¤»±ø¡Bªþ¥ó¤¡Bªþ¥ó¤»²Ä¤G±ø¡A¥H¤Îªþ¥ó¤C×q¦p¤U¡G
¡§²Ä¤@±ø
©w¸q
¥H¤U©w¸q¾A¥Î©ó¥»¦X¦P¤Îªþ¥ó¡G
¡]¤@¡^¡K¡K
¡]¤G¡^¡K¡K
¡]¤T¡^¡K¡K
¡]¥|¡^¡K¡K
¡]¤¡^¡K¡K
¡]¤»¡^Àç¹B´Á¡X¡X«ü©Ó§å¤H¦Û2015¦~10¤ë1¤é¦Ü2019¦~10¤ë31¤é¸gÀ祻§åµ¹ªA°Èªº´Á¶¡¡A¥]¬A¡G
¡]1¡^¡K¡K
¡]2¡^¡K¡K
¡]3¡^2018¦~¤W¥b¦~ªºÀç¹B´Á¬°2018¦~1¤ë1¤é¦Ü2018¦~7¤ë31¤é¡F
¡]4¡^2018¦~¤U¥b¦~ªº¦UÀç¹B´Á¬°2018¦~8¤ë1¤é¦Ü2018¦~12¤ë31¤é¡F
¡]5¡^2019¦~ªºÀç¹B´Á¬°2019¦~1¤ë1¤é¦Ü2019¦~10¤ë31¤é¡C
¡]¤C¡^Àç¹BÃþ«¬¡X¡X«üªþ¥ó¤@²Ä¤@±ø©Ò«üªº¤Q¤GºØÀç¹BÃþ«¬¡F
¡]¤K¡^¡K¡K
¡]¤E¡^°ò¥»Àç¹BÃþ«¬¤½¨½¼Æ¡X¡X«ü¥ÑºÊ¹î¹êÅé«öÀç¹B´Áq©wªºÀç¹BÃþ«¬¤½¨½¼Æ¡A¥]¬A¡G
¡]1¡^2015¦~Àç¹B´Áªº°ò¥»Àç¹BÃþ«¬¤½¨½¼Æ¸ü©óªþ¥ó¤@²Ä¤Q±ø²Ä¤@´Ú¡F
¡]2¡^2016¡B2017¤Î2018¤W¥b¦~Àç¹B´Áªº°ò¥»Àç¹BÃþ«¬¤½¨½¼Æ¥ÑºÊ¹î¹êÅé«öªþ¥ó¤@²Ä¤K±ø¡B²Ä¤E±ø©Ò¸üªº¸ô½u¯S¼x¤Î¨äÕ¦³ªº½Õ¾ã¦Óq©w¡A¦ý¤£¥]¬A¹ïÀ³Àç¹B´Á¤ÎÕ¦³ªº¤W¨âÀç¹B´Á¦]¼W¥[¸ô½u©Ò¯A¤ÎªºÀç¹BÃþ«¬¤½¨½¼Æ¡F
¡]3¡^2018¦~¤U¥b¦~Àç¹B´Áªº°ò¥»Àç¹BÃþ«¬¤½¨½¼Æ¸ü©óªþ¥ó¤@²Ä¤Q¤@±ø²Ä¤@´Ú¡F
¡]4¡^2019¦~Àç¹B´Áªº°ò¥»Àç¹BÃþ«¬¤½¨½¼Æ¥ÑºÊ¹î¹êÅé«ö·Óªþ¥ó¤@²Ä¤K±ø¡B²Ä¤E±ø©Ò¸üªº¸ô½u¯S¼x¤Î¨äÕ¦³ªº½Õ¾ã¦Óq©w¡A¦ý¤£¥]¬A¹ïÀ³Àç¹B´Á¤ÎÕ¦³ªº¹L¥hÀç¹B´Á¦]¼W¥[¸ô½u©Ò¯A¤ÎªºÀç¹BÃþ«¬¤½¨½¼Æ¡C
¡]¤Q¡^¡K¡K
²Ä¤T±ø
¸ô½u
¤@¡B¡K¡K
¤G¡B¡K¡K
¤T¡B¡K¡K
¥|¡BºÊ¹î¹êÅé¥i«ü¥Ü©Ó§å¤H¦b³W©wªº´Á¶¡¤º³]¥ß·s¸ô½u©Î¨ú®ø©ÒÀç¸ô½u¡A¦Ó©Ó§å¤H¥²¶·¿í¦u¸Óµ¥«ü¥Ü¡A¦ý©Ò¨ú®øªº¸ô½u¥H©Ó§å¤H©ÒÀç¸ô½uªºÁ`¶qªº¦Ê¤À¤§¤¡A©Îªþ¥ó¤@²Ä¤Q¤@±ø²Ä¤@´Úªº©Ò¦³Àç¹BÃþ«¬Á`¤½¨½¼Æ¦Ê¤À¤§¤Q¬°¡C
¤¡B¡K¡K
¤»¡B¡K¡K
¤C¡B¡K¡K
¤K¡B¡K¡K
¤E¡B¡K¡K
¤Q¡B¡K¡K
¤Q¤@¡B¡K¡K
¤Q¤G¡B¡K¡K
¤Q¤T¡B¡K¡K
¤Q¥|¡B¡K¡K
²Ä¥|±ø
Àç¹B¨®½ø
¤@¡B¡K¡K
¤G¡B¡K¡K
¤T¡B¡K¡K
¥|¡B¡K¡K
¤¡B¡K¡K
¤»¡B¡K¡K
¤C¡B¡K¡K
¤K¡B¡K¡K
¤E¡B¡K¡K
¤Q¡B©Ó§å¤H¶·¦Û2019¦~8¤ë1¤é°_¡A°±¤î¨Ï¥Î¸ü©ó¨®½ø©Ò¦³Åvµn°O¾ÌÃÒªºº¦¸µn°O¦~¥÷¬°2011¦~¡B«~µP¬°¦t³qªº¤p¤Ú§@¬°Àç¹B¨®½ø¡C
²Ä¤±ø
§åµ¹´Á
¤@¡B¹D¸ô¶°Åé«È¹B¤½¦@ªA°È¡X¡X²Ä¤T¼Ð¬q¤§§åµ¹©ó2019¦~10¤ë31¤é©¡º¡¡A¦ý¤£¼vÅT¿Dªù¯S§O¦æ¬F°Ï«ö·Ó¥»¦X¦Pªº³W©w¦æ¨ÏÅ«¦^Åv©Î¸Ñ°£Åvªº±¡ªp¡A¥B¤£¼vÅT¤U´Úªº³W©w¡C
¤G¡B¡K¡K
¤T¡B¡K¡K
¥|¡B¡K¡K
²Ä¤»±ø
²¼´Ú¦¬¤J
¤@¡B¡K¡K
¤G¡B¡K¡K
¤T¡B¡K¡K
¥|¡B©Ó§å¤H¥²¶·«ö·Ó¿Dªù¯S§O¦æ¬F°Ïªºn¨D¡A¦V¼«ÈµLÀv´£¨Ñ«ü©wªº¨®¸êÀu´f¤ÎÂà¼Àu´f¡A¤Î³]©w¬Û·í©ó°»ùªº¼¨®Àu´f±¹¬I¡A¦Ó©Ó§å¤H¶·¦Û¦æ©Ó¾á¦]¦b2018¦~8¤ë1¤é«e¤w±À¦æªº¦³Ãö±¹¬I¦Ó´î¤Öªº²¼´Ú¦¬¤J¡A¦ý¤£¼vÅT²Ä¤K±ø¤Î²Ä¤E±øªº³W©w¡A¤×¨ä¬O¹ê³ø¹ê¾PÀ³±oªº°]¬F´©§U¡C
¤¡B¡K¡K
¤»¡B¡K¡K
¤C¡B¡K¡K
¤K¡B¡K¡K
¤E¡B¡K¡K
¤Q¡B¦Û2018¦~8¤ë1¤é°_¡AÕ¿Dªù¯S§O¦æ¬F°Ï§ó§ï¦¬¶O¨î«×¦Ó¥O©Ó§å¤H¦³·l¥¢©Î±o¯q®É¡AÂù¤è±N³z¹L¨óij½Õ¾ã²Ä¤K±ø¤Î¤E±øªº°]¬F´©§Uª÷ÃB¡C
²Ä¤C±ø
µ¹¤©¿Dªù¯S§O¦æ¬F°Ïªº¦^³ø
¥Ñ©ó¹w®Æª½¦Ü¤½¦@ªA°È§åµ¹©¡º¡¡]2019¦~10¤ë31¤é¡^«e¡A¥»¦X¦P¼Ðªº¦]¸gÀç±ø¥ó©MÀç¹B´Á¸ûµu¡A¤£·|²£¥Í©Ó§å¤H¦V¿Dªù¯S§O¦æ¬F°Ï§@¥X¦^³ø©Ò»Ýªº°]·½¡A©Ó§å¤HÀòÁŧK¦V¿Dªù¯S§O¦æ¬F°Ï¤ä¥I¥»§åµ¹ªº¦^³ø¡C
²Ä¤K±ø
°]¬F´©§U
¤@¡B¡K¡K
¤G¡B¡K¡K
¤T¡B¤W´Ú©Ò«üªº°]¬F´©§U±N®Ú¾Ú¤U±øªº³W©w§@¥X¥Ó½Ð¡B¼f§å¡Bµ²ºâ¤Î¤ä¥I¡A¦Ó2017¤Î2018¦~¤W¥b¦~Àç¹B´Áªº°]¬F´©§U¥i«ö·Ó°ò¥»Àç¹BÃþ«¬¤½¨½¼Æ¡B²¼´Ú¦¬¤J¤ÎÀç¹B¦¨¥»²Îp«ü¼ÐªºÅܰʱ¡ªp¦Ó§@¥X½Õ¾ã¡C
²Ä¤E±ø
¦UÀç¹B´Áªº°]¬F´©§U
¤@¡B¡K¡K
¡]¤@¡^¡K¡K
¡]¤G¡^¡K¡K
¡]¤T¡^Õ©Ó§å¤H¦V¿Dªù¯S§O¦æ¬F°Ï¥Ó½Ð2017¦~¦Ü2018¤W¥b¦~¦UÀç¹B´Áªº°]¬F´©§U¡A¶·©ó¹ïÀ³Àç¹B´Áªº¤W¤@¦~9¤ë¥÷¤º¦V¿Dªù¯S§O¦æ¬F°Ï´£¥æ¥Ó½Ð®Ñ¡A¨Ãªþ¦P¹ïÀ³Àç¹B´Áªº°]¬F´©§Up¹º¡A¸Óp¹º¶·¸ü©ú¥HºÊ¹î¹êÅé«öªþ¥ó¤@²Ä¤Q±ø²Ä¥|´Úªº³W©wq©wªº¹wpÀç¹BÃþ«¬¤½¨½¼Æ¡A«ö·Óªþ¥ó¤²Ä¤@±ø²Ä¤T´Ú¦Ü²Ä¤´Úªº³W©wpºâ©Ò¯A¤Îªº°]¬F´©§U¹wpª÷ÃB¡F
¡]¥|¡^¬°¨ú±o2018¦~¤U¥b¦~Àç¹B´Áªº°]¬F´©§U¡A¶·©ó¥»¦X¦Pñq¤é°_p¤Ó¤u§@¤é¤º¦V¿Dªù¯S§O¦æ¬F°Ï´£¥æ¥Ó½Ð¡A¨ä¤º¶·¸ü©ú¥HºÊ¹î¹êÅé«öªþ¥ó¤@²Ä¤Q¤@±ø²Ä¤@´Ú¤Î²Ä¤G´Úªº³W©wq©wªº¹wpÀç¹BÃþ«¬¤½¨½¼Æ¡A«ö·Óªþ¥ó¤²Ä¤@±ø²Ä¤T´Ú¦Ü²Ä¤´Úªº³W©wpºâ©Ò¯A¤Îªº°]¬F´©§U¹wpª÷ÃB¡F
¡]¤¡^¬°¨ú±o2019¦~Àç¹B´Áªº°]¬F´©§U¡A¶·©ó2018¦~9¤ë¥÷¤º¦V¿Dªù¯S§O¦æ¬F°Ï´£¥æ¥Ó½Ð¡A¨ä¤º¶·¸ü©ú¥HºÊ¹î¹êÅé«öªþ¥ó¤@²Ä¤Q¤@±ø²Ä¤T´Úªº³W©wq©wªº¹wpÀç¹BÃþ«¬¤½¨½¼Æ¡A«ö·Óªþ¥ó¤²Ä¤@±ø²Ä¤T´Ú¦Ü²Ä¤´Úªº³W©wpºâ©Ò¯A¤Îªº°]¬F´©§U¹wpª÷ÃB¡F
¡]¤»¡^ì²Ä¡]¥|¡^¶µ¡C
¤G¡B¡K¡K
¤T¡B¡K¡K
¥|¡B¡K¡K
¤¡B¡K¡K
¤»¡B¡K¡K
²Ä¤Q±ø
2017¦~¤Î2018¦~¤W¥b¦~¦UÀç¹B´Á°]¬F´©§Uªº½Õ¾ã
¤@¡B©Ó§å¤H¥i¦V¿Dªù¯S§O¦æ¬F°Ï¥Ó½Ð2017¦~¤Î2018¦~¤W¥b¦~¦UÀç¹B´Áªº°]¬F´©§Uªº½Õ¾ã¡A¦³Ãö¥Ó½Ð¶·©óÀÀ½Õ¾ã¹ïÀ³Àç¹B´Áªº¤W¤@¦~7¤ë¥÷¤º¦V¿Dªù¯S§O¦æ¬F°Ï´£¥X¡A¨Ãªþ¦P¥Ó½Ð®Ñ¤Î¤U¦C¸ê®Æ¡G
¡]¤@¡^¡K¡K
¡]¤G¡^¡K¡K
¤G¡B¡K¡K
¤T¡B¡K¡K
¥|¡B¸g¿Dªù¯S§O¦æ¬F°Ï¼f§åªº2017¦~¤Î2018¦~¤W¥b¦~Àç¹B´Á°]¬F´©§Uªº½Õ¾ã¡A±N«ö·Óªþ¥ó¤²Ä¤G±ø³W©wªºpºâ¤è¦¡¤Î¤W±ø²Ä¤T´Ú¦Ü¤»´Úªº³W©wµ²ºâ¤Î¤ä¥I¡C
¤¡B²Ä¤@´Úªº³W©w¤£¼vÅT¿Dªù¯S§O¦æ¬F°Ï¥i¦]À³Àç¹BÃþ«¬¤½¨½¼Æ¡B²¼´Ú¦¬¤J¡BÀç¹B¦¨¥»¤Î²Îp«ü¼ÐªºÅܰʦӫö·Óªþ¥ó¤²Ä¤@±ø²Ä¤T´Ú¦Ü²Ä¤´Ú¤Î²Ä¤G±ø³W©wªºpºâ¤è¦¡¡A³æ¤è½Õ§C2017¦~¤Î2018¦~¤W¥b¦~Àç¹B´Áªº°]¬F´©§Uª÷ÃB¡C
²Ä¤Q¤@±ø
°]¬F´©§Uªº¤W
¤@¡B¡K¡K
¤G¡B¡K¡K
¤T¡B¡K¡K
¥|¡B¡K¡K
¤¡B¥»±ø³W©wªº°]¬F´©§Uªº¤W¤£¾A¥Î©ó2018¦~4¤ë21¤é¦Ü2019¦~10¤ë31¤é´Á¶¡ªº°]¬F´©§U¡C
²Ä¤Q¤G±ø
©Ó§å¤Hªº¸q°È
¤@¡B¡K¡K
¡]¤@¡^¡K¡K
¡]¤G¡^¡K¡K
¡]¤T¡^¡K¡K
¡]¥|¡^¡K¡K
¡]¤¡^¡K¡K
¡]¤»¡^¶·©ó¥»¦X¦Pñq¤é°_p¤QÓ¤u§@¤é¤º¡A«ö·Óªþ¥ó¤»²Ä¤@±ø²Ä¤T´Ú¤Î²Ä¥|´Úªº³W©w¦V¿Dªù¯S§O¦æ¬F°Ï´£¥æ2018¦~8¤ë1¤é¦Ü2019¦~10¤ë31¤éªº§ë¸êp¹º¤Î¨®½øºÞ²zp¹º¡F
¡]¤C¡^¡K¡K
¤G¡B¡K¡K
¡]¤@¡^¡K¡K
¡]¤G¡^¡K¡K
¡]¤T¡^¡K¡K
¡]¥|¡^¤½¥q¸ê¥»ÃB¦b¥ô¦ó®ÉÔ¤£±o§C©óMOP 70,000,000.00¡]¿Dªù¤¸¬m¥a¸U¶ê¥¿¡^¡F
¡]¤¡^¡K¡K
¤T¡B¡K¡K
¥|¡B¡K¡K
¤¡B¡K¡K
²Ä¤Q¤»±ø
·|p
¤@¡B¡K¡K
¤G¡B¡K¡K
¤T¡B¡K¡K
¥|¡B°£¥H¤U¨â´Ú³W©wªº±¡ªp¥~¡A©Ó§å¤H¶·©ó¨C¦~3¤ë31¤é©Î¥H«e¦VºÊ¹î¹êÅé´£¥æ¤W¤@¦~ªº°]°È³ø§i¡B²Õ¦¨Àç¹BºÞ²z±b¥Øªº¬ÛÃö¤å¥ó¤Î«ö·Óªþ¥ó¤Kªº³W©wpºâªº³W¨î¦¨¥»¼Æ¾Ú¡A¨Ãªþ¦P¥~³¡®Ö¼Æ®v·N¨£¤Î¬ÛÃö¸ê®Æ¡A¦ÓºÊ¹î¹êÅé¥ç¥i¦b¥ô¦ó®ÉÔn¨D©Ó§å¤H´£¨Ñ¬ÛÃö¸ê®Æ¡C
¤¡B¡K¡K
¤»¡B¦³Ãö2018¦~4¤ë21¤é¦Ü2018¦~12¤ë31¤é´Á¶¡ªº°]°È³ø§i¡B²Õ¦¨Àç¹BºÞ²z±b¥Øªº¬ÛÃö¤å¥ó¡B¥~³¡®Ö¼Æ®v·N¨£¤Î¬ÛÃö¸ê®Æ¡A©Ó§å¤H¶·©ó2019¦~3¤ë31¤é©Î¥H«e¦VºÊ¹î¹êÅé´£¥æ¡C
¤C¡B¥»§åµ¹´Á©¡º¡¤§¦~ªº°]°È³ø§i¡B²Õ¦¨Àç¹BºÞ²z±b¥Øªº¬ÛÃö¤å¥ó¡B¥~³¡®Ö¼Æ®v·N¨£¤Î¬ÛÃö¸ê®Æ¡A©Ó§å¤H¶·©ó¥»§åµ¹´Á©¡º¡¤§¤é°_¤E¤Q¤é¤º¦VºÊ¹î¹êÅé´£¥æ¡C
²Ä¤G¤Q¤»±ø
ÂkÄÝ
¤@¡B¦b¤£¼vÅT¤U±ø³W©wªº±¡ªp¤U¡A¦]¥»§åµ¹´Áº¡¡BÅ«¦^¡B¸Ñ°£©ÎÂù¤è¨óij¦Ó®ø·À®É¡A¥Î©ó¥»§åµ¹ªA°È©Ò¯A¤Îªº©Ò¦³¤U¦C°]²£©MÅv§Q¤@·§ÂkÄÝ¿Dªù¯S§O¦æ¬F°Ï¡G
¡]¤@¡^¨®½ø¡F
¡]¤G¡^¹s¥ó¤Î¾÷¾¹¡F
¡]¤T¡^³]³Æ¤Î¾¹§÷¡F
¡]¥|¡^¯¸ªø«Çµ¥¬y°Ê³]¬I¡F
¡]¤¡^Õ¦³ªº·s¯à·½¨®½ø¤§ªþ¥[³]¬I¡C
¤G¡B¡K¡K
¤T¡B¡K¡K
¥|¡B¡K¡K
¤¡BÕ¥X²{ÂkÄݪº±¡ªp¡A¿Dªù¯S§O¦æ¬F°Ï±N´£«e¤E¤Q¤é³qª¾©Ó§å¤H¦³ÃöÂkÄݪºµ{§Ç¡C
²Ä¤G¤Q¤K±ø
«OÃÒª÷
¤@¡B©Ó§å¤H¤w¦V¿Dªù¯S§O¦æ¬F°Ï´£¥æª÷ÃB¬°MOP 82,450,049.00¡]¿Dªù¤¸®Ã¥a¶L¨Õ¸v¬B¥î¸U¹s¸v¬B¨h¶ê¥¿¡^ªº«OÃÒª÷¡A¥H½T«O¨ä¼i¦æ¸q°È¡C
¤G¡B¡K¡K
¤T¡B¡K¡K
¥|¡B¡K¡K
ªþ¥ó¤@
¸ô½u¯S¼x
²Ä¤@±ø
Àç¹BÃþ«¬¤ÀÃþ
Àç¹B¨®½øªº¨®«¬¤À¬°¥H¤U¤Q¤GºØÃþ«¬¡G
¡]¤@¡^¡K¡K
¡]¤G¡^¡K¡K
¡]¤T¡^¡K¡K
¡]¥|¡^¡K¡K
¡]¤¡^¡K¡K
¡]¤»¡^¡K¡K
¡]¤C¡^¡K¡K
¡]¤K¡^¡K¡K
¡]¤E¡^¡K¡K
¡]¤Q¡^¡K¡K
¡]¤Q¤@¡^¥H®ãªo¯S¤j¤Ú´£¨Ñ¤é¶¡¸ô½uÀç¹B¡F
¡]¤Q¤G¡^¥H®ãªo¯S¤j¤Ú´£¨Ñ²`®d¸ô½uÀç¹B¡C
²Ä¤±ø
Àç¹B¨®½øªºÃþ«¬
¤@¡BÀç¹B¨®½ø¨®«¬¹º¤À¬°¥H¤U¥|ºØÃþ«¬¡G
¡]¤@¡^¡K¡K
¡]¤G¡^¡K¡K
¡]¤T¡^¤j¤Ú¡Gªø«×µ¥©ó©Î¤j©ó10.5¦Ì¡Aµ¥©ó©Î¤p©ó12¦Ìªº¤j«¬«È¨®¡F
¡]¥|¡^¯S¤j¤Ú¡Gªø«×µ¥©ó©Î¤j©ó16¦Ìªº»Ç±µ«È¨®¡C
¤G¡B¡K¡K
²Ä¤C±ø
¸ô½uÁ`Äý
©Ó§å¤Hªº©ÒÀç¸ô½u¥]¬A¥H¤U¤¤Q¤C±ø¸ô½u¡G
¡]¤@¡^1¸ô½u¡F
¡]¤G¡^2¸ô½u¡F
¡]¤T¡^2A¸ô½u¡F
¡]¥|¡^3¸ô½u¡F
¡]¤¡^3A¸ô½u¡F
¡]¤»¡^3AX¸ô½u¡F
¡]¤C¡^3X¸ô½u¡F
¡]¤K¡^6A¸ô½u¡F
¡]¤E¡^6B¸ô½u¡F
¡]¤Q¡^7¸ô½u¡F
¡]¤Q¤@¡^8¸ô½u¡F
¡]¤Q¤G¡^8A¸ô½u¡F
¡]¤Q¤T¡^10¸ô½u¡F
¡]¤Q¥|¡^10A¸ô½u¡F
¡]¤Q¤¡^10B¸ô½u¡F
¡]¤Q¤»¡^10X¸ô½u¡F
¡]¤Q¤C¡^11¸ô½u¡F
¡]¤Q¤K¡^12¸ô½u¡F
¡]¤Q¤E¡^12T¸ô½u¡F
¡]¤G¤Q¡^18¸ô½u¡F
¡]¤G¤Q¤@¡^18A¸ô½u¡F
¡]¤G¤Q¤G¡^18B¸ô½u¡F
¡]¤G¤Q¤T¡^19¸ô½u¡F
¡]¤G¤Q¥|¡^21A¸ô½u¡F
¡]¤G¤Q¤¡^22¸ô½u¡F
¡]¤G¤Q¤»¡^23¸ô½u¡F
¡]¤G¤Q¤C¡^27¸ô½u¡F
¡]¤G¤Q¤K¡^28A¸ô½u¡F
¡]¤G¤Q¤E¡^28B¸ô½u¡F
¡]¤T¤Q¡^29¸ô½u¡F
¡]¤T¤Q¤@¡^30¸ô½u¡F
¡]¤T¤Q¤G¡^30X¸ô½u¡F
¡]¤T¤Q¤T¡^31T¸ô½u¡F
¡]¤T¤Q¥|¡^35¸ô½u¡F
¡]¤T¤Q¤¡^36¸ô½u¡F
¡]¤T¤Q¤»¡^50¸ô½u¡F
¡]¤T¤Q¤C¡^50B¸ô½u¡F
¡]¤T¤Q¤K¡^52¸ô½u¡F
¡]¤T¤Q¤E¡^55¸ô½u¡F
¡]¥|¤Q¡^56¸ô½u¡F
¡]¥|¤Q¤@¡^59¸ô½u¡F
¡]¥|¤Q¤G¡^71¸ô½u¡F
¡]¥|¤Q¤T¡^73¸ô½u¡F
¡]¥|¤Q¥|¡^H1¸ô½u¡F
¡]¥|¤Q¤¡^H2¸ô½u¡F
¡]¥|¤Q¤»¡^MT1¸ô½u¡F
¡]¥|¤Q¤C¡^MT2¸ô½u¡F
¡]¥|¤Q¤K¡^MT3¸ô½u¡F
¡]¥|¤Q¤E¡^MT5¸ô½u¡F
¡]¤¤Q¡^N1A¸ô½u¡F
¡]¤¤Q¤@¡^N1B¸ô½u¡F
¡]¤¤Q¤G¡^N2¸ô½u¡F
¡]¤¤Q¤T¡^N3¸ô½u¡F
¡]¤¤Q¥|¡^N4¸ô½u¡F
¡]¤¤Q¤¡^N5¸ô½u¡F
¡]¤¤Q¤»¡^N6¸ô½u¡F
¡]¤¤Q¤C¡^101X¸ô½u¡C
²Ä¤K±ø
¸ô½u°ò¥»ªA°È¸ê®Æ
¤@¡B©Ó§å¤H©ÒÀç¸ô½uªºÁ`¯¸¡B°ò¥»ªA°È®É¶¡¡B°ò¥»¯Z¦¸ÀW²v¡B¨®«¬¡B¸ô½u¤½¨½¼Æ¡B¨C¤é¤é¶¡°ò¥»¯Z¦¸¶q¤Î¨C¤é²`®d°ò¥»¯Z¦¸¶q¦p¤U¡G
|
¸ô½u½s¸¹ |
Á`¯¸ |
°ò¥»ªA°È®É¶¡ |
°ò¥»¯Z¦¸ÀW²v |
¨®«¬ |
¸ô½u¤½¨½¼Æ |
|||
|
1 |
¶ý»ÕÁ`¯¸ |
5¡G45 |
- |
²Ý¤é01¡G00 |
5-8 |
¤j¤Ú |
9.74 |
|
|
2 |
¥Ã¹ç¼s³õÁ`¯¸ |
6¡G15 |
- |
00¡G00 |
5-8 |
¤j¤Ú |
14.19 |
|
|
2A |
ªF¤è©ú¯]Á`¯¸¡B¨È°¨³â«e¦a |
6¡G30 |
- |
23¡G45 |
8-15 |
¤¤¤Ú |
8.3 |
|
|
3 |
¥~´ä½XÀY |
5¡G45 |
- |
²Ý¤é01¡G00 |
4-8 |
¤j¤Ú |
12.86 |
|
|
3A |
¥q¥´¤fÁ`¯¸ |
5¡G40 |
- |
²Ý¤é00¡G45 |
6-12 |
¤j¤Ú |
20.61 |
|
|
3AX |
Ãö¹h¼s³õ |
7¡G00 |
- |
9¡G00 |
8-10 |
¤j¤Ú |
6.68 |
|
|
¡]±j¨î©Ê°²¤é°±¾p¡^ |
||||||||
|
3X |
¨È°¨³â«e¦a |
6¡G45 |
- |
23¡G00 |
4-10 |
¤j¤Ú |
8.2 |
|
|
6A |
¥Ã¹ç¼s³õÁ`¯¸ |
6¡G15 |
- |
23¡G35 |
10-15 |
¤p¤Ú |
15.84 |
|
|
6B |
³Í¬uÆWÁ`¯¸ |
6¡G15 |
- |
23¡G30 |
15 |
¤p¤Ú |
11.91 |
|
|
¡]¬P´Á¤é¤Î±j¨î©Ê°²¤é°±¾p¡^ |
||||||||
|
7 |
ªF¤è©ú¯]Á`¯¸¡B«°¥«¤é«e¦a |
6¡G15 |
- |
23¡G35 |
4-7 |
¤¤¤Ú |
13.71 |
|
|
8 |
¤u·~¶éµó¡B¦^¤O |
6¡G10 |
- |
²Ý¤é00¡G10 |
4-12 |
¤¤¤Ú |
18.67 |
|
|
8A |
¤u·~¶éµó |
6¡G30 |
- |
23¡G30 |
8-12 |
¤p¤Ú |
11.13 |
|
|
10 |
¶ý»ÕÁ`¯¸ |
5¡G40 |
- |
²Ý¤é00¡G45 |
6-8 |
¤j¤Ú |
18.19 |
|
|
10A |
¶ý»ÕÁ`¯¸¡B¥~´ä½XÀY |
6¡G15 |
- |
00¡G00 |
8-15 |
¤¤¤Ú |
14.75 |
|
|
10B |
°¨³õ¤j°¨¸ô |
6¡G00 |
- |
²Ý¤é01¡G15 |
5-9 |
¤j¤Ú |
12.68 |
|
|
10X |
¯§º~²Ä¤@µó |
7¡G30 |
- |
9¡G00 |
10 |
¤j¤Ú |
5.4 |
|
|
¡]¬P´Á¤é¤Î±j¨î©Ê°²¤é°±¾p¡^ |
||||||||
|
11 |
¶ý»ÕÁ`¯¸ |
6¡G10 |
- |
00¡G00 |
6-10 |
¤¤¤Ú |
21.02 |
|
|
12 |
¥Ã¹ç¼s³õÁ`¯¸¡B¥~´ä½XÀY |
6¡G00 |
- |
00¡G10 |
4-10 |
¤j¤Ú |
15.68 |
|
|
12T |
¨È°¨³â«e¦a |
¸ÕÁɤé¤ÎÁɨ®²Ä¤@¤é |
6 |
¤j¤Ú |
6.74 |
|||
|
6¡G30 |
- |
00¡G30 |
||||||
|
Áɨ®²Ä¤G¤é |
6 |
¤j¤Ú |
||||||
|
6¡G30 |
- |
19¡G00 |
||||||
|
18 |
ªª³õµóÁ`¯¸¡B¶ý»ÕÁ`¯¸ |
6¡G00 |
- |
²Ý¤é01¡G10 |
16-24 |
¤p¤Ú |
16.38 |
|
|
18A |
ªF¤è©ú¯]Á`¯¸ |
6¡G20 |
- |
23¡G40 |
5-12 |
¤p¤Ú |
8.1 |
|
|
18B |
¥Ã©wµó¡B¶ý»ÕÁ`¯¸ |
7¡G00 |
- |
22¡G00 |
6-15 |
¤¤¤Ú |
13.03 |
|
|
19 |
¥Ã¹ç¼s³õÁ`¯¸ |
6¡G15 |
- |
00¡G00 |
5-10 |
¤p¤Ú |
8.32 |
|
|
21A |
¶ý»ÕÁ`¯¸¡B¤E¿Dªo®w |
6¡G20 |
- |
²Ý¤é00¡G30 |
16-30 |
¤p¤Ú |
44.6 |
|
|
22 |
¯§º~²Ä¤Gµó |
6¡G15 |
- |
²Ý¤é00¡G10 |
4-10 |
¤j¤Ú |
19.53 |
|
|
23 |
«C¬wÁ`¯¸ |
6¡G30 |
- |
23¡G30 |
8-15 |
¤¤¤Ú |
18.61 |
|
|
27 |
«C¬wÁ`¯¸ |
6¡G00 |
- |
22¡G00 |
15 |
¤¤¤Ú |
8.33 |
|
|
28A |
¥~´ä½XÀY |
6¡G30 |
- |
²Ý¤é00¡G10 |
10-18 |
¤¤¤Ú |
17.39 |
|
|
28B |
«C¬wÁ`¯¸ |
6¡G15 |
- |
23¡G45 |
8-12 |
¤p¤Ú |
19.12 |
|
|
29 |
«C¬wÁ`¯¸ |
7¡G30 |
- |
19¡G15 |
15-18 |
¤p¤Ú |
14.11 |
|
|
30 |
§õÄ_Ýϵó |
6¡G30 |
- |
²Ý¤é00¡G10 |
4-12 |
¤j¤Ú |
25.22 |
|
|
30X |
Ãö¹h¼s³õ |
7¡G00 |
- |
9¡G00 |
6-10 |
¤j¤Ú |
22.64 |
|
|
¡]¬P´Á¤é¤Î±j¨î©Ê°²¤é°±¾p¡^ |
||||||||
|
31T |
ºîÃÀÀ]Á{®É¯¸ |
¸ÕÁɤé¤ÎÁɨ®²Ä¤@¤é |
5 |
¤p¤Ú/ ¤¤¤Ú |
3.17 |
|||
|
6¡G30 |
- |
²Ý¤é00¡G30 |
||||||
|
Áɨ®²Ä¤G¤é |
5 |
|||||||
|
6¡G30 |
- |
19¡G00 |
||||||
|
35 |
Ĭ§Q¦w¶ê§Î¦a |
7¡G00 |
- |
23¡G00 |
15-22 |
¤p¤Ú |
17.83 |
|
|
36 |
Ĭ§Q¦w¶ê§Î¦a |
7¡G00 |
- |
23¡G50 |
15-20 |
¤p¤Ú |
15.1 |
|
|
50 |
¨È°¨³â«e¦a¡B¸ôÀô¥«°Ï |
7¡G00 |
- |
22¡G15 |
12-26 |
¤j¤Ú |
24.83 |
|
|
50B |
¨È°¨³â«e¦a¡B¾r¾p¾Ç²ßº[¦Ò¸Õ¤¤¤ß |
6¡G30 |
- |
20¡G30 |
12-20 |
¤¤¤Ú |
14.22 |
|
|
52 |
½¹½º¨¦¤j°¨¸ôÁ`¯¸¡B¨È°¨³â«e¦a |
6¡G00 |
- |
00¡G00 |
4-15 |
¤¤¤Ú |
18.85 |
|
|
55 |
½¹½º¨¦¤j°¨¸ôÁ`¯¸ |
6¡G00 |
- |
00¡G00 |
10-20 |
¤j¤Ú |
19.34 |
|
|
56 |
½¹½º¨¦¤j°¨¸ôÁ`¯¸ |
6¡G00 |
- |
00¡G00 |
12-20 |
¤¤¤Ú |
24.06 |
|
|
59 |
Ãö¹h¼s³õ¡BÁp¥Í¤u·~邨 |
6¡G30 |
- |
9¡G00 |
8-22 |
¤j¤Ú |
29.18 |
|
|
16¡G00 |
- |
20¡G00 |
||||||
|
71 |
¿Dªù¤j¾ÇÁ`¯¸¡B¨È°¨³â«e¦a |
6¡G30 |
- |
00¡G00 |
8-15 |
¤j¤Ú |
24.13 |
|
|
73 |
¿Dªù¤j¾ÇÁ`¯¸ |
6¡G30 |
- |
²Ý¤é00¡G10 |
8-12 |
¤j¤Ú |
36.75 |
|
|
H1 |
¤s³»Âå°|Á`¯¸ |
7¡G30 |
- |
20¡G30 |
10-18 |
¤p¤Ú |
2.47 |
|
|
H2 |
¸_¤l°òªÀ«Î |
6¡G30 |
- |
20¡G00 |
30 |
¤p¤Ú |
13.14 |
|
|
MT1 |
«°¥«¤é«e¦a |
7¡G30 |
- |
22¡G30 |
10-20 |
¤j¤Ú |
21.7 |
|
|
MT2 |
«°¥«¤é«e¦a |
7¡G00 |
- |
21¡G45 |
12-20 |
¤¤¤Ú |
14.33 |
|
|
MT3 |
°ª§Q¨È®üx¤W±N/¬F©²ºî¦XªA°È¤j¼Ó |
6¡G50 |
- |
20¡G30 |
6-12 |
¤j¤Ú |
20.54 |
|
|
MT5 |
´ò¯`¤j·H |
7¡G00 |
- |
10¡G00 |
8-12 |
¤¤¤Ú |
15.54 |
|
|
15¡G00 |
- |
21¡G00 |
||||||
|
¡]¬P´Á¤»¡B¤é¤Î±j¨î©Ê°²¤é°±¾p¡^ |
||||||||
|
N1A |
¨F±ùÀY¥_µó/¸_¤l°ò¥_ÆW |
00¡G00 |
- |
6¡G00 |
15-18 |
¤j¤Ú |
11.75 |
|
|
N1B |
¨F±ùÀY¥_µó/¸_¤l°ò¥_ÆW |
00¡G00 |
- |
6¡G00 |
15-18 |
¤j¤Ú |
9.42 |
|
|
N2 |
¨F±ùÀY¥_µó/¸_¤l°ò¥_ÆW¡B氹¥J«È¹B½XÀY |
00¡G00 |
- |
6¡G00 |
15-18 |
¤j¤Ú |
34.48 |
|
|
N3 |
¶ý»ÕÁ`¯¸¡B¸ôÀô¥«°Ï |
00¡G00 |
- |
6¡G00 |
20-25 |
¤¤¤Ú |
28.84 |
|
| ¡]¨C¦~1¤ë¦Ü5¤ë¤Î9¤ë¦Ü12¤ë´Á¶¡¹ê¬I¡^ | ||||||||
| ¶ý»ÕÁ`¯¸¡B¶Â¨F®üÅy |
00¡G00 |
- |
6¡G00 |
20-25 |
¤¤¤Ú |
34.58 |
||
| ¡]¨C¦~6¤ë¦Ü8¤ë´Á¶¡¹ê¬I¡^ | ||||||||
|
N4 |
¤u·~¶éµó¡B¨F±ùÀY¥_µó/¸_¤l°ò¥_ÆW |
00¡G00 |
- |
6¡G00 |
20 |
¤¤¤Ú |
3.2 |
|
|
N5 |
¨È°¨³â«e¦a¡B½¹½º¨¦¤j°¨¸ôÁ`¯¸ |
00¡G00 |
- |
6¡G00 |
20-25 |
¤¤¤Ú |
26.54 |
|
|
N6 |
¿Dªù¤j¾ÇÁ`¯¸ |
00¡G00 |
- |
6¡G00 |
20-25 |
¤p¤Ú |
20.32 |
|
|
101X |
´ä¯]¿D¤j¾ô¿DªùÃäÀˤj¼Ó |
00¡G00 |
- |
23¡G59 |
8-30 |
¤j¤Ú |
18.52 |
|
¤G¡B¡K¡K
²Ä¤E±ø
¸ô½u¦æµ{
¤@¡B©Ó§å¤H©ÒÀç¸ô½uªº¦æµ{¦p¤U¡G
|
¸ô½u½s¸¹ |
¤è¦V |
¦æµ{ |
|
1 |
--- | ¦èÆW´ò´º¤j°¨¸ô¡B¤Ú¯À¥´º¸¥jµó¡Bíá¨Ç³â´£·þ¤j°¨¸ô¡B¤Úªi¨F¤j°¨¸ô¡BÃö¹h°¨¸ô¡B¨F±ùÀY®üÃäµó¡B¦èÆW´ò´º¤j°¨¸ô |
|
2 |
--- | ¥Ã¹çµó¡B¼}©Ô¤h¤j°¨¸ô¡B¤h¦h³¾«ô´µ¤j°¨¸ô¡B·s°¨¸ô¡B¦èÆW´ò´º¤j°¨¸ô¡B·s°¨¸ô¡B¤ô§|§Àµó¡B¼}©Ô¤h¤j°¨¸ô¡B¥Ã¹çµó |
|
2A |
ªF¤è©ú¯]Á`¯¸¡÷¨È°¨³â«e¦a | ªF¤è©ú¯]µó¡BªF¥_¤j°¨¸ô¡B¤h¦h³¾«ô´µ¤j°¨¸ô¡B¤ô§|§Àµó¡B¨È°¨³â«e¦a |
| ¨È°¨³â«e¦a¡÷ªF¤è©ú¯]Á`¯¸ | ¨È°¨³â«e¦a¡B¤ô§|§Àµó¡B¬ü°Æ±N¤j°¨¸ô¡BªF¥_¤j°¨¸ô¡BªF¤è©ú¯]µó | |
|
3 |
--- | ®ü´ä«e¦a¡Bù²z°ò³Õ¤h¤j°¨¸ô¡B·s°¨¸ô¡Bíá¨Ç³â´£·þ¤j°¨¸ô¡BÃö¹h°¨¸ô¡Bíá¨Ç³â´£·þ¤j°¨¸ô¡B·s°¨¸ô¡B¨È°¨³â«e¦a¡B®ü´ä«e¦a |
|
3A |
--- | ¤õ²îÀYµó¡B·s°¨¸ô¡B®]¶h¥P¤j°¨¸ô¡B®ü´ä«e¦a¡B¶Â¨FÀô·sµó¡BÃö¹h¼s³õ¡B®ü´ä«e¦a¡B§º¥É¥Í¼s³õ¡B·s°¨¸ô¡B¤õ²îÀYµó |
|
3AX |
--- | Ãö¹h¼s³õ¡B³Ò°Ê¸`¤j°¨¸ô¡B¤Í½Ë¤j°¨¸ô¡B®]¶h¥P¤j°¨¸ô¡B§º¥É¥Í¼s³õ¡B¨È°¨³â«e¦a |
|
3X |
--- | ¨È°¨³â«e¦a¡B·s°¨¸ô¡B¨F±ùÀY¥_µó¡BÃö¹h°¨¸ô¡Bíá¨Ç³â´£·þ¤j°¨¸ô¡B·s°¨¸ô¡B¨È°¨³â«e¦a |
|
6A |
--- | ¥Ã¹çµó¡B¼}©Ô¤h¤j°¨¸ô¡B°ª¤h¼w¤j°¨¸ô¡B·s°¨¸ô¡B¥[«äÄæ°¨¸ô¡B·s°¨¸ô¡B°ª¤h¼w¤j°¨¸ô¡B¼}©Ô¤h¤j°¨¸ô¡B¥Ã¹çµó |
|
6B |
--- | ¤ñÍù³â°¨§Ò¤hµó¡B¥Á°ê¤j°¨¸ô¡B¨È°¨³â«e¦a¡B¥[«äÄæ°¨¸ô¡B«nÆW´ò´º¤j°¨¸ô¡B¤ñÍù³â°¨§Ò¤hµó |
|
7 |
ªF¤è©ú¯]Á`¯¸¡÷«°¥«¤é¤j°¨¸ô | ªF¤è©ú¯]µó¡B¶Â¨FÀô²Ä¤µó¡BÚ§Q³âµó¡B¨È§Q¾~¬[µó¡B¤ô§|§Àµó¡B«°¥«¤é¤j°¨¸ô |
| «°¥«¤é«e¦a¡÷ªF¤è©ú¯]Á`¯¸ | «°¥«¤é«e¦a¡B¤ô§|§Àµó¡BÃè´ò°¨¸ô¡B¶®·G³X¤j°¨¸ô¡B¶Â¨FÀô°¨¸ô¡BªF¤è©ú¯]µó | |
|
8 |
¤u·~¶éµó¡÷¦^¤O | ¤u·~¶éµó¡B¨F¹Å³£³â¸ë½}ÄRµó¡B¤h¦h³¾«ô´µ¤j°¨¸ô¡B¨È°¨³â«e¦a¡B®]¶h¥P¤j°¨¸ô¡B®ü´äµó |
| ¦^¤O¡÷¤u·~¶éµó | ®ü´äµó¡B®]¶h¥P¤j°¨¸ô¡B¤ô§|§Àµó¡BÃè´ò°¨¸ô¡BÚ§Q³âµó¡B¶Â¨FÀô°¨¸ô¡B¤u·~¶éµó | |
|
8A |
--- | ¤u·~¶éµó¡B¶®·G³X¤j°¨¸ô¡Bù§Q¦Ñ°¨¸ô¡B·s°¨¸ô¡B¨FÄæ¥Jµó¡BÚ§Q³âµó¡B¶Â¨FÀô°¨¸ô¡B¤u·~¶éµó |
|
10 |
--- | ¦èÆW´ò´º¤j°¨¸ô¡B·s°¨¸ô¡B¤Í½Ë¤j°¨¸ô¡B¼}©Ô¤h¤j°¨¸ô¡B¤Úªi¨F¤j°¨¸ô¡B¼}©Ô¤h¤j°¨¸ô¡B®ü´ä«e¦a¡B·s°¨¸ô¡B¦èÆW´ò´º¤j°¨¸ô |
|
10A |
¥~´ä½XÀY¡÷¶ý»ÕÁ`¯¸ | ®ü´ä«e¦a¡B®]¶h¥P¤j°¨¸ô¡B§º¥É¥Í¼s³õ¡B·s°¨¸ô¡B¦èÆW´ò´º¤j°¨¸ô |
| ¶ý»ÕÁ`¯¸¡÷¥~´ä½XÀY | ¦èÆW´ò´º¤j°¨¸ô¡B·s°¨¸ô¡B§º¥É¥Í¼s³õ¡B®]¶h¥P¤j°¨¸ô¡B®ü´ä«e¦a | |
|
10B |
--- | °¨³õ¤j°¨¸ô¡B³Ò°Ê¸`¤j°¨¸ô¡B®ü´ä«e¦a¡Bù²z°ò³Õ¤h¤j°¨¸ô¡B«nÆW¤j°¨¸ô¡B°ª¬ü¤hµó¡B¶Â¨FÀô·sµó¡B°¨³õ¤j°¨¸ô |
|
10X |
¯§º~²Ä¤@µó¡÷¨È°¨³â«e¦a | ¯§º~·s§ø²Ä¤@µó¡B¼}©Ô¤h¤j°¨¸ô¡B®ü´ä«e¦a¡Bù²z°ò³Õ¤h¤j°¨¸ô¡B¨È°¨³â«e¦a |
|
11 |
--- | ¦èÆW´ò´º¤j°¨¸ô¡B·s°¨¸ô¡B¹Å¼Ö§ÈÁ`·þ¤j¾ô¡B¬_ºû¯Ç°¨¸ô¡B®]¶h¥P³Õ¤h¤j°¨¸ô¡B¦a³ùµó¡B®}¤éª@±G¤½°¨¸ô¡B¹Å¼Ö§ÈÁ`·þ¤j¾ô¡B·s°¨¸ô¡B¦èÆW´ò´º¤j°¨¸ô |
|
12 |
¥Ã¹ç¼s³õ¡÷¥~´ä½XÀY | ¥Ã寜µó¡B¶Â¨FÀô²Ä¤µó¡B¬ü°Æ±N¤j°¨¸ô¡B¤ô§|§Àµó¡B¨È°¨³â«e¦a¡B®]¶h¥P¤j°¨¸ô¡B®ü´ä«e¦a |
| ¥~´ä½XÀY¡÷¥Ã¹ç¼s³õ | ®ü´ä«e¦a¡B®]¶h¥P¤j°¨¸ô¡B§º¥É¥Í¼s³õ¡B¤ô§|§Àµó¡B°ª¤h¼w¤j°¨¸ô¡B¯§º~·s§ø²Ä¤Gµó¡B¥Ã¹çµó | |
|
12T |
--- | ¨È°¨³â«e¦a¡B®]¶h¥P¤j°¨¸ô¡B®ü´ä«e¦a¡Bù²z°ò³Õ¤h¤j°¨¸ô¡B¨È°¨³â«e¦a |
|
18 |
ªª³õµóÁ`¯¸¡÷¶ý»ÕÁ`¯¸ | ªª³õµó¡B³Ò°Ê¸`¤j°¨¸ô¡B¤ô§|§Àµó¡B«nÆW´ò´º¤j°¨¸ô¡B¦èÆW´ò¼s³õ¡B°ª¼Óµó¡B¦èÆW´ò´º¤j°¨¸ô |
| ¶ý»ÕÁ`¯¸¡÷ªª³õµóÁ`¯¸ | ¦èÆW´ò´º¤j°¨¸ô¡B·s°¨¸ô¡B¨FÄæ¥Jµó¡B³s³Ó°¨¸ô¡B¬ü°Æ±N¤j°¨¸ô¡B¼}©Ô¤h¤j°¨¸ô¡B¥ÃµØµó¡Bªª³õµó | |
|
18A |
--- | ªF¤è©ú¯]µó¡B³Ò°Ê¸`¤j°¨¸ô¡B·s¶®°¨¸ô¡B¤ô§|§Àµó¡B·s°¨¸ô¡B¨FÄæ¥Jµó¡BÚ§Q³âµó¡BªF¥_¤j°¨¸ô¡BªF¤è©ú¯]µó |
|
18B |
¥Ã©wµó¡÷¶ý»ÕÁ`¯¸ | ¥Ã©wµó¡B³Ò°Ê¸`¤j°¨¸ô¡B¤ô§|§Àµó¡B«nÆW´ò´º¤j°¨¸ô¡B¦èÆW´ò¼s³õ¡B¦èÆW´ò´º¤j°¨¸ô |
| ¶ý»ÕÁ`¯¸¡÷¥Ã©wµó | ¦èÆW´ò´º¤j°¨¸ô¡B¨FÄæ¥Jµó¡B³s³Ó°¨¸ô¡B¬ü°Æ±N¤j°¨¸ô¡B¼}©Ô¤h¤j°¨¸ô¡B¥ÃµØµó¡B¥Ã©wµó | |
|
19 |
--- | ¥Ã¹çµó¡BÚ§Q³âµó¡B¤ô§|§Àµó¡B·s°¨¸ô¡B¨FÄæ¥Jµó¡B³s³Ó°¨¸ô¡BÚ§Q³âµó¡B¯§º~·s§ø²Ä¤Gµó¡B¥Ã¹çµó |
|
21A |
¶ý»ÕÁ`¯¸¡÷¤E¿Dªo®w | ¦èÆW´ò´º¤j°¨¸ô¡B·s°¨¸ô¡B¹Å¼Ö§ÈÁ`·þ¤j¾ô¡B®]¶h¥P³Õ¤h¤j°¨¸ô¡B¸ô氹³s³e¤½¸ô¡B¦ËÆW°¨¸ô¡B¶Â¨F°¨¸ô¡B¤E¿D¸t¥À°¨¸ô |
| ¤E¿Dªo®w¡÷¶ý»ÕÁ`¯¸ | ¤E¿D¸t¥À°¨¸ô¡B¶Â¨F°¨¸ô¡B¦ËÆW°¨¸ô¡B¸ô氹³s³e¤½¸ô¡B®]¶h¥P³Õ¤h¤j°¨¸ô¡B¹Å¼Ö§ÈÁ`·þ¤j¾ô¡B·s°¨¸ô¡B¦èÆW´ò´º¤j°¨¸ô | |
|
22 |
--- | ¯§º~·s§ø²Ä¤Gµó¡B¬ü°Æ±N¤j°¨¸ô¡B¤ô§|§Àµó¡B¹Å¼Ö§ÈÁ`·þ¤j¾ô¡B¦a³ùµó¡B¬_ºû¯Ç°¨¸ô¡B®]¶h¥P³Õ¤h¤j°¨¸ô¡B¹Å¼Ö§ÈÁ`·þ¤j¾ô¡B¤ô§|§Àµó¡BÚ§Q³âµó¡B¯§º~·s§ø²Ä¤Gµó |
|
23 |
--- | «C¬w¤Wµó¡B¬ü°Æ±N¤j°¨¸ô¡B§º¥É¥Í¼s³õ¡B«nÆW´ò´º¤j°¨¸ô¡B¦èÆW´ò¼s³õ¡B«nÆW¤j°¨¸ô¡B§º¥É¥Í¼s³õ¡B°ª¤h¼w¤j°¨¸ô¡B¥Õ®Ô¥j±Nx¤j°¨¸ô¡B«C¬w¤Wµó |
|
27 |
--- | «C¬w¤Wµó¡B¤Úªi¨F¤j°¨¸ô¡B³Ò°Ê¸`¤j°¨¸ô¡BÃö¹h¼s³õ¡B«ý§Î°¨¸ô¡B«C¬w¤Wµó |
|
28A |
--- | ®ü´ä«e¦a¡Bù²z°ò³Õ¤h¤j°¨¸ô¡B¹Å¼Ö§ÈÁ`·þ¤j¾ô¡B¦a³ùµó¡B¬_ºû¯Ç°¨¸ô¡B¹Å¼Ö§ÈÁ`·þ¤j¾ô¡B°ª¬ü¤hµó¡B®ü´ä«e¦a |
|
28B |
--- | «C¬w¤Wµó¡B®ü´ä«e¦a¡B«nÆW¤j°¨¸ô¡B·¶¶°óµó¡B¥Á°ê¤j°¨¸ô¡B¤Í½Ë¤j°¨¸ô¡B¼}©Ô¤h¤j°¨¸ô¡B«C¬w¤Wµó |
|
29 |
--- | «C¬w¤Wµó¡B®ü´ä«e¦a¡Bù²z°ò³Õ¤h¤j°¨¸ô¡B¼s¦{µó¡B¤Í½Ë¤j°¨¸ô¡B¼}©Ô¤h¤j°¨¸ô¡B«C¬w¤Wµó |
|
30 |
--- | §õÄ_Ýϵó¡BªF¥_¤j°¨¸ô¡B¤Í½Ë¤j¾ô¡B¬_ºû¯Ç°¨¸ô¡B¼sªF¤j°¨¸ô¡B¬_ºû¯Ç°¨¸ô¡B¤Í½Ë¤j¾ô¡B¶Â¨FÀô·sµó¡B§õÄ_Ýϵó |
|
30X |
--- | Ãö¹h¼s³õ¡B¤Í½Ë¤j¾ô¡B±æ¼w¸t¥ÀÆW¤j°¨¸ô¡B¼sªF¤j°¨¸ô¡B¹Å¼Ö§ÈÁ`·þ¤j¾ô¡B®]¶h¥P¤j°¨¸ô¡B¶Â¨FÀô·sµó¡BÃö¹h¼s³õ |
|
31T |
--- | ²¦¥K¹F¤j°¨¸ô¡Bù²z°ò³Õ¤h¤j°¨¸ô¡B®ü´ä«e¦a¡Bù²z°ò³Õ¤h¤j°¨¸ô¡B²¦¥K¹F¤j°¨¸ô |
|
35 |
--- | Ĭ§Q¦w¶ê§Î¦a¡B¶øªL¤Ç§J¤j°¨¸ô¡B±æ¼w¸t¥ÀÆW¤j°¨¸ô¡B¾r¾p¾Ç²ßº[¦Ò¸Õ¤¤¤ß¡B¼sªF¤j°¨¸ô¡BĬ§Q¦w¶ê§Î¦a |
|
36 |
--- | Ĭ§Q¦w¶ê§Î¦a¡B®]¶h¥P³Õ¤h¤j°¨¸ô¡B¥_¦w¤j°¨¸ô¡B°¶Às°¨¸ô¡B°ò°¨©Ô´µ¤j°¨¸ô¡BĬ§Q¦w¶ê§Î¦a |
|
50 |
¨È°¨³â«e¦a¡÷¸ôÀô¥«°Ï | ¨È°¨³â«e¦a¡B¹Å¼Ö§ÈÁ`·þ¤j¾ô¡B®]¶h¥P³Õ¤h¤j°¨¸ô¡B¸ô氹³s³e¤½¸ô¡B¥Û±ÆÆW°¨¸ô¡B®¦¥§´µÁ`²Î«e¦a |
| ¸ôÀô¥«°Ï¡÷¨È°¨³â«e¦a | ®¦¥§´µÁ`²Î«e¦a¡B¥Û±ÆÆW°¨¸ô¡B¸ô氹³s³e¤½¸ô¡B®]¶h¥P³Õ¤h¤j°¨¸ô¡B¹Å¼Ö§ÈÁ`·þ¤j¾ô¡B¨È°¨³â«e¦a | |
|
50B |
¨È°¨³â«e¦a¡÷¾r¾p¾Ç²ßº[¦Ò¸Õ¤¤¤ß | ¨È°¨³â«e¦a¡B¹Å¼Ö§ÈÁ`·þ¤j¾ô¡B®]¶h¥P³Õ¤h¤j°¨¸ô¡B°¶Às°¨¸ô¡B¾÷³õ¤j°¨¸ô¡B¾r¾p¾Ç²ßº[¦Ò¸Õ¤¤¤ß |
| ¾r¾p¾Ç²ßº[¦Ò¸Õ¤¤¤ß¡÷¨È°¨³â«e¦a | ¾r¾p¾Ç²ßº[¦Ò¸Õ¤¤¤ß¡BÀN^ªF³Õ¤h¤j°¨¸ô¡B®]¶h¥P³Õ¤h¤j°¨¸ô¡B¹Å¼Ö§ÈÁ`·þ¤j¾ô¡B¨È°¨³â«e¦a | |
|
52 |
½¹½º¨¦¤j°¨¸ôÁ`¯¸¡÷¨È°¨³â«e¦a | ½¹½º¨¦¤j°¨¸ô¡B½¬ªá®üÀؤj°¨¸ô¡B®ü¬v¤j°¨¸ô¡B¹Å¼Ö§ÈÁ`·þ¤j¾ô¡B¨È°¨³â«e¦a |
| ¨È°¨³â«e¦a¡÷½¹½º¨¦¤j°¨¸ôÁ`¯¸ | ¨È°¨³â«e¦a¡B¹Å¼Ö§ÈÁ`·þ¤j¾ô¡B®ü¬v¤j°¨¸ô¡B½¬ªá®üÀؤj°¨¸ô¡B½¹½º¨¦¤j°¨¸ô | |
|
55 |
--- | ½¹½º¨¦¤j°¨¸ô¡B½¬ªá®üÀؤj°¨¸ô¡B¦èÆW¤j¾ô¡B¥q¥´¤f¡B¦èÆW¤j¾ô¡B½¬ªá®üÀؤj°¨¸ô¡B½¹½º¨¦¤j°¨¸ô |
|
56 |
--- | ½¹½º¨¦¤j°¨¸ô¡B¸ô氹³s³e¤½¸ô¡B¤Í½Ë¤j¾ô¡B®ü´ä«e¦a¡B°ª¤h¼w¤j°¨¸ô¡B¤Í½Ë¤j¾ô¡B¬ü°Æ±N°¨¸ô¡B¸ô氹³s³e¤½¸ô¡B½¹½º¨¦¤j°¨¸ô |
|
59 |
Ãö¹h¼s³õ¡÷Áp¥Í¤u·~邨 | Ãö¹h¼s³õ¡B¤Í½Ë¤j¾ô¡B¥_¦w¤j°¨¸ô¡B°¶Às°¨¸ô¡B¸ô氹³s³e¤½¸ô¡BÁp¥Í¤u·~邨 |
| Áp¥Í¤u·~邨¡÷Ãö¹h¼s³õ | Áp¥Í¤u·~邨¡B¥Û±ÆÆW°¨¸ô¡B¸ô氹³s³e¤½¸ô¡B¥_¦w¤j°¨¸ô¡B¤Í½Ë¤j¾ô¡BÃö¹h¼s³õ | |
|
71 |
¿Dªù¤j¾ÇÁ`¯¸¡÷¨È°¨³â«e¦a | ºZ¹B¤j°¨¸ô¡B¤j¾Ç¤j°¨¸ô¡B½¬ªá®üÀؤj°¨¸ô¡B®ü¬vªá¶é¤j°¨¸ô¡B¹Å¼Ö§ÈÁ`·þ¤j¾ô¡B¨È°¨³â«e¦a |
| ¨È°¨³â«e¦a¡÷¿Dªù¤j¾ÇÁ`¯¸ | ¨È°¨³â«e¦a¡B¹Å¼Ö§ÈÁ`·þ¤j¾ô¡B®ü¬vªá¶é¤j°¨¸ô¡B½¬ªá®üÀؤj°¨¸ô¡B¤j¾Ç¤j°¨¸ô¡BºZ¹B¤j°¨¸ô | |
|
73 |
--- | ºZ¹B¤j°¨¸ô¡B½¬ªá®üÀؤj°¨¸ô¡B¦èÆW¤j¾ô¡B¤Í½Ë¤j°¨¸ô¡B³Ò°Ê¸`¤j°¨¸ô¡B¤Í½Ë¤j°¨¸ô¡B¦èÆW¤j¾ô¡B½¬ªá®üÀؤj°¨¸ô¡BºZ¹B¤j°¨¸ô |
|
H1 |
--- | Y¾Ë°¨¸ô¡B¥[«äÄæ°¨¸ô¡B±o³Ó±×¸ô¡B¤ô§|§Àµó¡B¨È°¨³â«e¦a¡B¥[«äÄæ°¨¸ô¡B±o³Ó±×¸ô¡BY¾Ë°¨¸ô |
|
H2 |
--- | ÚY¿«µó¡B«C¬w¤j°¨¸ô¡B¤Í½Ë¤j°¨¸ô¡B¥[«äÄæ°¨¸ô¡B®üÃä°¨¸ô¡B¼}©Ô¤h¤j°¨¸ô¡B«C¬w¤j°¨¸ô¡BÚY¿«µó |
|
MT1 |
--- | «°¥«¤é«e¦a¡B¹Å¼Ö§ÈÁ`·þ¤j¾ô¡B®]¶h¥P³Õ¤h¤j°¨¸ô¡B±æ¼w¸t¥ÀÆW¤j°¨¸ô¡B°¶Às°¨¸ô¡B±æ¼w¸t¥ÀÆW¤j°¨¸ô¡B®]¶h¥P³Õ¤h¤j°¨¸ô¡B¼Ö§ÈÁ`·þ¤j¾ô¡B«°¥«¤é¤j°¨¸ô |
|
MT2 |
--- | «°¥«¤é«e¦a¡B¹Å¼Ö§ÈÁ`·þ¤j¾ô¡B®ü¬vªá¶é¤j°¨¸ô¡B¬_ºû¯Ç°¨¸ô¡B¦¨³£µó¡B®ü¬vªá¶é¤j°¨¸ô¡B¹Å¼Ö§ÈÁ`·þ¤j¾ô¡B«°¥«¤é¤j°¨¸ô |
|
MT3 |
--- | °ª§Q¨È®üx¤W±N¤j°¨¸ô¡B¤Í½Ë¤j¾ô¡B¶øªL¤Ç§J¤j°¨¸ô¡B±æ¼w¸t¥ÀÆW¤j°¨¸ô¡B°ªÀy¶®°¨¸ô¡B¤Í½Ë¤j¾ô¡B°ª§Q¨È®üx¤W±N¤j°¨¸ô |
|
MT5 |
--- | ´ò¯`¤j·H¡B®]¶h¥P³Õ¤h¤j°¨¸ô¡B¼sªF¤j°¨¸ô¡B¹Å¼Ö§ÈÁ`·þ¤j¾ô¡B¨È°¨³â«e¦a¡B«°¥«¤é¤j°¨¸ô¡B¹Å¼Ö§ÈÁ`·þ¤j¾ô¡B¬_ºû¯Ç°¨¸ô¡B°ò°¨©Ô´µ¤j°¨¸ô¡B´ò¯`¤j·H |
|
N1A |
--- | ¨F±ùÀY¥_µó¡B¤Úªi¨F¤j°¨¸ô¡B³Ò°Ê¸`¤j°¨¸ô¡B®ü´ä«e¦a¡B§º¥É¥Í¼s³õ¡B¨È°¨³â«e¦a¡B·s°¨¸ô¡B¤Ú¯À¥´º¸¥jµó¡B¥Õ®Ô¥j±Nx¤j°¨¸ô¡B¨F±ùÀY¥_µó |
|
N1B |
--- | ¨F±ùÀY¥_µó¡Bíá¨Ç³â´£·þ¤j°¨¸ô¡B·s°¨¸ô¡B¨È°¨³â«e¦a¡B¤Í½Ë¤j°¨¸ô¡B¶Â¨FÀô·sµó¡B°¨³õ®üÃä°¨¸ô¡B¨F±ùÀY¥_µó |
|
N2 |
¨F±ùÀY¥_µó/¸_¤l°ò¥_ÆW¡÷氹¥J«È¹B½XÀY | ¨F±ùÀY¥_µó¡B°ª¤h¼w¤j°¨¸ô¡B®]¶h¥P¤j°¨¸ô¡B¹Å¼Ö§ÈÁ`·þ¤j¾ô¡B°ò°¨©Ô´µ¤j°¨¸ô¡B¶øªL¤Ç§J¤j°¨¸ô¡B氹¥J«È¹B½XÀY |
| 氹¥J«È¹B½XÀY¡÷¨F±ùÀY¥_µó/¸_¤l°ò¥_ÆW | 氹¥J«È¹B½XÀY¡B¹Å¼Ö§ÈÁ`·þ°¨¸ô¡B®]¶h¥P³Õ¤h¤j°¨¸ô¡B¹Å¼Ö§ÈÁ`·þ¤j¾ô¡B¤ô§|§Àµó¡B°ª¤h¼w¤j°¨¸ô¡B¨F±ùÀY¥_µó | |
|
N3 |
¶ý»ÕÁ`¯¸¡÷¸ôÀôµó¥« | ¦èÆW´ò´º¤j°¨¸ô¡B·s°¨¸ô¡B¹Å¼Ö§ÈÁ`·þ¤j¾ô¡B®]¶h¥P³Õ¤h¤j°¨¸ô¡B¸ô氹³s³e¤½¸ô¡B¥Û±ÆÆW°¨¸ô¡B®¦¥§´µÁ`²Î«e¦a |
| ¡]¨C¦~1¤ë¦Ü5¤ë¤Î9¤ë¦Ü12¤ë´Á¶¡¹ê¬I¡^ | ||
| ¸ôÀôµó¥«¡÷¶ý»ÕÁ`¯¸ | ®¦¥§´µÁ`²Î«e¦a¡B¥Û±ÆÆW°¨¸ô¡B¸ô氹³s³e¤½¸ô¡B®]¶h¥P³Õ¤h¤j°¨¸ô¡B¹Å¼Ö§ÈÁ`·þ¤j¾ô¡B·s°¨¸ô¡B¦èÆW´ò´º¤j°¨¸ô | |
| ¡]¨C¦~1¤ë¦Ü5¤ë¤Î9¤ë¦Ü12¤ë´Á¶¡¹ê¬I¡^ | ||
| ¶ý»ÕÁ`¯¸¡÷¶Â¨F®üÅy | ¦èÆW´ò´º¤j°¨¸ô¡B·s°¨¸ô¡B¹Å¼Ö§ÈÁ`·þ¤j¾ô¡B®]¶h¥P³Õ¤h¤j°¨¸ô¡B¸ô氹³s³e¤½¸ô¡B¥Û±ÆÆW°¨¸ô¡B¦ËÆW°¨¸ô¡B·s¶Â¨F°¨¸ô | |
| ¡]¨C¦~6¤ë¦Ü8¤ë´Á¶¡¹ê¬I¡^ | ||
| ¶Â¨F®üÅy¡÷¶ý»ÕÁ`¯¸ | ·s¶Â¨F°¨¸ô¡B¦ËÆW°¨¸ô¡B¥Û±ÆÆW°¨¸ô¡B¸ô氹³s³e¤½¸ô¡B®]¶h¥P³Õ¤h¤j°¨¸ô¡B¹Å¼Ö§ÈÁ`·þ¤j¾ô¡B·s°¨¸ô¡B¦èÆW´ò´º¤j°¨¸ô | |
| ¡]¨C¦~6¤ë¦Ü8¤ë´Á¶¡¹ê¬I¡^ | ||
|
N4 |
¤u·~¶éµó¡÷¨F±ùÀY¥_µó/¸_¤l°ò¥_ÆW | ¤u·~¶éµó¡B«C¬wªeÃä°¨¸ô¡B¦ó½å²Ô¤h¤j°¨¸ô¡B¨F±ùÀY¥_µó |
| ¨F±ùÀY¥_µó/¸_¤l°ò¥_ÆW¡÷¤u·~¶éµó | ¨F±ùÀY¥_µó¡B¦ó½å²Ô¤h¤j°¨¸ô¡B«C¬wªeÃä°¨¸ô¡B¤u·~¶éµó | |
|
N5 |
¨È°¨³â«e¦a¡÷½¹½º¨¦¤j°¨¸ôÁ`¯¸ | ¨È°¨³â«e¦a¡B¹Å¼Ö§ÈÁ`·þ¤j¾ô¡B¬_ºû¯Ç°¨¸ô¡B°ò°¨©Ô´µ¤j°¨¸ô¡B°¶Às°¨¸ô¡BÅé¨|À]¤j°¨¸ô¡B½¹½º¨¦¤j°¨¸ô |
| ½¹½º¨¦¤j°¨¸ôÁ`¯¸¡÷¨È°¨³â«e¦a | ½¹½º¨¦¤j°¨¸ô¡BÅé¨|À]¤j°¨¸ô¡B°¶Às°¨¸ô¡B°ò°¨©Ô´µ¤j°¨¸ô¡B¬_ºû¯Ç°¨¸ô¡B¹Å¼Ö§ÈÁ`·þ¤j¾ô¡B¨È°¨³â«e¦a | |
|
N6 |
ºZ¹B¤j°¨¸ô¡B½¬ªá®üÀؤj°¨¸ô¡B°ò°¨©Ô´µ¤j°¨¸ô¡B°¶Às°¨¸ô¡B°ò°¨©Ô´µ¤j°¨¸ô¡B½¬ªá®üÀؤj°¨¸ô¡B¤j¾Ç¤j°¨¸ô¡BºZ¹B¤j°¨¸ô | |
|
101X |
´ä¯]¿D¤j¾ô¿Dªù¤f©¤ÃäÀˤj¼Ó¡B°¨¸U¸R³Õ¤h¤j°¨¸ô¡BªLZ®üÃä¤j°¨¸ô¡B·s°¨¸ô¡B¨È°¨³â«e¦a¡B·s°¨¸ô¡BªLZ®üÃä¤j°¨¸ô¡B¤Úªi¨F¤j°¨¸ô¡B°¨¸U¸R³Õ¤h¤j°¨¸ô¡B´ä¯]¿D¤j¾ô¿Dªù¤f©¤ÃäÀˤj¼Ó |
¤G¡B¡K¡K
²Ä¤Q±ø
Àç¹BÃþ«¬¤½¨½¼Æ
¤@¡B©Ó§å¤H¦b¤G¹s¤@¤¦~ªºÀç¹B´Á¤º¡A©ÒÀç¸ô½uªº°ò¥»Àç¹BÃþ«¬¤½¨½¼Æ¦p¤U¡A¦ý¤£¥]¬A¥ÑºÊ¹î¹êÅé«ü©wªº·s¼W¸ô½u¡G
¡]¤@¡^¡K¡K
¡]¤G¡^¡K¡K
¡]¤T¡^¡K¡K
¡]¥|¡^¡K¡K
¡]¤¡^¡K¡K
¡]¤»¡^¡K¡K
¡]¤C¡^¡K¡K
¡]¤K¡^.....
¡]¤E¡^¡K¡K
¡]¤Q¡^¡K¡K
¤G¡B¡K¡K
¤T¡B¡K¡K
¥|¡BºÊ¹î¹êÅé±N©ó2017¦~¤Î2018¦~¤W¥b¦~Àç¹B´Áªº¤W¤@¦~5¤ë31¤é©Î¥H«e¥H®Ñ±¤è¦¡³qª¾©Ó§å¤H¦³Ãö¦U¹ïÀ³Àç¹B´Áq©wªº¹wpÀç¹BÃþ«¬¤½¨½¼Æ¡A¸Ó³qª¾¶·«ü¥X¹ïÀ³Àç¹B´Á¹wpªº°ò¥»Àç¹BÃþ«¬¤½¨½¼Æ¤Î¦]¼W´î¸ô½u¤Î¯Z¦¸¡B©µªø¤ÎÁYµu¸ô½u¹wp©Ò¯A¤ÎªºÀç¹BÃþ«¬¤½¨½¼Æ¡C
ªþ¥ó¤T
Àç¹BªA°È
²Ä¤G±ø
²¼´Úªº¦¬¶°¤Î®Öºâ
¤@¡B¡K¡K
¤G¡B¡K¡K
¤T¡B¡K¡K
¥|¡B¡K¡K
¤¡B¡K¡K
¤»¡BÕ¥X²{ºò«æ½Õ«×ì¦]¦Ó»Ýn¨Ï¥Î¦P¤@Àç¹B¨®½ø¸gÀç¶W¹L¤@±ø¸ô½uªA°È¡A¦ÓÂà½u®É¶¡¤£¨¬¥|¤p®É¡A¥iÁŧK§ó´«ªÅ¿ú½c¡A¦ý´£¥æ³øªí®É¥²¶·ªþ¦P¦X²zÃÒ©ú¡C
¤C¡B¤W´Ú©Ò«üªºÁŧK¡A¨Ã¤£¥]¬A¥ÑºÊ¹î¹êÅé«ü©wªº·s¼W¸ô½u¡C
¤K¡Bì²Ä¤»´Ú¡C
¤E¡Bì²Ä¤C´Ú¡C
¤Q¡Bì²Ä¤K´Ú¡C
¤Q¤@¡Bì²Ä¤E´Ú¡C
¤Q¤G¡Bì²Ä¤Q´Ú¡C
¤Q¤T¡Bì²Ä¤Q¤@´Ú¡C
ªþ¥ó¥|
Àç¹B¨®½ø
²Ä¤@±ø
Àç¹B¨®½øªº°ò¥»n¨D
¤@¡B¡K¡K
¤G¡B¡K¡K
¤T¡B¡K¡K
¥|¡B¡K¡K
¤¡B¡K¡K
¤»¡B©Ó§å¤H¶·«ö·Óªþ¥ó¤@ªº¸ô½u¯S¼x©Ò¸ü©úªº¨®½øÃþ«¬°t¸m¨¬°÷ªºÀç¹B¨®½ø¡A·í¤¤¥]¬A¤£¤Ö©ó¦Ê¤À¤§¤Qªº«á³Æ¨®½ø¨ÑÁ{®É½Õ«×©Ò»Ý¡A¦ý¯S¤j¤Ú°£¥~¡C
¤C¡BºÊ¹î¹êÅé»{¬°¦³»Ýn®É¡A©Ó§å¤H¶·«ö·Ó¦³Ãö«ü¥Ü½Õ«×¨®½ø¡A¤×¨ä¬O¯S§C¦a¥x¡B¨ã³Æ¯S®í³]¬Iªº¨®½ø¡B¯S¤j¤Ú¡B¤ÑµM®ð¨®½ø¡Bªo¹q²V¦X¨®½ø¤Î¯Â¹q°Ê¨®½ø¡C
¤K¡B¡K¡K
¤E¡B¡K¡K
²Ä¤Q¤»±ø
Àç¹B¨®½øªºÀˬd¤Î¾Þ§@
¤@¡B©Ó§å¤H¶·©ó¸gÀç¨C¤@¯Z¦¸ªA°È«e¡A¹ïÀç¹B¨®½ø¡B³]³Æ¤Î¿U®Æ§@¥XÀˬd¡A¨Ã½T«OÀç¹B¨®½ø¤Î¨ä³]³Æ¦b¸gÀçªA°È®É¾Þ§@¥¿±`¡B¨Ï¥Î¥¿½T¤Î«K§Q¼«È¡A¤×¨ä¶·½T«O¦VºÊ¹î¹êÅé´£¨Ñ§¹¾ã¤Î¥¿½Tªº½Ã¬P¾É¯è¨t²Î³]³Æ¤Î¹q¤l³f¹ôÀxÈ¥d¦©¶O»ö¾¹¸ê®Æ¡C
¤G¡B©Ó§å¤H¶·½T«O½Ã¬P¾É¯è¨t²Î³]³Æ¤Î¹q¤l³f¹ôÀxÈ¥d¦©¶O»ö¾¹³B©ó¥¿±`¹B§@ª¬ºA¡FÕ©ó¸gÀç¯Z¦¸ªA°È´Á¶¡¥¼¯à¥¿±`¹B§@¡A¶·©ó§¹¦¨¸Ó¯Z¦¸ªA°È«á§@¥X§ó´«¡A¨Ã¶·©óºò±µ¨ä«áªº¤@Ó¤u§@¤é¤º¦VºÊ¹î¹êÅé§@¥X¥Ó³ø¡A¨Ã©ó´£¥æªþ¥ó¤»²Ä¤G±ø¡]¤T¡^¶µ©Ò«üªº¯Z¦¸¸ê®Æ®É¡A¦VºÊ¹î¹êÅé¥Ó³ø¨ü¼vÅT¯Z¦¸¡C
¤T¡B©Ó§å¤H¶·«ö·Ó¦U©ÒÀç¸ô½uªº¹ê»ÚÀç¹Bª¬ªp¡A¦b½Ã¬P¾É¯è¨t²Î³]³Æ¤Î¹q¤l³f¹ôÀxÈ¥d¦©¶O»ö¾¹¿é¤J¥¿½TªºÀç¹B¸ê®Æ¡FÕ¨S¦³«ö·Ó¹ê»ÚÀç¹Bª¬ªp¿é¤J¥¿½TªºÀç¹B¸ê®Æ¡A¶·©ó´£¥æªþ¥ó¤»²Ä¤G±ø¡]¤T¡^¶µ©Ò«üªº¯Z¦¸¸ê®Æ®É¡A¦VºÊ¹î¹êÅé¥Ó³ø¨ü¼vÅT¯Z¦¸¡C
¥|¡B©Ó§å¤H¶·«ö·ÓºÊ¹î¹êÅ骺«ü¥Ü¡A©ó«ü©w®É¶¡¤º¡A½T«O§¹¾ãªº½Ã¬P¾É¯è¨t²Î³]³Æ¤Î¹q¤l³f¹ôÀxÈ¥d¦©¶O»ö¾¹¸ê®Æ¤w¤W¶Ç¦ÜºÊ¹î¹êÅé«ü©wªº¼Æ¾Ú¦¬¶°¨t²Î¡F¹ï©ó¤W§e¼Æ¾Ú¹Lµ{¦s¦³²§±`®É¡A¶·¾¨§ÖÁpµ¸½Ã¬P¾É¯è¨t²Î³]³Æ¤Î¹q¤l³f¹ôÀxÈ¥d¦©¶O»ö¾¹ªº¬ÛÀ³¨ÑÀ³°Ó³B²z¡A¨Ã¾¨§Ö¦VºÊ¹î¹êÅé§@¥X¥Ó³ø¡FÕ¸Óµ¥ºÊ¹î¸ê®Æ¼Æ¾Ú¦s¦³²§±`¡A¶·©ó´£¥æªþ¥ó¤»²Ä¤G±ø¡]¤T¡^¶µ©Ò«üªº¯Z¦¸¸ê®Æ®É¡A¦VºÊ¹î¹êÅé¥Ó³ø¨ü¼vÅT¯Z¦¸¡C
¤¡B¹ï©ó¨S¦³´N²Ä¤G´Ú¦Ü¤W´Ú©Ò¥X²{ªº±¡ªp¦VºÊ¹î¹êÅé§@¥X¥Ó³øªº¯Z¦¸¡A¥H¤Î¤í¯Ê§¹¾ã¤Î¥¿½Tªº½Ã¬P¾É¯è¨t²Î³]³Æ¤Î¹q¤l³f¹ôÀxÈ¥d¦©¶O»ö¾¹¸ê®Æªº¯Z¦¸¡A¿Dªù¯S§O¦æ¬F°Ï¦bµ²ºâ°]¬F´©§U®É±N¤£¤©¦Ò¼{¡C
¤»¡BղĤT±ø²Ä¤´Ú¡B¥»±ø²Ä¤G´Ú¦Ü¥|´Ú©Ò«üªº³]³Æ¤Î¨t²Î¥X²{¬G»Ù¡A©Ó§å¤H¶·©óª¾±x¨t²Î¬G»Ù«á¤@¤p®É¤º¦w±ÆºûסA¨Ã¾¨§Ö«ì´_¥¿±`¹B§@¡C
ªþ¥ó¤
°]¬F´©§Uªºpºâ¤è¦¡
²Ä¤@±ø
°]¬F´©§Uªºpºâ¤è¦¡
¤@¡B¦UÀç¹B´ÁÁ`°]¬F´©§Uªºpºâ¤è¦¡¦p¤U¡G

¨ä¤¤¡A
Tt¡Gt´ÁÁ`°]¬F´©§U
Dte¡Gt´ÁeÀç¹BÃþ«¬ªº°]¬F´©§U¡]e=1®É¡A¥Nªí¥H®ãªo¤p¤Ú´£¨Ñ¤é¶¡¸ô½uÀç¹B¡Fe=2®É¡A¥Nªí¥H®ãªo¤¤¤Ú´£¨Ñ¤é¶¡¸ô½uÀç¹B¡Fe=3®É¡A¥Nªí¥H®ãªo¤j¤Ú´£¨Ñ¤é¶¡¸ô½uÀç¹B¡Fe=4®É¡A¥Nªí¥H®ãªo¤p¤Ú´£¨Ñ²`®d¸ô½uÀç¹B¡Fe=5®É¡A¥Nªí¥H®ãªo¤¤¤Ú´£¨Ñ²`®d¸ô½uÀç¹B¡Fe=6®É¡A¥Nªí¥H®ãªo¤j¤Ú´£¨Ñ²`®d¸ô½uÀç¹B¡Fe=7®É¡A¥Nªí¥H¤ÑµM®ð¤j¤Ú´£¨Ñ¤é¶¡¸ô½uÀç¹B¡Fe=8®É¡A¥Nªí¥H¤ÑµM®ð¤j¤Ú´£¨Ñ²`®d¸ô½uÀç¹B¡Fe=9®É¡A¥Nªí¥H¯Â¹q°Ê¤j¤Ú´£¨Ñ¤é¶¡¸ô½uÀç¹B¡Fe=10®É¡A¥Nªí¥H¯Â¹q°Ê¤j¤Ú´£¨Ñ²`®d¸ô½uÀç¹B¡Fe=11®É¡A¥Nªí¥H®ãªo¯S¤j¤Ú´£¨Ñ¤é¶¡¸ô½uÀç¹B¡Fe=12®É¡A¥Nªí¥H®ãªo¯S¤j¤Ú´£¨Ñ²`®d¸ô½uÀç¹B¡^
n¡GÀç¹BÃþ«¬ªº¼Æ¥Ø¡An=12
t¡Gªí¥ÜÀç¹B´Á¡At=0¬°2015¦~ªºÀç¹B´Á¡At=1¬°2016¦~ªºÀç¹B´Á¡A¦p¦¹Ãþ±À
Et¡Gt´Á¦]²¼»ù½Õ¾ã¦Ó¥X²{ªº²¼´Ú®tÃBªºÁ`©M¡]2018¦~4¤ë21¤é¦Ü2019¦~10¤ë31¤é´Á¶¡¡A«ö¤£¦P¦¬¶OÃþ§O¤Î¬ÛÀ³¼«È¼Æ¥Øpºâªº¹ê»Ú²¼´Ú¦¬¤J¦b²¼»ù½Õ¾ã«e«áªº®tÃB¡^
Mt¡Gt´Á¦]²¼»ù½Õ¾ã¦Ó¥X²{ªº¨C¤½¨½²¼´Ú¦¬¤J®tÃBªºÁ`©M¡]2018¦~4¤ë21¤é¦Ü2019¦~10¤ë31¤é´Á¶¡¡A«ö°ò¥»Àç¹BÃþ«¬¤½¨½¼Æpºâªº¨C¤½¨½©Ó§å¤H¹ê»Ú¦¬¨úªº²¼´Ú¦¬¤J¦b²¼»ù½Õ¾ã«e«áªº®tÃB¡^
¤G¡B¤Q¤GºØÀç¹BÃþ«¬ªº¦UÀç¹B´Á°]¬F´©§Uªºpºâ¤è¦¡¦p¤U¡G
Dt = At + Bt + Ct
¨ä¤¤¡A
Dt¡Gt´Á¦UÀç¹BÃþ«¬ªº°]¬F´©§U¡]¤Q¤GºØÀç¹BÃþ«¬¡ADt1¦ÜDt12ªºpºâ¤èªk¬Û¦P¡A¦]¦¹¡A´î§K¤U¼Ðªí¥Ü¤è¦¡¡A¨Ï¥ÎDt¥N´ÀDte¡^
At¡G«öt´Á°ò¥»Àç¹BÃþ«¬¤½¨½¼Æpºâªº°]¬F´©§U
Bt¡Gt´Á¤º¦]¨ú®ø¸ô½u¡B¼W´î¯Z¦¸¡B©µªø¤ÎÁYµu¸ô½u¦Ópºâªº°]¬F´©§U
Ct¡Gt´Á¤º¦]¼W¥[¸ô½u¦Ópºâªº°]¬F´©§U
¤T¡B«ö°ò¥»Àç¹BÃþ«¬¤½¨½¼Æpºâ°]¬F´©§Uªºpºâ¤è¦¡¦p¤U¡G
At = Rt ¡V Pt
Rt = rt ¡Ñ Kt
Pt = pt ¡Ñ Kt
¨ä¤¤¡A
At¡G«öt´Á°ò¥»Àç¹BÃþ«¬¤½¨½¼Æpºâªº°]¬F´©§U
rt¡Gt´Á¨C¤½¨½¥§¡ªA°È»ùÈ
t=0®É¡A¨C¤½¨½¥§¡ªA°È»ùȬ°¡G
r¡]t=0¡^1 =17.49¤¸¡]¥H®ãªo¤p¤Ú´£¨Ñ¤é¶¡¸ô½uÀç¹B¡^¡B
r¡]t=0¡^2 =22.74¤¸¡]¥H®ãªo¤¤¤Ú´£¨Ñ¤é¶¡¸ô½uÀç¹B¡^¡B
r¡]t=0¡^3 =27.98¤¸¡]¥H®ãªo¤j¤Ú´£¨Ñ¤é¶¡¸ô½uÀç¹B¡^¡B
r¡]t=0¡^4 =26.24¤¸¡]¥H®ãªo¤p¤Ú´£¨Ñ²`®d¸ô½uÀç¹B¡^¡B
r¡]t=0¡^5 =34.11¤¸¡]¥H®ãªo¤¤¤Ú´£¨Ñ²`®d¸ô½uÀç¹B¡^¡B
r¡]t=0¡^6 =41.98¤¸¡]¥H®ãªo¤j¤Ú´£¨Ñ²`®d¸ô½uÀç¹B¡^¡B
r¡]t=0¡^7 =31.06¤¸¡]¥H¤ÑµM®ð¤j¤Ú´£¨Ñ¤é¶¡¸ô½uÀç¹B¡^¡B
r¡]t=0¡^8 =46.59¤¸¡]¥H¤ÑµM®ð¤j¤Ú´£¨Ñ²`®d¸ô½uÀç¹B¡^¡B
r¡]t=0¡^9 =55.85¤¸¡]¥H¯Â¹q°Ê¤j¤Ú´£¨Ñ¤é¶¡¸ô½uÀç¹B¡^¡B
r¡]t=0¡^10 =83.78¤¸¡]¥H¯Â¹q°Ê¤j¤Ú´£¨Ñ²`®d¸ô½uÀç¹B¡^¡F
t=4¤Ît=5®É¡A¨C¤½¨½¥§¡ªA°È»ùȬ°¡G
r1 =20.61¤¸¡]¥H®ãªo¤p¤Ú´£¨Ñ¤é¶¡¸ô½uÀç¹B¡^¡B
r2 =26.80¤¸¡]¥H®ãªo¤¤¤Ú´£¨Ñ¤é¶¡¸ô½uÀç¹B¡^¡B
r3 =33.00¤¸¡]¥H®ãªo¤j¤Ú´£¨Ñ¤é¶¡¸ô½uÀç¹B¡^¡B
r4 =30.94¤¸¡]¥H®ãªo¤p¤Ú´£¨Ñ²`®d¸ô½uÀç¹B¡^¡B
r5 =40.22¤¸¡]¥H®ãªo¤¤¤Ú´£¨Ñ²`®d¸ô½uÀç¹B¡^¡B
r6 =49.51¤¸¡]¥H®ãªo¤j¤Ú´£¨Ñ²`®d¸ô½uÀç¹B¡^¡B
r7 =39.47¤¸¡]¥H¤ÑµM®ð¤j¤Ú´£¨Ñ¤é¶¡¸ô½uÀç¹B¡^¡B
r8 =59.21¤¸¡]¥H¤ÑµM®ð¤j¤Ú´£¨Ñ²`®d¸ô½uÀç¹B¡^¡B
r9 =69.93¤¸¡]¥H¯Â¹q°Ê¤j¤Ú´£¨Ñ¤é¶¡¸ô½uÀç¹B¡^¡B
r10=69.93¤¸¡]¥H¯Â¹q°Ê¤j¤Ú´£¨Ñ²`®d¸ô½uÀç¹B¡^¡B
r11=40.04¤¸¡]¥H®ãªo¯S¤j¤Ú´£¨Ñ¤é¶¡¸ô½uÀç¹B¡^¡B
r12=60.06¤¸¡]¥H®ãªo¯S¤j¤Ú´£¨Ñ²`®d¸ô½uÀç¹B¡^¡F
t=1®É¡Ar1 =r0
1<t≤3®É¡Art«ö·Ó¤U±øpºâ
Rt¡G«öt´Á°ò¥»Àç¹BÃþ«¬¤½¨½¼ÆpºâªºªA°È»ùÈ
t=0®É¡A«ö·Ó2015¦~ªºÀç¹B´Áªº¨C¤½¨½¥§¡ªA°È»ùÈ¡]r0¡^¡A¼¥Hªþ¥ó¤@²Ä¤Q±ø²Ä¤@´Ú©Ò«üªº¹ïÀ³°ò¥»Àç¹BÃþ«¬¤½¨½¼Æ¡]K0¡^¡Apºâªº2015¦~ªºÀç¹B´ÁªºªA°È»ùȤÀ§O¬°¡G
R¡]t=0¡^1 = 12,604,647.73¤¸¡]¥H®ãªo¤p¤Ú´£¨Ñ¤é¶¡¸ô½uÀç¹B¡^¡B
R¡]t=0¡^2 = 6,834,574.31¤¸¡]¥H®ãªo¤¤¤Ú´£¨Ñ¤é¶¡¸ô½uÀç¹B¡^¡B
R¡]t=0¡^3 = 26,654,172.18¤¸¡]¥H®ãªo¤j¤Ú´£¨Ñ¤é¶¡¸ô½uÀç¹B¡^¡B
R¡]t=0¡^4 = 78,795.57¤¸¡]¥H®ãªo¤p¤Ú´£¨Ñ²`®d¸ô½uÀç¹B¡^¡B
R¡]t=0¡^5 = 125,869.99¤¸¡]¥H®ãªo¤¤¤Ú´£¨Ñ²`®d¸ô½uÀç¹B¡^¡B
R¡]t=0¡^6 = 7,124,212.54¤¸¡]¥H®ãªo¤j¤Ú´£¨Ñ²`®d¸ô½uÀç¹B¡^¡B
R¡]t=0¡^7 =16,647,711.49¤¸¡]¥H¤ÑµM®ð¤j¤Ú´£¨Ñ¤é¶¡¸ô½uÀç¹B¡^¡B
R¡]t=0¡^8 =141,961.59¤¸¡]¥H¤ÑµM®ð¤j¤Ú´£¨Ñ²`®d¸ô½uÀç¹B¡^¡B
R¡]t=0¡^9 = 0¡]¥H¯Â¹q°Ê¤j¤Ú´£¨Ñ¤é¶¡¸ô½uÀç¹B¡^¡B
R¡]t=0¡^10 = 0¡]¥H¯Â¹q°Ê¤j¤Ú´£¨Ñ²`®d¸ô½uÀç¹B¡^¡F
2015¦~ªºÀç¹B´ÁªºªA°È»ùȦXp¬°¿Dªù¤¸70,211,945.41¡C
t=4®É¡A«ö·Ó¨C¤½¨½¥§¡ªA°È»ùÈ¡]rt¡^¡A¼¥Hªþ¥ó¤@²Ä¤Q¤@±ø²Ä¤@´Ú©Ò«üªº¹ïÀ³°ò¥»Àç¹BÃþ«¬¤½¨½¼Æ¡]K0¡^¡Apºâªº2018¦~¤U¥b¦~Àç¹B´ÁªºªA°È»ùȤÀ§O¬°¡G
R¡]t=4¡^1=41,860,219.97¤¸¡]¥H®ãªo¤p¤Ú´£¨Ñ¤é¶¡¸ô½uÀç¹B¡^¡B
R¡]t=4¡^2=84,536,552.13¤¸¡]¥H®ãªo¤¤¤Ú´£¨Ñ¤é¶¡¸ô½uÀç¹B¡^¡B
R¡]t=4¡^3=134,847,750.18¤¸¡]¥H®ãªo¤j¤Ú´£¨Ñ¤é¶¡¸ô½uÀç¹B¡^¡B
R¡]t=4¡^4=570,347.34¤¸¡]¥H®ãªo¤p¤Ú´£¨Ñ²`®d¸ô½uÀç¹B¡^¡B
R¡]t=4¡^5=3,920,973.39¤¸¡]¥H®ãªo¤¤¤Ú´£¨Ñ²`®d¸ô½uÀç¹B¡^¡B
R¡]t=4¡^6=9,108,197.75¤¸¡]¥H®ãªo¤j¤Ú´£¨Ñ²`®d¸ô½uÀç¹B¡^¡B
R¡]t=4¡^7= 65,369,401.71¤¸¡]¥H¤ÑµM®ð¤j¤Ú´£¨Ñ¤é¶¡¸ô½uÀç¹B¡^¡B
R¡]t=4¡^8= 15,466,377.32¤¸¡]¥H¤ÑµM®ð¤j¤Ú´£¨Ñ²`®d¸ô½uÀç¹B¡^¡B
R¡]t=4¡^9=0¤¸¡]¥H¯Â¹q°Ê¤j¤Ú´£¨Ñ¤é¶¡¸ô½uÀç¹B¡^¡B
R¡]t=4¡^10=0¤¸¡]¥H¯Â¹q°Ê¤j¤Ú´£¨Ñ²`®d¸ô½uÀç¹B¡^¡B
R¡]t=4¡^11=0¤¸¡]¥H®ãªo¯S¤j¤Ú´£¨Ñ¤é¶¡¸ô½uÀç¹B¡^¡B
R¡]t=4¡^12=0¤¸¡]¥H®ãªo¯S¤j¤Ú´£¨Ñ²`®d¸ô½uÀç¹B¡^¡F
2018¤U¥b¦~Àç¹B´ÁªºªA°È»ùȦXp¬°¿Dªù¤¸355,679,819.79¡C
pt¡Gt´Á¨C¤½¨½¥§¡²¼´Ú¦¬¤J¹wpÈ
t=0®É¡A³z¹L¹ï2012¦~¤Î2013¦~²Ä¤T¼Ð¬qªº¹ê»Ú²¼´Ú¦¬¤J¡A«ö¹ê»ÚÀç¹BÃþ«¬¤½¨½¼Æ¡A¨Ã¥H²Ä¤T±ø²Ä¤@´Ú©Ò«üªº¨t¼Æ¶i¦æpºâ¡A©Ò±o¥Xªº¨C¤½¨½¥§¡²¼´Ú¦¬¤J¹wpȬ°¡G
p¡]t=0¡^1=6.27¤¸¡]¥H®ãªo¤p¤Ú´£¨Ñ¤é¶¡¸ô½uÀç¹B¡^¡B
p¡]t=0¡^2= 8.15¤¸¡]¥H®ãªo¤¤¤Ú´£¨Ñ¤é¶¡¸ô½uÀç¹B¡^¡B
p¡]t=0¡^3=10.03¤¸¡]¥H®ãªo¤j¤Ú´£¨Ñ¤é¶¡¸ô½uÀç¹B¡^¡B
p¡]t=0¡^4=6.27¤¸¡]¥H®ãªo¤p¤Ú´£¨Ñ²`®d¸ô½uÀç¹B¡^¡B
p¡]t=0¡^5=8.15¤¸¡]¥H®ãªo¤¤¤Ú´£¨Ñ²`®d¸ô½uÀç¹B¡^¡B
p¡]t=0¡^6=10.03¤¸¡]¥H®ãªo¤j¤Ú´£¨Ñ²`®d¸ô½uÀç¹B¡^¡B
p¡]t=0¡^7=10.03¤¸¡]¥H¤ÑµM®ð¤j¤Ú´£¨Ñ¤é¶¡¸ô½uÀç¹B¡^¡B
p¡]t=0¡^8=10.03¤¸¡]¥H¤ÑµM®ð¤j¤Ú´£¨Ñ²`®d¸ô½uÀç¹B¡^¡B
p¡]t=0¡^9=10.03¤¸¡]¥H¯Â¹q°Ê¤j¤Ú´£¨Ñ¤é¶¡¸ô½uÀç¹B¡^¡B
p¡]t=0¡^10=10.03¤¸¡]¥H¯Â¹q°Ê¤j¤Ú´£¨Ñ²`®d¸ô½uÀç¹B¡^¡F
t=1®É¡Ap1 = p0
1<t≤3®É¡Apt«ö·Ó²Ä¤T±ø²Ä¤@´Úªºpºâ¤è¦¡pºâ
t=4¤Ît=5®É¡A¨C¤½¨½¥§¡²¼´Ú¦¬¤J¹wpȬ°¡G
p1=5.88¤¸¡]¥H®ãªo¤p¤Ú´£¨Ñ¤é¶¡¸ô½uÀç¹B¡^¡B
p2=6.49¤¸¡]¥H®ãªo¤¤¤Ú´£¨Ñ¤é¶¡¸ô½uÀç¹B¡^¡B
p3=8.73¤¸¡]¥H®ãªo¤j¤Ú´£¨Ñ¤é¶¡¸ô½uÀç¹B¡^¡B
p4=5.88¤¸¡]¥H®ãªo¤p¤Ú´£¨Ñ²`®d¸ô½uÀç¹B¡^¡B
p5=6.49¤¸¡]¥H®ãªo¤¤¤Ú´£¨Ñ²`®d¸ô½uÀç¹B¡^¡B
p6=8.73¤¸¡]¥H®ãªo¤j¤Ú´£¨Ñ²`®d¸ô½uÀç¹B¡^¡B
p7=8.73¤¸¡]¥H¤ÑµM®ð¤j¤Ú´£¨Ñ¤é¶¡¸ô½uÀç¹B¡^¡B
p8=8.73¤¸¡]¥H¤ÑµM®ð¤j¤Ú´£¨Ñ²`®d¸ô½uÀç¹B¡^¡B
p9=8.73¤¸¡]¥H¯Â¹q°Ê¤j¤Ú´£¨Ñ¤é¶¡¸ô½uÀç¹B¡^¡B
p10=8.73¤¸¡]¥H¯Â¹q°Ê¤j¤Ú´£¨Ñ²`®d¸ô½uÀç¹B¡^¡B
p11=15.13¤¸¡]¥H®ãªo¯S¤j¤Ú´£¨Ñ¤é¶¡¸ô½uÀç¹B¡^¡B
p12=15.13¤¸¡]¥H®ãªo¯S¤j¤Ú´£¨Ñ²`®d¸ô½uÀç¹B¡^¡F
Pt¡G«öt´Á°ò¥»Àç¹BÃþ«¬¤½¨½¼Æpºâªº²¼´Ú¦¬¤J¹wpÈ
t=0®É¡A«ö·Ó2015¦~ªºÀç¹B´Áªº¨C¤½¨½¥§¡²¼´Ú¦¬¤J¹wpÈ¡]p0¡^¡A¼¥Hªþ¥ó¤@²Ä¤Q±ø²Ä¤@´Ú©Ò«üªº¹ïÀ³Àç¹BÃþ«¬¤½¨½¼Æ¡Apºâªº2015¦~ªºÀç¹B´Á²¼´Ú¦¬¤J¹wpȤÀ§O¬°¡G
P¡]t=0¡^1=4,518,647.30¤¸¡]¥H®ãªo¤p¤Ú´£¨Ñ¤é¶¡¸ô½uÀç¹B¡^¡B
P¡]t=0¡^2=2,449,506.62¤¸¡]¥H®ãªo¤¤¤Ú´£¨Ñ¤é¶¡¸ô½uÀç¹B¡^¡B
P¡]t=0¡^3=9,554,730.05¤¸¡]¥H®ãªo¤j¤Ú´£¨Ñ¤é¶¡¸ô½uÀç¹B¡^¡B
P¡]t=0¡^4=18,828.06¤¸¡]¥H®ãªo¤p¤Ú´£¨Ñ²`®d¸ô½uÀç¹B¡^¡B
P¡]t=0¡^5=30,074.48¤¸¡]¥H®ãªo¤¤¤Ú´£¨Ñ²`®d¸ô½uÀç¹B¡^¡B
P¡]t=0¡^6=1,702,140.35¤¸¡]¥H®ãªo¤j¤Ú´£¨Ñ²`®d¸ô½uÀç¹B¡^¡B
P¡]t=0¡^7=5,375,935.17¤¸¡]¥H¤ÑµM®ð¤j¤Ú´£¨Ñ¤é¶¡¸ô½uÀç¹B¡^¡B
P¡]t=0¡^8=30,561.81¤¸¡]¥H¤ÑµM®ð¤j¤Ú´£¨Ñ²`®d¸ô½uÀç¹B¡^¡B
P¡]t=0¡^9=0¤¸¡]¥H¯Â¹q°Ê¤j¤Ú´£¨Ñ¤é¶¡¸ô½uÀç¹B¡^¡B
P¡]t=0¡^10=0¤¸¡]¥H¯Â¹q°Ê¤j¤Ú´£¨Ñ²`®d¸ô½uÀç¹B¡^¡F
2015¦~ªºÀç¹B´Á²¼´Ú¦¬¤J¹wpȦXp¬°¿Dªù¤¸23,680,423.84¡C
t=4®É¡A«ö·Ó¨C¤½¨½¥§¡²¼´Ú¦¬¤J¹wpÈ¡]p0¡^¡A¼¥Hªþ¥ó¤@²Ä¤Q¤@±ø²Ä¤@´Ú©Ò«üªº¹ïÀ³Àç¹BÃþ«¬¤½¨½¼Æ¡Apºâªº2018¦~¤U¥b¦~Àç¹B´Á²¼´Ú¦¬¤J¹wpȤÀ§O¬°¡G
P¡]t=4¡^1=11,942,653.73¤¸¡]¥H®ãªo¤p¤Ú´£¨Ñ¤é¶¡¸ô½uÀç¹B¡^¡B
P¡]t=4¡^2=20,471,724.75¤¸¡]¥H®ãªo¤¤¤Ú´£¨Ñ¤é¶¡¸ô½uÀç¹B¡^¡B
P¡]t=4¡^3=35,673,359.37¤¸¡]¥H®ãªo¤j¤Ú´£¨Ñ¤é¶¡¸ô½uÀç¹B¡^¡B
P¡]t=4¡^4=108,391.80¤¸¡]¥H®ãªo¤p¤Ú´£¨Ñ²`®d¸ô½uÀç¹B¡^¡B
P¡]t=4¡^5=632,698.09¤¸¡]¥H®ãªo¤¤¤Ú´£¨Ñ²`®d¸ô½uÀç¹B¡^¡B
P¡]t=0¡^6=1,606,030.43¤¸¡]¥H®ãªo¤j¤Ú´£¨Ñ²`®d¸ô½uÀç¹B¡^¡B
P¡]t=4¡^7=14,458,446.34¤¸¡]¥H¤ÑµM®ð¤j¤Ú´£¨Ñ¤é¶¡¸ô½uÀç¹B¡^¡B
P¡]t=4¡^8=2,280,382.94¤¸¡]¥H¤ÑµM®ð¤j¤Ú´£¨Ñ²`®d¸ô½uÀç¹B¡^¡B
P¡]t=4¡^9=0¤¸¡]¥H¯Â¹q°Ê¤j¤Ú´£¨Ñ¤é¶¡¸ô½uÀç¹B¡^¡B
P¡]t=4¡^10=0¤¸¡]¥H¯Â¹q°Ê¤j¤Ú´£¨Ñ²`®d¸ô½uÀç¹B¡^¡B
P¡]t=4¡^11=0¤¸¡]¥H®ãªo¯S¤j¤Ú´£¨Ñ¤é¶¡¸ô½uÀç¹B¡^¡B
P¡]t=4¡^12=0¤¸¡]¥H®ãªo¯S¤j¤Ú´£¨Ñ²`®d¸ô½uÀç¹B¡^¡F
2018¦~¤U¥b¦~Àç¹B´Á²¼´Ú¦¬¤J¹wpȦXp¬°¿Dªù¤¸87,173,687.45¡C
Kt¡Gt´Á°ò¥»Àç¹BÃþ«¬¤½¨½¼Æ
t¡Gªí¥ÜÀç¹B´Á¡At=0¬°2015¦~ªºÀç¹B´Á¡At=1¬°2016¦~ªºÀç¹B´Á¡A¦p¦¹Ãþ±À
¥|¡B¦]¨ú®ø¸ô½u¡B¼W´î¯Z¦¸¡B©µªø¤ÎÁYµu¸ô½u¦Ópºâªº°]¬F´©§Uªºpºâ¤è¦¡¦p¤U¡G

¨ä¤¤¡A
Bt¡Gt´Á¤º¦]¨ú®ø¸ô½u¡B¼W´î¯Z¦¸¡B©µªø¤ÎÁYµu¸ô½u¦Ópºâªº°]¬F´©§U
zth¡Gt´Á¤º¨ú®øh¸ô½uªº¤½¨½¼Æ¡B´î¤Öh¯Z¦¸ªº¤½¨½¼Æ¡BÁYµuh¸ô½uªº¤½¨½¼Æ¡B©µªøh¸ô½uªº¤½¨½¼Æ¡B¼W¥[h¯Z¦¸ªº¤½¨½¼Æ¡F·í¤½¨½¼Æ´î¤Ö®É¡Azth¬°tÈ¡A¦]¦¹¡ABt¥i¬°¥¿¼Æ©Ît¼Æ
at¡Gt´Á¨C¤½¨½¥§¡°]¬F´©§U
Kt¡Gt´Á°ò¥»Àç¹BÃþ«¬¤½¨½¼Æ
At¡G«öt´Á°ò¥»Àç¹BÃþ«¬¤½¨½¼Æpºâªº°]¬F´©§U
m¡G¨ú®ø¸ô½u¡B¼W´î¯Z¦¸¡B©µªø¤ÎÁYµu¸ô½uªº¸ô½u¼Æ¶q
¤¡B¦]¼W¥[¸ô½u¦Ópºâªº°]¬F´©§Uªºpºâ¤è¦¡¦p¤U¡G



¨ä¤¤¡A
Ct¡Gt´Á¤º¦]¼W¥[¸ô½u¦Ópºâªº°]¬F´©§U
Cat¡Gt´Á¤Ît-1´Á¦]¼W¥[¸ô½u¦Ópºâªº°]¬F´©§U
fti¡Gt´Á¤Ît-1´Á¼W¥[i¸ô½uªº¤½¨½¼Æ
xti¡Gt´Á¤Ît-1´Á¼W¥[i¸ô½uªº¹ê»Ú²¼´Ú¦¬¤J¡]·í«ö·Ó¦X¦P²Ä¤E±ø¦Ü²Ä¤Q±øpºâ°]¬F´©§Uªº¹wpª÷ÃB®É¡A¦¹¼ÆÈ¬°¹s¡^
v¡Gt´Á¤Ît-1´Á¼W¥[¸ô½uªº¼Æ¶q
Cbt¡Gt-2´Á¦]¼W¥[¸ô½u¦Ópºâªº°]¬F´©§U
gtj¡Gt-2´Á¼W¥[j¸ô½uªº¤½¨½¼Æ
otj¡Gt-2´Á¼W¥[j¸ô½uªº¹ê»Ú²¼´Ú¦¬¤J¡]·í«ö·Ó¦X¦P²Ä¤E±ø¦Ü²Ä¤Q±øpºâ°]¬F´©§Uªº¹wpª÷ÃB®É¡A¦¹¼ÆÈ¬°¹s¡^
w¡Gt-2´Á¼W¥[¸ô½uªº¼Æ¶q
rt¡Gt´Á¨C¤½¨½¥§¡ªA°È»ùÈ
¤»¡B¦]²¼»ù½Õ¾ã¦Ó¥X²{ªº¨C¤½¨½²¼´Ú¦¬¤J®tÃBªºpºâ¤è¦¡¦p¤U¡G
¡]¤@¡^2018¦~4¤ë21¤é¦Ü2018¦~7¤ë31¤é´Á¶¡¡A¦]²¼»ù½Õ¾ã¦Ó¥X²{ªº¨C¤½¨½²¼´Ú¦¬¤J®tÃBªºpºâ¤è¦¡¦p¤U¡G



dt¡Gt´Á°ò¥»Àç¹BÃþ«¬¤½¨½¼Æ¹ïÀ³ªº¥§¡¨C¤½¨½©Ó§å¤H¹ê»Ú¦¬¨úªº²¼´Ú¦¬¤J
Nt¡Gt´Á°ò¥»Àç¹BÃþ«¬¤½¨½¼Æ¹ïÀ³ªº¹ê»Ú²¼´Ú¦¬¤J
Et¡Gt´Á¦]²¼»ù½Õ¾ã¦Ó¥X²{ªº²¼´Ú®tÃBªºÁ`©M
Kt¡Gt´Á°ò¥»Àç¹BÃþ«¬¤½¨½¼Æ
·í4.73 ≤ dt1≤ 4.93®É¡AMt =0
·ídt1 >4.93®É¡A

·ídt1 <4.73®É¡A

Mt¡Gt´Á¦]²¼»ù½Õ¾ã¦Ó¥X²{ªº¨C¤½¨½²¼´Ú¦¬¤J®tÃBªºÁ`©M
dt¡Gt´Á°ò¥»Àç¹BÃþ«¬¤½¨½¼Æ¹ïÀ³ªº¥§¡¨C¤½¨½©Ó§å¤H¹ê»Ú¦¬¨úªº²¼´Ú¦¬¤J
Kt¡Gt´Á°ò¥»Àç¹BÃþ«¬¤½¨½¼Æ
¡]¤G¡^2018¦~8¤ë1¤é¦Ü2019¦~10¤ë31¤é´Á¶¡¡A¦]²¼»ù½Õ¾ã¦Ó¥X²{ªº¨C¤½¨½²¼´Ú¦¬¤J®tÃBªºpºâ¤è¦¡¦p¤U¡G
Qt = Nt − Et
¨ä¤¤¡A
Qt¡Gt´Á©Ó§å¤H¹ê»Ú¦¬¨úªº²¼´Ú¦¬¤J¡]¤Q¤GºØÀç¹BÃþ«¬¡AQt1¦ÜQt12ªºpºâ¤èªk¬Û¦P¡A¦]¦¹¡A´î§K¤U¼Ðªí¥Ü¤è¦¡¡A¨Ï¥ÎQt¥N´ÀQte¡^
Nt¡Gt´Á°ò¥»Àç¹BÃþ«¬¤½¨½¼Æ¹ïÀ³ªº¹ê»Ú²¼´Ú¦¬¤J
Et¡Gt´Á¦]²¼»ù½Õ¾ã¦Ó¥X²{ªº²¼´Ú®tÃBªºÁ`©M

¨ä¤¤¡A
dt¡Gt´Á°ò¥»Àç¹BÃþ«¬¤½¨½¼Æ¹ïÀ³ªº¥§¡¨C¤½¨½©Ó§å¤H¹ê»Ú¦¬¨úªº²¼´Ú¦¬¤J
Qt¡Gt´Á©Ó§å¤H¹ê»Ú¦¬¨úªº²¼´Ú¦¬¤J
Kt¡Gt´Á°ò¥»Àç¹BÃþ«¬¤½¨½¼Æ

¨ä¤¤¡A
Mt¡Gt´Á¦]²¼»ù½Õ¾ã¦Ó¥X²{ªº¨C¤½¨½²¼´Ú¦¬¤J®tÃBªºÁ`©M
dt¡Gt´Á°ò¥»Àç¹BÃþ«¬¤½¨½¼Æ¹ïÀ³ªº¥§¡¨C¤½¨½©Ó§å¤H¹ê»Ú¦¬¨úªº²¼´Ú¦¬¤J
Kt¡Gt´Á°ò¥»Àç¹BÃþ«¬¤½¨½¼Æ
²Ä¤G±ø
°]¬F´©§Uªº½Õ¾ã
1<t≤3®É¡A¦UºØÀç¹BÃþ«¬ªºªA°È»ùȤΰ]¬F´©§Uªº½Õ¾ãªºpºâ¤è¦¡¦p¤U¡G
At = Rt ¡V Pt
Rt = rt ¡Ñ Kt
Pt = pt ¡Ñ Kt
rt=u(t-2)¡Ñ(0.294¡ÑG(q+1)/Gq+0.474¡ÑS(q+1)/Sq+0.232
¡ÑF(q+1)/Fq+3%)
¨ä¤¤¡A
At¡G«öt´Á°ò¥»Àç¹BÃþ«¬¤½¨½¼Æpºâªº°]¬F´©§U
Rt¡G«öt´Á°ò¥»Àç¹BÃþ«¬¤½¨½¼ÆpºâªºªA°È»ùÈ
Pt¡G«öt´Á°ò¥»Àç¹BÃþ«¬¤½¨½¼Æpºâªº²¼´Ú¦¬¤J¹wpÈ
Kt¡Gt´Á°ò¥»Àç¹BÃþ«¬¤½¨½¼Æ
rt¡Gt´Á¨C¤½¨½¥§¡ªA°È»ùÈ¡]Õ©Ó§å¤H¦bt-2´Á©|¥¼¶}©l¥H¯Â¹q°Ê¨®´£¨Ñ¸ô½uªA°È¡A«h¦bpºâ¯Â¹q°Ê¨®ªºrt®É¡Art=r0¡^
pt¡Gt´Á¨C¤½¨½¥§¡²¼´Ú¦¬¤J¹wpÈ
u¡]t-2¡^¡Gt-2´Á¨C¤½¨½¥§¡Àç¹B¦¨¥»¡A«ö·Ó²Ä¤T±ø²Ä¤G´Úªºpºâ¤è¦¡pºâ
q¡Gªí¥Ü²Îp«ü¼Ðªº¦~´Á¡Aq=0®É¬°2014¦~²Îp«ü¼Ðªº¦~´Á¡Aq=1®É¬°2015¦~²Îp«ü¼Ðªº¦~´Á¡A¦p¦¹Ãþ±À¡Ft=2®É¡Aq=0¡Ft=3®É¡Aq=1¡F¦p¦¹Ãþ±À
Gq¡G¿Dªù²Îpº[´¶¬d§½¤½§Gªººî¦X®ø¶Oª«»ù«ü¼Æªºq¦~«×¥§¡«ü¼ÆÈ
Sq¡G¿Dªù²Îpº[´¶¬d§½¤½§Gªº³°¸ô¹B¿é·~¥þ¾¦³Á~¹S¹µûªºq¦~«×¥§¡Á~¹S¡]Õ¿Dªù²Îpº[´¶¬d§½¨S¦³¤½§G¦~«×¥§¡¼ÆÈ¡A«h«ö·Ó¤w¤½§Gªº¤ë¥÷¼ÆÈ¨ú¨ä¥§¡È¡^
Fq¡G±Ä¥Î¹ïÀ³¯à·½ªº²Îp«ü¼Æpºâ¡Gpºâ®ãªo¨®ªºrt®É¡A±Ä¥Î¿Dªù²Îpº[´¶¬d§½¤½§Gªºq¦~«×¨®¥Î»´®ãªo¥§¡°â»ù§@¬°Fq¡Fpºâ¤ÑµM®ð¨®ªºrt®É¡A±Ä¥Î¿Dªù¯à·½·~µo®i¿ì¤½«Ç²Îpªºq¦~«×¤ÑµM®ð¥§¡°â®ð»ù§@¬°Fq¡Fpºâ¯Â¹q°Ê¨®ªºrt®É¡A±Ä¥Î¿Dªù¯à·½·~µo®i¿ì¤½«Ç²Îpªºq¦~«×¹q¯à¶O¥Î§@¬°Fq
²Ä¤T±ø
¨C¤½¨½¥§¡²¼´Ú¦¬¤J¹wpȤΨC¤½¨½
¥§¡Àç¹B¦¨¥»ªºpºâ¤è¦¡
¤@¡B1<t≤3®É¡A¨C¤½¨½¥§¡²¼´Ú¦¬¤J¹wpȪºpºâ¤è¦¡¦p¤U¡G


¨ä¤¤¡A
pte¡Gt´ÁeÀç¹BÃþ«¬ªº¨C¤½¨½¥§¡²¼´Ú¦¬¤J¹wpÈ
L¡]t-2¡^¡Gt-2´Á¹ê»Ú²¼´Ú¦¬¤J
l¡]t-2¡^¡Gt-2´Á¼W¥[¸ô½uªº¹ê»Ú²¼´Ú¦¬¤J
ye¡GeÀç¹BÃþ«¬ªº¨t¼Æ¡]¦Ò¼{¨ì²¼´Ú¦¬¤J»PÀç¹B¨®½ø¨®«¬ªºÃö«Y¡A¦³Ãö¨t¼Æ¬O«ö·Ó2011¦~8¤ë¬°¿Dªù¯S§O¦æ¬F°Ï´£¨Ñ¹D¸ô¶°Åé«È¹B¤½¦@ªA°Èªº¤T¶¡©Ó§P¤½¥qªº¦UÀç¹B¨®½ø¨®«¬ªº¨C¤½¨½ªA°È³æ»ù¡A¨Ã¥H®ãªo¤p¤Ú¬°°ò¦§@¤ñ¨Òpºâ¡Gy1 ¡×1.00¡By2 ¡× 1.30¡By3 ¡× 1.60¡By4 ¡× 1.00¡By5 ¡× 1.30¡By6 ¡×1.60¡By7 ¡× 1.60¡By8 ¡× 1.60¡By9 ¡× 1.60¡By10 = 1.60¡^
Z¡]t-2¡^e¡Gt-2´ÁeÀç¹BÃþ«¬ªº¹ê»ÚÀç¹BÃþ«¬¤½¨½¼Æ
z¡]t-2¡^e¡Gt-2´Á¼W¥[¸ô½uªºeÀç¹BÃþ«¬ªº¹ê»ÚÀç¹BÃþ«¬¤½¨½¼Æ
¤G¡B1<t≤3®É¡A¨C¤½¨½¥§¡Àç¹B¦¨¥»ªºpºâ¤è¦¡¦p¤U¡G

¨ä¤¤¡A
u¡]t-2¡^e¡Gt-2´ÁeÀç¹BÃþ«¬ªº¨C¤½¨½¥§¡Àç¹B¦¨¥»
U¡]t-2¡^¡G«ö·Óªþ¥ó¤K³W¨î¦¨¥»«ü¤Þpºâªºt-2´ÁÀç¹B¦¨¥»
Ye¡GeÀç¹BÃþ«¬ªº¨t¼Æ
Z¡]t-2¡^e¡Gt-2´ÁeÀç¹BÃþ«¬ªº¹ê»ÚÀç¹BÃþ«¬¤½¨½¼Æ
r¡]t-1¡^e¡Gt-1´ÁeÀç¹BÃþ«¬¨C¤½¨½¥§¡ªA°È»ùÈ
ªþ¥ó¤»
Àç¹B¸ê®Æ
²Ä¤G±ø
¨C¤éÀç¹B¸ê®Æ
©Ó§å¤H¶·«ö·Ó¥H¤Un¨D´£¥æ¨C¤éÀç¹B¸ê®Æ¡G
¡]¤@¡^©óÀç¹B¤é§¹µ²«á¤T¤é¤º¡A´£¥æ¥X¨®ªí¤Î²¼´Ú¦¬¶°°O¿ý¡F
¡]¤G¡^©óÀç¹B¤é§¹µ²«á¤C¤é¤º¡A´£¥æ¥X¨®ªí¡Bº§À¯Z¨®ªA°È°O¿ý¡F
¡]¤T¡^¡K¡K
ªþ¥ó¤C
·|p·Ç«h
¤@¡B¡K¡K
¤G¡B¥Ñ©ó©Ó§å¤H·~°È¹ï¿Dªù¯S§O¦æ¬F°Ï¸gÀÙªº«n©Ê¡A¦]¦¹¹ï¨ä±Ä¥Î§ó¨Î°t¦X¥ø·~¹êªp¥B²Å¦Xªk¨Ò³W©wªº©T©w¸ê²£¤ÎµL§Î¸ê²£ªº¨Ï¥Î´Á¡A¬°¦¹¡A±Ä¥Îªº§é¤ÎÅu¾P¶·¥H¤U¦C´N¨C¤@Ãþ§Oªº°]²£q©wªº¥§¡¨Ï¥Î´Á¬°·Ç¡G
|
°]²£Ãþ§O |
¨Ï¥Î´Á¡]¦~¡^ |
|||
|
¦X¨Ö«eÄÝ©ó¿Dªù·s®É¥N¤½¦@¨T¨®ªÑ¥÷¦³¤½¥qªº¸ê²£ |
©Ó§å¤H¦Û¦æ |
|||
|
¿Dªù·s®É¥N¤½¦@¨T¨®ªÑ¥÷¦³¤½¥q¥Ñºû¿D½¬¹B¤½¦@¹B¿éªÑ¥÷¦³¤½¥qªº¯}²£°]²£¨ú±oªº¸ê²£ |
¿Dªù·s®É¥N¤½¦@¨T¨®ªÑ¥÷¦³¤½¥q¥Ñ¿Dªù¯S§O¦æ¬F°Ï¨ú±oªº¸ê²£ |
¿Dªù·s®É¥N¤½¦@¨T¨®ªÑ¥÷¦³¤½¥q¦Û¦æÁʸmªº¸ê²£ |
||
| ¤£°Ê²£ |
-- |
-- |
50 |
50 |
| ¤u·~¼Ó¦t |
-- |
-- |
25 |
25 |
| ¤½¦@¤Ú¤h¡]®ãªo¨®¤Îªo¹q²V¦X¨®¡^ |
4 |
-- |
7 |
7 |
| ¤½¦@¤Ú¤h¡]¯Â¹q°Ê¨®¡^ |
-- |
-- |
3 |
3 |
| ¤½¦@¤Ú¤h¡]¤ÑµM®ð¨®¡^ |
-- |
-- |
6 |
6 |
| »´«¬¨®½ø¤Î¹q³æ¨® |
4.5 |
-- |
7.5 |
7.5 |
| ºû׳]³Æ¤Î¾÷¾¹¡]¹q¤l¡^ |
4.5 |
-- |
7.5 |
7.5 |
| ºû׳]³Æ¤Î¾÷¾¹¡]«D¹q¤l¡^ |
7.5 |
9.75 |
10.5 |
10.5 |
| ºû׳]³Æ¤Î¾÷¾¹¡]±Mªù¥Î©ó¯Â¹q°Ê¨®¡^ |
-- |
-- |
-- |
3 |
| ¹q¸£¡B·L«¬¹q¸£¤Î¤å®Ñ³B²z¾÷ |
3 |
5.25 |
6 |
6 |
| ¹q¸£µ{§Ç |
1.5 |
-- |
4.5 |
4.5 |
| ¼v¦L¾÷¡B¶Ç¯u¾÷¡B·L«¬ÁY¼v¾÷ |
4.5 |
-- |
7.5 |
7.5 |
| ¿ì¤½«Ç³]³Æ |
4.5 |
-- |
7.5 |
7.5 |
| ¿ì¤½«Ç³ÃÍï |
4.5 |
-- |
7.5 |
7.5 |
| ªÅ®ð½Õ¸`¾÷¡B©âÀã¾÷¡B·x®ð¾÷¡B³q·¸Ë¸m¤Î§NÂþ÷ |
4.5 |
6.75 |
7.5 |
7.5 |
¤T¡B¡K¡K
¥|¡B¡K¡K
¤¡B©Ó§å¤H«ö¥»¦X¦P²Ä¤Q¤»±ø²Ä¥|´Ú¦Ü²Ä¤C´Úªº³W©w´£¥æªº¸ê®Æ¡AºÊ¹î¹êÅé¥in¨D¹ï©Ó§å¤Hªº°]¬Fª¬ªp¶i¦æµû¦ô¡A¬°¦¹¡A©Ó§å¤H¶·´£¨Ñ¬°¹FP¤Wz¥Øªº©Ò»Ýªº¤@¤Á¸ê®Æ©M¸ÑÄÀ¡C
¤»¡B¡K¡K¡¨
²Ä¤G±ø
¼W¥[
¿Dªù¯S§O¦æ¬F°Ï»P¿Dªù¤½¦@¨T¨®ªÑ¥÷¦³¤½¥q©ó2011¦~1¤ë3¤éñ¸p¨Ã©ó2015¦~9¤ë17¤é¤Î2018¦~4¤ë18¤é§@¥X×qªº¦³Ãö¹D¸ô¶°Åé«È¹B¤½¦@ªA°È¡X¡X²Ä¤T¼Ð¬qªº¤½ÃÒ¦X¦P×q¥»¼W¥[ªþ¥ó¤@²Ä¤Q¤@±ø¤º®e¦p¤U¡G
¡§ªþ¥ó¤@
¸ô½u¯S¼x
²Ä¤Q¤@±ø
2018¦~¤U¥b¦~¦Ü2019¦~Àç¹B´ÁªºÀç¹BÃþ«¬¤½¨½¼Æ
¤@¡B©Ó§å¤H¦b2018¦~¤U¥b¦~ªºÀç¹B´Á¤º¡A©ÒÀç¸ô½uªº°ò¥»Àç¹BÃþ«¬¤½¨½¼Æ¦p¤U¡A¦ý¤£¥]¬A¥ÑºÊ¹î¹êÅé«ü©wªº·s¼W¸ô½u¡G
¡]¤@¡^¥H®ãªo¤p¤Ú´£¨Ñ¤é¶¡¸ô½uÀç¹Bªº¤½¨½¼Æ¬°2,031,063.56¤½¨½¡F
¡]¤G¡^¥H®ãªo¤¤¤Ú´£¨Ñ¤é¶¡¸ô½uÀç¹Bªº¤½¨½¼Æ¬°3,154,348.96¤½¨½¡F
¡]¤T¡^¥H®ãªo¤j¤Ú´£¨Ñ¤é¶¡¸ô½uÀç¹Bªº¤½¨½¼Æ¬°4,086,295.46¤½¨½¡F
¡]¥|¡^¥H®ãªo¤p¤Ú´£¨Ñ²`®d¸ô½uÀç¹Bªº¤½¨½¼Æ¬°18,433.98¤½¨½¡F
¡]¤¡^¥H®ãªo¤¤¤Ú´£¨Ñ²`®d¸ô½uÀç¹Bªº¤½¨½¼Æ¬°97,488.15¤½¨½¡F
¡]¤»¡^¥H®ãªo¤j¤Ú´£¨Ñ²`®d¸ô½uÀç¹Bªº¤½¨½¼Æ¬°183,966.83¤½¨½¡F
¡]¤C¡^¥H¤ÑµM®ð¤j¤Ú´£¨Ñ¤é¶¡¸ô½uÀç¹Bªº¤½¨½¼Æ¬°1,656,179.42¤½¨½¡F
¡]¤K¡^¥H¤ÑµM®ð¤j¤Ú´£¨Ñ²`®d¸ô½uÀç¹Bªº¤½¨½¼Æ¬°261,212.25¤½¨½¡F
¡]¤E¡^¥H¯Â¹q°Ê¤j¤Ú´£¨Ñ¤é¶¡¸ô½uÀç¹Bªº¤½¨½¼Æ¬°0¤½¨½¡F
¡]¤Q¡^¥H¯Â¹q°Ê¤j¤Ú´£¨Ñ²`®d¸ô½uÀç¹Bªº¤½¨½¼Æ¬°0¤½¨½¡F
¡]¤Q¤@¡^¥H®ãªo¯S¤j¤Ú´£¨Ñ¤é¶¡¸ô½uÀç¹Bªº¤½¨½¼Æ¬°0¤½¨½¡F
¡]¤Q¤G¡^¥H®ãªo¯S¤j¤Ú´£¨Ñ²`®d¸ô½uÀç¹Bªº¤½¨½¼Æ¬°0¤½¨½¡C
¤G¡B°£¤W´Ú©Ò«üªº°ò¥»Àç¹BÃþ«¬¤½¨½¼Æ¥~¡AºÊ¹î¹êÅé±N©ó¥»¦X¦Pñq·í¤é¥H®Ñ±¤è¦¡³qª¾©Ó§å¤H¦³Ãö2018¦~¤U¥b¦~Àç¹B´Á¦]¼W´î¸ô½u¤Î¯Z¦¸¡B©µªø¤ÎÁYµu¸ô½u¦Ó¹wp¯A¤ÎªºÀç¹BÃþ«¬¤½¨½¼Æ¡C
¤T¡BºÊ¹î¹êÅé±N©ó2018¦~8¤ë31¤é©Î¥H«e¥H®Ñ±¤è¦¡³qª¾©Ó§å¤H¦³Ãö2019¦~ªº¹wpÀç¹BÃþ«¬¤½¨½¼Æ¡A¸Ó³qª¾¶·«ü¥X¹ïÀ³Àç¹B´Á¹wpªº°ò¥»Àç¹BÃþ«¬¤½¨½¼Æ¤Î¦]¼W´î¸ô½u¤Î¯Z¦¸¡B©µªø¤ÎÁYµu¸ô½u¦Ó¹wp¯A¤ÎªºÀç¹BÃþ«¬¤½¨½¼Æ¡C¡¨
²Ä¤T±ø
¦X¦P¨ä¥L±ø´Ú
°£²{§@¥Xªº×q¤º®e¥~¡A¿Dªù¯S§O¦æ¬F°Ï»P¿Dªù¤½¦@¨T¨®ªÑ¥÷¦³¤½¥q©ó2011¦~1¤ë3¤éñ¸p¡A¨Ã©ó2015¦~9¤ë17¤é¤Î©ó2018¦~4¤ë18¤é§@¥X×qªº¦³Ãö¹D¸ô¶°Åé«È¹B¤½¦@ªA°È¡X¡X²Ä¤T¼Ð¬qªº¤½ÃÒ¦X¦P×q¥»¤§©Ò¦³¨ä¥L±ø´Úºû«ù¤£ÅÜ¡C
²Ä¥|±ø
¥Í®Ä
¥»¦X¦P¦Û2018¦~8¤ë1¤é°_¥Í®Ä¡C¡¨
¡X¡X¡X
¤G¹s¤@¤K¦~¤K¤ë¤G¤é©ó°]¬F§½
±M³d¤½ÃÒû ¦óÆA´A
³Ò ¤u ¨Æ °È §½
§å ¥Ü ºK ¿ý
ºK¿ý¦Û¥»§½¥N§½ªø©ó¤G¹s¤@¤K¦~¤C¤ë¤G¤Q¤»¤é§@¥Xªº§å¥Ü¡G
®Ú¾Ú²Ä14/2009¸¹ªk«ß²Ä¤Q¤T±ø²Ä¤@´Ú¡]¤G¡^¶µ³s¦P²Ä12/2015¸¹ªk«ß²Ä¥|±øªº³W©w¡A¥Hªþµù¤è¦¡×§ïCláudia Vanessa Lau Abrantes¦b¥»§½¾á¥ô¾°Èªº¤£¨ã´Áªº¦æ¬F¥ô¥Î¦X¦P²Ä¤T±ø´Ú¡A§ï¬°¾á¥ô²Ä¤G¾¶¥¤@µ¥Â½Ä¶û¾°È¡AÁ~ÄÂI¬°510ÂI¡A¥Ñ¤G¹s¤@¤K¦~¤C¤ë¤G¤Q¤»¤é°_¥Í®Ä¡C
®Ú¾Ú²Ä14/2009¸¹ªk«ß²Ä¤Q¤T±ø²Ä¤@´Ú¡]¤G¡^¶µ³s¦P²Ä12/2015¸¹ªk«ß²Ä¥|±øªº³W©w¡A¥Hªþµù¤è¦¡×§ï¾G°¶©y¤Î§dÙy¦b¥»§½¾á¥ô¾°Èªº¤£¨ã´Áªº¦æ¬F¥ô¥Î¦X¦P²Ä¤T±ø´Ú¡A§ï¬°¾á¥ô²Ä¤G¾¶¥º®u§Þ³Nû¾°È¡AÁ~ÄÂI¬°470ÂI¡A¥Ñ¤G¹s¤@¤K¦~¤C¤ë¤G¤Q¤»¤é°_¥Í®Ä¡C
®Ú¾Ú²Ä14/2009¸¹ªk«ß²Ä¤Q¤T±ø²Ä¤@´Ú¡]¤G¡^¶µ³s¦P²Ä12/2015¸¹ªk«ß²Ä¥|±øªº³W©w¡A¥Hªþµù¤è¦¡×§ï¼Ú¶§«H°¶¤Î¾H¯\ªÛ¦b¥»§½¾á¥ô¾°Èªº¤£¨ã´Áªº¦æ¬F¥ô¥Î¦X¦P²Ä¤T±ø´Ú¡A§ï¬°¾á¥ô²Ä¤G¾¶¥º®u§Þ³N»²¾Éû¾°È¡AÁ~ÄÂI¬°365ÂI¡A¥Ñ¤G¹s¤@¤K¦~¤C¤ë¤G¤Q¤»¤é°_¥Í®Ä¡C
ºK¿ý¦Û¥»¤H©ó¤G¹s¤@¤K¦~¤K¤ë¤E¤é§@¥Xªº§å¥Ü¡G
®Ú¾Ú¸g²Ä4/2017¸¹ªk«ßק諸²Ä14/2009¸¹ªk«ß²Ä¤Q¥|±ø²Ä¤@´Ú¡]¤G¡^¶µ¤Î²Ä¤G´Ú³s¦P²Ä12/2015¸¹ªk«ß²Ä¥|±øªº³W©w¡A¥Hªþµù¤è¦¡×§ïCláudia Vanessa Lau Abrantes¦b¥»§½¾á¥ô¾°Èªº¤£¨ã´Áªº¦æ¬F¥ô¥Î¦X¦P²Ä¤T±ø´Ú¡A§ï¬°¾á¥ô²Ä¤@¾¶¥º®u½Ķû¾°È¡C
®Ú¾Ú¸g²Ä4/2017¸¹ªk«ßק諸²Ä14/2009¸¹ªk«ß²Ä¤Q¥|±ø²Ä¤@´Ú¡]¤G¡^¶µ¤Î²Ä¤G´Ú³s¦P²Ä12/2015¸¹ªk«ß²Ä¥|±øªº³W©w¡A¥Hªþµù¤è¦¡×§ï¾G°¶©y¤Î§dÙy¦b¥»§½¾á¥ô¾°Èªº¤£¨ã´Áªº¦æ¬F¥ô¥Î¦X¦P²Ä¤T±ø´Ú¡A§ï¬°¾á¥ô²Ä¤@¾¶¥¯S¯Å§Þ³Nû¾°È¡C
®Ú¾Ú¸g²Ä4/2017¸¹ªk«ßק諸²Ä14/2009¸¹ªk«ß²Ä¤Q¥|±ø²Ä¤@´Ú¡]¤G¡^¶µ¤Î²Ä¤G´Ú³s¦P²Ä12/2015¸¹ªk«ß²Ä¥|±øªº³W©w¡A¥Hªþµù¤è¦¡×§ï¼Ú¶§«H°¶¤Î¾H¯\ªÛ¦b¥»§½¾á¥ô¾°Èªº¤£¨ã´Áªº¦æ¬F¥ô¥Î¦X¦P²Ä¤T±ø´Ú¡A§ï¬°¾á¥ô²Ä¤@¾¶¥¯S¯Å§Þ³N»²¾Éû¾°È¡C
¡X¡X¡X
¤G¹s¤@¤K¦~¤K¤ë¤E¤é©ó³Ò¤u¨Æ°È§½
§½ªø ¶À§Ó¶¯
³Õ ±m ºÊ ¹î ¨ó ½Õ §½
§å ¥Ü ºK ¿ý
ºK¿ý¦Û§½ªø©ó¤G¹s¤@¤K¦~¤»¤ë¤C¤é§@¥Xªº§å¥Ü¡G
®Ú¾Ú²Ä14/2009¸¹ªk«ß²Ä¤Q¤T±ø²Ä¤@´Ú¤G¶µ¥H¤Î²Ä12/2015¸¹ªk«ß²Ä¥|±ø²Ä¤G´Ú¤Î²Ä¤T´Úªº³W©w¡A¥Hªþµù§Î¦¡×§ï¾GÄR¶³¤ÎNuno Pereira Tang¦b¥»§½¾á¥ô¾°Èªº¦æ¬F¥ô¥Î¦X¦Pªº²Ä¤T±ø´Ú¡AÂର²Ä¤G¾¶¥º®u¦æ¬F§Þ³N§U²zû¡AÁ~ÄÂI275¡A¨Ã®Ú¾Ú¡m¦æ¬Fµ{§Çªk¨å¡n²Ä¤@¦Ê¤@¤Q¤K±ø²Ä¤G´Úa¡^¶µªº³W©w¡A°l·¹¦Û¤G¹s¤@¤K¦~¤¤ë¤T¤Q¤@¤é°_¥Í®Ä¡C
ºK¿ý¦Û§½ªø©ó¤G¹s¤@¤K¦~¤»¤ë¤Q¤¤é§@¥Xªº§å¥Ü¡G
®Ú¾Ú²Ä12/2015¸¹ªk«ß²Ä¥|±ø²Ä¤G´Ú¡B²Ä¤T´Ú¤Î²Ä¤»±ø²Ä¤@´Úªº³W©w¡A¤U¦C¤Hû¦b¥»§½¾á¥ô²Ä¤@¾¶¥¯S¯Å¦æ¬F§Þ³N§U²zû¾°Èªº¦æ¬F¥ô¥Î¦X¦PÀòÄò´Á¤@¦~¡G
¾Gµú¶®¤ÎÃQ¬Ã©g¡A¦Û¤G¹s¤@¤K¦~¤K¤ë¤K¤é°_¥Í®Ä¡F
¥Û³·µ^¡A¦Û¤G¹s¤@¤K¦~¤K¤ë¤G¤Q¤@¤é°_¥Í®Ä¡C
ºK¿ý¦Û¸gÀÙ°]¬F¥q¥qªø©ó¤G¹s¤@¤K¦~¤C¤ë¤G¤é§@¥Xªº§å¥Ü¡G
®Ú¾Ú²Ä15/2009¸¹ªk«ß²Ä¤±ø¤Î²Ä26/2009¸¹¦æ¬Fªk³W²Ä¤K±øªº³W©w¡A¥»§½·|p¬ì¬ìªø§E·q¤è¦]¨ã³Æ¾A·í¸gÅç¤Î±M·~¯à¤O¼i¦æÂ¾°È¡A¬G¨ä©w´Á©e¥ô¦Û¤G¹s¤@¤K¦~¤E¤ë¤G¤Q¤G¤é°_ÀòÄò´Á¤@¦~¡C
®Ú¾Ú²{¦æ¡m¿Dªù¤½¦@¦æ¬F¤u§@¤Hû³q«h¡n²Ä¤T¤Q¥|±øªº³W©w¡AÀË¹îªø¿ì¤½«Ç½s¨î¤º²Ä¤T¾¶¥ÅU°Ý½Ķ³¯½åªQ¦b¥»§½¾á¥ô¦P¤@¾¯Å©M¾¶¥Â¾°Èªº¼x¥Î¡A¦Û¤G¹s¤@¤K¦~¤K¤ë¤@¤é°_Äò´Á¤@¦~¡C
¡X¡X¡X
¤G¹s¤@¤K¦~¤K¤ë¤»¤é©ó³Õ±mºÊ¹î¨ó½Õ§½
¥N§½ªø ±ç¤å¼í
¿D ªù ¶T ©ö §ë ¸ê «P ¶i §½
Án ©ú ®Ñ
ºKn
¤G¹s¤@¤K¦~°]¬F¦~«×²Ä¤G¦¸¹wºâ×§ï
®Ú¾Ú²Ä2/2018¸¹¦æ¬Fªk³W²Ä¤¤Q¤G±ø¤Î²Ä¤¤Q¤T±ø²Ä¤´Úªº³W©w¡A¯÷¤½§G¤U¦C¡]¿Dªù¯S§O¦æ¬F°Ï°]¬F¹wºâ/¤G¹s¤@¤K¡^´Ú¶µÂಾ¡G
¡X¡X¡X
¤G¹s¤@¤K¦~¤K¤ë¤@¤é©ó¿Dªù¶T©ö§ë¸ê«P¶i§½¡X¡X¥N¥D®u¡G¼BÃöµØ
¿D ªù ª÷ ¿Ä ºÞ ²z §½
§å ¥Ü ºK ¿ý
ºK¿ý¦Û¸gÀÙ°]¬F¥q¥qªø©ó¤G¹s¤@¤K¦~¤C¤ë¤T¤Q¤@¤é§@¥Xªº§å¥Ü¡G
®Ú¾Ú¤T¤ë¤Q¤@¤é²Ä14/96/M¸¹ªk¥O®Ö㪺¡m¿Dªùª÷¿ÄºÞ²z§½³q«h¡n²Ä¥|±ø²Ä¤G´Úa¡^¶µ¡B²Ä¤Q¥|±ø¤Î²Ä¤Q¤±ø²Ä¤@´Ú¤Î²Ä¥|´Úªº³W©w¡A¦]¨ã³Æ¾A·í¸gÅç¤Î±M·~¯à¤O¼i¦æÂ¾°È¡A§õ¥iªY©M¥î¤å´ð¾á¥ô¿Dªùª÷¿ÄºÞ²z§½¦æ¬FºÞ²z©eû·|©eûªº©e¥ô¡A¤À§O¦Û¤G¹s¤@¤K¦~¤K¤ë¤Q¤»¤é©M¤K¤ë¤G¤Q¤»¤é°_ÀòÄò´Á¤@¦~¡C
§ó¥¿
ºKn
¤G¹s¤@¤K¦~°]¬F¦~«×²Ä¤@¦¸¹wºâ×§ï
¥»ºKn©Ò¸üªº¹wºâ´Ú¶µÂಾ¬O®Ú¾Ú²Ä2/2018¸¹¦æ¬Fªk³W²Ä¤¤Q¤G±øªº³W©w¸g¥Ñ¸gÀÙ°]¬F¥q¥qªø17/07/2018¤§§å¥Ü³\¥i¡A²{®Ú¾Ú¦P¤@ªk³W²Ä¤¤Q¤T±ø²Ä¤´Úªº³W©w¤©¥H¤½§G¡G
¡X¡X¡X
¤G¹s¤@¤K¦~¤K¤ë¤E¤é©ó¿Dªùª÷¿ÄºÞ²z§½¡X¡X¦æ¬FºÞ²z©eû·|¥D®u ³¯¦u«H
¿D ªù «O ¦w ³¡ ¶¤ ¨Æ °È §½
§å ¥Ü ºK ¿ý
ºK¿ý¦Ûñ¸p¤H©ó¤G¹s¤@¤K¦~¤C¤ë¤G¤Q¤T¤é¤§§å¥Ü¡G
®Ú¾Ú¸g²Ä4/2017¸¹ªk«ßק蠟²Ä14/2009¸¹ªk«ß²Ä¤Q¥|±ø¤Î²{¦æ¡m¿Dªù¤½¦@¦æ¬F¤u§@¤Hû³q«h¡n²Ä¤G¤Q¤G±ø²Ä¤K´Úa¡^¶µ¤§³W©w¡A½T©w©e¥ô¶À¨Ø»ö¾á¥ô¥»§½¤å¾¤Hû½s¨î¤º°ª¯Å§Þ³Nû¾µ{²Ä¤@¾¶¥º®uÅU°Ý°ª¯Å§Þ³Nû¡AÁ~ÄÂI¬°660¡A¨Ã¦Û¥»§å¥ÜºK¿ý©ó¡m¿Dªù¯S§O¦æ¬F°Ï¤½³ø¡n¤½§G¤§¤é°_¥Í®Ä¡C
ºK¿ý¦Û«O¦w¥q¥qªø©ó¤G¹s¤@¤K¦~¤C¤ë¤G¤Q¤¤é§@¥X¤§§å¥Ü¡G
¶À°ûµØ¡X¡X®Ú¾Ú²Ä15/2009¸¹ªk«ß²Ä¤±ø¡B²Ä¤G¤Q¤±ø²Ä¤@´Ú¡B²Ä26/2009¸¹¦æ¬Fªk³W²Ä¤K±ø¥H¤Î²{¦æ²Ä9/2002¸¹¦æ¬Fªk³W²Ä¤T±ø¡B²Ä¤G¤Q±ø¤Î²Ä¤G¤Q¤@±ø¤§³W©w¡A¨Ã¦]¨ã³Æ¾A·í¸gÅç¤Î±M·~¯à¤O¼i¦æÂ¾°È¡A¥H©w´Á©e¥ô¤è¦¡Äò¥ô¬°¥»§½¦æ¬FºÞ²zÆU¦æ¬Fº[¹wºâºÞ²z³B¼fp¬ì¬ìªø¡A¬°´Á¤@¦~¡A¦Û¤G¹s¤@¤K¦~¤K¤ë¤G¤Q¤@¤é°_¥Í®Ä¡C
ºK¿ý¦Ûñ¸p¤H©ó¤G¹s¤@¤K¦~¤K¤ë¤»¤é¤§§å¥Ü¡G
®Ú¾Ú²Ä12/2015¸¹ªk«ß²Ä¤»±ø²Ä¤@´Ú¤§³W©w¡A¦Û¤U«ü¬ÛÀ³¤é´Á°_¡A¥H¦X¦Pªþµù§Î¦¡»P¥»§½¤Uz¤Hû¤§¦æ¬F¥ô¥Î¦X¦PÄò´Á¨â¦~¡A¥H¾á¥ô¬ÛÃö¾°È¡G
¶ÀµúÀsÄò¸u¬°²Ä¤@¾¶¥¤Gµ¥§Þ³Nû¡AÁ~ÄÂI¬°350¡A¦Û¤G¹s¤@¤K¦~¤E¤ë¤@¤é°_¥Í®Ä¡F
ªL¾ð¶¯Äò¸u¬°²Ä¤G¾¶¥§Þ³N¤u¤H¡AÁ~ÄÂI¬°160¡A¦Û¤G¹s¤@¤K¦~¤E¤ë¤G¤é°_¥Í®Ä¡F
³¢±ê¶§¡B¼ï¾å§Í¡BÃöµq¥Á¡B¿½¥Ã±d¡B§f¤p¬Â¡B±ç¯E¤å¡B§E¸¿P¤Î¶¾ÀR¤lÄò¸u¬°²Ä¤@¾¶¥¤Gµ¥¦æ¬F§Þ³N§U²zû¡AÁ~ÄÂI¬°195¡A¦Û¤G¹s¤@¤K¦~¤E¤ë¤Q¤¤é°_¥Í®Ä¡C
Án ©ú
¬°¦³Ãö®Ä¤O¡A¯÷Án©ú¡A¥»§½²Ä¤T¾¶¥ÅU°Ý°ª¯Å§Þ³Nû¿½µ²¼w¡A®Ú¾Ú²{¦æ¡m¿Dªù¤½¦@¦æ¬F¤u§@¤Hû³q«h¡n²Ä¤G¦Ê¤»¤Q¤G±ø²Ä¤@´Úa¡^¶µ³W©w¡A¦Û¤G¹s¤@¤K¦~¤K¤ë¥|¤é°_¦]¹F¦~ÄÖ¤W¦Ó±j¨î°h¥ð¡C
¡X¡X¡X
¤G¹s¤@¤K¦~¤K¤ë¤K¤é©ó¿Dªù«O¦w³¡¶¤¨Æ°È§½
§½ªø ³¢»ñ¬ü
ªv ¦w ĵ ¹î §½
§å ¥Ü ºK ¿ý
ºK¿ý¦Û«O¦w¥q¥qªø©ó¤G¹s¤@¤K¦~¤»¤ë¤Q¤¤é©Ò§@¤§²Ä108/2018¸¹§å¥Ü¡G
±çº~·s¡Aĵ°ÈÁ`ªø½s¸¹171891¡X¡X®Ú¾Ú²Ä26/2009¸¹¦æ¬Fªk³W¡m»â¾É¤Î¥DºÞ¤Hû³q«hªº¸É¥R³W©w¡n²Ä¤Q¤T±ø¤Î²Ä¤Q¤±ø¤§³W©w¡A¦Û¤G¹s¤@¤K¦~¤K¤ë¤Q¤K¤é°_¡A¦]¦ÛÄ@°h¥ð¤§¬G¡A²×¤î¨ä¦bªv¦wĵ¹î§½¾á¥ô®ü®qĵ°ÈÆUÆUªøªº©w´Á©e¥ô¡C
ºK¿ý¦Ûªv¦wĵ¹î§½§½ªø©ó¤G¹s¤@¤K¦~¤C¤ë¤G¤Q¤C¤é¤§§å¥Ü¡G
À³Äµû½s¸¹237081ªL¾ð°ò¤§n¨D¡A®Ú¾Ú²{¦æ¡m¿Dªù«O¦w³¡¶¤x¨Æ¤Æ¤Hû³q«h¡n²Ä¤C¤Q¤»±ø²Ä¤@´Ú¤§³W©w¡A§åã¸Ó¤Hû¦Û¤G¹s¤@¤K¦~¤E¤ë¤Q¤@¤é°_§K°£¤u§@¡A¥¿¦¡²æÂ÷ªv¦wĵ¹î§½¡C
¡X¡X¡X
¤G¹s¤@¤K¦~¤K¤ë¤C¤é©óªv¦wĵ¹î§½
§½ªø ±ç¤å©÷ĵ°ÈÁ`ºÊ
¥q ªk ĵ ¹î §½
§å ¥Ü ºK ¿ý
ºK¿ý¦Û«O¦w¥q¥qªø©ó¤G¹s¤@¤K¦~¤»¤ë¤G¤Q¤@¤é§@¥Xªº§å¥Ü¡G
¦ó¯E´¡B±i°·±d¡BĬ«³´Ü¡B±ç¿o¥V¡B¬IÆA¬õ¡BªL³·Àô¡B·Å¬h¹ç¡B¾G§Ó»¨¡B§f¥Ã·s¡B©P°¶·~¡BĬ·q±l¤Î§Â®ü¬À¡A¥qªkĵ¹î§½½T©w©e¥ô¤§²Ä¤G¾¶¥¤Gµ¥¦D¨Æ§Þ³N»²¾Éû¡A¦b¥Zµn©ó¤G¹s¤@¤K¦~¤»¤ë¤»¤é²Ä¤G¤Q¤T´Á²Ä¤G²Õ¡m¿Dªù¯S§O¦æ¬F°Ï¤½³ø¡n¦³Ãö¥»§½®Ê¯Å¶}¦Òªº³Ì«á¦¨ÁZ¦W³æ¤¤¦W¦C²Ä¤@¦W¦Ü²Ä¤Q¤G¦W¡A®Ú¾Ú²Ä26/99/M¸¹ªk¥O²Ä¤Q¤G±ø¡A²{¦æ¡m¿Dªù¤½¦@¦æ¬F¤u§@¤Hû³q«h¡n²Ä¤Q¤E±ø¡B²Ä¤G¤Q±ø²Ä¤@´Úa¡^¶µ¤Î²Ä¤G¤Q¤G±ø²Ä¤K´Úa¡^¶µ¡AÁp¦P²Ä5/2006¸¹ªk«ß²Ä¤Q¤@±ø²Ä¤@´Ú¡B²Ä¤G´Ú¤Î²Ä¤G¤Q±ø¡A¥H¤Î¸g²Ä20/2010¸¹¦æ¬Fªk³Wק諸²Ä9/2006¸¹¦æ¬Fªk³W²Ä¤G¤Q¥|±ø²Ä¤@´Ú¡]¤K¡^¶µ¡B²Ä¤G´Ú¤Î²Ä¤G¤Q¤±ø²Ä¤@´Ú¤§³W©w¡AÀò½T©w©e¥ô¬°¥»§½½s¨î¤º¦D¨Æ§Þ³N»²¾Éû¾µ{¤§²Ä¤@¾¶¥¤@µ¥¦D¨Æ§Þ³N»²¾Éû¡C
ºK¿ý¦Û¥»§½°Æ§½ªø©ó¤G¹s¤@¤K¦~¤»¤ë¤G¤Q¤»¤é§@¥Xªº§å¥Ü¡G
®Ú¾Ú²Ä4/2017¸¹ªk«ßק諸²Ä14/2009¸¹ªk«ß²Ä¤Q¤T±ø²Ä¤G´Ú¡]¤@¡^¶µ¤Î²Ä¥|´Ú¡A²Ä12/2015¸¹ªk«ß²Ä¥|±ø¡A²Ä5/2006¸¹ªk«ß²Ä¤Q¤@±ø²Ä¤@´Ú¡A¥H¤Î¤½§G©ó¤G¹s¤@¤K¦~¤G¤ë¤G¤Q¤@¤é²Ä¤K´Á²Ä¤G²Õ¡m¿Dªù¯S§O¦æ¬F°Ï¤½³ø¡nªº²Ä2/DIR-PJ/2018¸¹¥qªkĵ¹î§½§½ªø§å¥Ü²Ä¤@´Ú¡]¤G¡^¶µ²Ä8ÂI¤§³W©w¡A¥Hªþµù§Î¦¡×§ï¥»§½»P±ç´º¶¯Ã±qªº¦æ¬F¥ô¥Î¦X¦P²Ä¤T±ø´Ú¡A¦Û¤G¹s¤@¤K¦~¤C¤ë¤G¤Q¤é°_®Ê¶¥¬°²Ä¤G¾¶¥««¬¨®½ø¥q¾÷¡AÁ~ÄÂI¬°180ÂI¡C
ºK¿ý¦Û¥»§½°Æ§½ªø©ó¤G¹s¤@¤K¦~¤C¤ë¤T¤é§@¥Xªº§å¥Ü¡G
®Ú¾Ú²Ä4/2017¸¹ªk«ßק諸²Ä14/2009¸¹ªk«ß²Ä¤Q¤T±ø²Ä¤G´Ú¡]¤@¡^¶µ¤Î²Ä¥|´Ú¡A²Ä12/2015¸¹ªk«ß²Ä¥|±ø¡A²Ä5/2006¸¹ªk«ß²Ä¤Q¤@±ø²Ä¤@´Ú¡A¥H¤Î¤½§G©ó¤G¹s¤@¤K¦~¤G¤ë¤G¤Q¤@¤é²Ä¤K´Á²Ä¤G²Õ¡m¿Dªù¯S§O¦æ¬F°Ï¤½³ø¡nªº²Ä2/DIR-PJ/2018¸¹¥qªkĵ¹î§½§½ªø§å¥Ü²Ä¤G´Ú¡]¤G¡^¶µ²Ä8ÂI¤§³W©w¡A¥Hªþµù§Î¦¡×§ï¥»§½»PLeonel Dias da Silva Wong¤Î³¢¼y¬õñqªº¦æ¬F¥ô¥Î¦X¦P²Ä¤T±ø´Ú¡A¦Û¤G¹s¤@¤K¦~¤C¤ë¤G¤Q¤é°_®Ê¶¥¬°²Ä¤G¾¶¥»´«¬¨®½ø¥q¾÷¡AÁ~ÄÂI¬°160ÂI¡C
ºK¿ý¦Û¥»¤H©ó¤G¹s¤@¤K¦~¤C¤ë¤»¤é§@¥Xªº§å¥Ü¡G
®Ú¾Ú²{¦æ¡m¿Dªù¤½¦@¦æ¬F¤u§@¤Hû³q«h¡n²Ä¤G¤Q¤G±ø²Ä¥|´Ú¡A²Ä5/2006¸¹ªk«ß²Ä¤Q¤@±ø²Ä¤@´Ú¤Î²Ä¤G¤Q±ø¡A¸g²Ä20/2010¸¹¦æ¬Fªk³Wק諸²Ä9/2006¸¹¦æ¬Fªk³W²Ä¤G¤Q¥|±ø²Ä¤@´Ú¡]¤¡^¶µ¡B²Ä¤G´Ú¤Î²Ä¤G¤Q¤±ø²Ä¤@´Ú¡A¥H¤Î¤½§G©ó¤G¹s¤@¤K¦~¤@¤ë¤G¤Q¥|¤é²Ä¥|´Á²Ä¤G²Õ¡m¿Dªù¯S§O¦æ¬F°Ï¤½³ø¡nªº²Ä23/2018¸¹«O¦w¥q¥qªø§å¥Ü²Ä¤@´Ú¡]¤T¡^¶µ¤§³W©w¡A¥»§½Á{®É©e¥ô¤§²Ä¤@¾¶¥¤Gµ¥Â½Ä¶û¨¿¹Å¶²¡A¦Û¤G¹s¤@¤K¦~¤»¤ë¤G¤Q¤K¤é°_¡AÀò½T©w©e¥ô¥X¥ô¸Ó¾¦ì¡C
ºK¿ý¦Û«O¦w¥q¥qªø©ó¤G¹s¤@¤K¦~¤C¤ë¤Q¤G¤é§@¥Xªº§å¥Ü¡G
®Ú¾Ú²Ä12/2015¸¹ªk«ß²Ä¤»±ø²Ä¤G´Ú¡]¤@¡^¶µ¤Î²Ä¤T´Ú¤§³W©w¡A¥»§½²Ä¤G¾¶¥¤Gµ¥§Þ³Nû³¯Å´@¤§¦æ¬F¥ô¥Î¦X¦Pקאּªø´Á¦æ¬F¥ô¥Î¦X¦P¡A¬°´Á¤T¦~¡A¦Û¤G¹s¤@¤K¦~¤¤ë¤T¤Q¤é°_¥Í®Ä¡C
®Ú¾Ú²Ä12/2015¸¹ªk«ß²Ä¤»±ø²Ä¤G´Ú¡]¤@¡^¶µ¤Î²Ä¤T´Ú¤§³W©w¡A¥»§½²Ä¤G¾¶¥¤Gµ¥§Þ³Nû³¯°·Å蠟¦æ¬F¥ô¥Î¦X¦Pקאּªø´Á¦æ¬F¥ô¥Î¦X¦P¡A¬°´Á¤T¦~¡A¦Û¤G¹s¤@¤K¦~¤»¤ë¤G¤Q¤G¤é°_¥Í®Ä¡C
¡X¡X¡X
¤G¹s¤@¤K¦~¤K¤ë¤C¤é©ó¥qªkĵ¹î§½
§½ªø Á§¥ò©ú
Ãg ±Ð ºÞ ²z §½
§å ¥Ü ºK ¿ý
ºK¿ý¦Û«O¦w¥q¥qªø©ó¤G¹s¤@¤K¦~¤C¤ë¤Q¤T¤é§@¥Xªº§å¥Ü¡G
¦ó¤ÖÁ¨¡AªÀ·|´©§U¡B±Ð¨|¤Î°ö°V³B³Bªø¡AÄÝ©w´Á©e¥ô¡X¡X®Ú¾Ú²Ä15/2009¸¹ªk«ß²Ä¤±ø¤Î²Ä26/2009¸¹¦æ¬Fªk³W²Ä¤C±ø¤Î²Ä¤K±øªº³W©w¡A¦]¨ã³Æ¾A·í¸gÅç¤Î±M·~¯à¤O¼i¦æÂ¾°È¡A¨ä©w´Á©e¥ôÀò±oÄò´Á¤@¦~¡A¥Ñ¤G¹s¤@¤K¦~¤Q¤ë¤@¤é°_¥Í®Ä¡C
ºK¿ý¦Û«O¦w¥q¥qªø©ó¤G¹s¤@¤K¦~¤C¤ë¤G¤Q¤¤é§@¥Xªº§å¥Ü¡G
¼B¹Å¡A²Ä¤@¾¶¥¤Gµ¥°ª¯Å§Þ³Nû¡AÄݦæ¬F¥ô¥Î¦X¦P¡X¡X®Ú¾Ú²Ä12/2015¸¹ªk«ß²Ä¤»±ø²Ä¤G´Ú¡]¤@¡^¶µ¤Î²Ä¤T´Úªº³W©w¡A¨ä¦X¦PÀò³\¥iקאּªø´Á¦æ¬F¥ô¥Î¦X¦P¡]´Á¶¡¬°¤T¦~¡^¡A¦Û¤G¹s¤@¤K¦~¤»¤ë¤Q¤E¤é°_¥Í®Ä¡C
¦¿¯\¸Ö¡AÃg±ÐºÞ²z§½½T©w©e¥ô¤§²Ä¥|¾¶¥Äµû¡X¡X®Ú¾Ú²Ä2/2008¸¹ªk«ß²Ä¤K±ø²Ä¥|´Ú¡]¤@¡^¡B¡]¤T¡^¶µ¤Î²Ä¤»´Úªº³W©w¡A¥H¤Î²{¦æ¡m¿Dªù¤½¦@¦æ¬F¤u§@¤Hû³q«h¡n²Ä¤G¤Q±ø²Ä¤@´Úa¡^¶µ¤Î²Ä¤G¤Q¤G±ø²Ä¤K´Úa¡^¶µªº³W©w¡AÀò½T©w©e¥ô¬°Ãg±ÐºÞ²z§½½s¨î¤º²Ä¤@¾¶¥¤@µ¥Äµû¡A¦Û¤G¹s¤@¤K¦~¤K¤ë¤G¤Q¤C¤é°_¥Í®Ä¡C
¡X¡X¡X
¤G¹s¤@¤K¦~¤K¤ë¤C¤é©óÃg±ÐºÞ²z§½
§½ªø §fÀA¶³°Æ§½ªø¥N¦æ
½Ã ¥Í §½
§å ¥Ü ºK ¿ý
ºK¿ý¦ÛªÀ·|¤å¤Æ¥q¥qªø©ó¤G¹s¤@¤K¦~¥|¤ë¤Q¤T¤é§@¥Xªº§å¥Ü¡G
®Ú¾Ú²Ä12/2015¸¹ªk«ß²Ä¥|±ø¤Î²Ä¤»±ø²Ä¤G´Ú¡]¤@¡^¶µ¤Î²Ä¤T´Ú¤§³W©w¡A¥»§½¤U¦C¤HûÀò¥Hªþµù§Î¦¡×§ï¦æ¬F¥ô¥Î¦X¦P²Ä¤G±ø´Ú¡A±N¦X¦Pקאּªø´Á¦æ¬F¥ô¥Î¦X¦P¡A¬°´Á¤T¦~¡G
²Ä¤@¾¶¥¤Gµ¥½Ã¥Í·þ¹î³¯®a¯E¡B¶¾啓»¨¡B¸§Ó»¨¡BªL¬u¡BªLÆG¬Â¡B±ç¬õ¡BËΰ¶½å¡B¿½¹Å»¨¡BĬ¹ÅªY¡BÃÓ¶QµØ¡B¸³°¶·~¡B°K°¶¶W¡B¶À¥É»ñ¡B¶À¹Å°¶¤Îà©¿o¬õ¡A¦Û¤G¹s¤@¤K¦~¤G¤ë¤G¤Q¤T¤é°_¥Í®Ä¡F
²Ä¤@¾¶¥§Þ³N¤u¤H¦¶¶À·çÁø¡A¦Û¤G¹s¤@¤K¦~¤T¤ë¤@¤é°_¥Í®Ä¡F
²Ä¤G¾¶¥¤Gµ¥½Ã¥Í·þ¹î³¯§Ó©¾¡B³¯啓ºa¡B±i¿P¾W¡B¬ö©É¦p¡B¦ó«Â·G¡B¥Ì»A®Z¡B¼BÂE¼w¡B±çªN¿Å¤ÎJ¿KÛ¡A¦Û¤G¹s¤@¤K¦~¤T¤ë¤@¤é°_¥Í®Ä¡F
²Ä¤G¾¶¥¥DªvÂå¥Í©P¸r±ö¡A¦Û¤G¹s¤@¤K¦~¤T¤ë¤@¤é°_¥Í®Ä¡F
²Ä¤G¾¶¥¤Gµ¥½Ã¥Í·þ¹îÁÂ啓·~¤Î±ç±Ó¬Â¡A¦Û¤G¹s¤@¤K¦~¤T¤ë¤G¤é°_¥Í®Ä¡F
²Ä¤G¾¶¥¤@¯ÅÅ@¤h³¯ÀR¶²¡B¸â®üµX¡B¿½咏«º¤Î§d±l±l¡A¦Û¤G¹s¤@¤K¦~¤T¤ë¤G¤é°_¥Í®Ä¡F
²Ä¤G¾¶¥¤Gµ¥½Ã¥Í·þ¹î§õ«T¤å¤ÎÙ¦°µ{¡A¦Û¤G¹s¤@¤K¦~¤T¤ë¤¤é°_¥Í®Ä¡F
²Ä¤@¾¶¥¤Gµ¥§Þ³Nû¸°¶¤å¡A¦Û¤G¹s¤@¤K¦~¤T¤ë¤C¤é°_¥Í®Ä¡F
²Ä¤T¾¶¥§Þ³N¤u¤H¾¤·çÌÉ¡A¦Û¤G¹s¤@¤K¦~¤T¤ë¤C¤é°_¥Í®Ä¡F
²Ä¤G¾¶¥¤Gµ¥¶EÀø§Þ³Nû³¯³ÍªY¤ÎÉܬÀ¬À¡A¦Û¤G¹s¤@¤K¦~¤T¤ë¤C¤é°_¥Í®Ä¡F
²Ä¤G¾¶¥¤Gµ¥½Ã¥Í·þ¹îªL±j½÷¡A¦Û¤G¹s¤@¤K¦~¤T¤ë¤C¤é°_¥Í®Ä¡F
²Ä¤G¾¶¥¤Gµ¥¶EÀø§Þ³NûÁµú¸Ö¡A¦Û¤G¹s¤@¤K¦~¤T¤ë¤Q¤G¤é°_¥Í®Ä¡F
²Ä¤G¾¶¥¤@¯ÅÅ@¤h¶¾¤pÀô¡B§õ¹ÅµX¡B§d®S®S¤Î¶À¼C¤¦¡A¦Û¤G¹s¤@¤K¦~¤T¤ë¤Q¤G¤é°_¥Í®Ä¡F
²Ä¤G¾¶¥¤Gµ¥¶EÀø§Þ³Nû±ä³ÍªY¡B¦ó®a«T¡B·¨°¶±j¡B³¢°¶¯è¡BÃC°¶¹Å¡B¥¬®Û^¤ÎJ¤Ö«T¡A¦Û¤G¹s¤@¤K¦~¤T¤ë¤Q¤C¤é°_¥Í®Ä¡F
²Ä¤G¾¶¥§Þ³N¤u¤H·Å¥VÁø¡A¦Û¤G¹s¤@¤K¦~¤T¤ë¤G¤Q¤E¤é°_¥Í®Ä¡C
®Ú¾Ú²Ä12/2015¸¹ªk«ß²Ä¥|±ø¤Î²Ä¤G¤Q¥|±ø²Ä¤T´Ú¡]¤@¡^¶µ¤Î²Ä¥|´Ú¤§³W©w¡A¥»§½¤U¦C¤HûÀò¥Hªþµù§Î¦¡×§ï¦æ¬F¥ô¥Î¦X¦P²Ä¤G±ø´Ú¡A±N¦X¦Pקאּªø´Á¦æ¬F¥ô¥Î¦X¦P¡A¬°´Á¤T¦~¡G
²Ä¤G¾¶¥¤Gµ¥¦æ¬F§Þ³N§U²zû³¯©ú¹F¤Î±ç°K«C¡A¦Û¤G¹s¤@¤K¦~¤G¤ë¤Q¤¤é°_¥Í®Ä¡F
²Ä¤G¾¶¥««¬¨®½ø¥q¾÷¾GµØ«G¡A¦Û¤G¹s¤@¤K¦~¤G¤ë¤Q¤¤é°_¥Í®Ä¡F
²Ä¥|¾¶¥¤Gµ¥Å@²z§U²zû±iµØ©Û¡A¦Û¤G¹s¤@¤K¦~¤T¤ë¤@¤é°_¥Í®Ä¡F
²Ä¥|¾¶¥¤@¯ëªA°È§U²zû±ç¼`¥P¡A¦Û¤G¹s¤@¤K¦~¤T¤ë¤@¤é°_¥Í®Ä¡F
²Ä¤G¾¶¥¤Gµ¥§Þ³N»²¾ÉûĬ¸ÖÞm¡A¦Û¤G¹s¤@¤K¦~¤T¤ë¤G¤é°_¥Í®Ä¡F
²Ä¤T¾¶¥§Þ³N¤u¤HªL«TÃÀ¤Î¹ù¥ü°ê¡A¦Û¤G¹s¤@¤K¦~¤T¤ë¤G¤é°_¥Í®Ä¡F
²Ä¤T¾¶¥º®u°ª¯Å½Ã¥Í§Þ³Nû«Ó·qÅß¡A¦Û¤G¹s¤@¤K¦~¤T¤ë¤G¤é°_¥Í®Ä¡F
²Ä¤G¾¶¥¤Gµ¥Å@²z§U²zû³¯ÆAÁø¡B¾GÃè¤ß¡BÁé¹M¬õ¡B¦ó¤åÀRùÜ¡B¬x¤p¿P¡BñK¹Å§Q¡B§õ®eÄ_¼b¡B±ç¬ãªÚ¡B¥î¤Ö±ö¤Î·Å¤å´@¡A¦Û¤G¹s¤@¤K¦~¤T¤ë¤G¤é°_¥Í®Ä¡F
²Ä¤»Â¾¶¥¤@¯ëªA°È§U²zû¾GÅK§g¡A¦Û¤G¹s¤@¤K¦~¤T¤ë¤G¤é°_¥Í®Ä¡F
²Ä¤T¾¶¥¤@¯ëªA°È§U²zû¦óŽå¡A¦Û¤G¹s¤@¤K¦~¤T¤ë¤G¤é°_¥Í®Ä¡F
²Ä¤G¾¶¥¤@¯ëªA°È§U²zû³¯ÄR^¡B±i´fªâ¡B¦ó¤ë¦B¡BÁú§®s¤Î¶ÀºÑÁø¡A¦Û¤G¹s¤@¤K¦~¤T¤ë¤G¤é°_¥Í®Ä¡C
ºK¿ý¦Û¥N§½ªø©ó¤G¹s¤@¤K¦~¤¤ë¤Q¤@¤é¤§§å¥Ü¡G
À³±ç¯Àµ^¤§n¨D¡A¨ä¦b¥»§½¾á¥ô²Ä¤G¾¶¥¤@¯ÅÅ@¤hªº¦æ¬F¥ô¥Î¦X¦P¡A¦Û¤G¹s¤@¤K¦~¤C¤ë¤@¤é°_¤©¥H¸Ñ°£¡C
ºK¿ý¦Û¥N§½ªø©ó¤G¹s¤@¤K¦~¤¤ë¤G¤Q¤T¤é¤§§å¥Ü¡G
À³¶À¦óÄR¹ß¤§n¨D¡A¨ä¦b¥»§½¾á¥ô²Ä¤C¾¶¥¤@¯ëªA°È§U²zûªº¤£¨ã´Áªº¦æ¬F¥ô¥Î¦X¦P¡A¦Û¤G¹s¤@¤K¦~¤C¤ë¤K¤é°_¤©¥H¸Ñ°£¡C
ºK¿ý¦Û§½ªø©ó¤G¹s¤@¤K¦~¤¤ë¤T¤Q¤é¤§§å¥Ü¡G
§õ¦t©ú¡A¥»§½½T©w©e¥ô²Ä¥|¾¶¥¤@¯ÅÅ@¤h¡AÀ³¨än¨D¦Û¤G¹s¤@¤K¦~¤C¤ë¤Q¤é°_§K¾¡C
ºK¿ý¦Û§½ªø©ó¤G¹s¤@¤K¦~¤»¤ë¤C¤é¤§§å¥Ü¡G
±ç§®¿P¡A¥»§½½T©w©e¥ô²Ä¤Â¾¶¥¤@¯ÅÅ@¤h¡AÀ³¨än¨D¦Û¤G¹s¤@¤K¦~¤C¤ë¤G¤Q¤é°_§K¾¡C
ºK¿ý¦Û§½ªø©ó¤G¹s¤@¤K¦~¤»¤ë¤Q¥|¤é¤§§å¥Ü¡G
À³¼Ú¥òÃð¤§n¨D¡A¨ä¦b¥»§½¾á¥ô²Ä¤G¾¶¥¤@¯ëªA°È§U²zûªº¦æ¬F¥ô¥Î¦X¦P¡A¦Û¤G¹s¤@¤K¦~¤C¤ë¤Q¤¤é°_¤©¥H¸Ñ°£¡C
ºK¿ý¦Û§½ªø©ó¤G¹s¤@¤K¦~¤»¤ë¤Q¤E¤é¤§§å¥Ü¡G
®Ú¾Ú²Ä12/2015¸¹ªk«ß²Ä¥|±ø¤Î¸g²Ä4/2017¸¹ªk«ßק蠟²Ä14/2009¸¹ªk«ß²Ä¤Q¤T±ø²Ä¤@´Ú¡]¤G¡^¶µªº³W©w¡A´öµµÁ¨¡B³¯¹Å¼z¤Î§d«Û¼z¦b¥»§½¾á¥ô¦æ¬F¥ô¥Î¦X¦P²Ä¤@¾¶¥º®u°ª¯Å§Þ³Nû¡A¥Hªþµù§Î¦¡×§ï¦X¦P²Ä¤T±ø´Ú¡AÂର²Ä¤G¾¶¥º®u°ª¯Å§Þ³Nû¡A¦Û¤G¹s¤@¤K¦~¤C¤ë¤@¤é°_¥Í®Ä¡C
®Ú¾Ú²Ä12/2015¸¹ªk«ß²Ä¥|±ø¤Î¸g²Ä4/2017¸¹ªk«ßק蠟²Ä14/2009¸¹ªk«ß²Ä¤Q¤T±ø²Ä¤@´Ú¡]¤G¡^¶µªº³W©w¡A³ÁºÑ®R¦b¥»§½¾á¥ô¦æ¬F¥ô¥Î¦X¦P²Ä¤@¾¶¥¤Gµ¥§Þ³N»²¾Éû¡A¥Hªþµù§Î¦¡×§ï¦X¦P²Ä¤T±ø´Ú¡AÂର²Ä¤G¾¶¥¤Gµ¥§Þ³N»²¾Éû¡A¦Û¤G¹s¤@¤K¦~¤C¤ë¤@¤é°_¥Í®Ä¡C
®Ú¾Ú²Ä12/2015¸¹ªk«ß²Ä¥|±ø¤Î¸g²Ä4/2017¸¹ªk«ßק蠟²Ä14/2009¸¹ªk«ß²Ä¤Q¤T±ø²Ä¤@´Ú¡]¤G¡^¶µªº³W©w¡A®}à±´¹¡B±i¹Å±Ó¡B¾Gªé¿o¡B¶¾°·¦¨¡B³°´¼«Â¡B³¢¨Ø±Ó¡B¤ý¤@¸s¡BÃÓ»ñ½¬¡B¾H§»ºa¤ÎÃÓ§Ó±j¦b¥»§½¾á¥ô¦æ¬F¥ô¥Î¦X¦P²Ä¤@¾¶¥¤@µ¥§Þ³N»²¾Éû¡A¥Hªþµù§Î¦¡×§ï¦X¦P²Ä¤T±ø´Ú¡AÂର²Ä¤G¾¶¥¤@µ¥§Þ³N»²¾Éû¡A¦Û¤G¹s¤@¤K¦~¤C¤ë¤K¤é°_¥Í®Ä¡C
®Ú¾Ú²Ä12/2015¸¹ªk«ß²Ä¥|±ø¡B²Ä7/2010¸¹ªk«ß²Ä¤K±ø¤Î¸g²Ä4/2017¸¹ªk«ßק蠟²Ä14/2009¸¹ªk«ß²Ä¤Q¤T±ø²Ä¤@´Ú¡]¤G¡^¶µªº³W©w¡A³¯«a¿o¦b¥»§½¾á¥ô¦æ¬F¥ô¥Î¦X¦P²Ä¤G¾¶¥¤Gµ¥¶EÀø§Þ³Nû¡A¥Hªþµù§Î¦¡×§ï¦X¦P²Ä¤T±ø´Ú¡AÂର²Ä¤T¾¶¥¤Gµ¥¶EÀø§Þ³Nû¡A¦Û¤G¹s¤@¤K¦~¤C¤ë¤@¤é°_¥Í®Ä¡C
®Ú¾Ú²Ä12/2015¸¹ªk«ß²Ä¥|±ø¡B²Ä7/2010¸¹ªk«ß²Ä¤K±ø¤Î¸g²Ä4/2017¸¹ªk«ßק蠟²Ä14/2009¸¹ªk«ß²Ä¤Q¤T±ø²Ä¤@´Ú¡]¤G¡^¶µªº³W©w¡AÁ¥óǦb¥»§½¾á¥ô¦æ¬F¥ô¥Î¦X¦P²Ä¤@¾¶¥¤Gµ¥¶EÀø§Þ³Nû¡A¥Hªþµù§Î¦¡×§ï¦X¦P²Ä¤T±ø´Ú¡AÂର²Ä¤G¾¶¥¤Gµ¥¶EÀø§Þ³Nû¡A¦Û¤G¹s¤@¤K¦~¤C¤ë¤@¤é°_¥Í®Ä¡C
®Ú¾Ú²Ä12/2015¸¹ªk«ß²Ä¥|±ø¡B²Ä7/2010¸¹ªk«ß²Ä¤K±ø¤Î¸g²Ä4/2017¸¹ªk«ßק蠟²Ä14/2009¸¹ªk«ß²Ä¤Q¤T±ø²Ä¤@´Ú¡]¤G¡^¶µªº³W©w¡A¶À§Ó±j¦b¥»§½¾á¥ô¦æ¬F¥ô¥Î¦X¦P²Ä¤@¾¶¥¤Gµ¥¶EÀø§Þ³Nû¡A¥Hªþµù§Î¦¡×§ï¦X¦P²Ä¤T±ø´Ú¡AÂର²Ä¤G¾¶¥¤Gµ¥¶EÀø§Þ³Nû¡A¦Û¤G¹s¤@¤K¦~¤C¤ë¥|¤é°_¥Í®Ä¡C
ºK¿ý¦Û§½ªø©ó¤G¹s¤@¤K¦~¤C¤ë¤»¤é¤§§å¥Ü¡G
®Ú¾Ú²Ä12/2015¸¹ªk«ß²Ä¥|±ø¤Î¸g²Ä4/2017¸¹ªk«ßק蠟²Ä14/2009¸¹ªk«ß²Ä¤Q¤T±ø²Ä¤@´Ú¡]¤G¡^¶µªº³W©w¡A°ª´f¯]¦b¥»§½¾á¥ô¦æ¬F¥ô¥Î¦X¦P²Ä¤@¾¶¥º®u°ª¯Å§Þ³Nû¡A¥Hªþµù§Î¦¡×§ï¦X¦P²Ä¤T±ø´Ú¡AÂର²Ä¤G¾¶¥º®u°ª¯Å§Þ³Nû¡A¨Ã«ö¤Q¤ë¤Q¤@¤é²Ä57/99/M¸¹ªk¥O®Ö㪺¡m¦æ¬Fµ{§Çªk¨å¡n²Ä¤@¦Ê¤@¤Q¤K±ø²Ä¤G´Úa¡^¶µ¡A°l·¹¦Û¤G¹s¤@¤K¦~¤C¤ë¤@¤é°_¥Í®Ä¡C
®Ú¾Ú²Ä12/2015¸¹ªk«ß²Ä¥|±ø¤Î¸g²Ä4/2017¸¹ªk«ßק蠟²Ä14/2009¸¹ªk«ß²Ä¤Q¤T±ø²Ä¤@´Ú¡]¤G¡^¶µªº³W©w¡A¾G¬xªL¦b¥»§½¾á¥ô¦æ¬F¥ô¥Î¦X¦P²Ä¤@¾¶¥¤@µ¥§Þ³N»²¾Éû¡A¥Hªþµù§Î¦¡×§ï¦X¦P²Ä¤T±ø´Ú¡AÂର²Ä¤G¾¶¥¤@µ¥§Þ³N»²¾Éû¡A¨Ã«ö¤Q¤ë¤Q¤@¤é²Ä57/99/M¸¹ªk¥O®Ö㪺¡m¦æ¬Fµ{§Çªk¨å¡n²Ä¤@¦Ê¤@¤Q¤K±ø²Ä¤G´Úa¡^¶µ¡A°l·¹¦Û¤G¹s¤@¤K¦~¤T¤ë¤T¤Q¤@¤é°_¥Í®Ä¡C
ºK¿ý¦Û§½ªø©ó¤G¹s¤@¤K¦~¤C¤ë¤E¤é¤§§å¥Ü¡G
®Ú¾Ú²Ä12/2015¸¹ªk«ß²Ä¥|±ø¤Î²Ä18/2009¸¹ªk«ß²Ä¤Q¤G±ø²Ä¤@´Úªº³W©w¡A³¯±ßi¦b¥»§½¾á¥ô¦æ¬F¥ô¥Î¦X¦P²Ä¤G¾¶¥¤@¯ÅÅ@¤h¡A¥Hªþµù§Î¦¡×§ï¦X¦P²Ä¤T±ø´Ú¡AÂର²Ä¤T¾¶¥¤@¯ÅÅ@¤h¡A¨Ã«ö¤Q¤ë¤Q¤@¤é²Ä57/99/M¸¹ªk¥O®Ö㪺¡m¦æ¬Fµ{§Çªk¨å¡n²Ä¤@¦Ê¤@¤Q¤K±ø²Ä¤G´Úa¡^¶µ¡A°l·¹¦Û¤G¹s¤@¤K¦~¤C¤ë¤@¤é°_¥Í®Ä¡C
ºK¿ý¦ÛªÀ·|¤å¤Æ¥q¥qªø©ó¤G¹s¤@¤K¦~¤C¤ë¤Q¤K¤éªº§å¥Ü¡G
®Ú¾Ú²{¦æ¡m¿Dªù¤½¦@¦æ¬F¤u§@¤Hû³q«h¡n²Ä¤G¤Q¤T±ø²Ä¤G´Úb¡^¶µ¤Î²Ä¤»´Ú³W©w¡AÀ³¾G¯E¥ú¤§n¨D¡A²×¤î¾á¥ô±M¬ì°ö°Vªº¹ê²ßÂå¥Íªº©w´Á©e¥ô¡A¨Ã¦Û¤G¹s¤@¤K¦~¤K¤ë¤@¤é°_¥Í®Ä¡C
ºK¿ý¦ÛªÀ·|¤å¤Æ¥q¥qªø©ó¤G¹s¤@¤K¦~¤C¤ë¤G¤Q¤é¤§§å¥Ü¡G
¶ÀÀRªi¡X¡X®Ú¾Ú¸g²Ä34/2011¸¹¦æ¬Fªk³Wק諸¤Q¤@¤ë¤Q¤¤é²Ä81/99/M¸¹ªk¥O²Ä¤»±øe¡^¶µ¤Î²Ä¤Q¤C±ø¡B²Ä15/2009¸¹ªk«ß²Ä¤±ø¤Î²Ä26/2009¸¹¦æ¬Fªk³W²Ä¤C±ø²Ä¤G´Ú¤Î²Ä¤K±øªº³W©w¡A¦]¨ã³Æ¦X¾AªººÞ²z¯à¤O¤Î±M·~¸gÅç¡A¦Û¤G¹s¤@¤K¦~¤K¤ë¤Q¤C¤é°_¡A¥H©w´Á©e¥ô¤è¦¡¡AÄò¥ô¬°¥»§½¬ã¨sº[µ¦¹º«Ç¥D¥ô¡A¬°´Á¨â¦~¡C
«ö·Ó¥N°Æ§½ªø©ó¤G¹s¤@¤K¦~¤K¤ë¤T¤é¤§§å¥Ü¡G
À³ã·Ó«ù¦³¤H«D¤ZÂåÃͰ¹Î¦³¤½¥qªº¥Ó½Ð¡A¨ú®ø½s¸¹¬°²Ä256¸¹¥H¤Î°Ó¸¹¦WºÙ¬°¡§«D¤ZÃĩС]¥Õ°¨¦æ¤À©±¡^¡¨ªºã·Ó¡A¸Ó°Ó¸¹ªºµn°OÀç·~¦aÂI¬°¿Dªù§B¦h¸S§½ªøµó¡]¥Õ°¨¦æ¡^34-A¸¹©¯¼w¤j·HA®y¦a¤U¤Î»Õ¼Ó¡C
Án ©ú
¬°¦³Ãö®Ä¤O¡A¯÷Án©ú¥»§½«e½T©w©e¥ô²Ä¤G¾¶¥º®u¯S¯Å§Þ³N»²¾ÉûÃÓ»Êű¡A¦]Ãã¥@²×¤î¨ä¦b¥»§½¤§Â¾°È¡A¦Û¤G¹s¤@¤K¦~¤C¤ë¤Q¤T¤é°_¥Í®Ä¡C
¬°¦³Ãö®Ä¤O¡A¯÷Án©ú¥»§½¥H¤£¨ã´Áªº¦æ¬F¥ô¥Î¦X¦P¤è¦¡¾á¥ô²Ä¤T¾¶¥¯S¯Å§Þ³N»²¾Éû³¯¼y»Ê¡A¦Û¤G¹s¤@¤K¦~¤C¤ë¤Q¤¤é°_¦]¹F¦~ÄÖ¤W¡A®Ú¾Ú²{¦æ¡m¿Dªù¤½¦@¦æ¬F¤u§@¤Hû³q«h¡n²Ä¥|¤Q¥|±ø²Ä¤@´Úc¡^¶µ¤Î²Ä12/2015¸¹ªk«ß²Ä¤Q¤±ø¡]¤@¡^¶µªº³W©w¡A²×¤î¨ä¦b¥»§½¤§Â¾°È¡C
§ó ¥¿
¦]¥»§½¤å»~¡A¨Ï¥Zµn©ó¤G¹s¤@¤K¦~¤K¤ë¤K¤é¡m¿Dªù¯S§O¦æ¬F°Ï¤½³ø¡n²Ä¤T¤Q¤G´Á²Ä¤G²Õ¤º²Ä15342¶ªº§å¥ÜºK¿ý¤§¸²¤å¤å¥»¦³¤£¥¿½T¤§³B¡A²{§ó¥¿¦p¤U¡G
ì¤å¡G¡§¡K¡KIao Weng Fai¡K¡K¡¨
À³¬°¡G¡§¡K¡KLao Weng Fai¡K¡K¡¨¡C
¡X¡X¡X
¤G¹s¤@¤K¦~¤K¤ë¤E¤é©ó½Ã¥Í§½
§½ªø §õ®i¼í
¤å ¤Æ §½
§å ¥Ü ºK ¿ý
ºK¿ý¦ÛªÀ·|¤å¤Æ¥q¥qªø©ó¤G¹s¤@¤K¦~¤»¤ë¤G¤Q¤é¤Î¤K¤ë¤@¤é§@¥Xªº§å¥Ü¡G
®Ú¾Ú²Ä12/2015¸¹ªk«ß²Ä¤T±ø¡B²Ä¥|±ø¤Î²Ä¤±ø²Ä¤T´Ú¡]¤G¡^¶µ¡A²Ä14/2009¸¹ªk«ß²Ä¤Q¤G±ø¡A¥H¤Î²Ä112/2014¸¹¦æ¬F©R¥O²Ä¤@´Úªº³W©w¡A¥H¦æ¬F¥ô¥Î¦X¦P¤è¦¡¸u½Ð±ç°ê½÷¦b¥»§½¾á¥ô²Ä¤@¾¶¥¤Gµ¥§Þ³Nû¡AÁ~ÄÂI¬°350¡A¬°´Á¤@¦~¡A¦Û¤G¹s¤@¤K¦~¤C¤ë¤G¤Q¤T¤é°_¥Í®Ä¡C
ºK¿ý¦Û¥»§½§½ªø©ó¤G¹s¤@¤K¦~¤C¤ë¤T¤Q¤@¤é§@¥Xªº§å¥Ü¡G
®Ú¾Ú²Ä12/2015¸¹ªk«ß²Ä¥|±ø¤Î²Ä¤»±ø²Ä¤@´Úªº³W©w¡A§f«ä¼z¤Î·¨¾å§Í¦b¥»§½¾á¥ô²Ä¤@¾¶¥¤Gµ¥§Þ³Nûªº¦æ¬F¥ô¥Î¦X¦PÄò´Á¨â¦~¡A¦U¦Û¤G¹s¤@¤K¦~¤E¤ë¤@¤é¤Î¤E¤ë¤K¤é°_¥Í®Ä¡C
ºK¿ý¦ÛªÀ·|¤å¤Æ¥q¥qªø©ó¤G¹s¤@¤K¦~¤K¤ë¤G¤é§@¥Xªº§å¥Ü¡G
¨¿¥¿è¡A¥»§½²Ä¤@¾¶¥¤@µ¥°ª¯Å§Þ³Nû¡X¡X®Ú¾Ú²Ä12/2015¸¹ªk«ß²Ä¤G¤Q¥|±ø²Ä¤T´Ú¡]¤G¡^¶µªº³W©w¡A»P¨äq¥ß¤£¨ã´Áªº¦æ¬F¥ô¥Î¦X¦P¡A¨Ã«ö·Ó¤Q¤ë¤Q¤@¤é²Ä57/99/M¸¹ªk¥O®Ö㪺¡m¦æ¬Fµ{§Çªk¨å¡n²Ä¤@¦Ê¤@¤Q¤K±ø²Ä¤G´Úa¡^¶µ³W©w¡A°l·¹¦Û¤G¹s¤@¤K¦~¤G¤ë¤G¤é°_¥Í®Ä¡C
ºK¿ý¦Û¥»§½§½ªø©ó¤G¹s¤@¤K¦~¤K¤ë¤G¤é§@¥Xªº§å¥Ü¡G
®Ú¾Ú²Ä12/2015¸¹ªk«ß²Ä¥|±ø¤Î²Ä¤»±øªº³W©w¡A®}°Ò¦b¥»§½¾á¥ô²Ä¤Â¾¶¥¤¤¾Ç±Ð¨|¤G¯Å±Ð®vªº¦æ¬F¥ô¥Î¦X¦PÄò´Á¨â¦~¡A¦Û¤G¹s¤@¤K¦~¤E¤ë¤@¤é°_¥Í®Ä¡C
®Ú¾Ú²Ä12/2015¸¹ªk«ß²Ä¥|±ø¡A¥H¤Î²Ä14/2009¸¹ªk«ß²Ä¤Q¤T±øªº³W©w¡A¥Hªþµù§Î¦¡×§ï¥»§½¤U¦C¤u§@¤Hûªº¦æ¬F¥ô¥Î¦X¦P²Ä¤T±ø´Ú¡A®Ê¤É¦Üºò±µÂ¾¶¥¡A¦U¦Û¤U«ü¤é´Á°_¥Í®Ä¡G
©P´å¡X¡X²Ä¤T¾¶¥ÅU°Ý°ª¯Å§Þ³Nû¡AÁ~ÄÂI¬°650¡A¦Û¤G¹s¤@¤K¦~¤K¤ë¤¤é°_¥Í®Ä¡F
Àj¤Ö°ò¡B¦óÅt¼w¡B©u°¶ÔդΦó®ü¦¨¡X¡X²Ä¤G¾¶¥ÅU°Ý°ª¯Å§Þ³Nû¡AÁ~ÄÂI¬°625¡A¦Û¤G¹s¤@¤K¦~¤K¤ë¤T¤Q¤@¤é°_¥Í®Ä¡F
¿cÂE°¶¤Î°K²Ð¬À¡X¡X²Ä¤G¾¶¥º®u°ª¯Å§Þ³Nû¡AÁ~ÄÂI¬°565¡A¦Û¤G¹s¤@¤K¦~¤K¤ë¤T¤Q¤@¤é°_¥Í®Ä¡F
§d¬ü®S¡X¡X²Ä¤G¾¶¥¤@µ¥°ª¯Å§Þ³Nû¡AÁ~ÄÂI¬°510¡A¦Û¤G¹s¤@¤K¦~¤K¤ë¤T¤Q¤@¤é°_¥Í®Ä¡F
J³·µY¡B§dºa½÷¡B³¯«×®¦¡B¥î¼yµØ¡BÁé¿P«C¡B¾H¤Ö»ö¡BÃö¼zÙy¡B§dZ·£¡B¤¨¥ü²ø¡B³¯Ä£ºa¡B¾G¸Öµú¡B§õº~³Ç¤Î±ç¤é½÷¡X¡X²Ä¤G¾¶¥¯S¯Å§Þ³Nû¡AÁ~ÄÂI¬°525¡A¦Û¤G¹s¤@¤K¦~¤K¤ë¤T¤Q¤@¤é°_¥Í®Ä¡F
§õÀAµ·¤Î«J¶h±d¡X¡X²Ä¤G¾¶¥º®u§Þ³Nû¡AÁ~ÄÂI¬°470¡A¤À§O¦Û¤G¹s¤@¤K¦~¤K¤ë¤T¤é¤Î¤K¤ë¤T¤Q¤@¤é°_¥Í®Ä¡F
³¯º¿²ú¤ÎÃÓÄ_»ö¡X¡X²Ä¤G¾¶¥¯S¯Å§Þ³N»²¾Éû¡AÁ~ÄÂI¬°415¡A¦Û¤G¹s¤@¤K¦~¤K¤ë¤T¤Q¤@¤é°_¥Í®Ä¡F
§Â¹Å¼z¡B§dÞm·×¤ÎCélia Maria de Souza¡X¡X²Ä¤G¾¶¥º®u§Þ³N»²¾Éû¡AÁ~ÄÂI¬°365¡A¦Û¤G¹s¤@¤K¦~¤K¤ë¤T¤Q¤@¤é°_¥Í®Ä¡F
±i¬ü»¡B§õ°ö¯u¤ÎÀ¹¤Ñ´N¡X¡X²Ä¤G¾¶¥¯S¯Å¦æ¬F§Þ³N§U²zû¡AÁ~ÄÂI¬°315¡A¦Û¤G¹s¤@¤K¦~¤K¤ë¤T¤Q¤@¤é°_¥Í®Ä¡F
¶À¼ÝõÓ¡X¡X²Ä¤G¾¶¥º®u¦æ¬F§Þ³N§U²zû¡AÁ~ÄÂI¬°275¡A¦Û¤G¹s¤@¤K¦~¤K¤ë¤T¤Q¤@¤é°_¥Í®Ä¡F
³¯¶¶^¡X¡X²Ä¤Â¾¶¥§Þ³N¤u¤H¡AÁ~ÄÂI¬°200¡A¦Û¤G¹s¤@¤K¦~¤K¤ë¤Q¥|¤é°_¥Í®Ä¡F
¼ï¤ëÁø¤Î½±¨qªÚ¡X¡X²Ä¤»Â¾¶¥¶ÔÂø¤Hû¡AÁ~ÄÂI¬°160¡A¦Û¤G¹s¤@¤K¦~¤K¤ë¤G¤é°_¥Í®Ä¡F
©PÄ_¬Â¡X¡X²Ä¤Â¾¶¥¶ÔÂø¤Hû¡AÁ~ÄÂI¬°150¡A¦Û¤G¹s¤@¤K¦~¤K¤ë¤G¤é°_¥Í®Ä¡C
ºK¿ý¦Û¥»§½§½ªø©ó¤G¹s¤@¤K¦~¤K¤ë¤»¤é§@¥Xªº§å¥Ü¡G
®Ú¾Ú²Ä12/2010¸¹ªk«ß²Ä¤C±ø²Ä¤@´Ú¡B²Ä¤G´Ú¤Î²Ä¤»´Ú¡A¥H¤Î²Ä12/2015¸¹ªk«ß²Ä¤G¤Q¤±ø²Ä¤@´Úªº³W©w¡A¥Hªþµù§Î¦¡×§ï®}¸ª¦b¥»§½¿DªùºtÃÀ¾Ç°|¾á¥ô¾°ÈªºÓ¤H³Ò°Ê¦X¦P²Ä¤±ø²Ä¤@´Ú¡A®Ê¶¥¦Ü²Ä¤»Â¾¶¥¤¤¾Ç±Ð¨|¤G¯Å±Ð®v¡AÁ~ÄÂI¬°555¡A¦Û¤G¹s¤@¤K¦~¤K¤ë¤C¤é°_¥Í®Ä¡C
Án ©ú
¬°µÛ¦³Ãö®Ä¤O¡A®Ú¾Ú²Ä12/2015¸¹ªk«ß²Ä¤E±ø²Ä¤@´Ú¤Î²Ä¤Q¤±ø¡]¤T¡^¶µªº³W©w¡A¥»§½¥H¤£¨ã´Áªº¦æ¬F¥ô¥Î¦X¦P¥ô¥Îªº²Ä¤@¾¶¥¤@µ¥§Þ³Nû¼B»ñ»ö¡A¦Û¤G¹s¤@¤K¦~¤K¤ë¤Q¤¤é½Õ¾¦Ü¤¤°ê»P¸²»y°ê®a¸g¶T¦X§@½×¾Â±`³]¯µ®Ñ³B»²§U¿ì¤½«Ç¤§¤é°_¡A¨ä¦b¥»§½ªº¦X¦P¥¢®Ä¡C
¡X¡X¡X
¤G¹s¤@¤K¦~¤K¤ë¤K¤é©ó¤å¤Æ§½
¥N§½ªø ±ç´f±Ó
ªÀ ·| ¤u §@ §½
Án ©ú ®Ñ
ºKn
¤G¹s¤@¤K¦~°]¬F¦~«×²Ä¤G¦¸¹wºâ×§ï
®Ú¾Ú²Ä2/2018¸¹¦æ¬Fªk³W²Ä¤¤Q¤G±ø¤Î²Ä¤¤Q¤T±ø²Ä¤´Úªº³W©w¡A¯÷¤½§G¤U¦C¡]¿Dªù¯S§O¦æ¬F°Ï°]¬F¹wºâ/¤G¹s¤@¤K¡^´Ú¶µÂಾ¡G
¡X¡X¡X
¤G¹s¤@¤K¦~¤K¤ë¤T¤é©óªÀ·|¤u§@§½¡X¡X§½ªø ¶ÀÆA±ö
Åé ¨| §½
§å ¥Ü ºK ¿ý
ºK¿ý¦ÛªÀ·|¤å¤Æ¥q¥qªø©ó¤G¹s¤@¤K¦~¤»¤ë¤Q¤G¤é§@¥Xªº§å¥Ü¡G
³¯ºZ°í¡X¡X®Ú¾Ú²Ä6/2010¸¹ªk«ß²Ä¤Q¤G±ø©Mªþ¥óªí¤G¡B²Ä14/2009¸¹ªk«ß²Ä¤C±ø²Ä¤T´Ú¡BÅé¨|§½²Ä31/GP/2016¸¹§å¥Ü©M²Ä32/GP/2016¸¹§å¥Ü¡A¥H¤Î²Ä12/2015¸¹ªk«ß²Ä¥|±ø©M²Ä¤±ø²Ä¤T´Ú¡]¤@¡^ªº³W©w¡A¥H¤£¨ã´Áªº¦æ¬F¥ô¥Î¦X¦P¨î«×¸u¥Î¨Ã¥H¹ê²ß¤è¦¡¶i¤J¤Gµ¥°ª¯Å½Ã¥Í§Þ³Nû¾µ{¡]±d´_¾°È½dÃ¥¡X¡Xª«²zªvÀø¡^¡AÁ~ÄÂI¬°440ÂI¡A¬°´Á¤@¦~¡A¦Û¤G¹s¤@¤K¦~¤K¤ë¤»¤é°_¥Í®Ä¡C
±iºÑ¾ì¡B¹Q¤å²Ü¤Î§õ¤å¯E¡X¡X®Ú¾Ú²Ä6/2010¸¹ªk«ß²Ä¤Q¤G±ø©Mªþ¥óªí¤G¡B²Ä14/2009¸¹ªk«ß²Ä¤C±ø²Ä¤T´Ú¡BÅé¨|§½²Ä31/GP/2016¸¹§å¥Ü©M²Ä32/GP/2016¸¹§å¥Ü¡A¥H¤Î²Ä12/2015¸¹ªk«ß²Ä¥|±ø©M²Ä¤±ø²Ä¤T´Ú¡]¤@¡^ªº³W©w¡A¥H¦æ¬F¥ô¥Î¦X¦P¨î«×¸u¥Î¨Ã¥H¹ê²ß¤è¦¡¶i¤J¤Gµ¥°ª¯Å½Ã¥Í§Þ³Nû¾µ{¡]±d´_¾°È½dÃ¥¡X¡Xª«²zªvÀø¡^¡AÁ~ÄÂI¬°440ÂI¡A¬°´Á¤@¦~¡A¦Û¤G¹s¤@¤K¦~¤K¤ë¤»¤é°_¥Í®Ä¡C
¡X¡X¡X
¤G¹s¤@¤K¦~¤K¤ë¤E¤é©óÅé¨|§½
§½ªø ¼ï¥ÃÅv
®È ¹C ¾Ç °|
§å ¥Ü ºK ¿ý
®Ú¾ÚªÀ·|¤å¤Æ¥q¥qªø©ó¤G¹s¤@¤K¦~¤C¤ë¤G¤Q¥|¤é¤§§å¥Ü¡G
®Ú¾Ú²{¦æ¡m¿Dªù¤½¦@¦æ¬F¤u§@¤Hû³q«h¡n²Ä¤@¦Ê¤T¤Q¤C±ø¤Î²Ä¤@¦Ê¥|¤Q±ø¤§³W©w¡A³B©óµu´ÁµLÁ~°²ª¬ªpªº¥»¾Ç°|½T©w©e¥ôªº²Ä¤T¾¶¥¯S¯Å§Þ³Nû§õ¼ä²ü¡AÀò§åã±µÄòªø´ÁµLÁ~°²¡A¦Û¤G¹s¤@¤K¦~¤K¤ë¤Q¤»¤é¦Ü¤G¹s¤G¤C¦~¤K¤ë¤Q¤¤é¡C
®Ú¾ÚªÀ·|¤å¤Æ¥q¥qªø©ó¤G¹s¤@¤K¦~¤C¤ë¤G¤Q¤C¤é¤§§å¥Ü¡G
®Ú¾Ú²Ä12/2015¸¹ªk«ß²Ä¤»±ø²Ä¤G´Ú¡]¤@¡^¶µªº³W©w¡A¤U¦C¦æ¬F¥ô¥Î¦X¦P¤Hûקאּªø´Á¦æ¬F¥ô¥Î¦X¦P¡A¬°´Á¤T¦~¡G
¦óµú®¦¡A¯S¯Å§Þ³Nû¡A¦Û¤G¹s¤@¤K¦~¤C¤ë¤@¤é°_¥Í®Ä¡F
©P®a½÷©M³¯¼z©É¡A¯S¯Å§Þ³N»²¾Éû¡A¦Û¤G¹s¤@¤K¦~¤C¤ë¤@¤é°_¥Í®Ä¡F
¹ù¤ë´@¡Aº®u§Þ³N»²¾Éû¡A¦Û¤G¹s¤@¤K¦~¤C¤ë¤@¤é°_¥Í®Ä¡F
¿c¼z¶²©M´^µú®¦¡Aº®u¦æ¬F§Þ³N§U²zû¡A¦Û¤G¹s¤@¤K¦~¤C¤ë¤@¤é°_¥Í®Ä¡C
¡X¡X¡X
¤G¹s¤@¤K¦~¤K¤ë¤K¤é©ó®È¹C¾Ç°|
°Æ°|ªø ºÂ¬ü®S
ªÀ ·| «O »Ù °ò ª÷
§å ¥Ü ºK ¿ý
ºK¿ý¦Ûñ¸p¤H©ó¤G¹s¤@¤K¦~¤C¤ë¤T¤Q¤é§@¥Xªº§å¥Ü¡G
®Ú¾Ú²Ä12/2015¸¹ªk«ß²Ä¥|±ø²Ä¤G´Ú¡B²Ä¤T´Ú¤Î²Ä¤»±ø²Ä¤@´Úªº³W©w¡A¤U¦C¤u§@¤Hû¦b¥»°òª÷¾á¥ô¦p¤U¾°Èªº¦æ¬F¥ô¥Î¦X¦PÄò´Á¤@¦~¡G
±ç®üªL¡B¾H¯º«Ì¡B±ç®¦®¦¤Î´¿¥Ã±d¡A²Ä¤@¾¶¥º®u§Þ³N»²¾Éû¡A¦Û¤G¹s¤@¤K¦~¤Q¤ë¤@¤é°_¥Í®Ä¡AÁ~ÄÂI¬°350ÂI¡C
Án ©ú ®Ñ
ºKn
¤G¹s¤@¤K¦~°]¬F¦~«×²Ä¤@¦¸¹wºâ×§ï
®Ú¾Ú²Ä2/2018¸¹¦æ¬Fªk³W²Ä¤¤Q¤G±ø¤Î²Ä¤¤Q¤T±ø²Ä¤´Úªº³W©w¡A¯÷¤½§G¤U¦C¡]¿Dªù¯S§O¦æ¬F°Ï°]¬F¹wºâ/¤G¹s¤@¤K¡^´Ú¶µÂಾ¡G
¤G¹s¤@¤K¦~¤C¤ë¤G¤Q¤»¤é©óªÀ·|«O»Ù°òª÷¡X¡X¦æ¬FºÞ²z©eû·|¡G®e¥úÄ£¡A³¯Ä_¶³¡A°K³Í²M¡A¼B¥Ã¸Û¡A¦¿¾U½÷
¡X¡X¡X
¤G¹s¤@¤K¦~¤K¤ë¤C¤é©óªÀ·|«O»Ù°òª÷¡X¡X¦æ¬FºÞ²z©eû·|¥D®u ®e¥úÄ£
Åé ¨| °ò ª÷
Án ©ú ®Ñ
ºKn
¤G¹s¤@¤K¦~°]¬F¦~«×²Ä¥|¦¸¹wºâ×§ï
®Ú¾Ú²Ä2/2018¸¹¦æ¬Fªk³W²Ä¤¤Q¤G±ø¤Î²Ä¤¤Q¤T±ø²Ä¤´Úªº³W©w¡A¯÷¤½§G¤U¦C¡]¿Dªù¯S§O¦æ¬F°Ï°]¬F¹wºâ/¤G¹s¤@¤K¡^´Ú¶µÂಾ¡G
ºKn
¿Dªù¤jÁɨ®
¤G¹s¤@¤K¦~°]¬F¦~«×²Ä¤@¦¸´Ú¶µ¤À°t
®Ú¾Ú²Ä2/2018¸¹¦æ¬Fªk³W²Ä¤¤Q¤G±ø¤Î²Ä¤¤Q¤T±ø²Ä¤´Úªº³W©w¡A¯÷¤½§G¤U¦C¡]¿Dªù¯S§O¦æ¬F°Ï°]¬F¹wºâ/¤G¹s¤@¤K¡^´Ú¶µÂಾ¡G
¡X¡X¡X
¤G¹s¤@¤K¦~¤K¤ë¤E¤é©óÅé¨|°òª÷¡X¡X¦æ¬FºÞ²z©eû·|¥D®u ¼ï¥ÃÅv
®È ¹C ¦M ¾÷ ³B ²z ¿ì ¤½ «Ç
§å ¥Ü ºK ¿ý
ºK¿ý¦ÛªÀ·|¤å¤Æ¥q¥qªø©ó¤G¹s¤@¤K¦~¤K¤ë¤@¤é§@¥Xªº§å¥Ü¡G
¾H¤Ö©ú¡X¡X®Ú¾Ú²Ä12/2015¸¹ªk«ß¡m¤½¦@³¡ªù³Ò°Ê¦X¦P¨î«×¡n²Ä¤G¤Q¥|±ø²Ä¤T´Ú¡]¤G¡^¶µ¤§³W©w¡A¨ä¦b¥»¿ì¤½«Ç¾á¥ô²Ä¤G¾¶¥»´«¬¨®½ø¥q¾÷¤§ªø´Á¦æ¬F¥ô¥Î¦X¦Pקאּ¤£¨ã´Áªº¦æ¬F¥ô¥Î¦X¦P¡A¦Û¤G¹s¤@¤K¦~¤C¤ë¤T¤Q¤@¤é°_¥Í®Ä¡C
¡X¡X¡X
¤G¹s¤@¤K¦~¤K¤ë¤C¤é©ó®È¹C¦M¾÷³B²z¿ì¤½«Ç
¥N¨ó½Õû µ{½ÃªF
®ü ¨Æ ¤Î ¤ô °È §½
§å ¥Ü ºK ¿ý
ºK¿ý¦Ûñ¸p¤H©ó¤G¹s¤@¤K¦~¤¤ë¤G¤Q¤@¤é§@¥Xªº§å¥Ü¡G
¥»§½§Þ³N¤u¤HSebastião Augusto Lobato de Faria©ó¤G¹s¤@¤K¦~¤K¤ë¤G¤é°_¦]¹F¦~ÄÖ¤W¡A¬G¨ä¤£¨ã´Áªº¦æ¬F¥ô¥Î¦X¦P¥ç©ó¦P¤é°_¥¢®Ä¡C
ºK¿ý¦Ûñ¸p¤H©ó¤G¹s¤@¤K¦~¤»¤ë¤G¤Q¤¤é§@¥Xªº§å¥Ü¡G
À³±ç¬üªY¤§½Ð¨D¡A¨ä©ó¥»§½¾á¥ô²Ä¤@¾¶¥¤Gµ¥§Þ³Nû¤§¤£¨ã´Áªº¦æ¬F¥ô¥Î¦X¦P¡A¦Û¤G¹s¤@¤K¦~¤K¤ë¤@¤é°_¤©¥H¸Ñ°£¡C
¡X¡X¡X
¤G¹s¤@¤K¦~¤K¤ë¤C¤é©ó®ü¨Æ¤Î¤ô°È§½
§½ªø ¶ÀÁJ¤å
¶l ¹q §½
§å ¥Ü ºK ¿ý
ºK¿ý¦Ûñ¸p¤H©ó¤G¹s¤@¤K¦~¤C¤ë¤T¤Q¤@¤é§@¥Xªº§å¥Ü¡G
®Ú¾Ú¸g²Ä4/2017¸¹ªk«ßק諸²Ä14/2009¸¹ªk«ß²Ä¤Q¤T±ø²Ä¤@´Ú¡]¤G¡^¶µ©M²Ä¥|´Ú¡A¥H¤Î²Ä12/2015¸¹ªk«ß²Ä¥|±ø²Ä¤G´Úªº³W©w¡A¥Hªþµù§Î¦¡×§ïªLøÊ¦b¥»§½¾á¥ô¾°Èªº¦æ¬F¥ô¥Î¦X¦P²Ä¤T±ø´Ú¡AÂର²Ä¤G¾¶¥º®u¦æ¬F§Þ³N§U²zû¡AÁ~ÄÂI¬°275ÂI¡A¦Û¤G¹s¤@¤K¦~¤K¤ë¤K¤é°_¥Í®Ä¡C
®Ú¾Ú¸g²Ä4/2017¸¹ªk«ßק諸²Ä14/2009¸¹ªk«ß²Ä¤Q¤T±ø²Ä¤G´Ú¡]¤T¡^¶µ¦Ü¡]¥|¡^¶µ¡B²Ä¤T´Ú©M²Ä¥|´Ú¡A¥H¤Î²Ä12/2015¸¹ªk«ß²Ä¥|±ø²Ä¤G´Úªº³W©w¡A¥Hªþµù§Î¦¡×§ï¤U¦C¤Hû¦b¥»§½¾á¥ô¾°Èªº¦æ¬F¥ô¥Î¦X¦P²Ä¤T±ø´Ú¡A¾¯Å©MÁ~ÄÂI¤À§O¦p¤U¡G
³¯µØ¥J¡BÁé³Ó±j¤ÎñK°¶ªÃ¡A¬Ò¦Û¤G¹s¤@¤K¦~¤K¤ë¤G¤é°_Âର²Ä¤»Â¾¶¥¶l®t¡AÁ~ÄÂI¬°240ÂI¡F
¶À¤l°·¡A¦Û¤G¹s¤@¤K¦~¤K¤ë¤G¤é°_Âର²Ä¤Â¾¶¥¶l®t¡AÁ~ÄÂI¬°220ÂI¡F
ªL¼íªQ¡A¦Û¤G¹s¤@¤K¦~¤K¤ë¤G¤Q¥|¤é°_Âର²Ä¤C¾¶¥§Þ³N¤u¤H¡AÁ~ÄÂI¬°240ÂI¡F
±i§Q¶¯¤Î¦ó°¶¥Í¡A¬Ò¦Û¤G¹s¤@¤K¦~¤K¤ë¤G¤é°_Âର²Ä¤»Â¾¶¥¶ÔÂø¤Hû¡AÁ~ÄÂI¬°160ÂI¡C
ºK¿ý¦Ûñ¸p¤H©ó¤G¹s¤@¤K¦~¤K¤ë¤K¤é§@¥Xªº§å¥Ü¡G
®Ú¾Ú¸g²Ä4/2017¸¹ªk«ßק諸²Ä14/2009¸¹ªk«ß²Ä¤Q¥|±ø²Ä¤@´Ú¡]¤@¡^¶µ¡B¸g²Ä23/2017¸¹¦æ¬Fªk³Wק諸²Ä14/2016¸¹¦æ¬Fªk³W²Ä¤G±ø¡]¤T¡^¶µ¤Î²Ä¤±ø¡B¥H¤Î²{¦æ¡m¿Dªù¤½¦@¦æ¬F¤u§@¤Hû³q«h¡n²Ä¤G¤Q¤G±ø²Ä¤K´Úa¡^¶µªº³W©w¡A²Ä¤T¾¶¥ÅU°Ý°ª¯Å§Þ³Nû³¯¼w¶¯¡B¤ý¦w»ö¤Î©P^«í¡AÀò½T©w©e¥ô¬°¥»§½¤Hû½s¨î°ª¯Å§Þ³Nû¾µ{²Ä¤@¾¶¥º®uÅU°Ý°ª¯Å§Þ³Nû¡AÁ~ÄÂI¬°660ÂI¡C
®Ú¾Ú¸g²Ä4/2017¸¹ªk«ßק諸²Ä14/2009¸¹ªk«ß²Ä¤Q¥|±ø²Ä¤@´Ú¡]¤@¡^¶µ¡B¸g²Ä23/2017¸¹¦æ¬Fªk³Wק諸²Ä14/2016¸¹¦æ¬Fªk³W²Ä¤G±ø¡]¤T¡^¶µ¤Î²Ä¤±ø¡B¥H¤Î²{¦æ¡m¿Dªù¤½¦@¦æ¬F¤u§@¤Hû³q«h¡n²Ä¤G¤Q¤G±ø²Ä¤K´Úa¡^¶µªº³W©w¡A²Ä¤T¾¶¥¯S¯Å¶l°È¤åû¾¤½¬¡AÀò½T©w©e¥ô¬°¥»§½¤Hû½s¨î¶l°È¤åû¾µ{²Ä¤@¾¶¥º®u¯S¯Å¶l°È¤åû¡AÁ~ÄÂI¬°345ÂI¡C
®Ú¾Ú¸g²Ä4/2017¸¹ªk«ßק諸²Ä14/2009¸¹ªk«ß²Ä¤Q¥|±ø²Ä¤@´Ú¡]¤G¡^¶µ¡B¸g²Ä23/2017¸¹¦æ¬Fªk³Wק諸²Ä14/2016¸¹¦æ¬Fªk³W²Ä¤G±ø¡]¤T¡^¶µ¤Î²Ä¤±ø¡B¥H¤Î²Ä12/2015¸¹ªk«ß²Ä¥|±øªº³W©w¡A²{¥Hªþµù§Î¦¡×§ï¤U¦C¤u§@¤Hû¦b¥»§½¾á¥ô¾°Èªº¦æ¬F¥ô¥Î¦X¦P²Ä¤T±ø´Ú¡A¾¯Å©MÁ~ÄÂI¦p¤U¡G
³¯ÄRµØ¤Î¶À¹ÅªY¡A¾¯ÅÅܧ󬰲Ĥ@¾¶¥º®u§Þ³Nû¡AÁ~ÄÂI¬°450ÂI¡F
·¨¤pÃÀ¡A¾¯ÅÅܧ󬰸ê°T½dÃ¥²Ä¤@¾¶¥º®u§Þ³Nû¡AÁ~ÄÂI¬°450ÂI¡F
³¯¶h¶²¡B³¯¹ÅªY¤ÎªL³Í¯ô¡A¾¯ÅÅܧ󬰲Ĥ@¾¶¥¯S¯Å¦æ¬F§Þ³N§U²zû¡AÁ~ÄÂI¬°305ÂI¡F
§ù¿þ»¨¡A¾¯ÅÅܧ󬰲Ĥ@¾¶¥¤@µ¥¦æ¬F§Þ³N§U²zû¡AÁ~ÄÂI¬°230ÂI¡C
¡X¡X¡X
¤G¹s¤@¤K¦~¤K¤ë¤E¤é©ó¶l¹q§½
§½ªø ¼B´f©ú
¦a ²y ª« ²z º[ ®ð ¶H §½
§å ¥Ü ºK ¿ý
ºK¿ý¦Ûñ¸p¤H©ó¤G¹s¤@¤K¦~¤C¤ë¤T¤Q¤@¤é§@¥X¤§§å¥Ü¡G
®Ú¾Ú²Ä12/2015¸¹ªk«ß²Ä¥|±ø²Ä¤G´Ú¤Î²Ä¤»±ø²Ä¤@´Úªº³W©w¡A±i©[¦t¦b¥»§½¾á¥ô²Ä¤@¾¶¥¤Gµ¥§Þ³Nû¾°È¤§¦æ¬F¥ô¥Î¦X¦P¡A¦Û¤G¹s¤@¤K¦~¤E¤ë¤@¤é°_Äò´Á¤@¦~¡C
Án ©ú
¯÷Án©ú¡A¶À®¶¬P¦]Àò©w´Á©e¥ô¬°¥»§½®ð¶HºÊ¹î¤¤¤ß¥D¥ô¡A®Ú¾Ú²{¦æ¡m¿Dªù¤½¦@¦æ¬F¤u§@¤Hû³q«h¡n²Ä¥|¤Q¤±ø¤§³W©w¡A¨ä¥H¤£¨ã´Áªº¦æ¬F¥ô¥Î¦X¦P¤è¦¡¾á¥ô¥»§½²Ä¤@¾¶¥º®u®ð¶H°ª¯Å§Þ³Nû¤§Â¾°È¡A¦Û¤G¹s¤@¤K¦~¤K¤ë¤@¤é°_¦Û°Ê²×¤î¡C
¡X¡X¡X
¤G¹s¤@¤K¦~¤K¤ë¤»¤é©ó¦a²yª«²zº[®ð¶H§½
§½ªø ÃÓ°¶¤å
Àô ¹Ò «O Å@ §½
§å ¥Ü ºK ¿ý
ºK¿ý¦Û§½ªø©ó¤G¹s¤@¤K¦~¤K¤ë¤G¤é§@¥Xªº§å¥Ü¡G
¼B¬ç´@¡B§õ¼z¬À¡B§õ¤ÖµØ¡BÃÓÄ_®¦¡B¶À·ç¬Â¤Î¶À¾å®e¡X¡X®Ú¾Ú¸g²Ä4/2017¸¹ªk«ßק諸²Ä14/2009¸¹ªk«ß²Ä¤Q¥|±ø²Ä¤@´Ú¡]¤G¡^¶µ¡B²Ä¤G´Ú¤Î²Ä¥|´Ú¡B¸g²Ä23/2017¸¹¦æ¬Fªk³Wק諸²Ä14/2016¸¹¦æ¬Fªk³W²Ä¤±ø²Ä¤@´Ú¥H¤Î²Ä12/2015¸¹ªk«ß²Ä¥|±ø²Ä¤G´Ú¤§³W©w¡A¥Hªþµù§Î¦¡×§ï¦b¥»§½¾á¥ô¾°Èªº¦æ¬F¥ô¥Î¦X¦P²Ä¤T±ø´Ú¡AÂର¦¬¨ú¬Ûµ¥©ó²Ä¤@¾¶¥º®u§Þ³N½]¬dªºÁ~ÄÂI305ÂI¡A¨Ã¦Û¥»§å¥ÜºKn©ó¡m¿Dªù¯S§O¦æ¬F°Ï¤½³ø¡n¤½§G¤é°_¥Í®Ä¡C
¡X¡X¡X
¤G¹s¤@¤K¦~¤K¤ë¤»¤é©óÀô¹Ò«OÅ@§½
§½ªø ÃÓ°¶¤å
¥Á ¯è §½
Án ©ú ®Ñ
ºKn
¤G¹s¤@¤K¦~°]¬F¦~«×²Ä¤G¦¸¹wºâ×§ï
®Ú¾Ú²Ä2/2018¸¹¦æ¬Fªk³W²Ä¤¤Q¤G±ø¤Î²Ä¤¤Q¤T±ø²Ä¤´Úªº³W©w¡A¯÷¤½§G¤U¦C¡]¿Dªù¯S§O¦æ¬F°Ï°]¬F¹wºâ/¤G¹s¤@¤K¡^´Ú¶µÂಾ¡G
¡X¡X¡X
¤G¹s¤@¤K¦~¤K¤ë¤E¤é©ó¥Á¯è§½¡X¡X§½ªø ³¯¿o¶¯



