²Ä 21 ´Á
¤½ÃÒ¸p¤½§i¤Î¨ä¥L¤½§i
¤G¹s¤G¥|¦~¤¤ë¤G¤Q¤G¤é¡A¬P´Á¤T
¿Dªù¯S§O¦æ¬F°Ï
 ¤½ÃÒ¸p¤½§i¤Î¨ä¥L¤½§i
      ¤½ÃÒ¸p¤½§i¤Î¨ä¥L¤½§i
²Ä ¤@ ¤½ ÃÒ ¸p
¸f´ä¿D¤jÆW°Ï¤Ö¨àÃÀ³N¹Î
¬°着¤½§G¤§¥Øªº¡A³z¹L¤G¹s¤G¥|¦~¤¤ë¤Q¤T¤éñ¸pªº¸g»{ÃÒ¤å®Ñ³]¥ß¤F¤WzªÀ¹Î¡C¸ÓªÀ¹Îªº³]¥ß¤å¥ó©M³¹µ{¤w¦sÀɩ󥻸pªºªÀ¹Î¤Î°]¹Î¦sÀɤå¥ó¤º¡AÀɮײÕ1¸¹52/2024¡C
¸f´ä¿D¤jÆW°Ï¤Ö¨àÃÀ³N¹Î
³¹µ{
²Ä¤@³¹ Á`«h
²Ä¤@±ø ¦WºÙ
¥»·|¤¤¤å¦WºÙ¬°¡§¸f´ä¿D¤jÆW°Ï¤Ö¨àÃÀ³N¹Î¡¨¡C
²Ä¤G±ø ©v¦®
Áp¦P¸f´ä¿D¤jÆW°Ï¦U«°¥«¡A¦@¦P¥´³y¡§¥ß¨¬ÆW°Ï¡B¨ó¦P´ä¿D¡B±¦V¥@¬É¡¨¤§¤Ö¨àÃÀ³N¥æ¬y¥»O¡A¿n·¥¶}®i«C¤Ö¦~ªº¤H¤å¥æ¬y¬¡°Ê¡A³z¹LÁ|¿ì¦hºØ§Î¦¡ªºÃÀ³N¥æ¬y¡A¼W¥[«C¤Ö¦~¹ï°ê®aªº»{¦P·P©M¥Á±Úªº¾®»E¤O¡C
²Ä¤T±ø ·|§}
¥»·|·|§}³]¦b¿Dªù¶ý»Õ¤Wµó33¦Ü35¸¹¶ý»Õ¤½°Èû¤j·H²Ä¤@®y6¼ÓC¡F¦b»Ýn®É¡A¸g·|û¤j·|¨Mij¥i¾E©¹¿Dªù¨ä¥L¦a¤è¡A¨Ãªþ³]Äݨä¥L¿ì¨Æ³B¡C
²Ä¥|±ø ©Ê½è¤Î¦sÄò´Á
¥»·|¬°«D¦È§Q¹ÎÅé¡A¥»·|¤§¦sÄò´Á¬°µL´Á¡C
²Ä¤G³¹ ·|û
²Ä¤±ø ·|û¸ê®æ
¤Z»{¦P¥»·|³¹µ{¨Ã¶ñ¼g¤J·|ªí®æ¡A¦b¸g²z¨Æ·|§åã«á«K¥i§Y¦¨¬°·|û¡C
²Ä¤»±ø ·|ûÅv¯q¤ÎºÖ§Q
1¡B¨É¦³¿ïÁ|Åv¡B³Q¿ïÁ|Åv©Mªí¨MÅv¡F
2¡B·|û¦³Åv°Ñ¥[¥»·|ªº¬¡°Ê¡A¦P®É¨É¦³¥»·|´£¨ÑªA°ÈªºÀu¥ýÅv¡F
3¡B¹ï·|°È¦³«ØÄ³¤Î§åµûÅv¡F
4¡B¤J·|¦ÛÄ@¡A°h·|¦Û¥Ñ¡C
²Ä¤C±ø ·|û¸q°È
1¡B·|û¦³¿í¦u¥»·|³¹µ{¤Î·|û¤j·|¨Mij¡A¿n·¥°Ñ¥[¥»·|¦U¶µ·|°È¤Î¬¡°Ê¡A¥H¤Î«ö³W©wú¯Ç·|¶Oªº¸q°È¡C
²Ä¤K±ø ²×¤î·|Äy
1¡B·|û¦p¦³ÄY«¹H¤Ï¥»·|³¹µ{ªº¦æ¬°©Î¯}Ãa¥»·|ªº¦WÅAªÌ¡A¸g¥Ñ²z¨Æ·|3/4¦h¼Æ²z¨Æªí¨M³q¹L¡A¥i¤©¥H¶}°£·|Äyªº³B¤À¡C
2¡B¥ô¦óì¦]³Q²×¤î©Î¶}°£·|û¸ê®æªº·|û¡A¤£±on¨D°h¦^¤w¸g¥æ¥I¤§·|¶O©Î¥ô¦ó¨ä¥L´Ú¶µ¡A¨Ã¶·¥I²M¦b°h·|®É©Ò¤íªº·|¶O¤Î¨ä¥¦´Ú¶µ¡C
²Ä¤T³¹ ²Õ´¾÷Ãö
²Ä¤E±ø ¾÷Ãö
¥»·|²Õ´¾÷Ãö¥]¬A·|û¤j·|丶²z¨Æ·|¤ÎºÊ¨Æ·|¡C
²Ä¤Q±ø ·|û¤j·|
1.·|û¤j·|¥Ñ©Ò¦³·|û²Õ¦¨¡A¬°¥»·|³Ì°ªÅv¤O¾÷Ãö¡At³d¨î©w©Îק糧·|³¹µ{¡F¿ïÁ|·|û¤j·|¥D®u¹Î¡B²z¨Æ·|¤ÎºÊ¨Æ·|¦¨û¡F¨M©w·|°È¤è°w¡F¼f¬d©M§åã²z¨Æ·|¤u§@³ø§i¡C
2.·|û¤j·|³]¤@¥D®u¹Î¡A¨ä¦¨û¥Ñ³Ì¤Ö¤T¦W©Î¥H¤W³æ¼Æ¦¨û²Õ¦¨¡A³]¥D®u¤@¦W¡B°Æ¥D®uY¤z¦W¡A¨C©¡¥ô´Á¬°¤T¦~¡A¥i³s¿ï³s¥ô¡C
3.·|û¤j·|¨C¦~Á|¦æ¦Ü¤Ö¤@¦¸·|ij¡A¥Ñ²z¨Æ·|³Ì¤Ö´£«e¤K¤Ñ³z¹L±¾¸¹«H©Î³Ì¤Ö´£«e¤K¤Ñ³z¹Lñ¦¬¤§¤è¦¡¥l¶°¡A³qª¾®Ñ¤º¶·µù©ú·|ij¤§¤é´Á¡B®É¶¡¡B¦aÂI©Mijµ{¡F¥Ñ¤£¤Ö©óÁ`¼Æ¤¤À¤§¤@¤§·|û¥H¥¿·í¥Øªº´£¥Xn¨D®É¡A¥ç±o¥l¶}·|û¤j·|¡C
4.·|û¤j·|¥²¶·¦b¥b¼Æ¥H¤W·|û¥X®uªº±¡ªp¤U¤è¥i¨Mij¡C¦p¥X®u¤H¼Æ¤£¨¬¥b¼Æ¡A«h¥i©ó¥b¤p®É«á§@²Ä¤G¦¸¥l¶°¡A¸g²Ä¤G¦¸¥l¶°ªº·|û¤j·|¤£½×¤H¼Æ¦h¹è¡A§¡¥i§@¥X¨Mij¡C
5.·|û¤j·|·|ij¨Mij¨ú¨M©ó¥X®u·|û¤§µ´¹ï¦h¼Æ²¼¡FµM¦Ó¡Aק糧·|³¹µ{¤§¨Mij¨ú¨M©ó¥X®u·|û¥|¤À¤§¤TªºÃÙ¦P²¼¡A¦Ó¸Ñ´²¥»·|ªº¨Mij«h¨ú¨M©ó¥þÅé·|û¥|¤À¤§¤TªºÃÙ¦P²¼¡C
²Ä¤Q¤@±ø ²z¨Æ·|
1.²z¨Æ·|¬°¥»·|ªº¦æ¬FºÞ²z¾÷Ãö¡At³d°õ¦æ·|û¤j·|¨Mij©MºÞ²zªk¤H¡C
2.²z¨Æ·|¥Ñ³Ì¤Ö¤T¦W©Î¥H¤W³æ¼Æ¦¨û²Õ¦¨¡A³]²z¨Æªø¤@¦W¡B°Æ²z¨ÆªøY¤z¦W¡B¤Î¯µ®Ñªø¤@¦W¤Î²z¨ÆY¤z¦W¡C¨C©¡¥ô´Á¬°¤T¦~¡A¥i³s¿ï³s¥ô¡C
3.²z¨Æ·|¨C¦~¥l¶}¤@¦¸·|ij¡A¥Ñ²z¨Æªøt³d¥l¶°¡C·|ij¦b¦³¹L¥b¼Æ²z¨Æ·|¦¨û¥X®u®É¡A¤è¥iij¨M¨Æ©y¡A¦Ó¨Mij¨ú¨M©ó¥X®u¦¨ûªº¹L¥b¼ÆÃÙ¦P²¼¡C
²Ä¤Q¤G±ø ºÊ¨Æ·|
1.ºÊ¨Æ·|¬°¥»·|ºÊ¹î¾÷Ãö¡At³dºÊ¹î²z¨Æ·|¤é±`·|°È¹B§@©M°]¬F¦¬¤ä¡C
2.ºÊ¨Æ·|¥Ñ³Ì¤Ö¤T¦W©Î¥H¤W³æ¼Æ¦¨û²Õ¦¨¡A³]ºÊ¨Æªø¤@¦W¡B°ÆºÊ¨ÆªøY¤z¦W¤ÎºÊ¨ÆY¤z¦W¡C¨C©¡¥ô´Á¬°¤T¦~¡A¥i³s¿ï³s¥ô¡C
3.ºÊ¨Æ·|¨C¦~¥l¶}¤@¦¸·|ij¡A¥ÑºÊ¨Æªøt³d¥l¶°¡C·|ij¦b¦³¹L¥b¼ÆºÊ¨Æ·|¦¨û¥X®u®É¡A¤è¥iÁ¿¨M¨Æ©y¡A¦Ó¨Mij¨ú¨M©ó¥X®u¦¨ûªº¹L¥b¼ÆÃÙ¦P²¼¡C
²Ä¤Q¤T±ø ºaÅA¾»Î
¬°±À°Ê¤Îµo®i·|°È¡A¸g·|û¤j·|§åã¨Mij¡A¥»·|¥i´°¸uªÀ·|½å¹F¡B¼ö¤ß¤H¤h¾á¥ô¥»·|¤§¦U¯ÅºaÅA¾»Î¡C
²Ä¥|³¹ ¸g¶O
²Ä¤Q¥|±ø ¥»·|¦¬¤J¨Ó·½
1¡B·|¶O¡F
2¡BªÀ·|¼ö¤ß¤H¤h¤Î¹ÎÅ饸·~¤§®½§U¡F
3¡B¬F©²¾÷ºc¸ê§U¡C
²Ä¤³¹ ªþ«h
²Ä¤Q¤±ø ³¹µ{¸ÑÄÀÅv
¥»·|³¹µ{ªº¸ÑÄÀÅvÄÝ©ó·|û¤j·|¡C
²Ä¤Q¤»±ø «á¸Éªk«ß
¥»³¹µ{¥¼ºÉ¤§¨Æ©y¡A·§¨Ì¿Dªù²{¦æªk«ß°õ¦æ¡C
¤G¹s¤G¥|¦~¤¤ë¤Q¤T¤é©ó²Ä¤@¤½ÃÒ¸p
§U²zû ¶À®ü·Ê
²Ä ¤@ ¤½ ÃÒ ¸p
¿Dªù¹|Ác¬P¦±ÃÀ·|
¬°着¤½§G¤§¥Øªº¡A³z¹L¤G¹s¤G¥|¦~¤¤ë¤Q¤T¤éñ¸pªº¸g»{ÃÒ¤å®Ñ³]¥ß¤F¤WzªÀ¹Î¡C¸ÓªÀ¹Îªº³]¥ß¤å¥ó©M³¹µ{¤w¦sÀɩ󥻸pªºªÀ¹Î¤Î°]¹Î¦sÀɤå¥ó¤º¡AÀɮײÕ1¸¹53/2024¡C
¿Dªù¹|Ác¬P¦±ÃÀ·|
³¹µ{
²Ä¤@³¹
Á`«h
²Ä¤@±ø
¦WºÙ
¥»·|©w¦W¬°¡§¿Dªù¹|Ác¬P¦±ÃÀ·|¡¨¡C
²Ä¤G±ø
·|§}
¥»·|·|§}³]©ó¿Dªù®üÃä°¨¸ô¼áºÑ»Õ²Ä¤G´Á13¼ÓB«Ç¡C
²Ä¤T±ø
©v¦®
¥»·|¬°«D¦È§Q²Õ¾¡A¦sÄò´Á¬°µL´Á¡A©v¦®¬O¥°·¨°ê®a«Dª«½è¤å¤Æ¿ò²£¡A±À¼s¸f¼@¤å¤Æ¡C
²Ä¤G³¹
·|û
²Ä¥|±ø
·|û¸ê®æ
1. ¤Z¥»¿D¦±ÃÀ·R¦nªÌ¡A§¡¥i¤J·|¡A²z¨Æ·|§åã«á¡A«K¥i¦¨¬°·|û¡C
²Ä¤±ø
Åv§Q»P¸q°È
1. ·|û¦³¿ïÁ|Åv»P³Q¿ïÁ|Åv¡A¤Î¥i°Ñ¥[¥»·|Á|¿ìªº¦U¶µ¬¡°Ê¡C
2. ·|û»Ý¿í¦u¥»·|³¹µ{¡AY¹H¤Ï¥»·|³¹µ{©Î¦æ¬°¤£À˪̡A¸g²z¨Æ·|³q¹L¥i¨ú®ø¨ä·|û¸ê®æ¡C
²Ä¤T³¹
²Õ´¾÷Ãö
²Ä¤»±ø
¾÷Ãö
¥»·|²Õ´¾÷Ãö¥]¬A·|û¤j·|¡B²z¨Æ·|¤ÎºÊ¨Æ·|¡C
²Ä¤C±ø
·|û¤j·|
1. ¥»·|³Ì°ªÅv¤O¾÷Ãö¬°·|û¤j·|¡At³d¨î©w©Îק糧·|³¹µ{¡F¿ïÁ|·|û¤j·|·|ªø¡B°Æ·|ªø¡B¯µ®Ñ¡B²z¨Æ·|¤ÎºÊ¨Æ·|¦¨û¡F¨M©w·|°È¤è°w¡A¼f¬d©M§åã²z¨Æ·|¤u§@³ø§i¡C
2. ·|û¤j·|³]¤@¦W·|ªø¡B¤@¦W°Æ·|ªø¤Î¤@¦W¯µ®Ñ¡C¨C©¡¥ô´Á¬°¤T¦~¡A¥i³s¿ï³s¥ô¡C
3. ·|û¤j·|¨C¦~¦Ü¤ÖÁ|¦æ¤@¦¸¡A¥Ñ²z¨Æ·|³Ì¤Ö´£«e¤K¤Ñ³z¹L±¾¸¹«H¤è¦¡©Î¥Hñ¦¬¤§¤è¦¡¥l¶°¡A¥l¶°®Ñ¤º¶·µù©ú·|ij¤§¤é´Á¡B®É¶¡¡B¦aÂI¤Îijµ{¡C¥Ñ¤£¤Ö©óÁ`¼Æ¤¤À¤§¤@¤§·|û¥H¥¿·í¥Øªº´£¥X½Ð¨D®É¡A¥ç±o¥l¶}·|û¤j·|¡C
4. ·|û¤j·|¥²¶·¦b¥b¼Æ¥H¤W·|û¥X®uªº±¡ªp¤U¤è¥i¨Mij¡C¦p¥X®u¤H¼Æ¤£¨¬¥b¼Æ¡A«h¥i©ó¥b¤p®É«á§@²Ä¤G¦¸¥l¶°¡A¸g²Ä¤G¦¸¥l¶°ªº·|û¤j·|¤£½×¤H¼Æ¦h¹è¡A§¡¥i§@¥X¨Mij¡C
5. ·|û¤j·|ªº¨Mij¨ú¨M©ó¥X®u·|û¤§µ´¹ï¦h¼Æ²¼¡FµM¦Ó¡Aק糧·|³¹µ{¤§¨Mij¨ú¨M©ó¥X®u·|û¥|¤À¤§¤TªºÃÙ¦P²¼¡A¦Ó¸Ñ´²¥»·|ªº¨Mij«h¨ú¨M©ó¥þÅé·|û¥|¤À¤§¤TªºÃÙ¦P²¼¡C
²Ä¤K±ø
²z¨Æ·|
1. ¥»·|¦æ¬FºÞ²z¾÷Ãö¬°²z¨Æ·|¡At³d°õ¦æ·|û¤j·|¨Mij©MºÞ²zªk¤H¡C
2. ²z¨Æ·|¥Ñ³Ì¤Ö¤T¦W©Î¥H¤W³æ¼Æ¦¨û²Õ¦¨¡A³]²z¨Æªø¤@¦W¡B°Æ²z¨Æªø¤@¦W¤Î²z¨ÆY¤z¦W¡C¨C©¡¥ô´Á¬°¤T¦~¡A¥i³s¿ï³s¥ô¡C
3. ²z¨Æ·|·|ij¨C¦~¥l¶}¤@¦¸¡C·|ij¦b¦³¹L¥b¼Æ²z¨Æ·|¦¨û¥X®u®É¡A¤è¥iij¨M¨Æ©y¡A¨Mij¨ú¨M©ó¥X®u¦¨ûªº¹L¥b¼ÆÃÙ¦P²¼¡C
²Ä¤E±ø
ºÊ¨Æ·|
1. ¥»·|ºÊ¹î¾÷Ãö¬°ºÊ¨Æ·|¡At³dºÊ¹î²z¨Æ·|¤é±`·|°È¹B§@©M°]¬F¦¬¤ä¡C
2. ºÊ¨Æ·|¥Ñ³Ì¤Ö¤T¦W©Î¥H¤W³æ¼Æ¦¨û²Õ¦¨¡A³]ºÊ¨Æªø¤@¦W¡B°ÆºÊ¨Æªø¤@¦W¤ÎºÊ¨ÆY¤z¦W¡C¨C©¡¥ô´Á¬°¤T¦~¡A¥i³s¿ï³s¥ô¡C
3. ºÊ¨Æ·|·|ij¨C¦~¥l¶}¤@¦¸¡C·|ij¦b¦³¹L¥b¼ÆºÊ¨Æ·|¦¨û¥X®u®É¡A¤è¥iij¨M¨Æ©y¡A¨Mij¨ú¨M©ó¥X®u¦¨ûªº¹L¥b¼ÆÃÙ¦P²¼¡C
²Ä¥|³¹
¸g¶O
²Ä¤Q±ø
¥»·|¸g¶O¤Î¤@¤Á¶}¤ä¨Ó¦Û¦U·|ûú¥æªº·|¶O¤ÎªÀ·|¾÷ºcªºÃÙ§U¡C
²Ä¤³¹
ªþ«h
²Ä¤Q¤@±ø
¥»·|³¹µ{¦p¦³¥¼ºÉµ½¤§³B¡A¥Ñ·|û¤j·|ij¨M×§ï¡C
¤G¹s¤G¥|¦~¤¤ë¤Q¤T¤é©ó²Ä¤@¤½ÃÒ¸p
§U²zû ¶À®ü·Ê
²Ä ¤@ ¤½ ÃÒ ¸p
¿Dªù°ê»Ú°ª®Õ«°¥«³Ð·s«P¶i·|
¬°着¤½§G¤§¥Øªº¡A³z¹L¤G¹s¤G¥|¦~¤¤ë¤Q¥|¤éñ¸pªº¸g»{ÃÒ¤å®Ñ³]¥ß¤F¤WzªÀ¹Î¡C¸ÓªÀ¹Îªº³]¥ß¤å¥ó©M³¹µ{¤w¦sÀɩ󥻸pªºªÀ¹Î¤Î°]¹Î¦sÀɤå¥ó¤º¡AÀɮײÕ1¸¹54/2024¡C
¿Dªù°ê»Ú°ª®Õ«°¥«³Ð·s«P¶i·|
³¹µ{
²Ä¤@³¹¡@Á`«h
²Ä¤@±ø¡@¦WºÙ
¥»·|¤¤¤å¦WºÙ¬°¡u¿Dªù°ê»Ú°ª®Õ«°¥«³Ð·s«P¶i·|¡v¡C
²Ä¤G±ø¡@·|§}
¥»·|·|§}³]©ó¿Dªù¨ÈÂׯÀµó32¸¹1¼Ó¡C¸g·|û¤j·|ªº¨Mij¡A·|§}¥i¾E¦Ü¥»¿D¥ô¦ó¦a¤è¡C
²Ä¤T±ø¡@©v¦®
¥»·|¬°«D¦È§Q¹ÎÅé¡A¦sÄò´Á¬°µL´Á¡C©v¦®¬°¡GÁp¦X°ê»Ú°ª®Õªº³Ð·s¯à¶q¡A±À°Ê¿Dªù¦¨¬°¥þ²yª¾¦W°ª®Õ¶}®i¬ã¾Ç»P³Ð·s¦¨ªG®iÄýªº¥Øªº¦a¡A«P¶i¿Dªùªº¦h¤¸¤Æµo®i¡A±À°Ê¿Dªù¦¨¬°¤å¤Æ»P¬ì§Þ¨ó¦Pµo®iªº°ê»Ú³Ð·s«¬«°¥«¡C
²Ä¤G³¹¡@·|û
²Ä¥|±ø¡@·|û¸ê®æ
¤ZÃÙ¦¨¥»·|©v¦®¤Î»{¦P¥»·|³¹µ{ªÌ¡A§¡¥i¥Ó½Ð¬°¥»·|·|û¡C¸g¥»·|²z¨Æ·|§åã¨Ã¥Bú¯Ç¥»·|·|¶O«á¡A«K¥i¦¨¬°¥»·|·|û¡C
²Ä¤±ø¡@·|ûÅv§Q¤Î¸q°È
·|û¦³¿ïÁ|Åv©M³Q¿ïÁ|Åv¡A¦³Åv°Ñ»P¥»·|Á|¿ì¤@¤Á¬¡°Ê©M¨É¦³¥»·|´£¨ÑªººÖ§Q¡C·|û¦³¿í¦u¥»·|³¹µ{©M¨Mij¡A¥H¤Îú¥æ·|¶Oªº¸q°È¡C¤Z¹H¤Ï¥»·|³¹µ{¡B¦³·l¥»·|ÁnÅA¤Î§Q¯qªÌ¡A¥»·|¦³Åv¨ú®ø¨ä·|Äy¡C
²Ä¤T³¹ ²Õ´¾÷Ãö
²Ä¤»±ø ¾÷Ãö
¥»·|²Õ´¾÷Ãö¥]¬A·|û¤j·|¡B²z¨Æ·|¤ÎºÊ¨Æ·|¡C
²Ä¤C±ø ·|û¤j·|
1.·|û¤j·|¥Ñ©Ò¦³·|û²Õ¦¨¡A¬°¥»·|³Ì°ªÅv¤O¾÷Ãö¡At³d¨î©w©Îק糧·|³¹µ{¡G¿ïÁ|·|û¤j·|¥D®u¹Î¡B²z¨Æ·|¤ÎºÊ¨Æ·|¦¨û¡F¨M©w·|°È¤è°w¡F¼f¬d©M§åã²z¨Æ·|¤u§@³ø§i¡C
2.·|û¤j·|³]¤@¥D®u¹Î¡A¨ä¦¨û¥Ñ¤@¦W¥D®u¡B¤@¦W°Æ¥D®u¤Î¤@¦W¯µ®Ñ²Õ¦¨¡A¨C©¡¥ô´Á¬°¤T¦~¡A¥i³s¿ï³s¥ô¡C
3.·|û¤j·|¨C¦~Á|¦æ¦Ü¤Ö¤@¦¸·|ij¡A¥Ñ²z¨Æ·|³Ì¤Ö´£«e¤K¤Ñ³z¹L±¾¸¹«H©Î³Ì¤Ö´£«e¤K¤Ñ³z¹Lñ¦¬¤§¤è¦¡¥l¶°¡A³qª¾®Ñ¤º¶·µù©ú·|ij¤§¤é´Á¡B®É¶¡¡B¦aÂI©Mijµ{¡G¥Ñ¤£¤Ö©óÁ`¼Æ¤¤À¤§¤@¤§·|û¥H¥¿·í¥Øªº´£¥Xn¨D®É¡A¥ç±o¥l¶}·|û¤j·|¡C
4.·|û¤j·|¥²¶·¦b¥b¼Æ¥H¤W·|û¥X®uªº±¡ªp¤U¤è¥i¨Mij¡C¦p¥X®u¤H¼Æ¤£¨¬¥b¼Æ¡A«h¥i©ó¥b¤p®É«á§@²Ä¤G¦¸¥l¶°¡A¸g²Ä¤G¦¸¥l¶°ªº·|û¤j·|¤£½×¤H¼Æ¦h¹è¡A§¡¥i§@¥X¨Mij¡C
5.·|û¤j·|·|ij¨Mij¨ú¨M©ó¥X®u·|û¤§µ´¹ï¦h¼Æ²¼¡FµM¦Ó¡Aק糧·|³¹µ{¤§¨Mij¨ú¨M©ó¥X®u·|û¥|¤À¤§¤TªºÃÙ¦P²¼¡A¦Ó¸Ñ´²¥»·|ªº¨Mij«h¨ú¨M©ó¥þÅé·|û¥|¤À¤§¤TªºÃÙ¦P²¼¡C
²Ä¤K±ø ²z¨Æ·|
1.²z¨Æ·|¬°¥»·|ªº¦æ¬FºÞ²z¾÷Ãö¡At³d°õ¦æ·|û¤j·|¨Mij©MºÞ²zªk¤H¡C
2.²z¨Æ·|¥Ñ³Ì¤Ö¤T¦W©Î¥H¤W³æ¼Æ¦¨û²Õ¦¨¡A³]²z¨Æªø¤@¦W¡B°Æ²z¨Æªø¤@¦W¤Î²z¨ÆY¤z¦W¡C¨C©¡¥ô´Á¬°¤T¦~¡A¥i³s¿ï³s¥ô¡C
3.²z¨Æ·|¨C¥b¦~¥l¶}¤@¦¸·|ij¡A¥Ñ²z¨Æªøt³d¥l¶°¡C·|ij¦b¦³¹L¥b¼Æ²z¨Æ·|¦¨û¥X®u®É¡A¤è¥iij¨M¨Æ©y¡A¦Ó¨Mij¨ú¨M©ó¥X®u¦¨ûªº¹L¥b¼ÆÃÙ¦P²¼¡C
²Ä¤E±ø ºÊ¨Æ·|
1.ºÊ¨Æ·|¬°¥»·|ºÊ¹î¾÷Ãö¡At³dºÊ¹î²z¨Æ·|¤é±`·|°È¹B§@©M°]¬F¦¬¤ä¡C
2.ºÊ¨Æ·|¥Ñ³Ì¤Ö¤T¦W©Î¥H¤W³æ¼Æ¦¨û²Õ¦¨¡A³]ºÊ¨Æªø¤@¦W¡B°ÆºÊ¨Æªø¤@¦W¤ÎºÊ¨ÆY¤z¦W¡C¨C©¡¥ô´Á¬°¤T¦~¡A¥i³s¿ï³s¥ô¡C
3.ºÊ¨Æ·|¨C¥b¦~¥l¶}¤@¦¸·|ij¡A¥ÑºÊ¨Æªøt³d¥l¶°¡C·|ij¦b¦³¹L¥b¼ÆºÊ¨Æ·|¦¨û¥X®u®É¡A¤è¥iij¨M¨Æ©y¡A¦Ó¨Mij¨ú¨M©ó¥X®u¦¨ûªº¹L¥b¼ÆÃÙ¦P²¼¡C
²Ä¥|³¹¡@¸êª÷©M°]°ÈºÞ²z
²Ä¤Q±ø¡@¸g¶O
¥»·|¸g¶O·½©ó·|û·|¶O¡BÃÙ§U¡B®½ÃØ¡B¦¬¤Jµ¥¡C
·|¶O¥Ñ²z¨Æ·|½T©w¨Ã³ø§i·|û¤j·|¡C
²Ä¤Q¤@±ø¡@°]°ÈºÞ²z
¥»·|«Ø¥ß°·¥þªº°]°ÈºÞ²z¨î«×¡A«O»Ù¥»·|¸êª÷ªº¦w¥þ©M¦X²z¨Ï¥Î¡C
¥»·|¨C¦~¶i¦æ¤@¦¸°]°È¼fp¡C
²Ä¤³¹¡@ªþ«h
²Ä¤Q¤G±ø ³Ì«á±ø´Ú
¥»³¹µ{©Ò¥¼³W½d¤§±¡ªp¡A¨Ì¿Dªù²{¦æªk¨Ò°õ¦æ¡C
¤G¹s¤G¥|¦~¤¤ë¤Q¥|¤é©ó²Ä¤@¤½ÃÒ¸p
§U²zû ¶À®ü·Ê
²Ä ¤@ ¤½ ÃÒ ¸p
¿Dªù·Ó«G¥Í©R±Ð¨|·|
¬°着¤½§G¤§¥Øªº¡A³z¹L¤G¹s¤G¥|¦~¤¤ë¤Q¥|¤éñ¸pªº¸g»{ÃÒ¤å®Ñ³]¥ß¤F¤WzªÀ¹Î¡C¸ÓªÀ¹Îªº³]¥ß¤å¥ó©M³¹µ{¤w¦sÀɩ󥻸pªºªÀ¹Î¤Î°]¹Î¦sÀɤå¥ó¤º¡AÀɮײÕ1¸¹55/2024¡C
¿Dªù·Ó«G¥Í©R±Ð¨|·|
³¹µ{
²Ä¤@³¹ Á`«h
²Ä¤@±ø ¦WºÙ
¥»·|¤¤¤å¦WºÙ¬°¡§¿Dªù·Ó«G¥Í©R±Ð¨|·|¡¨¡A¸²¤å¦WºÙ¬°¡§Esclarecer Associação de Educação para A Vida de Macau¡¨¡A^¤å¦WºÙ¬°¡§Enlighten Association of Life Education of Macao¡¨¡]¥H¤U²ºÙ¡§¥»·|¡¨¡^
²Ä¤G±ø ©v¦®
¥»·|©v¦®¬°¹Îµ²¥þ¿D¡A¥H¦Ü¥þ°ê¦³§Ó±À¼s©Î±q¨Æ¥Í©R±Ð¨|ªº¦P¤¯¡A«Øºc¦³¤¤µØ¤å¤Æ¯S¦â¤§¥Í©R±Ð¨|¥æ¬y»P¤½¯qªA°È¤Î¾Ç²ßªº¥¥x¡A¦bªÀ·|¥Í¬¡¤¤¹ê½î¥Í©R±Ð¨|¤§¥»¸q¡C
²Ä¤T±ø ·|§}
¥»·|·|§}³]©ó¿Dªù¿³¶©µó40¸¹µØ±j¤j·H¦a¤UA¡C¸g¥»·|·|û¤j·|¨Mij¡A¥»·|·|§}¥i¾E©¹¿Dªù¥ô¦ó¦a¤è¡C
²Ä¥|±ø ©Ê½è¤Î¦sÄò´Á
¥»·|¬°«D¦È§Q¹ÎÅé¡A¥»·|¤§¦sÄò´Á¬°µL´Á¡C
²Ä¤G³¹ ·|û
²Ä¤±ø ·|û¸ê®æ
¤ZÃÙ¦P¥»·|³¹µ{ªº¹ÎÅé©MÓ¤H¡A¸g¥Ó½Ð¨Ã³ø¥»·|²z¨Æ·|¼f®Ö³q¹L¡A§¡¥i¦¨¬°¥»·|¹ÎÅé·|û©ÎÓ¤H·|û¡C
²Ä¤»±ø Åv§Q¤Î¸q°È
1. ·|û¨É¦³¤U¦CÅv§Q¡G
¡]¤@¡^¥»·|ªº¿ïÁ|Åv¡B³Q¿ïÁ|Åv¡Bªí¨MÅv¡F
¡]¤G¡^°Ñ¥[¥»·|¦UÃþ¬¡°ÊªºÀu¥ýÅv¡C
2. ·|û¦³¿í¦u¥»·|³¹µ{¡A°õ¦æû¤j·|ªº¨Mij¡A¥H¤ÎºûÅ@¥»·|ªº¦XªkÅv¯qªº¸q°È¡C
²Ä¤C±ø ¸ê®æ¨ú®ø
¤Z¹H¤Ï¥»¿Dªk«ßªk³W©Î¥»·|³¹µ{¤Î¦³Ãö³W©w¡Aµ¹¥»·|³y¦¨ÄY«¤£¨}¼vÅTªº¹ÎÅé·|û¤ÎÓ¤H·|û¡A¸g²z¨Æ·|ªí¨M³q¹L¡A¥i¨ú®ø¨ä·|û¸ê®æ¡C
²Ä¤T³¹ ²Õ´¾÷Ãö
²Ä¤K±ø ¾÷Ãö
¥»·|²Õ´¾÷Ãö¥]¬A·|û¤j·|¡B²z¨Æ·|¤ÎºÊ¨Æ·|¡C
²Ä¤E±ø ·|û¤j·|
1. ·|û¤j·|¥Ñ©Ò¦³·|û²Õ¦¨¡A¬°¥»·|³Ì°ªÅv¤O¾÷Ãö¡At³d¨î©w©Îק糧·|³¹µ{¡F¿ïÁ|·|û¤j·|¥D®u¹Î¡B²z¨Æ·|¤ÎºÊ¨Æ·|¦¨û¡F¨M©w·|°È¤è°w¡F¼f¬d©M§åã²z¨Æ·|¤u§@³ø§i¡C
2. ·|û¤j·|³]¤@¥D®u¹Î¡A¨ä¦¨û¥Ñ¤@¦W¥D®u¡B¤@¦W°Æ¥D®u¤Î¤@¦W¯µ®Ñ²Õ¦¨¡A¨C©¡¥ô´Á¬°¤T¦~¡A¥i³s¿ï³s¥ô¡C
3. ·|û¤j·|¨C¦~Á|¦æ¦Ü¤Ö¤@¦¸·|ij¡A¥Ñ²z¨Æ·|³Ì¤Ö´£«e¤K¤Ñ³z¹L±¾¸¹«H©Î³Ì¤Ö´£«e¤K¤Ñ³z¹Lñ¦¬¤§¤è¦¡¥l¶°¡A³qª¾®Ñ¤º¶·µù©ú·|ij¤§¤é´Á¡B®É¶¡¡B¦aÂI©Mijµ{¡F¥Ñ¤£¤Ö©óÁ`¼Æ¤¤À¤§¤@¤§·|û¥H¥¿·í¥Øªº´£¥Xn¨D®É¡A¥ç±o¥l¶}·|û¤j·|¡C
4. ·|û¤j·|¥²¶·¦b¥b¼Æ¥H¤W·|û¥X®uªº±¡ªp¤U¤è¥i¨Mij¡C¦p¥X®u¤H¼Æ¤£¨¬¥b¼Æ¡A«h¥i©ó¥b¤p®É«á§@²Ä¤G¦¸¥l¶°¡A¸g²Ä¤G¦¸¥l¶°ªº·|û¤j·|¤£½×¤H¼Æ¦h¹è¡A§¡¥i§@¥X¨Mij¡C
5. ·|û¤j·|·|ij¨Mij¨ú¨M©ó¥X®u·|û¤§µ´¹ï¦h¼Æ²¼¡FµM¦Ó¡Aק糧·|³¹µ{¤§¨Mij¨ú¨M©ó¥X®u·|û¥|¤À¤§¤TªºÃÙ¦P²¼¡A¦Ó¸Ñ´²¥»·|ªº¨Mij«h¨ú¨M©ó¥þÅé·|û¥|¤À¤§¤TªºÃÙ¦P²¼¡C
²Ä¤Q±ø ²z¨Æ·|
1. ²z¨Æ·|¬°¥»·|ªº¦æ¬FºÞ²z¾÷Ãö¡At³d°õ¦æ·|û¤j·|¨Mij©MºÞ²zªk¤H¡C
2. ²z¨Æ·|¥Ñ³Ì¤Ö¤T¦W©Î¥H¤W³æ¼Æ¦¨û²Õ¦¨¡A³]²z¨Æªø¤@¦W¡B°Æ²z¨Æªø¤@¦W¤Î²z¨ÆY¤z¦W¡C¨C©¡¥ô´Á¬°¤T¦~¡A¥i³s¿ï³s¥ô¡C
3. ²z¨Æ·|¨C¤@¦~¥l¶}¤@¦¸·|ij¡A¥Ñ²z¨Æªøt³d¥l¶°¡C·|ij¦b¦³¹L¥b¼Æ²z¨Æ·|¦¨û¥X®u®É¡A¤è¥iij¨M¨Æ©y¡A¦Ó¨Mij¨ú¨M©ó¥X®u¦¨ûªº¹L¥b¼ÆÃÙ¦P²¼¡C
²Ä¤Q¤@±ø ºÊ¨Æ·|
1. ºÊ¨Æ·|¬°¥»·|ºÊ¹î¾÷Ãö¡At³dºÊ¹î²z¨Æ·|¤é±`·|°È¹B§@©M°]¬F¦¬¤ä¡C
2. ºÊ¨Æ·|¥Ñ³Ì¤Ö¤T¦W©Î¥H¤W³æ¼Æ¦¨û²Õ¦¨¡A³]ºÊ¨Æªø¤@¦W¡B°ÆºÊ¨Æªø¤@¦W¤ÎºÊ¨ÆY¤d¦W¡C¨C©¡¥ô´Á¬°¤T¦~¡A¥i³s¿ï³s¥ô¡C
3. ºÊ¨Æ·|¨C¤@¦~¥l¶}¤@¦¸·|ij¡A¥ÑºÊ¨Æªøt³d¥l¶°¡C·|ij¦b¦³¹L¥b¼ÆºÊ¨Æ·|¦¨û¥X®u®É¡A¤è¥iij¨M¨Æ©y¡A¦Ó¨Mij¨ú¨M©ó¥X®u¦¨ûªº¹L¥b¼ÆÃÙ¦P²¼¡C
²Ä¥|³¹
¸ê²£ºÞ²z¤Î¨Ï¥Îì«h
²Ä¤Q¤G±ø ¸g¶O¨Ó·½
¥»·|¸g¶O¨Ó·½¡G
¡]¤@¡^·|¶O¡F
¡]¤G¡^®½ÃØ¡F
¡]¤T¡^¦U¬É¸ê§U¡F
¡]¥|¡^¨ä¥¦¦Xªk¦¬¤J¡C
²Ä¤Q¤T±ø ¸g¶O¨Ï¥Îì«h
¥»·|¸g¶O¥²¶·¥Î©ó¥»³¹µ{³W©wªº·~°È½d³ò©MªÀ¹Îªºµo®i¡A¤£±o¦b·|û¤¤¤À°t¡C
²Ä¤³¹
ªþ«h
²Ä¤Q¥|±ø
¥»·|§¹¦¨©v¦®©Î¦Û¦æ¸Ñ´²©Î¥Ñ©ó¨ä¥Lì¦]»Ýnµù¾P®É¡A¥Ñ²z¨Æ·|´£¥X²×¤î¨Mij¡A¸g¥þÅé·|û¥|¤À¤§¤TÃÙ¦P²¼³q¹L«áµù¾P¡C
²Ä¤Q¤±ø
¥»·|²×¤î«áªº³Ñ¾l°]²£¡A¥Î©óµo®i»P¥»·|©v¦®¬ÛÃöªºªÀ¹Î¡C
²Ä¤Q¤»±ø
¥»³¹µ{ªº¸ÑÄÀÅvÄÝ·|û¤j·|¡A¥»³¹µ{¥¼¦C©ú¤§¨Æ¶µ±N«ö¿Dªù²{¦æ¤§¦³Ãöªk«ß³W©w¡C
¤G¹s¤G¥|¦~¤¤ë¤Q¥|¤é©ó²Ä¤@¤½ÃÒ¸p
§U²zû ¶À®ü·Ê
²Ä ¤G ¤½ ÃÒ ¸p
¿Dªù¥@¬É«°¥««~µP«P¶i·|
¬°着¤½§G¤§¥Øªº¡A³z¹L¤G¹s¤G¥|¦~¤¤ë¤E¤éñ¸pªº¸g»{ÃÒ¤å®Ñ³]¥ß¤F¤WzªÀ¹Î¡C¸ÓªÀ¹Îªº³]¥ß¤å¥ó©M³¹µ{¤w¦sÀɩ󥻸p2024/ASS/M2Àɮײդº¡A½s¸¹¬°109¡C
¿Dªù¥@¬É«°¥««~µP«P¶i·|
³¹µ{
²Ä¤@³¹
Á`«h
²Ä¤@±ø¡X¡X¦WºÙ
¥»·|¤¤¤å¦WºÙ¬°¡§¿Dªù¥@¬É«°¥««~µP«P¶i·|¡¨¡A^¤å¦WºÙ¬°¡§THE WORLD CITY BRAND PROMOTION ASSOCIATION OF MACAO¡¨¡C
²Ä¤G±ø¡X¡X©v¦®
¥»·|¬°«D¦È§Q¹ÎÅé¡C©v¦®¬°«Å¶Ç©M±À¼s¿Dªù«°¥««~µP¡B¤å®È«~µP¡B²£·~«~µP¡F¥[±j¿Dªù»P¥@¬É¨ä¥L«°¥«ªº¥æ¬y»P¦X§@¡F³q¹Lºc«Ø¥@¬É«°¥««~µP´¼®w¡BÁ|¿ì¥@¬É«°¥««~µP¤j·|µ¥¡A¹ï¿Dªù«°¥«Â૬»Pµo®i°µ¥X°^Äm¡C
²Ä¤T±ø¡X¡X·|§}
¥»·|·|§}³]©ó¿Dªù¶Â¨FÀô¤¤µó«O§Q¹Fªá¶é²Ä¤»®y16¼ÓAV«Ç¡C ¸g·|û¤j·|¨Mij¡A¥»·|·|§}¥i¾E¦Ü¿Dªù¥ô¦ó¨ä¥L¦a¤è¡C
²Ä¤G³¹
·|û
²Ä¥|±ø¡X¡X·|û¸ê®æ
¤Z»{¦P¥»·|©v¦®¤ÎÄ@·N¿í¦u¥»·|³¹µ{ªÌ¡A¸g¥»·|²z¨Æ·|¼f®Ö§åã¤Î³q¹L«á¡A§¡¥i¦¨¬°¥»·|·|û¡C
²Ä¤±ø¡X¡X·|û¤§Åv§Q¤Î¸q°È
1. ·|û¦³¿ïÁ|Åv¤Î³Q¿ïÁ|Åv¡A¨É¦³¥»·|Á|¿ì¤@¤Á¬¡°Ê©MºÖ§QªºÅv§Q¡C
2. ·|û¦³¿í¦u·|³¹©M¨Mij¡A¥H¤Îú¥æ·|¶Oªº¸q°È¡C
²Ä¤T³¹
²Õ´¾÷Ãö
²Ä¤»±ø¡X¡X¾÷Ãö
¥»·|¤§²Õ´¾÷Ãö¥]¬A·|û¤j·|¡B²z¨Æ·|¤ÎºÊ¨Æ·|¡C
²Ä¤C±ø¡X¡X·|û¤j·|
1. ¥»·|³Ì°ªÅv¤O¾÷Ãö¬°·|û¤j·|¡A¥Ñ¥þÅé·|û²Õ¦¨¡At³d×§ï·|³¹¡F¿ïÁ|·|û¤j·|·|ªø¡B°Æ·|ªø¡B¯µ®Ñ©M²z¨Æ·|¡BºÊ¨Æ·|¦¨û¡F¨M©w·|°È¤è°w¡F¼f¬d©M§åã²z¨Æ·|¤u§@³ø§i¡C
2. ·|û¤j·|³]·|ªø¤@¦W¡B°Æ·|ªø¤@¦W¤Î¯µ®Ñ¤@¦W¡C¨C©¡¥ô´Á¬°¤T¦~¡A¥i³s¿ï³s¥ô¡C
3. ·|û¤j·|¨C¦~Á|¦æ¤@¦¸¡A¦Ü¤Ö´£«e¤K¤Ñ³z¹L±¾¸¹«H©Îñ¦¬¤§¤è¦¡¥l¶°¡A¥l¶°®Ñ¤º¶·µù©ú·|ij¤§¤é´Á¡B®É¶¡¡B¦aÂI©Mijµ{¡C
4. ק糧·|³¹µ{¤§¨Mij¡A»ÝÀò¥X®u·|û¥|¤À¤§¤TªºÃÙ¦P²¼¡F¸Ñ´²¥»·|ªº¨Mij¡A»ÝÀò¥þÅé·|û¥|¤À¤§¤TªºÃÙ¦P²¼¡C
5. ¥»·|¦b¤£¹H¤Ïªk«ß³W©w¤Î¥»·|³¹µ{ªºì«h¤U¡A±o¨î©w¥»·|¤º³¡³W³¹¡C¤º³¡³W³¹¤§¸ÑÄÀ¡B×§ï¤Î³q¹L¤§Åv§¡ÄÝ·|û¤j·|¡C
²Ä¤K±ø¡X¡X²z¨Æ·|
1. ¥»·|¦æ¬FºÞ²z¾÷Ãö¬°²z¨Æ·|¡At³d°õ¦æ·|û¤j·|¨Mij©M¤é±`¨ãÅé·|°È¡C
2. ²z¨Æ·|¥Ñ³Ì¤Ö¤T¦W©Î¥H¤W³æ¼Æ¦¨û²Õ¦¨¡A³]²z¨Æªø¤@¦W¡B°Æ²z¨Æªø¤@¦Ü¤T¦W¤Î²z¨Æ¤@¦Ü¤E¦W¡C¨C©¡¥ô´Á¬°¤T¦~¡A¥i³s¿ï³s¥ô¡C
3. ²z¨Æ·|·|ij¨C¦~¦Ü¤Ö¥l¶}¤@¦¸¡C·|ij¦b¦³¹L¥b¼Æ²z¨Æ·|¦¨û¥X®u®É¡A¤è¥iij¨M¨Æ©y¡A¨Mij¶·Àò¥X®u¦¨ûªºµ´¹ï¦h¼ÆÃÙ¦P²¼¤è¬°¦³®Ä¡C
²Ä¤E±ø¡X¡XºÊ¨Æ·|
1. ¥»·|ºÊ¹î¾÷Ãö¬°ºÊ¨Æ·|¡At³dºÊ¹î²z¨Æ·|¤é±`·|°È¹B§@©M°]¬F¦¬¤ä¡C
2. ºÊ¨Æ·|¥Ñ³Ì¤Ö¤T¦W©Î¥H¤W³æ¼Æ¦¨û²Õ¦¨¡A³]ºÊ¨Æªø¤@¦W¡B°ÆºÊ¨Æªø¤@¦Ü¤T¦W¤ÎºÊ¨Æ¤@¦Ü¤T¦W¡C¨C©¡¥ô´Á¬°¤T¦~¡A¥i³s¿ï³s¥ô¡C
²Ä¥|³¹
¸g¶O
²Ä¤Q±ø¡X¡X¸g¶O
¥»·|¤§¸g¶O·½©ó·|û·|¶O¤Î¦U¬É¤H¤hÃÙ§U¡AÕ¦³¤£¼Å©Î¯S§O»Ý¥Î´Ú®É¡A±o¥Ñ²z¨Æ·|¨M©wÄw¶Ò¤§¡C
²Ä¤³¹
ªþ«h
²Ä¤Q¤@±ø¡X¡X¥»³¹µ{ªº¸ÑÄÀÅvÄÝ¥»·|ªº·|û¤j·|¡C
¤G¹s¤G¥|¦~¤¤ë¤E¤é©ó²Ä¤G¤½ÃÒ¸p
¤Gµ¥§U²zû ÃQ©ú·uNgai Meng Fai
²Ä ¤G ¤½ ÃÒ ¸p
¿Dªù¼Ö½å°ê»Ú·Oµ½·|
¬°着¤½§G¤§¥Øªº¡A³z¹L¤G¹s¤G¥|¦~¤¤ë¤E¤éñ¸pªº¸g»{ÃÒ¤å®Ñ³]¥ß¤F¤WzªÀ¹Î¡C¸ÓªÀ¹Îªº³]¥ß¤å¥ó©M³¹µ{¤w¦sÀɩ󥻸p2024/ASS/M2Àɮײդº¡A½s¸¹¬°10X¡C
¿Dªù¼Ö½å°ê»Ú·Oµ½·|
³¹µ{
²Ä¤@³¹
Á`«h
²Ä¤@±ø ¦WºÙ
¥»·|¤¤¤å¦WºÙ¬°¡§¿Dªù¼Ö½å°ê»Ú·Oµ½·|¡¨¡A^¤å¦WºÙ¬°¡§LOK IN INTERNATIONAL CHARITY ASSOCIATION MACAU¡¨¡C
²Ä¤G±ø ©v¦®
¥»·|¬°«D¦È§Q¹ÎÅé¡C©v¦®¬°·R°ê·R¿D¡A±À°ÊªÀ·|·Oµ½¬¡°Ê¡AÃöÃhªÀ¸s¡A°Ñ»PªÀ·|ªA°È¡C
²Ä¤T±ø ·|§}
¥»·|·|§}³]©ó¿Dªù²üÄõ¶é¥¿µó86¸¹Äõb¤j·HA¾Q¡C
²Ä¤G³¹
·|û
²Ä¥|±ø ·|û¸ê®æ
¤ZÃÙ¦¨¥»·|©v¦®¤Î»{¦P¥»·|³¹µ{ªÌ¡A§¡¥i¥Ó½Ð¬°¥»·|·|û¡C¸g¥»·|²z¨Æ·|§åã«á¡A«K¥i¦¨¬°·|û¡C
²Ä¤±ø ·|ûÅv§Q¤Î¸q°È
(¤@) ·|û¦³¿ïÁ|Åv¤Î³Q¿ïÁ|Åv¡A¨É¦³¥»·|Á|¿ì¤@¤Á¬¡°Ê©MºÖ§QªºÅv§Q¡C
(¤G) ·|û¦³¿í¦u·|³¹©M¨Mij¡A¥H¤Îú¥æ·|¶Oªº¸q°È¡C
²Ä¤T³¹
²Õ´¾÷Ãö
²Ä¤»±ø ¾÷Ãö
¥»·|²Õ´¾÷Ãö¥]¬A·|û¤j·|¡B²z¨Æ·|¡BºÊ¨Æ·|¡C
²Ä¤C±ø ·|û¤j·|
(¤@) ¥»·|³Ì°ªÅv¤O¾÷Ãö¬°·|û¤j·|¡At³d×§ï·|³¹¡F¿ïÁ|·|û¤j·|¥D®u¡B°Æ¥D®u¡B¯µ®Ñ©M²z¨Æ·|¡BºÊ¨Æ·|¦¨û¡F¨M©w·|°È¤è°w¡F¼f¬d©M§åã²z¨Æ·|¤u§@³ø§i¡C
(¤G) ·|û¤j·|³]¥D®u¡B°Æ¥D®u¤Î¯µ®Ñ¦U¤@¦W¡C¨C©¡¥ô´Á¬°¤T¦~¡A¥i³s¿ï³s¥ô¡C
(¤T) ·|û¤j·|¨C¦~Á|¦æ¤@¦¸¡A¦Ü¤Ö´£«e¤K¤Ñ³z¹L±¾¸¹«H©Îñ¦¬¤§¤è¦¡¥l¶°¡A³qª¾®Ñ¤º¶·µù©ú·|ij¤§¤é´Á¡B®É¶¡¡B¦aÂI©Mijµ{¡C
(¥|) ק糧·|³¹µ{¤§¨Mij¡A¶·Àò¥X®u·|û¥|¤À¤§¤TªºÃÙ¦P²¼¡F¸Ñ´²¥»·|ªº¨Mij¡A¶·Àò¥þÅé·|û¥|¤À¤§¤TªºÃÙ¦P²¼¡C
(¤) ¥»·|¦b¤£¹H¤Ïªk«ß³W©w¤Î¥»·|³¹µ{ªºì«h¤U¡A±o¨î©w¥»·|¤º³¡³W³¹¡C¤º³¡³W³¹¤§¸ÑÄÀ¡B×§ï¤Î³q¹L¤§Åv§¡ÄÝ·|û¤j·|¡C
²Ä¤K±ø ²z¨Æ·|
(¤@) ¥»·|¦æ¬FºÞ²z¾÷Ãö¬°²z¨Æ·|¡At³d°õ¦æ·|û¤j·|¨Mij©M¤é±`¨ãÅé·|°È¡C
(¤G) ²z¨Æ·|¥Ñ³Ì¤Ö¤T¦W©Î¥H¤W³æ¼Æ¦¨û²Õ¦¨¡A³]²z¨Æªø¡B°Æ²z¨Æªø¦U¤@¦W¤Î²z¨ÆY¤z¦W¡C¨C©¡¥ô´Á¬°¤T¦~¡A¥i³s¿ï±o³s¥ô¡C
(¤T) ²z¨Æ·|ij¨C¤TÓ¤ë¥l¶}¤@¦¸¡C·|ij¦b¦³¹L¥b¼Æ²z¨Æ·|¦¨û¥X®u®É¡A¤è¥iij¨M¨Æ©y¡A¨Mij¶·Àò¥X®u¦¨ûªº絶¹ï¦h¼ÆÃÙ¦P²¼¤è¬°¦³®Ä¡C
²Ä¤E±ø ºÊ¨Æ·|
(¤@) ¥»·|ºÊ¹î¾÷Ãö¬°ºÊ¨Æ·|¡At³dºÊ¹î²z¨Æ·|¤é±`·|°È¹B§@©M°]¬F¦¬¤ä¡C
(¤G) ºÊ¨Æ·|¥Ñ³Ì¤Ö¤T¦W©Î¥H¤W³æ¼Æ¦¨û²Õ¦¨¡A³]ºÊ¨Æªø¡B°ÆºÊ¨Æªø¦U¤@¦W¤ÎºÊ¨ÆY¤z¦W¡C¨C©¡¥ô´Á¬°¤T¦~¡A¥i³s¿ï±o³s¥ô¡C
(¤T) ºÊ¨Æ·|ij¨C¤TÓ¤ë¥l¶}¤@¦¸¡C·|ij¦b¦³¹L¥b¼ÆºÊ¨Æ·|¦¨û¥X®u®É¡A¤è¥iij¨M¨Æ©y¡A¨Mij¶·Àò¥X®u¦¨ûªº絶¹ï¦h¼ÆÃÙ¦P²¼¤è¬°¦³®Ä¡C
²Ä¥|³¹ ªþ«h
²Ä¤Q±ø ¸g¶O
¥»·|¸g¶O·½©ó·|û·|¶O¤Î¦U¬É¤H¤hÃÙ§U¡AÕ¦³¤£¼Å©Î¯S§O»Ý¥Î´Ú®É¡A±o¥Ñ²z¨Æ·|¨M©wÄw¶Ò¤§¡C
¤G¹s¤G¥|¦~¤¤ë¤E¤é©ó²Ä¤G¤½ÃÒ¸p
¤Gµ¥§U²zû ÃQ©ú·uNgai Meng Fai
²Ä ¤G ¤½ ÃÒ ¸p
¿Dªù«eªu¬ì§Þ±Ð¨|¨ó·|
ASSOCIAÇÃO EDUCACIONAL DE TECNOLOGIA DE FRONTEIRA DE MACAU
¬°着¤½§G¤§¥Øªº¡A³z¹L¤G¹s¤G¥|¦~¤¤ë¤E¤éñ¸pªº¸g»{ÃÒ¤å®Ñ³]¥ß¤F¤WzªÀ¹Î¡C¸ÓªÀ¹Îªº³]¥ß¤å¥ó©M³¹µ{¤w¦sÀɩ󥻸p2024/ASS/M2Àɮײդº¡A½s¸¹¬°106¡C
¿Dªù«eªu¬ì§Þ±Ð¨|¨ó·|
ASSOCIAÇÃO EDUCACIONAL DE TECNOLOGIA DE FRONTEIRA DE MACAU
³¹µ{
²Ä¤@³¹
Á`«h
²Ä¤@±ø
¡]¦WºÙ¡^
¥»·|¤¤¤å¦WºÙ¬°¡§¿Dªù«eªu¬ì§Þ±Ð¨|¨ó·|¡¨¡A¤¤¤å²ºÙ¬°¡§«eªu¬ì±Ð¡¨¡A¸²¤å¦WºÙ¬°¡§ASSOCIAÇÃO EDUCACIONAL DE TECNOLOGIA DE FRONTEIRA DE MACAU¡¨¡A¸²¤å²ºÙ¬°¡§AETFM¡¨¡A^¤å¦WºÙ¬°¡§MACAO EDUCATIONAL ASSOCIATION OF FRONTIER TECHNOLOGY¡¨¡A^¤å²ºÙ¬°¡§MEAFT¡¨¡C
²Ä¤G±ø
¡]·|§}¡^
¥»·|·|§}³]©ó¿Dªù©]Ëí±×«Ñ19A¸¹¼w¸Û¤j·H4¼ÓA®y¡C¥i³z¹L·|û¤j·|¨Mij§ó´«·|§}¡C
²Ä¤T±ø
¡]©v¦®¡^
¥»·|¬°«D¦È§Q¹ÎÅé¡C©v¦®¬°¡G
(¤@) ±À¼s«eªu¬ì§Þª¾ÃÑ¡A¶}®i¬ì§Þ±Ð¨|¬¡°Ê¡A´£¤É¿Dªù«C¦~ªº¬ì§Þ¯À¾i¡A°ö¾i¿Dªù¥¼¨Óªº¬ì§Þ¤H¤~¡F
(¤G) »P°ê¤º¥~¬ì§Þ±Ð¨|¾÷ºc¦X§@¡A«Ø¥ß¥æ¬y¥¥x¡A±À°Ê¿Dªùªº¬ì§Þµo®i¡C
²Ä¥|±ø
¡]¦¬¤J¡^
¥»·|ªº¦¬¤J¨Ó·½¥Dn¬°¡G
(¤@) ·|ûú¥Iªº¤J·|¶O¤Î¦~¶O¡F
(¤G) ¨Ó¦Û¥»·|¬¡°Êªº¦¬¶O¡F
(¤T) ¤½¦@©Î¨p¤H¹êÅ骺¥ô¦ó¸ê§U¤Î®½Äm¡C
²Ä¤G³¹
·|û
²Ä¤±ø
¡]¤J·|¸ê®æ¡^
¤Z¦³·N¥[¤J¥»·|¨Ã»{¦P¥»·|©v¦®¤§¤H¤h¡A§¡¥i¥H®Ñ±¤è¦¡¦V¥»·|²z¨Æ·|´£¥X¥Ó½Ð¡A«Ý±o¨ì¥»·|²z¨Æ·|§åã«á¡A§Y¦¨¬°¥»·|·|û¡C
²Ä¤»±ø
¡]Åv§Q¡^
¥»·|·|û§¡¨É¦³¤U¦CÅv§Q¡G
(¤@) ¦³¿ïÁ|Åv¤Î³Q¿ïÁ|Åv¡F
(¤G) °Ñ»P¥»·|ªº¬¡°Ê¡B¨Ï¥Î¥»·|ªº³]¬I¡C
²Ä¤C±ø
¡]¸q°È¡^
·|û¥²¶·¼i¦æ¥H¤U¸q°È¡G
(¤@) ¿í¦u¥»·|³¹µ{¡B¤º³¡³W³¹¤Î¤j·|¨Mij¡F
(¤G) Àò¿ï¬°¥»·|¦U¾÷Ãöªº¦¨û«á¡A¥²¶·¼i¦æ¥ô´Á¤ºÀò¥»·|±Â¤©¤§¤u§@¡F
(¤T) «ö®Éú¥I¤J·|¶O¡B¦~¶O¡F
(¥|) °Ñ»P¤ä«ù¤Î¨ó§U¥»·|Á|¿ì¤§¦U¶µ¬¡°Ê¡F
(¤) ±À°Ê¥»·|·|°Èµo®i¡F
(¤») ºûÅ@¥»·|ªºÁnÅA¡C
²Ä¤K±ø
¡]°h¥X¤Î°£¦W¡^
(¤@) Y¦Û¦æ°h¥X¥»·|¡AÀ³´£«e³Ì¤Ö¤@Ó¤ë¥H®Ñ±§Î¦¡¦V¥»·|²z¨Æ·|´£¥X¥Ó½Ð¡C
(¤G) ·|ûY¹H¤Ï³¹µ{¤¤ªº³d¥ô¡A©Î¤£¿í¦u¥»·|©Ò¨Ì´`ªºì«h¡A¸g²z¨Æ·|³q¹L¡A¥i³QºM®ø·|Äy¡C
²Ä¤T³¹
¾÷Ãö
²Ä¤E±ø
¡]ªk¤Hªº¾÷Ãö¡^
¥»·|ªº¾÷Ãö¥]¬A·|û¤j·|¡B²z¨Æ·|¤ÎºÊ¨Æ·|¡C
²Ä¤Q±ø
(·|û¤j·|)
(¤@) ·|û¤j·|¬°¥»·|ªº³Ì°ªÅv¤O¾÷Ãö¡A·|û¤j·|¾Ö¦³¥H¤UÅv¡G
1. ³q¹L©M×q¥»·|³¹µ{¡F
2. ¿ïÁ|·|û¤j·|·|ªø¡B²z¨Æ·|¤ÎºÊ¨Æ·|¦¨û¡F
3. ¼fij©M³q¹L¦~«×·|°È³ø§i¡B°]°È±b¥Ø¤ÎºÊ¨Æ·|·N¨£®Ñ¡C
(¤G) ·|û¤j·|³]·|ªø¤@¦W¡A¨C©¡¥ô´Á¬°¤T¦~¡A¥i³s¿ï³s¥ô¡C
(¤T) ·|û¤j·|¨C¦~¦Ü¤Ö¥l¶}¤@¦¸¶g¦~¤j·|¡A³z¹L±¾¸¹«H©Îñ¦¬¤è¦¡¥l¶°¡A¨Ã¶·³Ì¤Ö©ó¤K¤Ñ«e³qª¾·|û¡C¥l¶°®Ñ¶·¦C©ú·|ij¤é´Á¡B®É¶¡¡B¦aÂI¤Îªþ¤Wijµ{¡C
(¥|) ·|ij¨Mij¨ú¨M©ó¥X®u·|û¤§µ´¹ï¦h¼Æ²¼¡CµM¦Ó¡A×§ï³¹µ{ªº¨Mij¡A¶·Àò¥X®u·|û¥|¤À¤§¤T¤§ÃÙ¦P²¼¡C¸Ñ´²¥»·|¤§¨Mij¡A¶·Àò¥þÅé·|û¥|¤À¤§¤T¤§ÃÙ¦P²¼¡C
²Ä¤Q¤@±ø
(²z¨Æ·|)
(¤@) ²z¨Æ·|¬°¥»·|ªº¦æ¬FºÞ²z¾÷Ãö¡At³dp¹º¤Î¨î©w¦UÃþ¬¡°Ê¡A³B²z¤é±`·|°È¡A°õ¦æ·|û¤j·|¨Mij¤Î´£¥æ¤u§@³ø§i¡C
(¤G) ²z¨Æ·|¥Ñ³Ì¤Ö¤T¦W©Î¥H¤W³æ¼Æ¦¨û²Õ¦¨¡A³]²z¨Æªø¤@¦W¡A°Æ²z¨Æ¤Î²z¨ÆY¤z¦W¡A¨C©¡¥ô´Á¬°¤T¦~¡A¥i³s¿ï³s¥ô¡C
²Ä¤Q¤G±ø
(ºÊ¨Æ·|)
(¤@) ºÊ¨Æ·|¬°¥»·|ºÊ¹î¾÷Ãö¡At³dºÊ¹î¦U¶µ·|°È¤u§@¤§¶i¦æ¤Î´£¥æ³ø§i¡A¨Ã¼f¬d°]°Èª¬ªp¤Î¦~«×±b¥Ø¡C
(¤G) ºÊ¨Æ·|¥Ñ³Ì¤Ö¤T¦W©Î¥H¤W³æ¼Æ¦¨û²Õ¦¨¡A³]ºÊ¨Æªø¤@¦W¡A°ÆºÊ¨Æ¤ÎºÊ¨ÆY¤z¦W¡A¨C©¡¥ô´Á¬°¤T¦~¡A¥i³s¿ï³s¥ô¡C
²Ä¥|³¹
¨ä¥L
²Ä¤Q¤T±ø
(³¹µ{¤§×§ï)
¥»³¹µ{¦p¦³¥¼ºÉµ½¤§³B¡A±o«ö¥»¿D¦³ÃöªÀ¹Îªk¤Hªºªk«ß³W©w¡A¸g²z¨Æ·|«ØÄ³¥æ¥Ñ·|û¤j·|³q¹L¶i¦æ×§ï¡C
¤G¹s¤G¥|¦~¤¤ë¤E¤é©ó²Ä¤G¤½ÃÒ¸p
¤Gµ¥§U²zû ÃQ©ú·uNgai Meng Fai
²Ä ¤G ¤½ ÃÒ ¸p
¿Dªù¸s¤ß¸fÃý¨I»¦±ÃÀ¨ó·|
¬°着¤½§G¤§¥Øªº¡A³z¹L¤G¹s¤G¥|¦~¤¤ë¤E¤éñ¸pªº¸g»{ÃÒ¤å®Ñ³]¥ß¤F¤WzªÀ¹Î¡C¸ÓªÀ¹Îªº³]¥ß¤å¥ó©M³¹µ{¤w¦sÀɩ󥻸p2024/ASS/M2Àɮײդº¡A½s¸¹¬°107¡C
¿Dªù¸s¤ß¸fÃý¨I»¦±ÃÀ¨ó·|
³¹µ{
²Ä¤@³¹ Á`«h
²Ä¤@±ø ¦WºÙ
¥»·|¤¤¤å¦WºÙ¬°¡§¿Dªù¸s¤ß¸fÃý¨I»¦±ÃÀ¨ó·|¡¨¡C
²Ä¤G±ø ©v¦®
¥»·|¬°«D¦È§Q¹ÎÅé¡C©v¦®¬°¥»¿D·~¾l³ß·R¸f¼@¡B¦±ÃÀ©M¦UÃþºq°Û¡A¦UÃþ»RÁФΦUÃþºt¥XÃÀ³N·R¦nªÌµ¥¡A§Q¥Î¤u¾l®É¶¡±À¼s¤WzÃÀ³N¤å¤Æ¡A®T¤v®T¤H¡C
²Ä¤T±ø ·|§}
¥»·|·|§}³]©ó¿Dªù¤Ñ¯««Ñ37¸¹«O¹Åb1¼ÓA«Ç
²Ä¤G³¹ ·|û
²Ä¥|±ø ·|û¸ê®æ
©Ò¦³¥»¿D¤H¨Æ¤H¤h¹ï¸f¼@¡B¦±ÃÀ©M¦UÃþºq°Û¡A¤Î¦UÃþ»RÁФΦUÃþºt¥XÃÀ³N·R¦nªÌµ¥¡A§¡¥i¥Ó½Ð¥[¤J¥»·|¦¨¬°·|û¡C¸g¥»·|²z¨Æ·|§åã«á¡A«K¥i¦¨¬°·|û¡C
²Ä¤±ø ·|ûÅv§Q¤Î¸q°È
¡]¤@¡^·|û¦³¿ïÁ|Åv¤Î³Q¿ïÁ|Åv¡A¨É¦³¥»·|Á|¿ì¤@¤Á¬¡°Ê©MºÖ§QªºÅv§Q¡C
¡]¤G¡^·|û¦³¿í¦u·|³¹©M¨Mij¡A¥H¤Îú¥æ·|¶Oªº¸q°È¡C
²Ä¤T³¹ ²Õ´¾÷Ãö
²Ä¤»±ø ¾÷Ãö
¥»·|²Õ´¾÷Ãö¥]¬A·|û¤j·|¡B²z¨Æªø¤ÎºÊ¨Æ·|¡C
²Ä¤C±ø ·|û¤j·|
¡]¤@¡^·|û¤j·|¥Ñ©Ò¦³·|û²Õ¦¨¡A¬°¥»·|³Ì°ªÅv¤O¾÷Ãö¡At³d×§ï·|³¹¡F¿ïÁ|·|û¤j·|¥D®u¡B°Æ¥D®u¡B²z¨Æ·|©MºÊ¨Æ·|¦¨û¡F¨M©w·|°È¤è°w¡F¼f¬d©M§åã²z¨Æ·|¤u§@³ø§i¡C
¡]¤G¡^·|û¤j·|³]¥D®u¤@¦W¡B°Æ¥D®u¤G¦W¡C¨C©¡¥ô´Á¤T¦~¡A¥i³s¿ï³s¥ô¡C
¡]¤T¡^·|û¤j·|¨C¦~¦Ü¤ÖÁ|¦æ¤@¦¸¡A¦Ü¤Ö´£«e¤K¤Ñ³z¹L±¾¸¹«H©Îñ¦¬¤§¤è¦¡¥l¶°¡A³qª¾®Ñ¤º¶·µù©ú·|ij¤§¤é´Á¡B®É¶¡¡B¦aÂI©Mijµ{¡C
¡]¥|¡^ק糧·|³¹µ{¤§¨Mij¡A¶·Àò¥X®u·|û¥|¤À¤TªºÃÙ¦P²¼¡A¸Ñ´²¥»·|ªº¨Mij¡A¶·Àò¥þÅé·|û¥|¤À¤§¤TªºÃÙ¦P²¼¡C
²Ä¤K±ø ²z¨Æ·|
¡]¤@¡^²z¨Æ·|¬°¥»·|ªº¦æ¬FºÞ²z¾÷Ãö¡At³d°õ¦æ·|û¤j·|¨M©w©MºÞ²zªk¤H¡C
¡]¤G¡^²z¨Æ·|¥Ñ³Ì¤Ö¤T¦W©Î¥H¤W³æ¼Æ¦¨û²Õ¦¨¡A³]²z¨Æªø¡B°Æ²z¨Æªø¦U¤@¦W¤Î²z¨ÆY¤z¦W¡C¨C©¡¥ô´Á¬°¤T¦~¡A¥i³s¿ï³s¥ô¡C
¡]¤T¡^²z¨Æ·|ij¨C¤TÓ¤ë¥l¶}¤@¦¸¡C·|ij¦b¦³¹L¥b¼Æ²z¨Æ·|¦¨û¥X®u®É¡A¤è¥iij¨M¨Æ©y¡A¨Mij¶·Àò¥X®u¦¨ûªºµ´¹ï¦h¼ÆÃÙ¦P²¼¤è¬°¦³®Ä¡C
²Ä¤E±ø ºÊ¨Æ·|
¡]¤@¡^ºÊ¨Æ·|¬°¥»·|ºÊ¹î¾÷Ãö¡At³dºÊ¹î²z¨Æ·|¤é±`·|°È³s§@©M°]¬F¦¬¤ä¡C
¡]¤G¡^ºÊ¨Æ·|¥Ñ³Ì¤Ö¤T¦W©Î¥H¤W³æ¼Æ¦¨û²Õ¦¨¡A³]ºÊ¨Æªø¡B°ÆºÊ¨Æªø¦U¤@¦W¤ÎºÊ¨ÆY¤z¦W¡C¨C©¡¥ô´Á¬°¤T¦~¡A¥i³s¿ï³s¥ô¡C
¡]¤T¡^ºÊ¨Æ·|ij¨C¤TÓ¤ë¥l¶}¤@¦¸¡C·|ij¦b¦³¹L¥b¼ÆºÊ¨Æ·|¦¨û¥X®u®É¡A¤è¥iij¨M¨Æ©y¡A¨Mij¶·Àò¥X®u¦¨ûªºµ´¦h¼ÆÃÙ¦P²¼¤è¬°¦³®Ä¡C
²Ä¤Q±ø ¨Ï¥»·|t³d¤§¤è¦¡
¥»·|©Ò¦³¦æ¬°¡B¦X¬ù¤Î¤å¥ó¶·²z¨Æ·|²z¨Æªø©M°Æ²z¨Æªø¦@¦Pñ¸p¡C
²Ä¥|³¹ ¸g¶O
²Ä¤Q¤@±ø ¸g¶O
¥»·|¸g¶O·½©ó·|û·|¶O¤Î¦U¬É¤H¤hÃÙ§U¡AÕ¦³¤£¼Å©Î¯S§O»Ý¥Î´Ú®É¡A±o¥Ñ²z¨Æ·|¨M©wÄw¶Ò¤§¡C
¤G¹s¤G¥|¦~¤¤ë¤E¤é©ó²Ä¤G¤½ÃÒ¸p
¤Gµ¥§U²zû ÃQ©ú·u Ngai Meng Fai
²Ä ¤G ¤½ ÃÒ ¸p
¿Dªù¤å¤Æ»Pªv²z¬ã¨s·|
ASSOCIAÇÃO DE ESTUDOS DA CULTURA E GOVERNANÇA DE MACAU
³¹µ{
¬°着¤½§G¤§¥Øªº¡A³z¹L¤G¹s¤G¥|¦~¤¤ë¤E¤éñ¸pªº¸g»{ÃÒ¤å®Ñ³]¥ß¤F¤WzªÀ¹Î¡C¸ÓªÀ¹Îªº³]¥ß¤å¥ó©M³¹µ{¤w¦sÀɩ󥻸p2024/ASS/M2Àɮײդº¡A½s¸¹¬°110¡C
¿Dªù¤å¤Æ»Pªv²z¬ã¨s·|
ASSOCIAÇÃO DE ESTUDOS DA CULTURA E GOVERNANÇA DE MACAU
³¹µ{
²Ä¤@³¹ ¤@¯ë³W©w
²Ä¤@±ø ¡]¦WºÙ¡^
¥»·|¤¤¤å¦WºÙ¬°¡§¿Dªù¤å¤Æ»Pªv²z¬ã¨s·|¡¨¡A¤¤¤å²ºÙ¬°¡§¤åªv¬ã¨s·|¡¨¡A¸²¤å¦WºÙ¬°¡§ASSOCIAÇÃO DE ESTUDOS DA CULTURA E GOVERNANÇA DE MACAU¡¨¡C
²Ä¤G±ø¡]©v¦®¡^
¥»·|¬°«D¦È§Q¹ÎÅé¡C©v¦®¬°¾ÖÅ@¿Dªù¯S§O¦æ¬F°Ïªº¬I¬F²z©À¡A¥H¬ì¾Ç¡B¶}©ñ¤Î«ÈÆ[ªººA«×¶}®i¿Dªù¤å¤Æ¡BÃÀ³N¡B¸gÀÙ¡Bªv²z¤è±¤§¬ã¨s¡FºûÅ@©M«P¶i·|ûªº¶°Åé§Q¯q¡A¨Ã¬°¿Dªù¯S°Ïªºªv²z´£¨Ñ¦³®Äªº²z½×¤ä«ù¤Î«ØÄ³¡C
²Ä¤T±ø¡]·|§}¡^
¥»·|·|§}³]©ó¿Dªùù²z°ò³Õ¤h¤j°¨¸ô600E¸¹²Ä¤@°ê»Ú°Ó·~¤¤¤ß16¼Ó1604«Ç¡C
²Ä¤G³¹ ·|û
²Ä¥|±ø¡]·|û¡^
¤Z¨ã¦³ªÀ·|¬ì¾Ç¡B¤H¤å¬ì¾Ç¡BÃÀ³N¾Ç¡Bªk¾Ç¡B¶Ç¼½¾Ç¡B®È¹C¾Ç¬ìªº¤j±M©Î¥H¤W¾Ç¾ú¡A©Î±q¨ÆªÀ·|µo®i»P¬Fµ¦¬ã¨s¡B¤½¦@¦æ¬F¤ÎºÞ²z¡B¤½¦@¨Æ°È¡B°ê»ÚÃö«Y¡B¤u°ÓºÞ²z¡B¤å¤Æ¡BÃÀ³N¡B¥ßªk¬¡°Ê¡Bªk«ß¹ê°È¡B±Ð¨|¡B·|p¡Bõ¾Ç¬ã¨s¡B¾ú¥v¬ã¨s¡B¬ì§Þ¡B¶Ç´C¡Bª÷¿Ä¡B°Ï°ì¸gÀÙµo®i¡B®È¹C·|®iªºÂ¾·~¡A¤Î»{¦P¥»·|³¹µ{ªÌ¡A§¡¥i´£¥X®Ñ±¤J·|¥Ó½Ð¡A¸g²z¨Æ·|§åã©Mú¯Ç·|¶O¡A§Y¦¨¬°¥»·|·|û¡C
²Ä¤±ø¡]·|û¤§Åv§Q¡^
·|û¨É¦³¥H¤UÅv§Q¡G
¤@¡B°Ñ»P·|û¤j·|¤Î§ë²¼¡F
¤G¡B¿ïÁ|¤Î³Q¿ï¬°²Õ´¬[ºc¤§¾Ú¦ì¤H¡F
¤T¡BÀu¥ý¨É¥Î¥»·|©Ò´£¨Ñ¤§ªA°È¡C
²Ä¤»±ø¡]·|û¤§¸q°È¡^
·|û©Ó¾á¥H¤U¸q°È¡G
¤@¡B©Ó»{¨Ã¿í¦u¥»·|³¹µ{¡F
¤G¡B´L«¥»·|¤Î¨ä¥L·|û¡F
¤T¡B°Ñ»P¥»·|¬¡°Ê¡F
¥|¡B¨Ì®Éú¯Ç·|¶O¤Î¨ä¥LÀ³¥I¶O¥Î¡F
¤¡B±µ¨ü¿ïÁ|©e¥ô¤§Â¾°È©Î¥»·|n¨D¤§¤u§@¡C
²Ä¤C±ø¡]·|û¸ê®æ¤§³à¥¢¡^
©ó¤U¦C±¡ªp¤U·|û±N³à¥¢·|û¸ê®æ¡G
¤@¡B´£«e¤C¤Ñ¦V¥»·|¥Ó½Ð°h·|¡F
¤G¡B¤£¼i¦æ¥»·|³¹µ{³W©w¤§¸q°È©Î¹H¤Ï¥»·|§@¥X¤§¦³®Ä¨Mij¡C
²Ä¤T³¹ ²Õ´¬[ºc
²Ä¤K±ø¡]²Õ´¬[ºc¡^
¥»¥»·|¤§²Õ´¬[ºc¥]¬A¡G
¤@¡B·|û¤j·|¡F
¤G¡B²z¨Æ·|¡F
¤T¡BºÊ¨Æ·|¡C
²Ä¤@¸` ·|û¤j·|
²Ä¤E±ø¡]Åv¡^
·|û¤j·|¬°¥»¥»·|³Ì°ªÅv¤O¾÷Ãö¡F·|û¤j·|¦³¥H¤UÅv¡G
¤@¡B®Ú¾Ú³¹µ{¿ïÁ|·|û¤j·|¥D®u¹Î¤Î²z¨Æ·|¡BºÊ¨Æ·|ªº¦¨û¡F
¤G¡B®Ú¾Ú³¹µ{¶i¦æ·|û¤j·|¥D®u¹Î¤Î²z¨Æ·|¡BºÊ¨Æ·|ªº¦¨û¤§¸É¿ï¡F
¤T¡B®Ú¾Ú²z¨Æ·|«ØÄ³¡AÁܽй糧·|¦³¨ô¶V°^Ämªº¤H¤h©ÎªÀ·|ª¾¦W¤H¤h¾á¥ô¦WÅA·|ªø¡F
¥|¡B¼fij¤Îij¨M¤W¦~«×¤u§@³ø§i¤Î½ã¥Ø³ø§i¡F
¤¡BÅ¥¨ú²z¨Æ·|Ãö©ó¥»¥»·|¬¡°Êp¹º«ØÄ³ªº¤¶²Ð¡F
¤»¡B×§ï³¹µ{¤§¨Mij¡A¶·Àò¥X®u·|û¥|¤À¤§¤T¤§ÃÙ¦P²¼¡F
¤C¡Bij¨M¥»·|¤§¸Ñ´²¡C
²Ä¤Q±ø¡]·|û¤j·|¥D®u¹Î¡^
·|û¤j·|¥D®u¹Î³]·|ªø¤@¦W¡B°Æ·|ªøY¤z¦W¡B¯µ®Ñªø¤@¦W¡C
²Ä¤Q¤@±ø¡]·|û¤j·|¤§¥l¶°¡^
¤@¡B·|û¤j·|¨C¦~¦Ü¤ÖÁ|¦æ¤@¦¸¡A¥H³q¹L¸ê²£t¶Åªí¡C·|û¤j·|¥Ñ²z¨Æ·|¥l¶°¡A¨Ã¦Ü¤Ön´£«e¤K¤Ñ¥H±¾¸¹«H©Î¥Hñ¦¬¤è¦¡³qª¾¥l¶°¡A¥l¶°®Ñ¤W¦C©ú¶}·|¤§¤é´Á¡B®É¶¡¡B¦aÂI¤Îijµ{¡A©ó¤U¦C¥ô¤@±¡ªp³Qµø¬°¦³®Ä²Õ¦¨¡G
¡]¤@¡^²Ä¤@¦¸¥l¶°®É¡A³Ì¤Ö¤@¥b·|û¥X®u¡F
¡]¤G¡^²Ä¤@¦¸¥l¶°ªº®É¶¡¤w©¡¡A¦pªk©w¤H¼Æ¤£¨¬¡A«h©ó¥b¤p®É«áµø¬°²Ä¤G¦¸¥l¶°¡A©¡®É«h¤£½×¥X®u¤§·|û¤H¼Æ¦h¤Ö§¡µø¬°¦³®Ä¡C
²Ä¤G¸` ²z¨Æ·|
²Ä¤Q¤G±ø¡]²Õ¦¨¤ÎÅv¡^
¤@¡B²z¨Æ·|¥Ñ²z¨Æªø¤@¦W¡B¯µ®Ñªø¤@¦W¡B°Æ²z¨Æªø¤£¤Ö©ó¨â¦W¤Î²z¨ÆY¤z¦W²Õ¦¨¡A²z¨Æ·|¦¨û¤H¼Æ¶·¬°³æ¼Æ¡C
¤G¡B²z¨Æ·|¬°¥»·|¦æ¬FºÞ²z¾÷Ãö¡F²z¨Æ·|¦³¥H¤UÅv¡G
¡]¤@¡^®Ú¾Ú·|û¤j·|¤§¨Mij»â¾É¥»·|¤§¤u§@¤ÎºÞ²z¨ä°]²£¡F
¡]¤G¡^±µ¯Ç¤Î¶}°£·|û¡F
¡]¤T¡^ÁʤJ¡B½æ¥X¡B©è©ã¡B©Ó¯²¡B¥X¯²©Î¥H¥ô¦ó¤è¦¡¥XÅý¥»·|ªº¸ê²£¤ÎÅv§Q¡B°Ê²£©Î¤£°Ê²£¡A©Î¹ï¨ä³]©wt¾á¡F
¡]¥|¡^ɤJ¶U´Ú¡F
¡]¤¡^©e°U¥Nªí¤H¥Nªí¥»·|°õ¦æ«ü©w¤§¤u§@¡A¦ý¦³Ãö¨Mij»Ý«ü©ú±Â¤©¤§Åv¤O¤Î©e°U¤§´Á¡F
¡]¤»¡^ij¨M·s¤@©¡»â¾É¬[ºcªº¿ïÁ|¤è¦¡¤Î¬ÛÃö³W©w¡F
¡]¤C¡^¦æ¨Ïªk¨Ò¤Î³¹µ{½á¤©¤§¨ä¥LÅv¡C
¤T¡B²z¨Æ·|¦¨û¤§³d¥ô¡G
¡]¤@¡^¥H¨§@«h¡A¿n·¥°Ñ»P·|°È¬¡°Ê¡F
¡]¤G¡^µo´§»â¾É¡Bµ¦¹ºµ¥Â¾¯à¡A±À°Ê·|°Èµo®i¡C
¥|¡B²z¨Æ·|¥iÁܽй糧·|¦³¨ô¶V°^Äm¤H¤h¡BªÀ·|ª¾¦W¤H¤h©ÎÅv«Â¤§±M·~¤H¤h¾á¥ô¦WÅA·|û¡B¦WÅAÅU°Ý¡BÅU°Ý¡B¦WÅA¾Ç³NÅU°Ý¡B¾Ç³NÅU°Ý¡Bªk«ßÅU°Ý¡C
²Ä¤Q¤T±ø¡]²z¨Æªø¤§Åv¡^
²z¨Æªø¦³¥H¤UÅv¡G
¤@¡B¸g·|û¤j·|¦P·N¡A²z¨Æªø¤Î°Æ²z¨Æªø¥i©ó¶D³^µ{§Ç¤º©Î¥~¥Nªí¥»·|¡F
¤G¡B»â¾É¤Î¨ó½Õ²z¨Æ·|¤§¤u§@¡A¥l¶}¤Î¥D«ù¦³Ãö·|ij¡F
¤T¡B·þ¾É¨Mij¤§¥¿½T°õ¦æ¡F
¥|¡B¦æ¨Ï³¹µ{¤Î³W³¹½á¤©¤§¨ä¥LÅv¡C
²Ä¤Q¥|±ø¡]¥Nªí¥»·|¤§¤è¦¡¡^
¤@¡B°£¥»³¹µ{³W©wªºÅv¥~¡A¤@¯ë¨Æ°È¥Ñ·|ªø¡B°Æ·|ªø©Î²z¨Æªø¹ï¥~¥Nªí¥»¥»·|¡C
¤G¡BÃö©ó¨ãªk«ß®Ä¤O¤§¦æ¬°¤Î¤å¥ó¡A¥Ñ·|ªø©Î²z¨ÆªøÃ±¦W¥Nªí¥»·|¡C
²Ä¤T¸` ºÊ¨Æ·|
²Ä¤Q¤±ø¡]²Õ¦¨¤ÎÅv¡^
¤@¡BºÊ¨Æ·|¥ÑºÊ¨Æªø¤@¦W¤Î°ÆºÊ¨ÆªøY¤z¦W²Õ¦¨¡A¦¨û¤H¼Æ¥²¶·¬°¤T¦W¥H¤W¤§³æ¼Æ¡C
¤G¡BºÊ¨Æ·|¦³¥H¤UÅv¡G
¡]¤@¡^¹ï¦~«×¤u§@³ø§i¤Î½ã¥Ø³ø§i´£¥X·N¨£¡F
¡]¤G¡^ºÊ¹î¥»¥»·|·|°È©M¦³Ãö¸gÀÙ°]¬F¨Mij¤§°õ¦æ¡C
²Ä¥|¸` ¦@¦P³W©w
²Ä¤Q¤»±ø¡]²Õ´¬[ºc¦¨û¤§¥ô´Á¤Î½ÐÃã¡^
¤@¡B²Õ´¬[ºc¦¨û©ó¨É¦³·|ûÅv§Q¤§·|û¤¤³z¹L·|û¤j·|¿ïÁ|²£¥Í¡A¥ô´Á¤T¦~¡A³s¿ï±o³s¥ô¡C
¤G¡B²Õ´¬[ºc¦¨ûÀ³©ó¦³Ãö¿ïÁ|¶i¦æ«á¤Q¤¤Ñ¤º¶}©l¼i¦æÂ¾°È¡Aª½¦Ü³Q¨ú¥N¬°¤î¡C
¤T¡B·|û¤j·|¡B²z¨Æ·|¡BºÊ¨Æ·|±o±µ¨ü¨ä¦³Ãö¦¨û¦b¥ô´Á¤º¤§Ã㾡A¨Ã¦VÀH«á¤§·|û¤j·|§@¥X³ø§i¡A¥Ñ¸Ó¦¸·|û¤j·|¶i¦æ¸É¿ï¡C
²Ä¤Q¤C±ø¡]ªÅ¯Ê¤§¸É´À¡^
²Õ´¬[ºc¦¨û¤§ªÅ¯Ê©ó¥X²{ªÅ¯Ê«áªº²Ä¤@¦¸·|û¤j·|¤¤¶ñ¸É¡A¶ñ¸ÉªÅ¯Ê¤§¦¨ûÀ³°õ¦æÂ¾°Èª½¦Ü³Q¨ú¥N¤§¦¨û¥ô´Á§¹µ²¬°¤î¡C
²Ä¥|³¹ °]²£¤Î¦¬¤J
²Ä¤Q¤K±ø¡]°]²£¡^
¥»·|¤§°]²£¥Ñ¥H¤U³¡¥÷²Õ¦¨¡G
¤@¡B©ó¶}®i¤u§@¤¤Àò±o¤§¸ê²£©ÎÅv§Q¡F
¤G¡B¥ô¦ó¦XªkÀò±o¤§¸ê²£¡C
²Ä¤Q¤E±ø¡]¦¬¤J¡^
¥H¤U¬°¥»·|¤§¦¬¤J¡G
¤@¡B·|û¤§¤J·|¶O¡B©w´Á·|¶O¤Î®½Äm¡F
¤G¡B¥»·|Àò±o¤§¬z¶K¡B®½ÃØ¡B¿ò²£¡B¿òÃØ¤Î¥X¸ê¡F
¤T¡B¤u§@¤§¦¬¯q¡A¨Ò¦p´£¨ÑªA°È¡A¥Xª©¥Zª«©Î¨ä¥L¬¡°Ê¦ÓÀò±o¤§¦¬¯q¡F
¥|¡B¤½¦@©Î¨p¤H¹êÅéµ¹¤©¤§¬z¶K©Î¸ê§U¡F
¤¡B¥»¨°]²£¤Î¸ê¥»¤§¦¬¯q¡F
¤»¡B¨ä¥L¦Xªk¦¬¯q¡C
²Ä¤³¹ ªþ«h
²Ä¤G¤Q±ø¡]¸Ñ´²¡^
¤@¡B¥»·|¤§¸Ñ´²¶·¥Ñ¥þÅé·|û¤j·|¯S§O·|ij¨M©w¡A¨äij¨M¶·¥Ñ¥»·|©Ò¦³·|û¥|¤À¤§¤TÃÙ¦P²¼³q¹L¡C
¤G¡B·í¥»¥»·|¨M©w¸Ñ´²®É¡A¸ê²£¥Ñ«Å§G¸Ñ´²¤§¥þÅé·|û¤j·|«öªk«ß³W©w¤Uq©w³B²z¿ìªk¡C
¤G¹s¤G¥|¦~¤¤ë¤E¤é©ó²Ä¤G¤½ÃÒ¸p
¤Gµ¥§U²zû ÃQ©ú·uNgai Meng Fai
®ü ®q ¤½ ÃÒ ¸p
¿Dªù°Êª«¾Ç·|
¬°着¤½§G¤§¥Øªº¡A³z¹L2024¦~5¤ë10¤éñ¸pªº¸g»{ÃÒ¤å®Ñ³]¥ß¤F¤WzªÀ¹Î¡C¸ÓªÀ¹Îªº³]¥ß¤å¥ó©M³¹µ{¤w¦sÀɩ󥻸p¤§¡§2024¦~ªÀ¹Î¤Î°]¹ÎÀx¦s¤å¥óÀɮס¨²Ä1/2024/ASSÀɮײղÄ22¸¹¡C
¿Dªù°Êª«¾Ç·|
³¹µ{
²Ä¤@³¹ Á`«h
²Ä¤@±ø ¦WºÙ
¥»·|¤¤¤å¦WºÙ¬°¡§¿Dªù°Êª«¾Ç·|¡¨¡A¸²¤å¦WºÙ¬°¡§Sociedade de Zoológica de Macau¡¨¡A^¤å¦WºÙ¬°¡§Zoological Society of Macao¡¨¡A^¤å²ºÙ¬°¡§ZSM¡¨¡C
²Ä¤G±ø ©v¦®
¥»·|¬°«D¦È§Q¹ÎÅé¡A©v¦®¬°¡G
¡]¤@¡^P¤O±À°Ê¥»¿D¦b¥Í©R¬ì¾Ç¡B¥Íª«¾Ç¡B¥ÍºA¾Ç¡B°Êª«¾Ç¡BÀô¹Ò¬ì¾Çµ¥¬ÛÃö¾Ç¬ì¤§¾Ç³N¬ã¨s¤Î¥æ¬y¡A«P¶i¾Ç¬ìµo®i¡A´¶¤Î¬ì¾Çª¾ÃÑ¡A¶Ç¼½¬ì¾Çºë¯«¡B«ä·Q©M¤èªk¡A±À¼s¥ý¶i§Þ³N¡C
¡]¤G¡^¹Îµ²¹ï¥Í©R¬ì¾Ç¡B¥Íª«¾Ç¡B¥ÍºA¾Ç¡B°Êª«¾Ç¡BÀô¹Ò¬ì¾Çµ¥¦³¿³½ì¤§¤H¤h¡A¼W¥[©¼¦¹¤§¶¡ªº¥æ¬y»PÁp½Ë¡C
¡]¤T¡^¿n·¥Á|¿ì±À¼s¤Î¬ã¨s¥Í©R¬ì¾Ç¡B¥Íª«¾Ç¡B¥ÍºA¾Ç¡B°Êª«¾Ç¡BÀô¹Ò¬ì¾Çµ¥¤§¬ÛÃö¬¡°Ê¡B°ê»Ú¾Ç³N·|ijµ¥¡A¿n·¥Ápô¨Ã«P¶i»P°ê¤º¥~¬ÛÃö»â°ìªº¥æ¬y¡A´£¤É¥»¿D¦b¥Í©R¬ì¾Ç¡B¥Íª«¾Ç¡B¥ÍºA¾Ç¡B°Êª«¾Ç¡BÀô¹Ò¬ì¾Çµ¥¤è±¤§¾Ç³N¬ã¨s¡B±Ð¨|°ö°V¤Î³Ð·s¬ãµoµ¥»â°ìªº¦h¤¸µo®i¡C
²Ä¤T±ø ·|§}
¥»·|·|§}³]©ó¿Dªù¤å²Ä¤hµó19-21¸¹³qb¤j·H5¼ÓB®y¡C¸g·|û¤j·|§åã¡A¥»·|·|§}¥i¾E©¹¿Dªù¥ô¦ó¦a¤è¡C
²Ä¤G³¹ ·|û
²Ä¥|±ø ·|û¸ê®æ
¤Z¨ã°Êª«¾Ç¬ÛÃö¾Ç¾ú¸ê®æ©Î¬ÛÃö¸gÅçªÌ¡A¨Ã¹ï¥Í©R¬ì¾Ç¡B¥Íª«¾Ç¡B¥ÍºA¾Ç¡B°Êª«¾Ç¡BÀô¹Ò¬ì¾Çµ¥ªº±Ð¨|¡B¬ì¬ã¤ÎÀ³¥Î·P¿³½ì¡A»{¦P¤Î¿í¦u¥»·|³¹µ{ªÌ¡A§¡¥i¥Ó½Ð¤J·|¡C¸g²z¨Æ·|§åã¨Ã«ö³W©wú¯Ç·|¶OªÌ¡A¤è¬°·|û¡C
²Ä¤±ø ·|ûÅv§Q¤Î¸q°È
¡]¤@¡^·|û¦³¿ïÁ|Åv¤Î³Q¿ïÁ|Åv¡A¨É¦³¥»·|Á|¿ì¤@¤Á¬¡°Ê©MºÖ§QªºÅv§Q¡C
¡]¤G¡^·|û¦³¿í¦u·|³¹©M¨Mij¡A¥H¤Îú¥æ·|¶Oªº¸q°È¡C
²Ä¤T³¹ ²Õ´¾÷Ãö
²Ä¤»±ø ¾÷Ãö
¥»·|²Õ´¾÷Ãö¥]¬A·|û¤j·|¡B²z¨Æ·|¡BºÊ¨Æ·|¡C
²Ä¤C±ø ·|û¤j·|
¡]¤@¡^¥»·|³Ì°ªÅv¤O¾÷Ãö¬°·|û¤j·|¡At³d¨î©w©Î×§ï·|³¹¡F¿ïÁ|·|û¤j·|¥D®u¡B°Æ¥D®u¡B¯µ®Ñ©M²z¨Æ·|¡BºÊ¨Æ·|¦¨û¡F¨M©w·|°È¤è°w¡A¼f¬d©M§åã²z¨Æ·|¤u§@³ø§i¡C
¡]¤G¡^·|û¤j·|³]¥D®u¡B°Æ¥D®u¤Î¯µ®Ñ¦U¤@¦W¡C¨C©¡¥ô´Á¬°¤T¦~¡A¥i³s¿ï³s¥ô¡C
¡]¤T¡^·|û¤j·|¨C¦~Á|¦æ¤@¦¸¡A¦Ü¤Ö´£«e¤K¤Ñ³z¹L±¾¸¹«H©Îñ¦¬¤è¦¡¥l¶°¡A¥l¶°®Ñ¤º»Ýµù©ú·|ij¤§¤é´Á¡B®É¶¡¡B¦aÂI©Mijµ{¡C
¡]¥|¡^ק糧·|³¹µ{¤§¨Mij¡A¶·Àò¥X®u·|û¥|¤À¤§¤TªºÃÙ¦P²¼¡F¸Ñ´²¥»·|ªº¨Mij¡A¶·Àò¥þÅé·|û¥|¤À¤§¤TªºÃÙ¦P²¼¡C
²Ä¤K±ø ²z¨Æ·|
¡]¤@¡^¥»·|¦æ¬FºÞ²z¾÷Ãö¬°²z¨Æ·|¡At³d°õ¦æ·|û¤j·|¨Mij©M¤é±`¨ãÅé·|°È¡C
¡]¤G¡^²z¨Æ·|¥Ñ³Ì¤Ö¤T¦W©Î¥H¤W³æ¼Æ¦¨û²Õ¦¨¡A³]²z¨Æªø¤Î°Æ²z¨Æªø¦U¤@¦W¡B²z¨ÆY¤z¦W¡C¨C©¡¥ô´Á¬°¤T¦~¡A¥i³s¿ï³s¥ô¡C
¡]¤T¡^²z¨Æ·|·|ij¨C¦~¥l¶}¤@¦¸¡C·|ij¦b¦³¹L¥b¼Æ²z¨Æ·|¦¨û¥X®u®É¡A¤è¥iij¨M¨Æ©y¡A¨Mij¶·Àò¥X®u¦¨ûªºµ´¹ï¦h¼ÆÃÙ¦P²¼¤è¬°¦³®Ä¡C
²Ä¤E±ø ºÊ¨Æ·|
¡]¤@¡^¥»·|ºÊ¹î¾÷Ãö¬°ºÊ¨Æ·|¡At³dºÊ¹î²z¨Æ·|¤é±`·|°È¹B§@©M°]¬F¦¬¤ä¡C
¡]¤G¡^ºÊ¨Æ·|¥Ñ³Ì¤Ö¤T¦W©Î¥H¤W³æ¼Æ¦¨û²Õ¦¨¡A³]ºÊ¨Æªø¤Î°ÆºÊ¨Æªø¦U¤@¦W¡BºÊ¨ÆY¤z¦W¡C¨C©¡¥ô´Á¬°¤T¦~¡A¥i³s¿ï³s¥ô¡C
¡]¤T¡^ºÊ¨Æ·|·|ij¨C¦~¥l¶}¤@¦¸¡C·|ij¦b¦³¹L¥b¼ÆºÊ¨Æ·|¦¨û¥X®u®É¡A¤è¥iij¨M¨Æ©y¡A¨Mij¶·Àò¥X®u¦¨ûªºµ´¹ï¦h¼ÆÃÙ¦P²¼¤è¬°¦³®Ä¡C
²Ä¥|³¹ ªþ«h
²Ä¤Q±ø ¸g¶O
¥»·|¸g¶O·½©ó·|û·|¶O¤Î¦U¬É¤H¤hÃÙ§U¡AÕ¦³¤£¼Å©Î¯S§O»Ý¥Î´Ú®É¡A±o¥Ñ²z¨Æ·|¨M©wÄw¶Ò¤§¡C
¤G¹s¤G¥|¦~¤¤ë¤Q¤é©ó®ü®q¤½ÃÒ¸p
¤@µ¥§U²zû ªL¼ä¦p
®ü ®q ¤½ ÃÒ ¸p
¸f´ä¿D¤jÆW°Ï¬ì¾Ç±Ð¨|¨ó·|
¬°着¤½§G¤§¥Øªº¡A³z¹L2024¦~5¤ë10¤éñ¸pªº¸g»{ÃÒ¤å®Ñ³]¥ß¤F¤WzªÀ¹Î¡C¸ÓªÀ¹Îªº³]¥ß¤å¥ó©M³¹µ{¤w¦sÀɩ󥻸p¤§¡§2024¦~ªÀ¹Î¤Î°]¹ÎÀx¦s¤å¥óÀɮס¨²Ä1/2024/ASSÀɮײղÄ24¸¹¡C
¸f´ä¿D¤jÆW°Ï¬ì¾Ç±Ð¨|¨ó·|
³¹µ{
²Ä¤@³¹ Á`«h
²Ä¤@±ø ¦WºÙ
¥»·|¤¤¤å¦WºÙ¬°¡§¸f´ä¿D¤jÆW°Ï¬ì¾Ç±Ð¨|¨ó·|¡¨¡A^¤å¦WºÙ¬°¡§Guangdong-Hong Kong-Macao Greater Bay Area Science Education Association¡¨¡C
²Ä¤G±ø ©v¦®
¥»·|¬°«D¦È§Q¹ÎÅé¡A©v¦®¬°¡G
¡]¤@¡^±À°Ê¸f´ä¿D¤jÆW°Ï¦b¬ì¾Ç´¶¤Î¡B¬ì¾Ç§Þ³N»P¬ã¨s±À¼s¡B¦ÛµM¬ì¾Ç¾Ç¬ì±Ð¨|µ¥»â°ì¤§«Ø¥ß¡A±À¶i¥»¿D¬ì¾Ç±Ð¨|¨Æ·~µo®i¡C
¡]¤G¡^Á|¿ì¨ã¦³°Ï°ì¯S¦â¤§¬ì¾Ç±´¨s¬¡°Ê¡BÄvÁÉ¡B±Ð¨|°ö°V©Î¬ì´¶¦¨ªG®i¡A±a°Ê°Ï°ì¬ì¾Ç±Ð¨|¤u§@¡C
¡]¤T¡^¥[±j°Ï°ì¦X§@»P¥æ¬y¡A¶}®i¦h»â°ì¤Î¦h¼h¦¸ªº¬ì¾Ç±´¨s¬¡°Ê¡B¬ì´¶ÄvÁɩΰö°V½Òµ{¡A°ö¾iªÀ·|¤½²³ªº¬ì¾Ç¯À¾i¡C
¡]¥|¡^«P¶i¸f´ä¿D¤jÆW°Ï»P°ê¤º¥~¬ÛÃö»â°ì¤Î¹ÎÅ餧¥æ¬y¦X§@¡C
¡]¤¡^¹Îµ²¹ï¬ì¾Ç´¶¤Î¡B¦ÛµM¬ì¾Ç¾Ç¬ì±Ð¨|¡B¬ì¾Ç¬ã¨s±À¼s¦³¿³½ì¤§¤H¤h¡A¼W¥[©¼¦¹¤§¶¡ªº¥æ¬y»PÁp½Ë¡A´£¤É¸f´ä¿D¤jÆW°Ï¬ÛÃö»â°ì¤§¾Ç³N¬ã¨s¤Î±Ð¨|°ö°Vµ¥»â°ìªº¦h¤¸µo®i¡C
²Ä¤T±ø ·|§}
¥»·|·|§}³]©ó¿Dªù¤å²Ä¤hµó19-21¸¹³qb¤j·H5¼ÓB®y¡C¸g·|û¤j·|§åã¡A¥»·|·|§}¥i¾E©¹¿Dªù¥ô¦ó¦a¤è¡C
²Ä¤G³¹ ·|û
²Ä¥|±ø ·|û¸ê®æ
¤Z¨ã¦ÛµM¬ì¾Ç¾Ç¬ì±Ð¨|¡B¬ì¾Ç±Ð¨|¡B±Ð¨|¡B¦ÛµM¬ì¾Çµ¥¬ÛÃö¾Ç¾ú¸ê®æ©Î¬ÛÃö¸gÅçªÌ¡A¨Ã¹ï¬ÛÃö¾Ç¬ìªº°ö¨|¡B±À¼s¤ÎÀ³¥Î·P¿³½ì¡A»{¦P¤Î¿í¦u¥»·|³¹µ{ªÌ¡A§¡¥i¥Ó½Ð¤J·|¡C¸g²z¨Æ·|§åã¨Ã«ö³W©wú¯Ç·|¶OªÌ¡A¤è¬°·|û¡C
²Ä¤±ø ·|ûÅv§Q¤Î¸q°È
¡]¤@¡^·|û¦³¿ïÁ|Åv¤Î³Q¿ïÁ|Åv¡A¨É¦³¥»·|Á|¿ì¤@¤Á¬¡°Ê©MºÖ§QªºÅv§Q¡C
¡]¤G¡^·|û¦³¿í¦u·|³¹©M¨Mij¡A¥H¤Îú¥æ·|¶Oªº¸q°È¡C
²Ä¤T³¹ ²Õ´¾÷Ãö
²Ä¤»±ø ¾÷Ãö
¥»·|²Õ´¾÷Ãö¥]¬A·|û¤j·|¡B²z¨Æ·|¡BºÊ¨Æ·|¡C
²Ä¤C±ø ·|û¤j·|
¡]¤@¡^¥»·|³Ì°ªÅv¤O¾÷Ãö¬°·|û¤j·|¡At³d¨î©w©Î×§ï·|³¹¡F¿ïÁ|·|û¤j·|¥D®u¡B°Æ¥D®u¡B¯µ®Ñ©M²z¨Æ·|¡BºÊ¨Æ·|¦¨û¡F¨M©w·|°È¤è°w¡A¼f¬d©M§åã²z¨Æ·|¤u§@³ø§i¡C
¡]¤G¡^·|û¤j·|³]¥D®u¡B°Æ¥D®u¤Î¯µ®Ñ¦U¤@¦W¡C¨C©¡¥ô´Á¬°¤T¦~¡A¥i³s¿ï³s¥ô¡C
¡]¤T¡^·|û¤j·|¨C¦~Á|¦æ¤@¦¸¡A¦Ü¤Ö´£«e¤K¤Ñ³z¹L±¾¸¹«H©Îñ¦¬¤è¦¡¥l¶°¡A¥l¶°®Ñ¤º»Ýµù©ú·|ij¤§¤é´Á¡B®É¶¡¡B¦aÂI©Mijµ{¡C
¡]¥|¡^ק糧·|³¹µ{¤§¨Mij¡A¶·Àò¥X®u·|û¥|¤À¤§¤TªºÃÙ¦P²¼¡F¸Ñ´²¥»·|ªº¨Mij¡A¶·Àò¥þÅé·|û¥|¤À¤§¤TªºÃÙ¦P²¼¡C
²Ä¤K±ø ²z¨Æ·|
¡]¤@¡^¥»·|¦æ¬FºÞ²z¾÷Ãö¬°²z¨Æ·|¡At³d°õ¦æ·|û¤j·|¨Mij©M¤é±`¨ãÅé·|°È¡C
¡]¤G¡^²z¨Æ·|¥Ñ³Ì¤Ö¤T¦W©Î¥H¤W³æ¼Æ¦¨û²Õ¦¨¡A³]²z¨Æªø¤Î°Æ²z¨Æªø¦U¤@¦W¡B²z¨ÆY¤z¦W¡C¨C©¡¥ô´Á¬°¤T¦~¡A¥i³s¿ï³s¥ô¡C
¡]¤T¡^²z¨Æ·|·|ij¨C¦~¥l¶}¤@¦¸¡C·|ij¦b¦³¹L¥b¼Æ²z¨Æ·|¦¨û¥X®u®É¡A¤è¥iij¨M¨Æ©y¡A¨Mij¶·Àò¥X®u¦¨ûªºµ´¹ï¦h¼ÆÃÙ¦P²¼¤è¬°¦³®Ä¡C
²Ä¤E±ø ºÊ¨Æ·|
¡]¤@¡^¥»·|ºÊ¹î¾÷Ãö¬°ºÊ¨Æ·|¡At³dºÊ¹î²z¨Æ·|¤é±`·|°È¹B§@©M°]¬F¦¬¤ä¡C
¡]¤G¡^ºÊ¨Æ·|¥Ñ³Ì¤Ö¤T¦W©Î¥H¤W³æ¼Æ¦¨û²Õ¦¨¡A³]ºÊ¨Æªø¤Î°ÆºÊ¨Æªø¦U¤@¦W¡BºÊ¨ÆY¤z¦W¡C¨C©¡¥ô´Á¬°¤T¦~¡A¥i³s¿ï³s¥ô¡C
¡]¤T¡^ºÊ¨Æ·|·|ij¨C¦~¥l¶}¤@¦¸¡C·|ij¦b¦³¹L¥b¼ÆºÊ¨Æ·|¦¨û¥X®u®É¡A¤è¥iij¨M¨Æ©y¡A¨Mij¶·Àò¥X®u¦¨ûªºµ´¹ï¦h¼ÆÃÙ¦P²¼¤è¬°¦³®Ä¡C
²Ä¥|³¹ ªþ«h
²Ä¤Q±ø ¸g¶O
¥»·|¸g¶O·½©ó·|û·|¶O¤Î¦U¬É¤H¤hÃÙ§U¡AÕ¦³¤£¼Å©Î¯S§O»Ý¥Î´Ú®É¡A±o¥Ñ²z¨Æ·|¨M©wÄw¶Ò¤§¡C
¤G¹s¤G¥|¦~¤¤ë¤Q¤é©ó®ü®q¤½ÃÒ¸p
¤@µ¥§U²zû ªL¼ä¦p
®ü ®q ¤½ ÃÒ ¸p
¿Dªù³Ð·N¤uÃÀ¬ü³N¨ó·|
¬°着¤½§G¤§¥Øªº¡A³z¹L2024¦~5¤ë6¤éñ¸pªº¸g»{ÃÒ¤å®Ñ³]¥ß¤F¤WzªÀ¹Î¡C¸ÓªÀ¹Îªº³]¥ß¤å¥ó©M³¹µ{¤w¦sÀɩ󥻸p¤§¡§2024¦~ªÀ¹Î¤Î°]¹ÎÀx¦s¤å¥óÀɮס¨²Ä1/2024/ASSÀɮײղÄ19¸¹¡C
¿Dªù³Ð·N¤uÃÀ¬ü³N¨ó·|
³¹µ{
²Ä¤@³¹ Á`«h
²Ä¤@±ø ¦WºÙ
¥»·|¤¤¤å¦WºÙ¬°¡§¿Dªù³Ð·N¤uÃÀ¬ü³N¨ó·|¡¨¡A¸²¤å¦WºÙ¬°¡§Associação de Criativas Ofícios e Arte de Macau¡¨¡A^¤å¦WºÙ¬°¡§Macau Creative Craft and Art Association¡¨¡C
²Ä¤G±ø ©v¦®
¥»·|ÄÝ«D¦È§Q¹ÎÅé¡A©v¦®¬°¹Îµ²¿Dªù¤£¦P¤uÃÀÃÀ³N³Ð§@ªÌ©Î¤½¥q¹ÎÅé¡A¶}®i¿Dªù³Ð·N¤uÃÀÃÀ³Nªº¥æ¬y©M¾Ç²ß¡A´£¨Ñ¦h¤¸¤ÆªºÃÀ³N¸ê°T¥æ¬y¥¥x¡A´£¤É¥«¥Á¹ï¤£¦P´C¬É³Ð§@ÃÀ³Nªº¿³½ì©Mµo±¸¨ã¼ç¯àªºÃÀ³N¤H¤~¡C
²Ä¤T±ø ·|§}
¿Dªù¶Â¨FÀôªF¥_¤j°¨¸ô386¸¹¼sµØ·s§ø²Ä10®yR/C¡C
²Ä¤G³¹ ·|û
²Ä¥|±ø ·|û¸ê®æ
¤Z»{¦P¥»·|©v¦®©M·|³¹¡A§¡¥i¥Ó½Ð¬°¥»·|·|û¡C¸g¥»·|²z¨Æ·|§åã«á¡A¤è¥i¦¨¬°·|û¡C
²Ä¤±ø ·|ûÅv§Q¤Î¸q°È
(¤@) ·|û¦³¿ïÁ|Åv¤Î³Q¿ïÁ|Åv¡A¨É¦³¥»·|Á|¿ì¤@¤Á¬¡°Ê©MºÖ§QªºÅv§Q¡C
(¤G) ·|û¦³¿í¦u·|³¹©M¨Mij¡A¤Îú¥æ·|¶Oªº¸q°È¡C
²Ä¤T³¹ ²Õ´¾÷ºc
²Ä¤»±ø ¾÷ºc
¥»·|ªº²Õ´¬[ºc¥]¬A·|û¤j·|¡B²z¨Æ·|¡BºÊ¨Æ·|¡C
²Ä¤C±ø ·|û¤j·|
(¤@) ¥»·|³Ì°ªÅv¤O¾÷ºc¬°·|û¤j·|¡At³d¨î©w©Î×§ï·|³¹¡F¿ïÁ|·|û¤j·|¥D®u¡B°Æ¥D®u¡B¯µ®Ñ©M²z¨Æ·|¡BºÊ¨Æ·|¦¨û¡F¨M©w·|°È¤è°w¡F¼f¬d¤Î§åã²z¨Æ·|¤u§@³ø§i¡C
(¤G) ·|û¤j·|³]¥D®u¡B°Æ¥D®u¤Î¯µ®Ñ¦U¤@¦W¡C¨C©¡¥ô´Á¤T¦~¡A¥i³s¿ï³s¥ô¡C
(¤T) ·|û¤j·|¨C¦~Á|¦æ¤@¦¸¡A¦Ü¤Ö´£«e¤K¤Ñ³z¹L±¾¸¹«H©Îñ¦¬¤§¤è¦¡¥l¶°¡A³qª¾®Ñ¤º¶·µù©ú·|ij¤§¤é´Á¡B®É¶¡¡B¦aÂI¤Îijµ{¡C
(¥|) ק糧³¹µ{¤§¨Mij¡A¶·Àò¥X®u·|û¥|¤À¤§¤TªºÃÙ¦P²¼¡F¸Ñ´²¥»·|¤§¨Mij¡A¶·Àò¥þÅé·|û¥|¤À¤§¤TªºÃÙ¦P²¼¡C
(¤) ¥»·|¦b¤£¹H¤Ïªk«ß³W©w¤Î¥»·|³¹µ{ªºì«h¤U¡A±o¨î©w¥»·|¤º³¡³W³¹¡C¤º³¡³W³¹¤§¸ÑÄÀ¡B×§ï¤Î³q¹L¤§Åv§¡ÄÝ·|û¤j·|¡C
²Ä¤K±ø ²z¨Æ·|
(¤@) ¥»·|ªº°õ¦æ¾÷ºc¬°²z¨Æ·|¡At³d°õ¦æ·|û¤j·|¨Mij©M¤é±`¨ãÅé·|°È¡C
(¤G) ²z¨Æ·|¥Ñ³Ì¤Ö¤T¦W©Î¥H¤W³æ¼Æ¦¨û²Õ¦¨¡A³]²z¨Æªø¡B°Æ²z¨Æªø¤Î²z¨Æ¦U¤@¦W¡C¨C©¡¥ô´Á¤T¦~¡A¥i³s¿ï³s¥ô¡C
(¤T) ²z¨Æ·|ij¨C¤TÓ¤ë¥l¶}¤@¦¸¡C·|ij¦b¦³¹L¥b¼Æ²z¨Æ·|¦¨û¥X®u®É¡A¤è¥iij¨M¨Æ©y¡A¨Mij¶·Àò¥X®u¦¨ûªºµ´¹ï¦h¼ÆÃÙ¦P²¼¤è¬°¦³®Ä¡C
²Ä¤E±ø ºÊ¨Æ·|
(¤@) ¥»·|ºÊ¹î¾÷ºc¬°ºÊ¨Æ·|¡At³dºÊ·þ²z¨Æ·|¤é±`·|°È¹B§@©M°]¬F¦¬¤ä¡C
(¤G) ºÊ¨Æ·|¥Ñ³Ì¤Ö¤T¦W©Î¥H¤W³æ¼Æ¦¨û²Õ¦¨¡A³]ºÊ¨Æªø¡B°ÆºÊ¨Æªø¤ÎºÊ¨Æ¦U¤@¦W¡C¨C©¡¥ô´Á¤T¦~¡A¥i³s¿ï³s¥ô¡C
(¤T) ºÊ¨Æ·|ij¨C¤TÓ¤ë¥l¶}¤@¦¸¡C·|ij¦b¦³¹L¥b¼ÆºÊ¨Æ·|¦¨û¥X®u®É¡A¤è¥iij¨M¨Æ©y¡A¨Mij¶·Àò¥X®u¦¨ûªºµ´¹ï¦h¼ÆÃÙ¦P²¼¤è¬°¦³®Ä¡C
²Ä¥|³¹ ªþ«h
²Ä¤Q±ø ¸g¶O
¥»·|¸g¶O·½©ó·|û·|¶O¤Î¦U¬É¤H¤hÃÙ§U¡AÕ¦³¤£¼Å©Î¯S§O»Ý¥Î´Ú®É¡A±o¥Ñ²z¨Æ·|¨M©wÄw¶Ò¤§¡C
²Ä¤Q¤@±ø ·|À²

¤G¹s¤G¥|¦~¤¤ë¤»¤é©ó®ü®q¤½ÃÒ¸p
¤@µ¥§U²zû ªL¼ä¦p
®ü ®q ¤½ ÃÒ ¸p
¿Dªù´Óª«¾Ç·|
¬°着¤½§G¤§¥Øªº¡A³z¹L2024¦~5¤ë10¤éñ¸pªº¸g»{ÃÒ¤å®Ñ³]¥ß¤F¤WzªÀ¹Î¡C¸ÓªÀ¹Îªº³]¥ß¤å¥ó©M³¹µ{¤w¦sÀɩ󥻸p¤§¡§2024¦~ªÀ¹Î¤Î°]¹ÎÀx¦s¤å¥óÀɮס¨²Ä1/2024/ASSÀɮײղÄ21¸¹¡C
¿Dªù´Óª«¾Ç·|
³¹µ{
²Ä¤@³¹ Á`«h
²Ä¤@±ø ¦WºÙ
¥»·|¤¤¤å¦WºÙ¬°¡§¿Dªù´Óª«¾Ç·|¡¨¡A¸²¤å¦WºÙ¬°¡§Sociedade de Botânica de Macau¡¨¡A^¤å¦WºÙ¬°¡§Botanical Society of Macao¡¨¡A^¤å²ºÙ¬°¡§BSM¡¨¡C
²Ä¤G±ø ©v¦®
¥»·|¬°«D¦È§Q¹ÎÅé¡A©v¦®¬°¡G
¡]¤@¡^P¤O±À°Ê¥»¿D¦b¥Í©R¬ì¾Ç¡B¥Íª«¾Ç¡B¥ÍºA¾Ç¡BÀô¹Ò¬ì¾Ç¡B´Óª«¾Ç¤ÎÃĥδӪ«¾Çµ¥¾Ç¬ì¤§¾Ç³N¬ã¨s¤Î¥æ¬y¡A«P¶i¾Ç¬ìµo®i¡A´¶¤Î¬ì¾Çª¾ÃÑ¡A¶Ç¼½¬ì¾Çºë¯«¡B«ä·Q©M¤èªk¡A±À¼s¥ý¶i§Þ³N¡C
¡]¤G¡^¹Îµ²¹ï¥Í©R¬ì¾Ç¡B¥Íª«¾Ç¡B¥ÍºA¾Ç¡BÀô¹Ò¬ì¾Ç¡B´Óª«¾Ç¤ÎÃĥδӪ«¾Ç¦³¿³½ì¤§¤H¤h¡A¼W¥[©¼¦¹¤§¶¡ªº¥æ¬y»PÁp½Ë¡C
¡]¤T¡^¿n·¥Á|¿ì±À¼s¤Î¬ã¨s¥Í©R¬ì¾Ç¡B¥Íª«¾Ç¡B¥ÍºA¾Ç¡BÀô¹Ò¬ì¾Ç¡B´Óª«¾Ç¤ÎÃĥδӪ«¾Ç¤§¬ÛÃö¬¡°Ê©Î°ê»Ú¾Ç³N·|ij¡A¿n·¥Ápô¨Ã«P¶i»P°ê¤º¥~¬ÛÃö»â°ìªº¥æ¬y¡A´£¤É¥»¿D¦b¥Í©R¬ì¾Ç¡B¥Íª«¾Ç¡B¥ÍºA¾Ç¡BÀô¹Ò¬ì¾Ç¡B´Óª«¾Ç¤ÎÃĥδӪ«¾Ç¤è±¦b¾Ç³N¬ã¨s¡B±Ð¨|°ö°V¤Î³Ð·s¬ãµoµ¥»â°ìªº¦h¤¸µo®i¡C
²Ä¤T±ø ·|§}
¥»·|·|§}³]©ó¿Dªù¤å²Ä¤hµó19-21¸¹³qb¤j·H5¼ÓB®y¡C¸g·|û¤j·|§åã¡A¥»·|·|§}¥i¾E©¹¿Dªù¥ô¦ó¦a¤è¡C
²Ä¤G³¹ ·|û
²Ä¥|±ø ·|û¸ê®æ
¤Z¨ã¥Í©R¬ì¾Ç¡B¥Íª«¾Ç¡B¥ÍºA¾Ç¡BÀô¹Ò¬ì¾Ç¡B´Óª«¾Ç¡BÃĥδӪ«¾Ç¬ÛÃö¾Ç¾ú¸ê®æ©Î¬ÛÃö¸gÅçªÌ¡A¨Ã¹ï¥Í©R¬ì¾Ç¡B¥Íª«¾Ç¡B¥ÍºA¾Ç¡BÀô¹Ò¬ì¾Ç¡B´Óª«¾Ç¡BÃĥδӪ«¾Çªº±Ð¨|¡B¬ì¬ã¤ÎÀ³¥Î·P¿³½ì¡A»{¦P¤Î¿í¦u¥»·|³¹µ{ªÌ¡A§¡¥i¥Ó½Ð¤J·|¡C¸g²z¨Æ·|§åã¨Ã«ö³W©wú¯Ç·|¶OªÌ¡A¤è¬°·|û¡C
²Ä¤±ø ·|ûÅv§Q¤Î¸q°È
¡]¤@¡^·|û¦³¿ïÁ|Åv¤Î³Q¿ïÁ|Åv¡A¨É¦³¥»·|Á|¿ì¤@¤Á¬¡°Ê©MºÖ§QªºÅv§Q¡C
¡]¤G¡^·|û¦³¿í¦u·|³¹©M¨Mij¡A¥H¤Îú¥æ·|¶Oªº¸q°È¡C
²Ä¤T³¹ ²Õ´¾÷Ãö
²Ä¤»±ø ¾÷Ãö
¥»·|²Õ´¾÷Ãö¥]¬A·|û¤j·|¡B²z¨Æ·|¡BºÊ¨Æ·|¡C
²Ä¤C±ø ·|û¤j·|
¡]¤@¡^¥»·|³Ì°ªÅv¤O¾÷Ãö¬°·|û¤j·|¡At³d¨î©w©Î×§ï·|³¹¡F¿ïÁ|·|û¤j·|¥D®u¡B°Æ¥D®u¡B¯µ®Ñ©M²z¨Æ·|¡BºÊ¨Æ·|¦¨û¡F¨M©w·|°È¤è°w¡A¼f¬d©M§åã²z¨Æ·|¤u§@³ø§i¡C
¡]¤G¡^·|û¤j·|³]¥D®u¡B°Æ¥D®u¤Î¯µ®Ñ¦U¤@¦W¡C¨C©¡¥ô´Á¬°¤T¦~¡A¥i³s¿ï³s¥ô¡C
¡]¤T¡^·|û¤j·|¨C¦~Á|¦æ¤@¦¸¡A¦Ü¤Ö´£«e¤K¤Ñ³z¹L±¾¸¹«H©Îñ¦¬¤è¦¡¥l¶°¡A¥l¶°®Ñ¤º»Ýµù©ú·|ij¤§¤é´Á¡B®É¶¡¡B¦aÂI©Mijµ{¡C
¡]¥|¡^ק糧·|³¹µ{¤§¨Mij¡A¶·Àò¥X®u·|û¥|¤À¤§¤TªºÃÙ¦P²¼¡F¸Ñ´²¥»·|ªº¨Mij¡A¶·Àò¥þÅé·|û¥|¤À¤§¤TªºÃÙ¦P²¼¡C
²Ä¤K±ø ²z¨Æ·|
¡]¤@¡^¥»·|¦æ¬FºÞ²z¾÷Ãö¬°²z¨Æ·|¡At³d°õ¦æ·|û¤j·|¨Mij©M¤é±`¨ãÅé·|°È¡C
¡]¤G¡^²z¨Æ·|¥Ñ³Ì¤Ö¤T¦W©Î¥H¤W³æ¼Æ¦¨û²Õ¦¨¡A³]²z¨Æªø¤Î°Æ²z¨Æªø¦U¤@¦W¡B²z¨ÆY¤z¦W¡C¨C©¡¥ô´Á¬°¤T¦~¡A¥i³s¿ï³s¥ô¡C
¡]¤T¡^²z¨Æ·|·|ij¨C¦~¥l¶}¤@¦¸¡C·|ij¦b¦³¹L¥b¼Æ²z¨Æ·|¦¨û¥X®u®É¡A¤è¥iij¨M¨Æ©y¡A¨Mij¶·Àò¥X®u¦¨ûªºµ´¹ï¦h¼ÆÃÙ¦P²¼¤è¬°¦³®Ä¡C
²Ä¤E±ø ºÊ¨Æ·|
¡]¤@¡^¥»·|ºÊ¹î¾÷Ãö¬°ºÊ¨Æ·|¡At³dºÊ¹î²z¨Æ·|¤é±`·|°È¹B§@©M°]¬F¦¬¤ä¡C
¡]¤G¡^ºÊ¨Æ·|¥Ñ³Ì¤Ö¤T¦W©Î¥H¤W³æ¼Æ¦¨û²Õ¦¨¡A³]ºÊ¨Æªø¤Î°ÆºÊ¨Æªø¦U¤@¦W¡BºÊ¨ÆY¤z¦W¡C¨C©¡¥ô´Á¬°¤T¦~¡A¥i³s¿ï³s¥ô¡C
¡]¤T¡^ºÊ¨Æ·|·|ij¨C¦~¥l¶}¤@¦¸¡C·|ij¦b¦³¹L¥b¼ÆºÊ¨Æ·|¦¨û¥X®u®É¡A¤è¥iij¨M¨Æ©y¡A¨Mij¶·Àò¥X®u¦¨ûªºµ´¹ï¦h¼ÆÃÙ¦P²¼¤è¬°¦³®Ä¡C
²Ä¥|³¹ ªþ«h
²Ä¤Q±ø ¸g¶O
¥»·|¸g¶O·½©ó·|û·|¶O¤Î¦U¬É¤H¤hÃÙ§U¡AÕ¦³¤£¼Å©Î¯S§O»Ý¥Î´Ú®É¡A±o¥Ñ²z¨Æ·|¨M©wÄw¶Ò¤§¡C
¤G¹s¤G¥|¦~¤¤ë¤Q¤é©ó®ü®q¤½ÃÒ¸p
¤@µ¥§U²zû ªL¼ä¦p
®ü ®q ¤½ ÃÒ ¸p
¿DªùÃIJz¾Ç©M¹êÅçªvÀø¾Ç·|
¬°着¤½§G¤§¥Øªº¡A³z¹L2024¦~5¤ë10¤éñ¸pªº¸g»{ÃÒ¤å®Ñ³]¥ß¤F¤WzªÀ¹Î¡C¸ÓªÀ¹Îªº³]¥ß¤å¥ó©M³¹µ{¤w¦sÀɩ󥻸p¤§¡§2024¦~ªÀ¹Î¤Î°]¹ÎÀx¦s¤å¥óÀɮס¨²Ä1/2024/ASSÀɮײղÄ20¸¹¡C
¿DªùÃIJz¾Ç©M¹êÅçªvÀø¾Ç·|
³¹µ{
²Ä¤@³¹ Á`«h
²Ä¤@±ø ¦WºÙ
¥»·|¤¤¤å¦WºÙ¬°¡§¿DªùÃIJz¾Ç©M¹êÅçªvÀø¾Ç·|¡¨¡A¸²¤å¦WºÙ¬°¡§Associação de Farmacologia e Terapêutica Experimental de Macau¡¨¡A^¤å¦WºÙ¬°¡§Macau Society for Pharmacology and Experimental Therapeutics¡¨¡A^¤å²ºÙ¬°¡§MSPET¡¨¡C
²Ä¤G±ø ©v¦®
¥»·|¬°«D¦È§Q¹ÎÅé¡A©v¦®¬°¡G
¡]¤@¡^±K¤ÁÁpôÃIJz¾Ç©M¹êÅçªvÀø¾Ç¬ÛÃö¬ì§Þ¤u§@ªÌ¡C«P¶iÃIJz¾Ç©M¹êÅçªvÀø¬ì¾Ç§Þ³Nªº³Ð·s¥H¤Î¬ÛÃö¬ì§Þ¤H¤~ªºµo®i¡AP¤Oµo®iÃIJz©M¹êÅçªvÀø¬ÛÃö§Þ³N¤ÎÀ³¥Î¡A¥þ±´£°ªÃIJz¾Ç©M¹êÅçªvÀø¾Ç¦b¥»¿Dªºµo®i¡C
¡]¤G¡^¬°·|û¡BÃIJz¾Ç©M¹êÅçªvÀø¾Ç¬ì§Þ¤u§@ªÌªA°È¡A²Õ´¶}®iÃIJz¾Ç©M¹êÅçªvÀø¾Çªº¾Ç³N¥æ¬y¬¡°Ê¡A«P¶iÃIJz¾Ç©M¹êÅçªvÀø¬ì¾Ç§Þ³Nªº´¶¤Î»P±À¼s¡C¥[±j»P¥»¿D¡B¤¤°ê¸f´ä¿D¤jÆW°Ï¡B¸²»y¨t°ê®a©Î¥þ²yÃIJz¾Ç©M¹êÅçªvÀø¤u§@ªÌ²Õ´¾Ç³N¥æ¬y¬¡°Ê¡A¨Ã«P¶i°ê»Ú¦X§@¡C
¡]¤T¡^¶}®i°ê»Ú¬ì§Þ¥æ¬y»P¦X§@¡A¬¡ÅD¾Ç³N«ä·Q¡A«P¶i¾Ç¬ìµo®i¡C§Q¥Î¿Dªù¯S°ÏÀu¶Õ¡A±À°ÊÂåÃĨƷ~µo®i¡A´£¤É¾Ç³N¬ã¨s¤Î³Ð·s¬ãµoµ¥»â°ìªºµo®i¡C±À°ÊÃĪ«ªº²£«~¬ãµo¡A´£°ª²£·~¤Æ§Þ³N¤ô·Ç¡A«P¶iÃIJz¾Ç©M¹êÅçªvÀø¾Ç»P¸gÀÙªºµ²¦X¡A±À°ÊªÀ·|¸gÀÙµo®i¡C
²Ä¤T±ø ·|§}
¥»·|·|§}³]©ó¿Dªù°ª¤h¼w°¨¸ô°ª¤h¼wªá¶éA®y16¼ÓI¡C¸g·|û¤j·|§åã¡A¥»·|·|§}¥i¾E©¹¿Dªù¥ô¦ó¦a¤è¡C
²Ä¤G³¹ ·|û
²Ä¥|±ø ·|û¸ê®æ
¥»·|·|û¤À¬°´¶³q·|û¤Î±M·~·|û¡C
(¤@) ´¶³q·|û¡G¤Z¨ãÃIJz¾Ç©M¹êÅçªvÀø¬ì¾Ç©Î¬ÛÃö¾Ç¾ú¸ê®æ¤Î¸gÅçªÌ¡A¨Ã¹ïÃIJz©Î¹êÅçªvÀøªº¬ì¬ã¤ÎÀ³¥Î·P¿³½ì¡A»{¦P¤Î¿í¦u¥»·|³¹µ{ªÌ¡A§¡¥i¥Ó½Ð¤J·|¡C¸g²z¨Æ·|§åã¨Ã«ö³W©wú¯Ç·|¶OªÌ¡A¤è¬°´¶³q·|û¡C
(¤G) ±M·~·|û¡G¥²¶·¨ã³ÆÃIJz¾Ç©M¹êÅçªvÀø¬ì¾Çªº¬ÛÃö±M·~¾Ç¾ú¨Ã±q¨Æ¬ÛÃö¦æ·~ªº¤H¤h¡A»{¦P¤Î¿í¦u¥»·|³¹µ{¡A§¡¥i¥Ó½Ð¤J·|¡C¸g²z¨Æ·|§åã¨Ã«ö³W©wú¯Ç·|¶OªÌ¡A¤è¬°±M·~·|û¡C
²Ä¤±ø ·|ûÅv§Q¤Î¸q°È
¡]¤@¡^·|û¦³¿ïÁ|Åv¤Î³Q¿ïÁ|Åv¡A¨É¦³¥»·|Á|¿ì¤@¤Á¬¡°Ê©MºÖ§QªºÅv§Q¡C
¡]¤G¡^·|û¦³¿í¦u·|³¹©M¨Mij¡A¥H¤Îú¥æ·|¶Oªº¸q°È¡C
²Ä¤T³¹ ²Õ´¾÷Ãö
²Ä¤»±ø ¾÷Ãö
¥»·|²Õ´¾÷Ãö¥]¬A·|û¤j·|¡B²z¨Æ·|¡BºÊ¨Æ·|¡C
²Ä¤C±ø ·|û¤j·|
¡]¤@¡^¥»·|³Ì°ªÅv¤O¾÷Ãö¬°·|û¤j·|¡At³d¨î©w©Î×§ï·|³¹¡F¿ïÁ|·|û¤j·|¥D®u¡B°Æ¥D®u¡B¯µ®Ñ©M²z¨Æ·|¡BºÊ¨Æ·|¦¨û¡F¨M©w·|°È¤è°w¡A¼f¬d©M§åã²z¨Æ·|¤u§@³ø§i¡C
¡]¤G¡^·|û¤j·|³]¥D®u¡B°Æ¥D®u¤Î¯µ®Ñ¦U¤@¦W¡C¨C©¡¥ô´Á¬°¤T¦~¡A¥i³s¿ï³s¥ô¡C
¡]¤T¡^·|û¤j·|¨C¦~Á|¦æ¤@¦¸¡A¦Ü¤Ö´£«e¤K¤Ñ³z¹L±¾¸¹«H©Îñ¦¬¤è¦¡¥l¶°¡A¥l¶°®Ñ¤º»Ýµù©ú·|ij¤§¤é´Á¡B®É¶¡¡B¦aÂI©Mijµ{¡C
¡]¥|¡^ק糧·|³¹µ{¤§¨Mij¡A¶·Àò¥X®u·|û¥|¤À¤§¤TªºÃÙ¦P²¼¡F¸Ñ´²¥»·|ªº¨Mij¡A¶·Àò¥þÅé·|û¥|¤À¤§¤TªºÃÙ¦P²¼¡C
²Ä¤K±ø ²z¨Æ·|
¡]¤@¡^¥»·|¦æ¬FºÞ²z¾÷Ãö¬°²z¨Æ·|¡At³d°õ¦æ·|û¤j·|¨Mij©M¤é±`¨ãÅé·|°È¡C
¡]¤G¡^²z¨Æ·|¥Ñ³Ì¤Ö¤T¦W©Î¥H¤W³æ¼Æ¦¨û²Õ¦¨¡A³]²z¨Æªø¤Î°Æ²z¨Æªø¦U¤@¦W¡B²z¨ÆY¤z¦W¡C¨C©¡¥ô´Á¬°¤T¦~¡A¥i³s¿ï³s¥ô¡C
¡]¤T¡^²z¨Æ·|·|ij¨C¦~¥l¶}¤@¦¸¡C·|ij¦b¦³¹L¥b¼Æ²z¨Æ·|¦¨û¥X®u®É¡A¤è¥iij¨M¨Æ©y¡A¨Mij¶·Àò¥X®u¦¨ûªºµ´¹ï¦h¼ÆÃÙ¦P²¼¤è¬°¦³®Ä¡C
²Ä¤E±ø ºÊ¨Æ·|
¡]¤@¡^¥»·|ºÊ¹î¾÷Ãö¬°ºÊ¨Æ·|¡At³dºÊ¹î²z¨Æ·|¤é±`·|°È¹B§@©M°]¬F¦¬¤ä¡C
¡]¤G¡^ºÊ¨Æ·|¥Ñ³Ì¤Ö¤T¦W©Î¥H¤W³æ¼Æ¦¨û²Õ¦¨¡A³]ºÊ¨Æªø¤Î°ÆºÊ¨Æªø¦U¤@¦W¡BºÊ¨ÆY¤z¦W¡C¨C©¡¥ô´Á¬°¤T¦~¡A¥i³s¿ï³s¥ô¡C
¡]¤T¡^ºÊ¨Æ·|·|ij¨C¦~¥l¶}¤@¦¸¡C·|ij¦b¦³¹L¥b¼ÆºÊ¨Æ·|¦¨û¥X®u®É¡A¤è¥iij¨M¨Æ©y¡A¨Mij¶·Àò¥X®u¦¨ûªºµ´¹ï¦h¼ÆÃÙ¦P²¼¤è¬°¦³®Ä¡C
²Ä¥|³¹ ªþ«h
²Ä¤Q±ø ¸g¶O
¥»·|¸g¶O·½©ó·|û·|¶O¤Î¦U¬É¤H¤hÃÙ§U¡AÕ¦³¤£¼Å©Î¯S§O»Ý¥Î´Ú®É¡A±o¥Ñ²z¨Æ·|¨M©wÄw¶Ò¤§¡C
¤G¹s¤G¥|¦~¤¤ë¤Q¤é©ó®ü®q¤½ÃÒ¸p
¤@µ¥§U²zû ªL¼ä¦p
®ü ®q ¤½ ÃÒ ¸p
¿Dªù¬ì¾Ç±Ð¨|°ê»Ú¨ó·|
¬°着¤½§G¤§¥Øªº¡A³z¹L2024¦~5¤ë10¤éñ¸pªº¸g»{ÃÒ¤å®Ñ³]¥ß¤F¤WzªÀ¹Î¡C¸ÓªÀ¹Îªº³]¥ß¤å¥ó©M³¹µ{¤w¦sÀɩ󥻸p¤§¡§2024¦~ªÀ¹Î¤Î°]¹ÎÀx¦s¤å¥óÀɮס¨²Ä1/2024/ASSÀɮײղÄ23¸¹¡C
¿Dªù¬ì¾Ç±Ð¨|°ê»Ú¨ó·|
³¹µ{
²Ä¤@³¹ Á`«h
²Ä¤@±ø ¦WºÙ
¥»·|¤¤¤å¦WºÙ¬°¡§¿Dªù¬ì¾Ç±Ð¨|°ê»Ú¨ó·|¡¨¡A^¤å¦WºÙ¬°¡§The International Association of Macao Science Education¡¨¡A^¤å²ºÙ¬°¡§IAMSE¡¨¡C
²Ä¤G±ø ©v¦®
¥»·|¬°«D¦È§Q¹ÎÅé¡A©v¦®¬°¡G
¡]¤@¡^«P¶i¥»¿D¦b¬ì¾Ç§Þ³N¡B¬ì¾Ç´¶¤Î¡B¦ÛµM¬ì¾Ç¾Ç¬ì±Ð¨|¤Î¬ì¾Ç¬ã¨sµ¥¨Æ·~µo®i¡A¥[±j¿Dªù¬ì¾Ç¾Ç¬ì±Ð¨|¤§°ö¨|»P±À¼s¡C
¡]¤G¡^Á|¿ì¤£¦PÃþ«¬¤§¬ì¾Ç±´¨s¬¡°Ê¡BÄvÁɩΰö°V½Òµ{¡A°ö¾i¾Ç¥Íªº¬ì¾Ç¯À¾i¡C
¡]¤T¡^¤Þ¤J°ê¤º¥~¦¨¥\¤ÎÀu¨qªº·s¿³¬ì¾Ç±Ð¨|½Òµ{©Î¬ì´¶ÄvÁÉ¡A±À¶i¿Dªù¬ì¾Ç±Ð¨|ªº°ê»Ú¤Æ¡C
¡]¥|¡^¿n·¥±À°Ê¥»¿D»P°ê¤º¥~¬ÛÃö»â°ì¤Î¹ÎÅ餧¥æ¬y¦X§@¡C
¡]¤¡^¹Îµ²¹ï¬ì¾Ç´¶¤Î¡B¦ÛµM¬ì¾Ç¾Ç¬ì±Ð¨|¡B¬ì¾Ç¬ã¨s±À¼s¤§¦³¿³½ì¤H¤h¡A¼W¥[©¼¦¹¤§¶¡ªº¥æ¬y»PÁp½Ë¡A´£¤É¥»¿D¬ÛÃö»â°ì¤§¾Ç³N¬ã¨s©Î±Ð¨|°ö°Vµ¥¦h¤¸»â°ìµo®i¡C
²Ä¤T±ø ·|§}
¥»·|·|§}³]©ó¿Dªù¤å²Ä¤hµó19-21¸¹³qb¤j·H5¼ÓB®y¡C¸g·|û¤j·|§åã¡A¥»·|·|§}¥i¾E©¹¿Dªù¥ô¦ó¦a¤è¡C
²Ä¤G³¹ ·|û
²Ä¥|±ø ·|û¸ê®æ
¤Z¨ã¦ÛµM¬ì¾Ç¾Ç¬ì±Ð¨|¡B¬ì¾Ç±Ð¨|¡B±Ð¨|¡B¦ÛµM¬ì¾Çµ¥¬ÛÃö¾Ç¾ú¸ê®æ©Î¬ÛÃö¸gÅçªÌ¡A¨Ã¹ï¬ÛÃö¾Ç¬ìªº°ö¨|¡B±À¼s¤ÎÀ³¥Î·P¿³½ì¡A»{¦P¤Î¿í¦u¥»·|³¹µ{ªÌ¡A§¡¥i¥Ó½Ð¤J·|¡C¸g²z¨Æ·|§åã¨Ã«ö³W©wú¯Ç·|¶OªÌ¡A¤è¬°·|û¡C
²Ä¤±ø ·|ûÅv§Q¤Î¸q°È
¡]¤@¡^·|û¦³¿ïÁ|Åv¤Î³Q¿ïÁ|Åv¡A¨É¦³¥»·|Á|¿ì¤@¤Á¬¡°Ê©MºÖ§QªºÅv§Q¡C
¡]¤G¡^·|û¦³¿í¦u·|³¹©M¨Mij¡A¥H¤Îú¥æ·|¶Oªº¸q°È¡C
²Ä¤T³¹ ²Õ´¾÷Ãö
²Ä¤»±ø ¾÷Ãö
¥»·|²Õ´¾÷Ãö¥]¬A·|û¤j·|¡B²z¨Æ·|¡BºÊ¨Æ·|¡C
²Ä¤C±ø ·|û¤j·|
¡]¤@¡^¥»·|³Ì°ªÅv¤O¾÷Ãö¬°·|û¤j·|¡At³d¨î©w©Î×§ï·|³¹¡F¿ïÁ|·|û¤j·|¥D®u¡B°Æ¥D®u¡B¯µ®Ñ©M²z¨Æ·|¡BºÊ¨Æ·|¦¨û¡F¨M©w·|°È¤è°w¡A¼f¬d©M§åã²z¨Æ·|¤u§@³ø§i¡C
¡]¤G¡^·|û¤j·|³]¥D®u¡B°Æ¥D®u¤Î¯µ®Ñ¦U¤@¦W¡C¨C©¡¥ô´Á¬°¤T¦~¡A¥i³s¿ï³s¥ô¡C
¡]¤T¡^·|û¤j·|¨C¦~Á|¦æ¤@¦¸¡A¦Ü¤Ö´£«e¤K¤Ñ³z¹L±¾¸¹«H©Îñ¦¬¤è¦¡¥l¶°¡A¥l¶°®Ñ¤º»Ýµù©ú·|ij¤§¤é´Á¡B®É¶¡¡B¦aÂI©Mijµ{¡C
¡]¥|¡^ק糧·|³¹µ{¤§¨Mij¡A¶·Àò¥X®u·|û¥|¤À¤§¤TªºÃÙ¦P²¼¡F¸Ñ´²¥»·|ªº¨Mij¡A¶·Àò¥þÅé·|û¥|¤À¤§¤TªºÃÙ¦P²¼¡C
²Ä¤K±ø ²z¨Æ·|
¡]¤@¡^¥»·|¦æ¬FºÞ²z¾÷Ãö¬°²z¨Æ·|¡At³d°õ¦æ·|û¤j·|¨Mij©M¤é±`¨ãÅé·|°È¡C
¡]¤G¡^²z¨Æ·|¥Ñ³Ì¤Ö¤T¦W©Î¥H¤W³æ¼Æ¦¨û²Õ¦¨¡A³]²z¨Æªø¤Î°Æ²z¨Æªø¦U¤@¦W¡B²z¨ÆY¤z¦W¡C¨C©¡¥ô´Á¬°¤T¦~¡A¥i³s¿ï³s¥ô¡C
¡]¤T¡^²z¨Æ·|·|ij¨C¦~¥l¶}¤@¦¸¡C·|ij¦b¦³¹L¥b¼Æ²z¨Æ·|¦¨û¥X®u®É¡A¤è¥iij¨M¨Æ©y¡A¨Mij¶·Àò¥X®u¦¨ûªºµ´¹ï¦h¼ÆÃÙ¦P²¼¤è¬°¦³®Ä¡C
²Ä¤E±ø ºÊ¨Æ·|
¡]¤@¡^¥»·|ºÊ¹î¾÷Ãö¬°ºÊ¨Æ·|¡At³dºÊ¹î²z¨Æ·|¤é±`·|°È¹B§@©M°]¬F¦¬¤ä¡C
¡]¤G¡^ºÊ¨Æ·|¥Ñ³Ì¤Ö¤T¦W©Î¥H¤W³æ¼Æ¦¨û²Õ¦¨¡A³]ºÊ¨Æªø¤Î°ÆºÊ¨Æªø¦U¤@¦W¡BºÊ¨ÆY¤z¦W¡C¨C©¡¥ô´Á¬°¤T¦~¡A¥i³s¿ï³s¥ô¡C
¡]¤T¡^ºÊ¨Æ·|·|ij¨C¦~¥l¶}¤@¦¸¡C·|ij¦b¦³¹L¥b¼ÆºÊ¨Æ·|¦¨û¥X®u®É¡A¤è¥iij¨M¨Æ©y¡A¨Mij¶·Àò¥X®u¦¨ûªºµ´¹ï¦h¼ÆÃÙ¦P²¼¤è¬°¦³®Ä¡C
²Ä¥|³¹ ªþ«h
²Ä¤Q±ø ¸g¶O
¥»·|¸g¶O·½©ó·|û·|¶O¤Î¦U¬É¤H¤hÃÙ§U¡AÕ¦³¤£¼Å©Î¯S§O»Ý¥Î´Ú®É¡A±o¥Ñ²z¨Æ·|¨M©wÄw¶Ò¤§¡C
¤G¹s¤G¥|¦~¤¤ë¤Q¤é©ó®ü®q¤½ÃÒ¸p
¤@µ¥§U²zû ªL¼ä¦p
¨p ¤H ¤½ ÃÒ û
ÃÒ ©ú
¼Æ¦rÂåÀø»P¤H¤u´¼¼z¾Ç·|
¬°着¤½§G¤§¥Øªº¡A¯÷ÃÒ©ú³z¹L2024¦~05¤ë10¤é©ó¥»¨p¤H¤½ÃÒ¸p©Òñ¸pªº¸g»{ÃÒ¤å®Ñ³]¥ß¤F¤WzªÀ¹Î¡A¨ä©v¦®¤Î¦í©Ò§¡¸ü©óªþ¥óªº³¹µ{¤º®e¡C¸ÓªÀ¹Îªº³]¥ß¤å¥ó©M³¹µ{¤w¦sÀɩ󥻨p¤H¤½ÃÒ¸p¡§2024¦~ªÀ¹Î¤Î°]¹Î¤å¥óÀɮײա¨²Ä1/2024Àɮײդº¡A½s¸¹¬°10¡A³¹µ{±ø¤å¤º®e¸ü©óªþ¥ó¡C
Certifico, para efeitos de publicação, que foi constituída por documento autenticado assinado neste cartório, no dia 10 de Maio de 2024, uma associação com a denominação em epígrafe, cujos objecto e sede constam do estatuto em anexo, sendo acto constitutivo e estatuto arquivados neste cartório no maço de documentos de associações e de instituição de fundações do ano 2024, número 1/2024 sob o documento número 10.
¼Æ¦rÂåÀø»P¤H¤u´¼¼z¾Ç·|
³¹µ{
²Ä¤@³¹ Á`«h
²Ä¤@±ø ¦WºÙ
¥»·|¤¤¤å¦WºÙ¬°¡§¼Æ¦rÂåÀø»P¤H¤u´¼¼z¾Ç·|¡¨¡A¸²¤å¦WºÙ¬°¡§Sociedade de Medicina Digital e Inteligência Artificial¡¨¡A^¤å¦WºÙ¬°¡§Digital Healthcare and Artificial Intelligence Association¡¨¡A^¤å²ºÙ¬°¡§DHAIA¡¨¡C
²Ä¤G±ø ©v¦®
¥»·|¬°«D¦È§Q¹ÎÅé¡A©v¦®¬°¡G
¡]¤@¡^«P¶i¼Æ¦rÂåÀø»P¤H¤u´¼¼zªº¬ì¬ã¡B§Þ³N¶i¨B©MÀ³¥Î¡C
¡]¤G¡^«Ø¥ß¼Æ¦rÂåÀø»P¤H¤u´¼¼zªº¼Ð·Ç©M³W½d¡A±À°Ê¦æ·~µo®i¡C
¡]¤T¡^«P¶i¼Æ¦rÂåÀø»P¤H¤u´¼¼zªº°ê»Ú¥æ¬y»P¦X§@¡C
¡]¥|¡^´£¤É¼Æ¦rÂåÀø»P¤H¤u´¼¼zªº¤½²³»{ª¾«×©M±µ¨ü«×¡C
¡]¤¡^¬°·|û´£¨Ñ¾Ç³N¥æ¬y¡B§Þ³N°ö°V©M«t¸ßªA°È¡C
¡]¤»¡^µo²{©M°ö¾i¼Æ¦rÂåÀø»P¤H¤u´¼¼z»â°ìªºÀu¨q¤H¤~¡C
¡]¤C¡^«P¶i¼Æ¦rÂåÀø»P¤H¤u´¼¼zªºªÀ·|»{¥i©M»{¦P¡C
²Ä¤T±ø ·|§}
¥»·|·|§}³]©ó¿DªùªÎ§Q³â¨È¬ü¥´¤j°¨¸ô106-122¸¹栢¿·ªá¶é¦a¤UAE®y¡C¸g·|û¤j·|§åã¡A¥»·|·|§}¥i¾E©¹¿Dªù¥ô¦ó¦a¤è¡C
²Ä¤G³¹ ·|û
²Ä¥|±ø ·|û¸ê®æ
¤Z¨ã¼Æ¦rÂåÀø©Î¤H¤u´¼¼z¬ÛÃö¾Ç¾ú¸ê®æ©Î¬ÛÃö¸gÅçªÌ¡A¨Ã¹ï¼Æ¦rÂåÀø¡B¤H¤u´¼¼z¡B¥Íª«¬ì§Þ¡B¥ÍÂå¡B¤j¼Æ¾Ú¬ì¾Çµ¥ªº§Þ³N¡B¬ì¬ã¤ÎÀ³¥Î·P¿³½ì¡A»{¦P¤Î¿í¦u¥»·|³¹µ{ªÌ¡A§¡¥i¥Ó½Ð¤J·|¡C¸g²z¨Æ·|§åã¨Ã«ö³W©wú¯Ç·|¶OªÌ¡A¤è¬°·|û¡C
²Ä¤±ø ·|ûÅv§Q¤Î¸q°È
¡]¤@¡^·|û¦³¿ïÁ|Åv¤Î³Q¿ïÁ|Åv¡A¨É¦³¥»·|Á|¿ì¤@¤Á¬¡°Ê©MºÖ§QªºÅv§Q¡C
¡]¤G¡^·|û¦³¿í¦u·|³¹©M¨Mij¡A¥H¤Îú¥æ·|¶Oªº¸q°È¡C
²Ä¤T³¹ ²Õ´¾÷Ãö
²Ä¤»±ø ¾÷Ãö
¥»·|²Õ´¾÷Ãö¥]¬A·|û¤j·|¡B²z¨Æ·|¡BºÊ¨Æ·|¡C
²Ä¤C±ø ·|û¤j·|
¡]¤@¡^¥»·|³Ì°ªÅv¤O¾÷Ãö¬°·|û¤j·|¡At³d¨î©w©Î×§ï·|³¹¡F¿ïÁ|·|û¤j·|¥D®u¡B°Æ¥D®u¡B¯µ®Ñ©M²z¨Æ·|¡BºÊ¨Æ·|¦¨û¡F¨M©w·|°È¤è°w¡A¼f¬d©M§åã²z¨Æ·|¤u§@³ø§i¡C
¡]¤G¡^·|û¤j·|³]¥D®u¡B°Æ¥D®u¤Î¯µ®Ñ¦U¤@¦W¡C¨C©¡¥ô´Á¬°¤T¦~¡A¥i³s¿ï³s¥ô¡C
¡]¤T¡^·|û¤j·|¨C¦~Á|¦æ¤@¦¸¡A¦Ü¤Ö´£«e¤K¤Ñ³z¹L±¾¸¹«H©Îñ¦¬¤è¦¡¥l¶°¡A¥l¶°®Ñ¤º»Ýµù©ú·|ij¤§¤é´Á¡B®É¶¡¡B¦aÂI©Mijµ{¡A¦p¹J«¤j©Î¯S§O¨Æ¶µ±o¥l¶}¯S§O·|û¤j·|¡C
¡]¥|¡^ק糧·|³¹µ{¤§¨Mij¡A¶·Àò¥X®u·|û¥|¤À¤§¤TªºÃÙ¦P²¼¡F¸Ñ´²¥»·|ªº¨Mij¡A¶·Àò¥þÅé·|û¥|¤À¤§¤TªºÃÙ¦P²¼¡C
²Ä¤K±ø ²z¨Æ·|
¡]¤@¡^¥»·|¦æ¬FºÞ²z¾÷Ãö¬°²z¨Æ·|¡At³d°õ¦æ·|û¤j·|¨Mij©M¤é±`¨ãÅé·|°È¡C
¡]¤G¡^²z¨Æ·|¥Ñ³Ì¤Ö¤T¦W©Î¥H¤W³æ¼Æ¦¨û²Õ¦¨¡A³]²z¨Æªø¤Î°Æ²z¨Æªø¦U¤@¦W¡B²z¨ÆY¤z¦W¡C¨C©¡¥ô´Á¬°¤T¦~¡A¥i³s¿ï³s¥ô¡C
¡]¤T¡^²z¨Æ·|·|ij¨C¦~¥l¶}¤@¦¸¡C·|ij¦b¦³¹L¥b¼Æ²z¨Æ·|¦¨û¥X®u®É¡A¤è¥iij¨M¨Æ©y¡A¨Mij¶·Àò¥X®u¦¨ûªºµ´¹ï¦h¼ÆÃÙ¦P²¼¤è¬°¦³®Ä¡C
²Ä¤E±ø ºÊ¨Æ·|
¡]¤@¡^¥»·|ºÊ¹î¾÷Ãö¬°ºÊ¨Æ·|¡At³dºÊ¹î²z¨Æ·|¤é±`·|°È¹B§@©M°]¬F¦¬¤ä¡C
¡]¤G¡^ºÊ¨Æ·|¥Ñ³Ì¤Ö¤T¦W©Î¥H¤W³æ¼Æ¦¨û²Õ¦¨¡A³]ºÊ¨Æªø¤Î°ÆºÊ¨Æªø¦U¤@¦W¡BºÊ¨ÆY¤z¦W¡C¨C©¡¥ô´Á¬°¤T¦~¡A¥i³s¿ï³s¥ô¡C
¡]¤T¡^ºÊ¨Æ·|·|ij¨C¦~¥l¶}¤@¦¸¡C·|ij¦b¦³¹L¥b¼ÆºÊ¨Æ·|¦¨û¥X®u®É¡A¤è¥iij¨M¨Æ©y¡A¨Mij¶·Àò¥X®u¦¨ûªºµ´¹ï¦h¼ÆÃÙ¦P²¼¤è¬°¦³®Ä¡C
²Ä¥|³¹ ªþ«h
²Ä¤Q±ø ¸g¶O
¥»·|¸g¶O·½©ó·|û·|¶O¤Î¦U¬É¤H¤hÃÙ§U¡AÕ¦³¤£¼Å©Î¯S§O»Ý¥Î´Ú®É¡A±o¥Ñ²z¨Æ·|¨M©wÄw¶Ò¤§¡C
¤G¹s¤G¥|¦~¤¤ë¤Q¤é©ó¿Dªù
¨p¤H¤½ÃÒû ³Á¿³·~
Cartório Privado, em Macau, aos 10 de Maio de 2024. ¡X O Notário Privado, Mak Heng Ip.
¨p ¤H ¤½ ÃÒ û
CERTIFICADO
¿Dªù°ê»ÚÃÀ³N¹q¼v¨ó·|
¬°¤½§G¤§¥Øªº¡A¯÷ÃÒ©ú¤Wz²Õ´ªÀ¹Î¤§³¹µ{¤å¥»¦Û¤G¹s¤G¥|¦~¤¤ë¤Q¤»¤é°_¡A¦s©ñ©ó¥»¸p¤§10/2024¸¹Àɮײդº¡A¨Ãµn°O©ó²Ä1¸¹¡§¿W¥ß¤å®Ñ¤Î¨ä¥L¤å¥ó¤§µn°Oï册¡¨¤º¡A¸Ó²Õ´³¹µ{¤º®e¸ü©óªþ¥ó¤§ÃÒ©ú®Ñ¤º¨Ã»Pì¥ó¤@¦¡µL³_¡C
¿Dªù°ê»ÚÃÀ³N¹q¼v¨ó·|
³¹µ{
²Ä¤@³¹
Á`«h
²Ä¤@±ø
¦WºÙ
¥»·|©w¦W¬°¡u¿Dªù°ê»ÚÃÀ³N¹q¼v¨ó·|¡v¡A¸²¤å¦WºÙ¬°¡§Associação de International de Cinema Artístico de Macau¡¨¡A^¤å¦WºÙ¬°¡§Macau International Art Film Association¡¨¡A¥H¤U²ºÙ¡u¥»·|¡v¡C
²Ä¤G±ø
©v¦®
¥»·|¦¨¥ß¥Øªº¬°¡G
¤@¡Bµo±¸¨Ã¥°´Àu¨qÃÀ³N¹q¼v¡A«P¶i¦h¤¸¤å¤Æ´¶¤Î©M±À¼s¡A±À°Ê¥@¬É¯S§O¬O¨È¤Ó¦a°Ï¹q¼v²£·~ªºµo®i¡C
¤G¡B³z¹LÁ|¿ì¹q¼v¸`¡B¹qµø¸`¡B½×¾Â¡B³ÕÄý·|µ¥¦UÃþ¬¡°Ê¡A±À°Ê¥»¿Dªº¼vµø·~¬É¤H¤h»P¾÷ºc¿Ä¤J°ê»Ú¼vµø¥æ¬y»P¦X§@¡A«P¶i¥»¿D¼vµø§@«~ªº³Ð§@¡A¥´³y¥»¿D¼vµø»P¤å®Èªºª¾¦W«×©M¬üÅA«×¡C
¤T¡B¹Îµ²¥»¿Dªº¼vµø«C¦~¤u§@ªÌ¡A²Õ´°ö°V¤Î¥æ¬y¬¡°Ê¡A´£¤É«C¦~¼v¤Hªº±M·~¯À¾i©M³Ð§@¤O¡A¨Ï¤§¨ã¦³¥«³õÄvª§¤O¡A°ö¾i©M§ß«ù¥X¾AÀ³°ê»Ú¼vµøµo®iªºÀu¨q¤H§÷»PÀu¨q¾÷ºc¡C
¥|¡B³q¹L°ê»ÚÃÀ³N¼vµøªº¦UÃþ¬¡°Ê¡A±Òµo¥»¿D©~¥ÁÃöª`ªÀ·|¡BªA°ÈªÀ¸s¡Bµo±¸¼ç¯à¡Bµo´§©Òªø¡B«Ø¥ß¥¿½Tªº»ùÈÆ[¡B¾ð¥ß¥¿½T«~¼w«ä·Q¡C
²Ä¤T±ø
·|§}³q°T³B
¥»·|·|§}³]©ó¿Dªù氹¥J¥Ã¼Ö³ò61¸¹¤¤ºÖªá¶éÄR´º»Õ14¼ÓC«Ç¡C
¸g²z¨Æ·|¦P·N¥i§ó§ï·|§}¡C
²Ä¤G³¹
·|û
²Ä¥|±ø
·|û¸ê®æ
¤ZÃÙ¦¨¥»·|©v¦®¡A»{¦P¥»·|³¹µ{¡A¥H¤Î»P¹q¼v·~¦³ÃöªÌ¡A§¡¥i¥Ó½Ð¬°¥»·|·|û¡C
»P¹q¼v·~¦³ÃöªÌ¡A¥i¥]¬A±q¨Æ¹q¼v¦æ·~ªÌ¡B¹q¼v§ë¸êªÌ¡B¨ã³Æ¹q¼v¬ÛÃö§Þ³N¤§¤H¡B¨ã³Æ¹q¼v¬ÛÃöÃҮѤ§¤H¡B¤S©Î¹ï¹q¼v·~§@¥X°^Äm¤§¤H¡C
¸g¥»·|²z¨Æ·|§åã«á¡A¥i¦¨¬°·|û¡C
²Ä¤±ø
·|û¤§Åv§Q
¥»·|·|û¨É¦³¥H¤UÅv§Q¡G
¡]¤@¡^¿ïÁ|¤Î³Q¿ï¤§Åv¡F
¡]¤G¡^°Ñ¥[·|û¤j·|¤Îªí¨M¡F
¡]¤T¡^«ö·Ó·|³¹³W©w½Ð¨D¥l¶}·|û¤j·|¡F
¡]¥|¡^°Ñ»P¥»·|¤@¤Á¬¡°Ê¤Î¨É¦³¥»·|ªº¦U¶µºÖ§Q¡C
²Ä¤»±ø
·|û¤§¸q°È
¥»·|·|û¦³¥H¤U¸q°È¡G
¡]¤@¡^¿í¦u·|³¹¤Î°õ¦æ¨Mij¡F
¡]¤G¡^³e¹ý¥»·|©v¦®¡A«P¶i·|°Èµo®i¡F
¡]¤T¡^°Ñ¥[·|°È¬¡°Ê©M©ÒÄݾ÷Ãöªº·|ij¡F
¡]¥|¡^ú¥I¤j·|q©w¤§·|¶O¡C
²Ä¤C±ø
¬ö«ß
¤Z·|û¦]¹H¤Ï©Î¤£¿í¦u·|³¹©Î¦³·l¥»·|ÁnÅA¤Î§Q¯q¡A¸g²z¨Æ·|¨Mij«á¡A±o¨ú®ø¨ä·|û¸ê®æ¡C
²Ä¤T³¹
²Õ´
²Ä¤K±ø
¾÷ºc
¥»·|¾÷ºc¬°¡G·|û¤j·|¡A²z¨Æ·|©MºÊ¨Æ·|¡C
²Ä¤E±ø
¥ô´Á
¥»·|¦U¾÷ºc¤§¨C©¡¥ô´Á¬°¤T¦~´Áº¡«á¥i§ï¿ï¡A³s¿ï±o³s¥ô¡C
²Ä¤Q±ø
·|û¤j·|¤§²Õ¦¨¤ÎÅv
¡]¤@¡^·|û¤j·|¬°³Ì°ª¨Mij¾÷Ãö¡A¨M©w¥»·|·|°È¡A¿ïÁ|·|ªø¡B°Æ·|ªø¡B²zºÊ¨Æ·|¦¨û¤Î×q·|³¹¡C
¡]¤G¡^·|û¤j·|¥Ñ¥þÅé·|û²Õ¦¨¡A³]·|ªø¤@¦W¤Î°Æ·|ªøY¤z¦W¡C
¡]¤T¡^·|ªøt³d¥D«ù·|û¤j·|¡A¹ï¥~¥Nªí¥»·|¡A¨Ãt³d¨ó½Õ¥»·|¤u§@¡C°Æ·|ªø¨ó§U·|ªø¤u§@¡A¤Î·í·|ªø¥X¯Ê®É¥H§@´À¥N¡C
¡]¥|¡^·|û¤j·|¨C¦~¥l¶}¤@¦¸¥±`·|ij¡A°Q½×¤Î³q¹L²z¨Æ·|©Ò´£¥æªº¤u§@³ø§i¡B¦~«×±b¥Ø¡C
¡]¤¡^¥l¶}·|û¤j·|¶·³Ì¤Ö´£«e¤K¤é¥H±¾¸¹«H¤è¦¡³qª¾¡A¨Ã¸ü©ú·|ij¤é´Á¡B®É¶¡¡B¦aÂI¤Îijµ{¡C
¡]¤»¡^¥ô¦ó¨Mij»Ý¹L¥b¥X®uªÌ§ëÃÙ¦P²¼¤è¯à¥Í®Ä¨ú¨M¡C
¡]¤C¡^×§ï³¹µ{ªº¨Mij¡A¶·Àò¥X®u·|û¥|¤À¤§¤T¤§ÃÙ¦P²¼¡F¸Ñ´²©Î©µªøªk¤H¦sÄò´Á¤§¨Mij¡A¶·Àò¥þÅé·|û¥|¤À¤§¤T¤§ÃÙ¦P²¼¡F¨ä¥L¨Mij»ÝÀò¥b¼Æ¥H¤WÃÙ¦P²¼¤è¯à¥Í®Ä¡Fªk«ß¥t¦³³W©wªÌ°£¥~¡C
¡]¤K¡^¤£¤Ö©óÁ`¼Æ¤¤À¤§¤@¤§·|û¥H¥¿·í¥Øªº´£¥Xn¨D®É¡A¥ç±o¥l¶}¤j·|¡C
²Ä¤Q¤@±ø
²z¨Æ·|¤§²Õ¦¨¤ÎÅv
¡]¤@¡^²z¨Æ·|¬O¥»·|¦æ¬FºÞ²z¾÷Ãö¡At³d°õ¦æ·|û¤j·|¨Mij¡C
¡]¤G¡^¦¨û¥Ñ¤T¦W©Î¥H¤W¤§³æ¼Æ²Õ¦¨¡A¥]¬A²z¨Æªø¤@¦W¡B°Æ²z¨ÆªøY¤z¦W¤Î²z¨ÆY¤z¦W¡C
¡]¤T¡^²z¨Æ·|¦b¦h¼Æ¦¨û¥X®u®É¤è¥iij¨M¡C
¡]¥|¡^¥l¶°·|û¤j·|·|ij¡B²z¨Æ·|ij©M¯S§O¤j·|¡F¬ã¨s©M¨î©w¥»·|ªº¤u§@p¹º¡C
¡]¤¡^»â¾É©M³B²z¥»·|¤§¤é±`·|°È¡B¦æ¬FºÞ²z¡B°]°È¹B§@¤Î±b¥Øµ²ºâµ¥¤u§@¡C
¡]¤»¡^¸u½Ð¥»·|ÅU°Ý¡B¦WÅA·|ªøµ¥´£¥æ·|û¤j·|½T»{©M³q¹L¡A¥H§@¬°¥»·|ªº«ü¾É©M¨ó§U±À°Ê·|°Èªºµo®i¡C
²Ä¤Q¤G±ø
ºÊ¨Æ·|¤§²Õ¦¨¤ÎÅv
¡]ºÊ¨Æ·|¡^
¡]¤@¡^ºÊ¨Æ·|¬O¥»·|ºÊ¹î¾÷Ãö¡At³dºÊ·þ¦æ¬F¾÷Ãö¹B§@¡C
¡]¤G¡^¦¨û¥Ñ¤T¦W¦¨û©Î¥H¤W¤§³æ¼Æ²Õ¦¨¡A¥]¬AºÊ¨Æªø¤@¦W¡B°ÆºÊ¨ÆªøY¤z¦W¡A¤Î¯µ®ÑY¤z¦W¡C
¡]¤T¡^¼f®Ö¥»·|ªº±b¥Ø¡C
¡]¥|¡^¦V·|û¤j·|´£¥æ·N¨£®Ñ¡C
²Ä¥|³¹
¸g¶O
²Ä¤Q¤T±ø
¥»·|¤§¦¬¤J
¥»·|¤§¦¬¤J¦p¤U¡G
¡]¤@¡^¥»·|¬¡°Êªº¦¬¶O¤Î·|û·|¶O¡F
¡]¤G¡^¬F©²¡B¾÷ºc¡B¹ÎÅé¡B¥ø·~©Î¦U¬É¤H¤h®½ÃØ¡B¸ê§U©ÎÃÙ§U¡F
¡]¤T¡^¨ä¥L¦Xªk¦¬¤J¡C
¤G¹s¤G¥|¦~¤¤ë¤Q¤»¤é©ó¿Dªù¯S§O¦æ¬F°Ï
¨p¤H¤½ÃÒû ´¿·s´¼
¨p ¤H ¤½ ÃÒ û
ÃÒ ©ú
¿DªùÅ@²´«P¶i·|
¬°着¤½§G¤§¥Øªº¡A¯÷ÃÒ©ú³z¹L2024¦~05¤ë14¤é©ó¥»¨p¤H¤½ÃÒ¸p©Òñ¸pªº¸g»{ÃÒ¤å®Ñ³]¥ß¤F¤WzªÀ¹Î¡A¨ä©v¦®¤Î¦í©Ò§¡¸ü©óªþ¥óªº³¹µ{¤º¡C¸ÓªÀ¹Îªº³]¥ß¤å¥ó©M³¹µ{¤w¦sÀɩ󥻨p¤H¤½ÃÒ¸p¡§2024¦~ªÀ¹Î¤Î°]¹Î¤å¥óÀɮײա¨²Ä1/2024Àɮײդº¡A½s¸¹¬°11¡A³¹µ{±ø¤å¤º®e¸ü©óªþ¥ó¡C
Certifico, para efeitos de publicação, que foi constituída por documento autenticado assinado neste cartório, no dia 14 de Maio de 2024, uma associação com a denominação em epígrafe, cujos objecto e sede constam do estatuto em anexo, sendo acto constitutivo e estatuto arquivados neste cartório no maço de documentos de associações e de instituição de fundações do ano 2024, número 1/2024 sob o documento número 11.
²Ä¤@³¹
Á`«h
²Ä¤@±ø
¦WºÙ
¥»·|¤¤¤å¦WºÙ¡G¡§¿DªùÅ@²´«P¶i·|¡¨¡A¤¤¤å²ºÙ¡G¡§Å@²´«P¶i·|¡¨¡F^¤å¦WºÙ¡G¡§Macau Eye Protection Promotion Association¡¨¡A^¤å²ºÙ¡G¡§MEPPA¡¨¡F¸²¤å¦WºÙ¡G¡§Associação de Promoção da Protecção Ocular de Macau¡¨¡A¸²¤å²ºÙ¡G¡§APPOM¡¨¡C
²Ä¤G±ø
©v¦®
¥»·|ªº©v¦®¡G¥»·|¬°«D¦È§Q¹ÎÅé¡A¨ä¦sÄò¤£³]´Á¡C©v¦®¬°¡G¦bºûÅ@°ê®a²Î¤@©M»â¤g§¹¾ã¡A°í«ù·R°ê·R¿D¡A¾ÖÅ@¡§¤@°ê¨â¨î¡¨¤U¡A«P¶i¥»·|·|û¤§¶¡ªº¦X§@©MÁpô¡A¼W¶i¤ÎºûÅ@¥»·|·|ûªº¥¿·íÅv¯q¡A«P¶i¿Dªù»P¤º¦a¤Î®ü¥~¦U°ê¤§¶¡²´°·±d°T®§ªº¥æ¬y¡B±À¼s¤Î¾÷ºc¹ÎÅé¶¡¤§Ápô¡AÁ|¿ì²Å¦X¥»·|©v¦®ªºÁ¿®y©Î¬ã°Q·|©M¥æ¬y¦X§@µ¥¥H¤Î¨ä¥L¦³§U©ó«P¶i¥»·|µo®iªº¬¡°Ê¡A¬°¿Dªù¯S§O¦æ¬F°Ï©~¥Áªº²´°·±d¦Ó§V¤O¡C
²Ä¤T±ø
·|§}
¥»·|ªº·|§}³]©ó¡G¿Dªù¼}©Ô¤h¤j°¨¸ô215¸¹¸³q¤u·~¤j·H²Ä¤G®y3¼ÓB¡C
²Ä¤G³¹
·|û
²Ä¥|±ø
·|û¸ê®æ
»{¦P¥»·|³¹µ{¥B¨ã³ÆÂåÀø½Ã¥Í½d³òªº±M·~¾Ç¾úI´ºªÌ©Î¤u§@¸gÅçªÌ¡A§¡¥i¥Ó½Ð¤J·|¡C
1. ´£¥æ¤J·|¥Ó½Ð®Ñ¡A¸g¥»·|²z¨Æ·|°Q½×³q¹L¡C
2. ¸g¥»·|²z¨Æ·|§åã«á¡A«K¥i¦¨¬°·|û¡C
²Ä¤±ø
·|ûÅv§Q¤Î¸q°È
¥»·|·|û¨É¦³ªk©w¤§¦U¶µÅv§Q¤Î¸q°È¡A§Y·|û¨É¦³¿ïÁ|Åv¤Î³Q¿ïÅv¡A¥X®u¤j·|·|ij¡A¹ï·|´£¥X·N¨£¡A°Ñ¥[¥»·|¬¡°Êµ¥Åv§Q¡C¥H¤Î¿í¦u·|³¹¡A¥æ¥I·|¶O¡B¦~¶O¤Î¬°¥»·|ªºµo®i©MÁnÅA§@¥X°^Ämµ¥¸q°È¡C¥¼¼i¦æ¤Wz¸q°È¡B¹H¤Ï·|³¹©Î·l®`¥»·|ÁnÅAªÌ¡A¸g²z¨Æ·|°Q½×¡A¥i³à¥¢·|û¸ê®æ¡C
²Ä¤T³¹
²Õ´¾÷Ãö©M¾Ú¦ì¤H²£¥Í¡B½}§K
²Ä¤»±ø
²Õ´¾÷Ãö
¥»·|Åv¤O¾¯à¾÷ºc¥Ñ·|û¤j·|¡B²z¨Æ·|¡BºÊ¨Æ·|²Õ¦¨¡C
²Ä¤C±ø
·|û¤j·|¤§²Õ¦¨¤ÎÅv
·|û¤j·|¬°¥»·|³Ì°ªÅv¤O¾÷ºc¡A¥Ñ©Ò¦³·|û²Õ¦¨¡A¥i³q¹L¤Î×§ï·|³¹¡B¿ïÁ|©Î½}§K¬[ºc¦¨û¤Î¨M©w¦U·|°È¤u§@¡C·|û¤j·|»Ý©ó¨C¦~¥l¶}¤@¦¸¡A¦Ü¤Ö´£«e¤K¤Ñ¥H±¾¸¹«H¤è¦¡©Î®Ñ±Ã±¦¬¤è¦¡¥l¶°¡C¥ç¥i¥Ñ²z¨Æ2/3¦¨ûn¨D¥l¶}¯S§O·|ij¡C¥l¶°®Ñ¤ºÀ³«ü¥X·|ij¤§¤é´Á¡B®É¶¡¡B¦aÂI¤Îijµ{¡C¦p·|ij·í¤é¥X®u¤H¼Æ¤£¨¬¡A©ó¥b¤p®É«á§@²Ä¤G¦¸¥l¶°¡A©¡®É¤£½×¤H¼Æ¦h¹è¡A¥ç¥i¥l¶}·|ij¡C·|û¤j·|¨Mij®É°£¥t¦³ªk«ß³W©w¥~¡A¶·Àò¥X®u·|ûªºµ´¹ï¦h¼Æ²¼ÃÙ¦P¤è¬°¦³®Ä¡F·|û¤j·|³]¥D®u¤@¤H¡]·|ªø¡^¤Î°Æ¥D®u¤@¤H¡]°Æ·|ªø¡^¡C¨C©¡¥ô´Á¤T¦~¡A¥i³s¿ï³s¥ô¡C
²Ä¤K±ø
²z¨Æ·|¤§²Õ¦¨¤ÎÅv
1. ²z¨Æ·|¥Ñ³Ì¤Ö¤¦W©Î¥H¤W³æ¼Æ¦¨û²Õ¦¨¡A³]²z¨Æªø¡B°Æ²z¨Æªø¡B¦U¤@¦W¡F±`°È²z¨Æ¤Î²z¨Æ¦UY¤z¦W¡C¨C©¡¥ô´Á¬°¤T¦~¡A¥i³s¿ï³s¥ô¡C²z¨Æ·|¨C¤TÓ¤ë¥l¶}·|ij¤@¦¸¡A·|ij¨Mij¶·Àò¥X®u¦¨ûªºµ´¹ï¦h¼Æ²¼ÃÙ¦P¤è¬°¦³®Ä¡C
2. t³d°õ¦æ·|û¤j·|¤§¨Mij¡C
3. ¨î©w¦~«×p¹º¡C
4. ¨C¦~´£¥æ¦~«×¤u§@³ø§i¤Î°]°È³ø§i¡C
²Ä¤E±ø
ºÊ¨Æ·|¤§²Õ¦¨¤ÎÅv
1. ºÊ¨Æ·|¥Ñ³Ì¤Ö¤¦W©Î¥H¤W³æ¼Æ¦¨û²Õ¦¨¡A³]ºÊ¨Æªø¡B°ÆºÊ¨Æªø¦U¤@¦W¡FºÊ¨ÆY¤z¦W¡C¨C©¡¥ô´Á¬°¤T¦~¡A¥i³s¿ï³s¥ô¡CºÊ¨Æ·|¨C¤TÓ¤ë¥l¶}·|ij¤@¦¸¡A·|ij¨Mij¶·Àò¥X®u¦¨ûªºµ´¹ï¦h¼Æ²¼ÃÙ¦P¤è¬°¦³®Ä¡C
2. ºÊ¨Æ·|°È¹B§@¤Î¬d®Ö·|¤§°]°È¡C
²Ä¥|³¹
¸g¶O
²Ä¤Q±ø
¸g¶O
1. ¥»·|°]¬F¨Ó·½¥]¬A·|û©Òú¥æ¤§·|¶O¤Î¦~¶O¡A·|û©w´Á©Î«D©w´Á©Ê¤§®½Äm¡A¥H¤Î±N¨ÓÄÝ¥»·|¸ê²£¦³Ãö¤§¥ô¦ó¦¬¯q¡C
2. ¥»·|±o±µ¨ü¬F©²¡B¾÷ºc¡BªÀ¹Î¤Î¦U¬É¤H¤h®½Äm¤Î¸ê§U¡A¦ý¸Óµ¥®½Äm¤Î¸ê§U¤£±oªþ±a¥ô¦ó»P¥»·|©v¦®¤£²Åªº±ø¥ó¡C
²Ä¤³¹
ºaÅA¾»Î¤ÎÅU°Ý
²Ä¤Q¤@±ø
¥»·|¥i³]ºaÅA·|ªø¡B¦WÅA·|ªø¤ÎÅU°Ýµ¥Â¾»Î¡A¸Óµ¥Â¾»Î¥Ñ²z¨Æ·|´£¦W¡A¸g·|ªø¦P·N«áÁܽСA¨Ã¥Ñ·|û¤j·|³q¹L¡A¥i³sÄò¸u¥ô¡A¥i°Ñ¥[¥»·|¦U¶µ¬¡°Ê¡A¤£ª½±µ°Ñ»P¤é±`·|°È¹B§@¡C
²Ä¤»³¹
ªþ«h
²Ä¤Q¤G±ø
ªk«ß³W½d
1. ×§ï³¹µ{¤§¨Mij¡A¶·Àò¥X®uªÀû¥|¤À¤§¤T¤§ÃÙ¦P²¼¡C¸Ñ´²ªk¤H©Î©µªøªk¤H¦sÄò´Á¤§¨Mij¡A¶·Àò¥þÅéªÀû¥|¤À¤§¤T¤§ÃÙ¦P²¼¡C
2. ¥»³¹µ{¥¼¦³¦C©ú¤§¨Æ¶µ±N«ö¿Dªù²{¦æ¤§¦³Ãöªk«ß³W½d¡C
¤G¹s¤G¥|¦~¤¤ë¤Q¥|¤é©ó¿Dªù
¨p¤H¤½ÃÒû ³Á¿³·~
Cartório Privado, em Macau, aos 14 de Maio de 2024. ¡X O Notário Privado, Mak Heng Ip.
²Ä ¤@ ¤½ ÃÒ ¸p
¿Dªùµø»Ù¤H¤hÅv¯q«P¶i·|
¬°着¤½§G¤§¥Øªº¡A¤WzªÀ¹Îªº×§ï³¹µ{¤å¥»¦Û¤G¹s¤G¥|¦~¤¤ë¤Q¥|¤é¡A¦s©ñ©ó¥»¸pªºªÀ¹Î¤Î°]¹Î¦sÀɤå¥ó¤º¡AÀɮײÕ1¸¹56/2024¡C
¿Dªùµø»Ù¤H¤hÅv¯q«P¶i·|
×§ï³¹µ{
²Ä¤T±ø
¥»·|¦a§}¡G¿Dªùªá¦aº¿±Ð·|µó¥x¤sªÀ«Î¥x·u¼ÓBR/C®y¡C
¤G¹s¤G¥|¦~¤¤ë¤Q¥|¤é©ó²Ä¤@¤½ÃÒ¸p
§U²zû ¶À®ü·Ê
¨p ¤H ¤½ ÃÒ û
ÃÒ ©ú
¯÷ÃÒ©ú¥»¤å¥ó¦@4¶¡]4ª©¡^»P¦s©ñ©ó¥»¸p¡§2024¦~ªÀ¹Î¤Î°]¹Î¤å¥óÀɮײա¨²Ä1/2024¨÷²Ä2¸¹¤å¥ó¤§¡§·N¤j§Q»X¯S±ô§Q±Ð¨|¾Ç·|¡¨³¹µ{ì¥ó¤@¦¡µL³_¡C
Certifico que o presente documento de 4 folhas(4 laudas), está conforme o original do exemplar dos estatutos da associação denominada ¡§Associação Montessori de Educação Da Itália.¡¨, depositado neste Cartório, sob o n.º 2 no maço n.º 1/2024 de documentos de associações e fundações do ano de 2024.
²Ä¤»±ø¡@·|û¸q°È
¡K¡K
¤@¡B¡K¡K
¤G¡B¡K¡K
¤T¡B¤£¤Ö©ó¤T¤À¤§¤@¥þÅé·|û±o¥H¥¿·í²z¥Ñ´£Ä³¥l¶}¯S§O·|ij¡C
¥|¡B(§R°£)¡C
²Ä¤Q¥|±ø¡@ºÊ¨Æ·|ªº²Õ¦¨
¤@¡B¡K¡K
¤G¡B³]ºÊ¨Æªø¤@¦W¡A°ÆºÊ¨Æªø¤@¦W¤ÎºÊ¨ÆY¤z¦W¡A¦¨ûÁ`¤H¼Æ¥²¶·¬°³æ¼Æ¡A¥ô´Á¤T¦~¡A¥i³s¿ï³s¥ô¡C
¤T¡B¡K¡K
¥|¡B¡K¡K
²Ä¤Q¤»±ø¡@·|ijªº¥l¶°¤Î¹B§@
¤@¡B¡K¡K
¤G¡B·|û¤j·|¤§¨Mij¡A¨ú¨M©ó¥X®u·|û¤§µ´¹ï¦h¼Æ²¼¡C¦ý³¹µ{¤§q©w»PÅܧó¡B²z¨Æ¤ÎºÊ¨Æ¤§½}§K¡B°]²£¤§³B¤À¡A¶·Àò¥X®u¤j·|¥|¤À¤§¤T·|ûÃÙ¦P¤è¬°¦³®Ä¡C¥»·|¤§¸Ñ´²¤Î¨ä¥L»P·|ûÅv§Q¸q°È¦³Ãö¤§«¤j¨Æ¶µ¡A«hÀ³¦³¥þÅé¥|¤À¤§¤T·|û¦P·N¤~¯à³q¹L¡C
¤G¹s¤G¥|¦~¤¤ë¤Q¥|¤é©ó¿Dªù
¨p¤H¤½ÃÒû J¨qÀô
Cartório Privado, em Macau, aos 14 de Maio de 2024. ¡X A Notária Privada, Wu Sao Wan.
¨p ¤H ¤½ ÃÒ û
ÃÒ ©ú
¡§¿DªùÅG½×¾Ç·|¡¨
(alterada pelo presente acto para a denominação em chinês, ¡§¸g¥Á´¼ªÀ¡¨, e adicionando a denominação em português, ¡§União de Sabedoria de Economia e Sustento¡¨ e, em inglês, ¡§Economic and Livelihood Wisdom Union¡¨)
Certifico que desde 16 de Maio de 2024 e sob o n.º 9 do maço n.º 1 do ano de 2024, respeitante a associações e fundações, se acham arquivados neste Cartório os estatutos actualizados, em virtude de alteração dos mesmos, da Associação identificada em epígrafe.
Está conforme o original e tem 7 (sete) folhas.
(ì¦W: ¿DªùÅG½×¾Ç·|)
¸g¥Á´¼ªÀ
³¹µ{
²Ä¤@³¹
Á`«h
²Ä¤@±ø − ªÀ¹Î¦WºÙ
¤¤¤å¡G¡§¸g¥Á´¼ªÀ¡¨¡F
¸²¤å¡G¡§União de Sabedoria de Economia e Sustento¡¨¡F
^¤å¡G¡§Economic and Livelihood Wisdom Union¡¨¡C
²Ä¤G±ø − ¦í©Ò
¥»´¼ªÀ²Õ´·|§}³]©ó¿Dªù¤Í½Ë¤j°¨¸ô201¸¹·s«Ø·~°Ó·~¤¤¤ß14¼ÓF®y¡F¸g²z¨Æ·|¨Mij¡A±oÀH®É§ó§ï·|§}¡C
²Ä¤T±ø - ©Ê½è
¥»´¼ªÀ²Õ´¬O¤@«D¦È§Qªk¤H¡A¥Ñ¦¨¥ß¤é¶}©l¥Í®Ä¡A¦sÄò´Á¤£³]¡C
²Ä¥|±ø − ©v¦®
¥»´¼ªÀ²Õ´ªº©v¦®¬O¶×»E¦U¬É¤H¤~´¼ªÌ¡A¾ÖÅ@¡m¤¤µØ¤H¥Á¦@©M°ê¾Ëªk¡n¡B¡m¿Dªù¯S§O¦æ¬F°Ï°ò¥»ªk¡n¡F¾ÖÅ@¡§¤@°ê¨â¨î¡¨¤Î¡§¿D¤Hªv¿D¡¨¤è°w¡A¨ÃÂǦ¹µo´¬Û²Å¤§¬Fªv¡B¸gÀÙ¡BªÀ·|¥Á¥Í¤Î¤å¤Æ²z©À¡A¥H¬ì¾Ç¡B¶}©ñ¤Î³Ð·sªº«ä¸ô¶}®i¸gÀÙ¥Á¥Íµ¦²¤¤§¬ã¨s¡F·RÅ@°ê®a¡B·RÅ@¿Dªù¡F¤ä«ù°ê®a¤Î¯S°Ï¬F©²¨Ìªk¬I¬F¡A«Ø¨¥Ämµ¦¡F«P¶i¿Dªù¸gÀÙµo®i©M´£¤É¥Á¥Í¤ô¥¡A±´°Q«C¦~ijÃD¡A¬°¤¤¤p¥ø·~µo®i½á¯à¡FÁ|¦æ¦UºØ§Î¦¡®y½Í¡B½×¾Â¤Î½Õ¬ã¬¡°Ê¡A¶i¦æ¦UÃþÅG½×¡Bª÷¿Ä³Ð·s¡B¬F°Ó¬ã²ß¤Î¦Ò¹î¥æ¬y¬¡°Ê¡A¥B¥i¦b¥»¦a°Ï¡B°ê¤º¤Î®ü¥~¶i¦æ¡C
²Ä¤G³¹
·|û
²Ä¤±ø − Ó¤H·|û
¤Z»{¦P¥»ªÀ¹Î³¹µ{¤§¦~º¡¤Q¤K©P·³ªº¤H¤h§¡¥i¥Ó½Ð¡A¨ÃÀò¨â¦W·|û±ÀÂË¡A´£¥æ²z¨Æ·|§åã«á¡A¥i¦¨¬°¥»´¼ªÀ²Õ´·|û¡C
²Ä¤»±ø - Åv§Q
°Ñ¥[·|û¤j·|¡A¾Ö¦³ªí¨MÅv¡B¿ïÁ|Åv©M³Q¿ïÁ|Åv¡F°Ñ¥[¥»´¼ªÀ²Õ´©ÒÁ|¿ì¤§¦U¶µ¬¡°Ê¡FÀu¥ý¨É¥Î¥»´¼ªÀ²Õ´©Ò´£¨Ñ¤§ªA°È¡C
²Ä¤C±ø − ¸q°È
¿í¦u¥»´¼ªÀ²Õ´¤§³¹µ{¡A´L«¥»´¼ªÀ²Õ´¤Î¨ä¥L·|û¡A¤£±o§@¥X¦³·l¥»´¼ªÀ²Õ´ÁnÅA¤§¦æ¬°¡A¨Ì®Éú¯Ç·|¶O¤Î¨ä¥LÀ³¥I¶O¥Î¡F°õ¦æ·|û¤j·|ªº¨Mij©M²z¨Æ·|ªº¨M©w¡F¦ÛÄ@©Ó¾á¥»ªÀ¹Î¤§¤u§@¥ô°È¡C
²Ä¤K±ø − ·|û¸ê®æ¤§³à¥¢
¡]¤@¡^·|û±o¥H®Ñ±§Î¦¡´£«e¤C¤Ñ¦V¥»´¼ªÀ²z¨Æ·|§@¥X®Ñ±¥Ó½Ð°h·|¡F
¡]¤G¡^¦]¤£¼i¦æ·|³¹³W©w¤§¸q°È©Î¹H¤Ï¥»´¼ªÀªº¦³®Ä¨Mij¡C
²Ä¤T³¹
²Õ´¬[ºc
²Ä¤E±ø − ¥»²Õ´¬[ºc¤Î¥Nªí¨¥÷
¤@¡B²Õ´¬[ºc
¡]¤@¡^·|û¤j·|: ¬°¥»²Õ´¤§³Ì°ªÅv¤O¾÷ºc¡A¥Ñ¥þÅé·|û²Õ¦¨¡A¨Ã¥Ñ¥D®u¹Î»â¾É¡A³]¥D®u¤@¦W¡A°Æ¥D®uY¤z¦W¡A¨C©¡¤T¦~¡A¥i³s¿ï³s¥ô¡A¨C¦~¦Ü¤Ö¥l¶}¤@¦¸¡F
¡]¤G¡^²z¨Æ·|: ¬°¥»²Õ´¤§°õ¦æ¾÷ºc¡A¦V·|û¤j·|t³d¡A¥Ñ4¤H©Î¥H¤W²Õ¦¨¡A¦ýÁ`¼Æ¥²¶·¬°³æ¼Æ¡A³]²z¨Æªø¤@¦W¡A¯µ®Ñªø¤@¦W¡B°Æ²z¨Æªø¤Î²z¨ÆY¤z¦W¡A¨C©¡¤T¦~¡A¥i³s¿ï³s¥ô¡F
¡]¤T¡^ºÊ¨Æ·|: ¬°¥»²Õ´¤§ºÊ¹î¾÷ºc¡At³dºÊ¹î²Õ´¤§¹B§@¡A¥Ñ3¤H©Î¥H¤W²Õ¦¨¡A¦ýÁ`¼Æ¥²¶·¬°³æ¼Æ¡A³]ºÊ¨Æªø¤@¦W¡A°ÆºÊ¨Æªø¤ÎºÊ¨ÆY¤z¦W¡A¨C©¡¤T¦~¡A¥i³s¿ï³s¥ô¡C
¤G¡B¥Nªí¥»´¼ªÀ²Õ´¤§¤è¦¡
°£¥»³¹µ{³W©wªºÅv¥~¡A¤@¯ë¨Æ°È¥Ñ¥D®u¹ï¥~¥Nªí¥»´¼ªÀ²Õ´¡FÃö©ó¨ãªk«ß®Ä¤O¤§¦æ¬°¤Î¤å¥ó¡A¥Ñ¥D®u©Î²z¨ÆªøÃ±¦W¥Nªí¥»´¼ªÀ²Õ´¡A¦ý¤£§«Ãª²z¨Æ·|¥iij¨M«ü©w¤å¥ó¤§Ã±¸p¤è¦¡¡C
²Ä¤Q±ø − ·|û¤j·|Åv
¡]¤@¡^¿ïÁ|·|û¤j·|¥D®u¹Î¦¨û¡B²z¨Æ·|¤ÎºÊ¨Æ·|ªº¦¨û¡F
¡]¤G¡^¸É¿ï·|û¤j·|¥D®u¹Î¦¨û¡B²z¨Æ·|¤ÎºÊ¨Æ·|ªº¦¨ûªÅ¯Ê¡F
¡]¤T¡^¼fij¤Îij¨M¤W¦~«×¤u§@³ø§i¤Î½ã¥Ø³ø§i¡F
¡]¥|¡^Å¥¨ú²z¨Æ·|Ãö©ó¥»²Õ´¬¡°Êp¹º«ØÄ³ªº¤¶²Ð¡F
¡]¤¡^ij¨M³¹µ{¤§×§ï¡F
¡]¤»¡^ij¨M¥»²Õ´¨Ìªk§@¥X¤§¸Ñ´²¡C
²Ä¤Q¤@±ø − ·|û¤j·|¤§¥l¶°¤Î¨Mij
¤@¡B·|û¤j·|¥Ñ²z¨Æ·|³z¹L³Ì¤Ö´£«e¤K¤Ñªº±¾¸¹«H©Îñ¦¬¤è¦¡³qª¾¥l¶°¡A¥l¶°®Ñ¤ºÀ³«ü¥X·|ij¤§¤é´Á¡B®É¶¡¡B¦aÂI¤Îijµ{¡A©ó¤U¦C¥ô¤@±¡ªp³Qµø¬°¦³®Ä²Õ¦¨¡G
¡]¤@¡^²Ä¤@¦¸¥l¶°®É¡A³Ì¤Ö¤@¥b·|û¥X®u¡F
¡]¤G¡^²Ä¤@¦¸¥l¶°ªº®É¶¡¤w©¡¡A¦pªk©w¤H¼Æ¤£¨¬¡A«h©ó¥b¤p®É«á²Ä¤G¦¸¥l¶°¡A©¡®É«h¤£½×¥X®u¤§·|û¤H¼Æ¦h¤Ö§¡µø¬°¦³®Ä¡C
¤G¡B·|û¤j·|¨Mij¨ú¨M©ó¥X®u·|û¤§µ´¹ï¦h¼Æ²¼¡A¦ý¤£¼vÅT³¹µ{²Ä¤Q¤±ø³W©w¤§¾A¥Î¡C
¤T¡B¯S§O·|û¤j·|¥Ñ¥D®u©Î²z¨Æ·|¨Mij¥l¶°¡A©ÎÀ³¤@¥b¥H¤W¤§·|ûn¨D¦Ó¥l¶°¡C
²Ä¤Q¤G±ø − ²z¨Æ·|Åv
¤@¡B²z¨Æ·|¦³¥H¤UÅv¡G
¡]¤@¡^®Ú¾Ú·|û¤j·|¤§¨Mij»â¾É¥»²Õ´¤§¤u§@¤ÎºÞ²z¨ä°]²£¡F
¡]¤G¡^±µ¯Ç¤Î¶}°£·|û¡F
¡]¤T¡^ÁʤJ¡B½æ¥X¡B©è©ã¡B©Ó¯²¡B¥X¯²©Î¥H¥ô¦ó¤è¦¡¥XÅý²Õ´ªº¸ê²£¤ÎÅv§Q¡B°Ê²£©Î¤£°Ê²£¡A©Î¹ï¨ä³]©wt¾á¡F
¡]¥|¡^©e°U¥Nªí¤H¥Nªí¥»²Õ´°õ¦æ«ü©w¤§¤u§@¡A¦ý¦³Ãö¨Mij»Ý«ü©ú±Â¤©¤§Åv¤O¤Î©e°U¤§´Á¡F
¡]¤¡^¦æ¨Ïªk¨Ò¤Î³¹µ{½á¤©¤§¨ä¥LÅv¡C
¤G¡B²z¨Æ·|¦³¥H¤U³d¥ô¡G
¡]¤@¡^¦¨û¥H¨§@«h¡A¿n·¥°Ñ»P·|°È¬¡°Ê¡F
¡]¤G¡^µo´§»â¾É¡Bµ¦¹ºµ¥Â¾¯à¡A±À°Ê·|°Èµo®i¡F
¡]¤T¡^²z¨Æ·|¥i¦V·|û¤j·|¥D®u¹Î´£Ä³Áܽй糧²Õ´¦³¨ô¶V°^Äm¤H¤h¡BªÀ·|ª¾¦W¤H¤h©ÎÅv«Â¤§±M·~¤H¤h¾á¥ô¦WÅA·|û¡B¦WÅAÅU°Ý¡BÅU°Ý¡B¦WÅA¾Ç³NÅU°Ý¡B¾Ç³NÅU°Ý¡Bªk«ßÅU°Ý¡F
¡]¥|¡^t³d¥»²Õ´¤é±`¦æ¬F¨Æ°È¡F
¡]¤¡^¦b·|û¤j·|¥D®u¥X¯Ê©Î¤£¯àµø¨Æ®É¡A¥N²z¥D®u¹ï¥~¤§¥Nªí¾°È¡F
¡]¤»¡^²z¨Æ·|·|ijªº¥l¶°¤Î¹B§@±o¥Ñ¤º³¡³W³¹q©w¡C
²Ä¤Q¤T±ø − ºÊ¨Æ·|Åv
¡]¤@¡^¹ï¦~«×¤u§@³ø§i¤Î½ã¥Ø³ø§i´£¥X·N¨£¡F
¡]¤G¡^ºÊ¹î¥»²Õ´·|°È©M¦³Ãö¸gÀÙ°]¬F¨Mij¤§°õ¦æ¡C
²Ä¥|³¹
¸g¶O¨Ó·½
²Ä¤Q¥|±ø − ¸g¶O¨Ó·½¥]¬A¤U¦C¦U¶µ¡G
¡]¤@¡^·|û¤§·|¶O¡A·|û·|¶O¨ãÅéú¯Çª÷ÃB¥Ñ²z¨Æ·|¨M©w¡F
¡]¤G¡^ªÀ·|®½§U¡F
¡]¤T¡^¤½¦@©Î¨p¤H¹êÅéµ¹¤©¤§¬z¶K©Î¸ê§U¡F
¡]¥|¡^¤u§@¤§¦¬¯q¡A¨Ò¦p´£¨ÑªA°È¡A¥Xª©¥Zª«©Î¨ä¥L¬¡°Ê¦ÓÀò±o¤§¦¬¯q¡F
¡]¤¡^¥»¨°]²£¤Î¸ê¥»¤§¦¬¯q¡F
¡]¤»¡^¨ä¥L¦Xªk¦¬¯q¡C
²Ä¤³¹
ªþ«h
²Ä¤Q¤±ø − ׳¹¤Î¸Ñ´²
¡]¤@¡^¥»²Õ´¤§×³¹¶·¸g·|û¤j·|¨Mij¡A¨ä¨Mij¶·Àò¥X®u·|û¥|¤À¤§¤TÃÙ¦P²¼³q¹L¡C
¡]¤G¡^¥»²Õ´¤§¸Ñ´²¶·¸g·|û¤j·|¨Mij¡A¨ä¨Mij¶·Àò¥»²Õ´©Ò¦³·|û¥|¤À¤§¤TÃÙ¦P²¼³q¹L¡C
¡]¤T¡^·í¥»²Õ´¨M©w¸Ñ´²®É¡A¸ê²£¥Ñ«Å§G¸Ñ´²¤§·|û¤j·|q©w³B²z¿ìªk¡C
²Ä¤Q¤»±ø ¡V ¤º³¡³W³¹
¥»²Õ´³]¤º³¡³W³¹¥H¹ï¥»³¹µ{¥¼§¹µ½¤§¨Æ©y¥[¥H¸É¥R¤Î¨ãÅ餯¡A¦ý¤£¯à»P¥»³¹µ{¦³©èIJ¡C¤º³¡³W³¹¥]¬Aq©w¤U³]©eû·|©Î¾÷ºcªº¨ãÅé²£¥Í¿ìªk¡B¦æ¬F©M°]°ÈªººÞ²z¤Î¹B§@²Ó«h¡B·|û¬ö«ß¡B²z¨Æ·|·|ijªº¥l¶°¤Î¹B§@µ¥¡A¦³Ãö±ø¤å¥Ñ²z¨Æ·|¨î©w¤Î³q¹L¡C
²Ä¤Q¤C±ø − ¸ÑÄÀ¤Î¸É¥R¾A¥Î
¡]¤@¡^³¹µ{¤§¸ÑÄÀÅvÄÝ·|û¤j·|¡F·|û¤j·|³¬¹õ´Á¶¡¡A¥»³¹µ{¤§¸ÑÄÀÅvÄݲz¨Æ·|¡F
¡]¤G¡^¥»³¹µ{©Ò¥¼³W½d¤§¨Æ©y¡A§¡¨Ì¿Dªù²{¦æªk«ß°õ¦æ¡C
¨p¤H¤½ÃÒû §õ«³»¨
Cartório Privado, em Macau, aos 16 de Maio de 2024. ¡X O Notário Privado, Pedro Leal.
¿Dªù°ê»Ú¾÷³õ±MÀçªÑ¥÷¦³¤½¥q
¥D®uÄmµü
¦Û2020¦~©ó¥þ²y¤j³W¼ÒÃzµoªº·s«¬«aª¬¯f¬rªÍª¢(COVID-19)¬Ì±¡¡AÀHµÛ¯f¬rªºÅܲ§¤Î·P¬VªºÄY«µ{«×´î»´¡A§Q¦nªÀ·|¸gÀÙªº¦n®ø®§©ó2022¦~©³³°Äò¶Ç¨Ó¡A¥þ²y¸gÀ٤ήȹC·~´_µd¡C¤º¦a¤½§GÀu¤Æ¬Ì±¡¨¾±±±¹¬Iªº·s¤Q±ø¡A¿Dªù¯S°Ï¬F©²ÀH§Y½Õ¾ã©MÀu¤Æ¬Ì±¡¨¾±±±¹¬I¡A¥þªÀ·|¸gÀÙ¶}©l¶i¤J´_µd¶¥¬q¡C2023¦~¿Dªù°ê»Ú¾÷³õªº¯è½u¤Î¯è¯Z¹B¤O¦³§Ç¼Wªø¡A¸g¾ú¤F¬Ì±¡¤T¦~ªº·Î¼õ«á¡A®È«È¥X¦æ»Ý¨D±j«l¡A¯èªÅ¹B¿é¶q³vº¥«ì´_¡C
¦b¿Dªù°ê»Ú¾÷³õ±MÀçªÑ¥÷¦³¤½¥q(¤UºÙ¡§¥»¤½¥q¡¨)¥þÅ骺§V¤O¤U¡A2023¦~¿Dªù°ê»Ú¾÷³õ(²ºÙ¡§¾÷³õ¡¨)¸¾÷¯è¯Z°_°¬°42,504¬[¦¸¡A«ö¦~¤W¤É211.6%¡A®È«È¼Æ¶q¬°5,151,080¤H¦¸¡A«ö¦~¤É´T759.7%¡F³f¹B¶q¹F63,809¤½¾·¡A¦P¤ñ¤W¤É24.1%¡C
¥»°]¬F¦~«×Á`¦¬¤J¿ý±oªñ11.93»õ¿Dªù¤¸¡A«ö¦~¤W¤É179.8%¡C¦]À³¯è¯Z¤Î®È«È¶q¤j´T¦^¤É¡A¥»¤½¥q¿ý±o2.20»õ¿Dªù¤¸¬Õ¾l¡A§áÂà¬Ì±¡¤T¦~¨ÓªºÁ«·lª¬ªp¡C¥»¤½¥q¤@ª½³e¹ý±±¨î©M¸`¬ù¦¨¥»¤è°w¡B°õ¦æ¼f·Vªº²{ª÷¬yºÞ²z¡F¨Ã¦]À³´_±`°¨¤W«±Ò¦]¨ü¬Ì±¡¼vÅT¦Ó¼È½w¤§¤u§@p¹º¡A§U¤O¿Dªù®È¹C·~¥[§Ö¥þ±´_µd¡C¦b·~°È¶q§Ö³t«ì´_¤U¡A¥»°]¬F¦~«×ªº²{ª÷¤ô¥¤î¶^¦^¤É¡C
2023¦~3¤ë©³¡A¥»¤½¥qÁ|¦æ¤FªÑªF¤j·|·|ij¡A³q¹L¤F©e¥ô·s¤@©¡¤½¥q¾÷Ãö¦¨û¡C¦b·s¤@©¡ºÞ²z¼hªº±a»â¤U¡A¥»¤½¥qÄ~ÄòªÃ«ù¡§¦w¥þ¡B®Ä²v¡B®Ä¯q¡¨ªº®Ö¤ß²z©À¡A¦b¦U±M·~½dÃ¥¤º¦U¥q¨ä¾¡A®»ºò¥«³õ´_µdªº¾÷¹J¡C
¦b¹L¥hªº¤@¦~¤¤¡A¿Dªù°ê»Ú¾÷³õ¹Î¶¤±q¦h¤è±¥[±j¾÷³õ¦w«O¡BÀç¹BºÞ²z¡B®È«ÈªA°Èµ¥¡AP¤OÀu¤Æ®È«ÈÅéÅç¤Î´£¨Ñ°ª¤ô¥ªA°È¡A¦bºn«O«ù¾÷³õ¦w¥þ¡B¦w«OÀç¹Bªº«e´£¤U¡A¥¿Å¤£¦P°ò¦³]¬Iµo®i¶µ¥Øªº¦P¨B¹ê¬I¡C¸u½Ð±M®aÅU°Ý¤½¥q¬°¾÷³õ°Ó·~°Ï°ì¶i¦æ«·s³W¹º¡B³]p¤Î´£¨Ñ«ØÄ³¤è®×¡A¨Ã¤À¶¥¬q®i¶}¤£¦PÃþ§OªA°Èªº¤½¶}©Û¼Ð¡BÄv¼Ð¡A¥HÀu¤Æ¾÷³õªÅ¶¡©M³]¬I¬°®È«È´£¨Ñ§ó¨ÎÅéÅç¡C¿Dªù°ê»Ú¾÷³õ¥þ¦~¦³§Ç¶}®i¶W¹L60¶µ¾÷³õ³]¬I¡B³]³Æ©M«H®§¸ê°T¨t²Î¤É¯Å¤u§@¡A¥þ±´£¤É¾÷³õ³nµw³]¬I¤ÎÀç¹BªA°È®Ä¯à¡A±À°Ê¾÷³õ´¼¼z¤Æµo®i¡F¨Ã¥B¶}®iÂX«Ø¶ñ®ü¤uµ{¶µ¥Øªº«e´ÁÄw³Æ¤u§@¡Ap¹º±N©ó2024¦~¤U¥b¦~¶}®iÂX«Ø¶ñ®ü¤uµ{¡AÅý¥»¿D¥Á¯è¨Æ·~¥i«ùÄòµo®i¡C
§@¬°¤jÆW°Ï«nªº¥æ³q¼Ï¯Ã¡A¿Dªù°ê»Ú¾÷³õÄ~Äò¥H«P¶i¤jÆW°Ï¥æ³qºô¸ôªº¤¬Áp¤¬³q¬°¨Ï©R¡A¨Ã§¹¦¨¦h¶µ¬ÛÃö¤u§@¡C2023¦~¡A¿Dªù°ê»Ú¾÷³õ¤w¥¿¦¡±µ³q°ê®a¬y¶qºÞ²z¨t²Î¡A¥[§Ö±À°Ê»P¯]®ü©M»´äªÅºÞªº¦Û°Ê¤Æ¨ó½Õ¡A½T«OªÅºÞ¯à¤Oº¡¨¬¾÷³õµo®i©Ò»Ý¡F°t¦X¯S°Ï¬F©²ªº¹q¤l¬F°Èµo®i¡A»Pªv¦wĵ¹î§½¥X¤J¹ÒºÞ¨îÆU¾÷³õ¥X¤J¹Ò¨Æ°È¯¸¨ó½Õ§¹¦¨¹q¤lµn¾÷ÃÒ³qÃöªA°Èªº¬ÛÃö³]¸m¡A´£¤É®È«È¥X¦æ®Ä²v¡C¦¹¥~¡A´ä¯]¿D¤j¾ô¿Dªù¤f©¤ÃäÀˤj¼Óªº¿Dªù°ê»Ú¾÷³õȾ÷ªA°È¤¤¤ß¤w¥¿¦¡§ë¤JªA°È¡A°t¦X±À¶i´ä¯]¿D¤jÆW°Ï¥æ³q«Ø³]¡A¥[±j¾÷³õ©ó¤jÆW°Ïªº¸ê·½°t³Æ¡C
2023¦~11¤ë¡A°ê°È°|¥¿¦¡§åÂСm¾îµ^¸f¿D²`«×¦X§@°ÏÁ`Åéµo®i³W¹º¡n¡C¦b¤¤¥¡©M¯S°Ï¬F©²ªº¤ä«ù¤U¡A¥»¤½¥q±N¥þ¤O°t¦X³W¹º¡A°Ñ»P«P¶iµ^¿D¤@Å餯¶iµ{¡C¿n·¥¸¨¹ê¾îµ^¤f©¤ªº¾÷³õȾ÷·~°È¡A¦@¦P¶}µo¿Dµ^¡§¤@µ{¦h¯¸¡¨Ápµ{®È¹C¡F¥[±j»P¤º¦aª¾¦Wª«¬y¡B¸ó¹Ò¹q°Ó¦X§@¡A±À°Ê¿Dµ^¸ó¹Òª«¬y¡C
®i±æ2024¦~±N©µÄò2023¦~ªº´_µd¤O«×¡A¿Dªù®È¹C·~¤Î¯èªÅ·~¦Êªá»ô©ñ¡A·~°È¯à¶i¤@¨B¦^¤É¡C¿Dªù°ê»Ú¾÷³õ³e¹ý¡§¦w¥þ¡B®Ä²v¡B®Ä¯q¡¨ªº®Ö¤ß²z©À¡A«ùÄò¬ã§P©PÃäÀô¹Òªº¾÷¹J»P¦æ·~ÅܤơA»P¾÷³õ¦P·~ºò±K·¾³q¦X§@¡A»EµJ®È«È¥X¦æ»Ý¨D¡A¬°«P¶i«È¡B³f¯èªÅ¹B¿é¶q½Ä¨ëµo®i§G§½¦Ó©b¹£¡C
§ÚÂÔ¥Nªí¤½¥q¸³¨Æ·|¦V¥þÅéû¤u¡B¦X§@¥ë¦ñ¡B¿Dªù¯S§O¦æ¬F°Ï¬F©²ªí¹F±R°ªªº·q·N¡A·PÁ¤j®aªººë¸Û¦X§@¡A¬°¾÷³õªº¥¼¨Óµo®iÄ~Äò§V¤O¡A¦A³Ð¨ÎÁZ¡C
2024¦~3¤ë©ó¿Dªù¡A
- ¸³¨Æ·| ¥D®u
- °¨¦³«í ¥ý¥Í
ºÊ¨Æ·|³ø§i¤Î·N¨£®Ñ
¦U¦ìªÑªF¡G
ºÊ¨Æ·|®Ú¾Ú¿Dªù°ê»Ú¾÷³õ±MÀçªÑ¥÷¦³¤½¥q¡]¥H¤U²ºÙ¡§¥»¤½¥q¡¨¡^¤§¤½¥q³¹µ{²Ä27±ø³W©w¤Î½á¤©ªºÅv¤O¡A»P¸³¨Æ·|¤@ª½«O«ùµÛºò±KªºÁpô¡AºÊ¹î¥»¤½¥qªººÞ²z©M·~°Èµo®i¡C
¥»ºÊ¨Æ·|¤w¤ÀªR¤Î¼f¾\¸³¨Æ·|©Ò´£¥æ¤§2023¦~«×³ø§i®Ñ©M¬Õ¾l¹B¥Î«ØÄ³®Ñ¡A¥H¤Î¸gù§L«w¥Ã¹D·|p®v¨Æ°È©Ò¼f®Ö¤§¸ê²£t¶Åªí¡B·l¯qªí¡BªÑªFÅv¯qÅܰʪí¡B²{ª÷¬y¶qªí¤Î¨ä¥L±b¥Ø¤å¥ó¡C
¸g¥»ºÊ¨Æ·|¼f¬d«á»{¬°¸³¨Æ·|ªº³ø§i®Ñ©M°]°È³øªí§¡¯à²M·¡»¡©ú¥»¤½¥q¦b¹L¥h¤@¦~ªº¸gÀ窬ªp¤Î¥¿½T¤Ï¬M¥XºI¦Ü2023¦~12¤ë31¤éªº°]°Èª¬ªp¡AºÊ¨Æ·|¨Ã¦P·N¬Õ¾l¹B¥Î¤§«ØÄ³¡C¦³Å²©ó¦¹¡A¥»ºÊ¨Æ·|«ØÄ³ªÑªF·|³q¹L¸³¨Æ·|©Ò§e¥æªº2023¦~«×³ø§i®Ñ©M±b¥Ø¡A¨Ã¦Ò¼{¸³¨Æ·|©Ò§e¥æªº¬Õ¾l¹B¥Î«ØÄ³®Ñ¤¤©Ò§@¤§«ØÄ³¡C
¿Dªù, 2024¦~3¤ë
ºÊ¨Æ·|
- ®e¥ú«G
- ¶À¤å³Ç
- ¦ó¬üµØ
¹ï²n°]°È³øªí¥X¨ãªº¿W¥ß¼fp®v³ø§i
P¿Dªù°ê»Ú¾÷³õ±MÀçªÑ¥÷¦³¤½¥q¥þÅéªÑªF¡G
¡]©ó¿Dªùµù¥U¦¨¥ß¤§ªÑ¥÷¦³¤½¥q¡^
«áªþ¸ü©ó²Ä¤T¶ªº¿Dªù°ê»Ú¾÷³õ±MÀçªÑ¥÷¦³¤½¥q¡]¡u¶Q¤½¥q¡v¡^²n°]°È³øªí¥]¬A¤G¹s¤G¤T¦~¤Q¤G¤ë¤T¤Q¤@¤éªºÂ²n¸ê²£t¶Åªí¡C¶Q¤½¥q²n°]°È³øªí¨Ó·½©ó¶Q¤½¥qºI¦Ü¤G¹s¤G¤T¦~¤Q¤G¤ë¤T¤Q¤@¤é¤î¦~«×¤w¼fpªº°]°È³øªí¡C§Ṳ́w¦b¤G¹s¤G¥|¦~¤T¤ë¤G¤Q¤éñ¸pªº¼fp³ø§i¤¤¹ïºc¦¨Â²n°]°È³øªí¨Ó·½ªº°]°È³øªíµoªí¤FµL«O¯d·N¨£¡C
²n°]°È³øªí¨S¦³¥]§t¿Dªù¯S§O¦æ¬F°Ï¤§¡m°]°È³ø§i·Ç«h¡nn¨Dªº©Ò¦³©ÜÅS¡A¦]¦¹¡A¹ï²n°]°È³øªíªº¾\Ū¤£¯à´À¥N¹ï¶Q¤½¥q¤w¼fp°]°È³øªíªº¾\Ū¡C
¸³¨Æ¹ï²n°]°È³øªíªº³d¥ô
¸³¨Æt³d«ö·Ó¿Dªù¯S§O¦æ¬F°Ï²Ä14/96/M¸¹ªk«ß²Ä¤@±ø½s»s²n°]°È³øªí¡C
¼fp®vªº³d¥ô
§Ú̪º³d¥ô¬O¦b¹ê¬I¼fpµ{§Çªº°ò¦¤W¹ï²n°]°È³øªíµoªí¼fp·N¨£¡A¶È¦V¥þÅéªÑªF³ø§i¡A°£¦¹¤§¥~¥»³ø§i§OµL¨ä¥L¥Øªº¡C§Ṳ́£·|´N¥»³ø§iªº¤º®e¦V¥ô¦ó¨ä¥L¤H¤ht¤W©Î©Ó¾á¥ô¦ó³d¥ô¡C§ÚÌ«ö·Ó¿Dªù¯S§O¦æ¬F°Ï·|p®v±M·~©eû·|¹{¥¬¤§¡m¼fp·Ç«h¡n¤ºªº¡m°ê»Ú¼fp·Ç«h²Ä 810 ¸¹¡X¡X¹ï²n°]°È³øªí¥X¨ã³ø§iªº·~°È¡nªº³W©w°õ¦æ¤F¼fp¤u§@¡C
¼fp·N¨£
§ÚÌ»{¬°¡A¨Ó·½©ó¶Q¤½¥qºI¦Ü¤G¹s¤G¤T¦~¤Q¤G¤ë¤T¤Q¤@¤é¤î¦~«×¤w¼fp°]°È³øªíªºÂ²n°]°È³øªí«ö·Ó¿Dªù¯S§O¦æ¬F°Ï²Ä14/96/M¸¹ªk«ß²Ä¤@±ø¡A¦b©Ò¦³«¤j¤è±»P¤w¼fp°]°È³øªí«O«ù¤F¤@P¡C
- §õ¬F¥ß
- °õ·~·|p®v
- ù§L«w¥Ã¹D·|p®v¨Æ°È©Ò
¤G¹s¤G¥|¦~¤T¤ë¤G¤Q¤é¡A©ó¿Dªù
¤¤°ê¤H¥Á«OÀI(»´ä)¦³¤½¥q¿Dªù¤À¤½¥q
¸ê²£t¶Åªí
¤G¹s¤G¤T¦~¤Q¤G¤ë¤T¤Q¤@¤é
¿Dªù¤¸
Àç·~ªí
¤G¹s¤G¤T¦~«×
¿Dªù¤¸
¿Dªù¤¸
·l¯qªí
¤G¹s¤G¤T¦~«×
¿Dªù¤¸
| ·|p®v J»T | ¨üÅv¤H ±ç®xÁ¸ | 
¿Dªù, ¤G¹s¤G¥|¦~¥|¤ë¤Q¤C¤é
¹ï²n°]°È³øªí¥X¨ãªº¿W¥ß¼fp®v³ø§i
P¤¤°ê¤H¥Á«OÀI¡]»´ä¡^¦³¤½¥q¿Dªù¤À¤½¥qºÞ²z¼h¡G
«áªþ¸ü©ó²Ä2¶¦Ü²Ä7¶ªº¤¤°ê¤H¥Á«OÀI¡]»´ä¡^¦³¤½¥q¿Dªù¤À¤½¥q (¡u¶Q¤À¤½¥q¡v)²n°]°È³øªí¥]¬A¤G¹s¤G¤T¦~¤Q¤G¤ë¤T¤Q¤@¤éªºÂ²n¸ê²£t¶Åªí¡B¥H¤ÎºI¦Ü¸Ó¤é¤î¦~«×ªºÂ²nÀç·~ªí©M·l¯qªí¥H¤Î¬ÛÃöªþµù¡C¶Q¤À¤½¥q²n°]°È³øªí¨Ó·½©ó¶Q¤À¤½¥qºI¦Ü¤G¹s¤G¤T¦~¤Q¤G¤ë¤T¤Q¤@¤é¤î¦~«×¤w¼fpªº°]°È³øªí¡C§Ṳ́w¦b¤G¹s¤G¥|¦~¥|¤ë¤Q¤C¤éñ¸pªº¼fp³ø§i¤¤¹ïºc¦¨Â²n°]°È³øªí¨Ó·½ªº°]°È³øªíµoªí¤FµL«O¯d·N¨£¡C³o¨Ç°]°È³øªí©M²n°]°È³øªí¨S¦³¤Ï¬M¼fp³ø§i¤é¡]¤G¹s¤G¥|¦~¥|¤ë¤Q¤C¤é¡^«áµo¥Í¨Æ¶µªº¼vÅT¡C
²n°]°È³øªí¨S¦³¥]§t¿Dªù¯S§O¦æ¬F°Ï¤§¡m°]°È³ø§i·Ç«h¡nn¨Dªº©Ò¦³©ÜÅS¡A¦]¦¹¡A¹ï²n°]°È³øªíªº¾\Ū¤£¯à´À¥N¹ï¶Q¤À¤½¥q¤w¼fp°]°È³øªíªº¾\Ū¡C
ºÞ²z¼h¹ï²n°]°È³øªíªº³d¥ô
ºÞ²z¼ht³d«ö·Óªþµù1´yzªº¼Ð·Ç½s»s²n°]°È³øªí¡C
¼fp®vªº³d¥ô
§Ú̪º³d¥ô¬O¦b¹ê¬I¼fpµ{§Çªº°ò¦¤W¹ï²n°]°È³øªíµoªí¼fp·N¨£¡A¨Ã«ö·Ó·~°È¬ù©w¤§±ø´Ú¶È¦VºÞ²z¼h³ø§i¡A°£¦¹¤§¥~¥»³ø§i§OµL¨ä¥L¥Øªº¡C§Ṳ́£·|´N¥»³ø§iªº¤º®e¦V¥ô¦ó¨ä¥L¤H¤ht¤W©Î©Ó¾á¥ô¦ó³d¥ô¡C§ÚÌ«ö·Ó¿Dªù¯S§O¦æ¬F°Ï·|p®v±M·~©eû·|¹{¥¬¤§¡m¼fp·Ç«h¡n¤ºªº¡m°ê»Ú¼fp·Ç«h²Ä 810 ¸¹¡X¡X¹ï²n°]°È³øªí¥X¨ã³ø§iªº·~°È¡nªº³W©w°õ¦æ¤F¼fp¤u§@¡C
¼fp·N¨£
§ÚÌ»{¬°¡A¨Ó·½©ó¶Q¤À¤½¥qºI¦Ü¤G¹s¤G¤T¦~¤Q¤G¤ë¤T¤Q¤@¤é¤î¦~«×¤w¼fp°]°È³øªíªºÂ²n°]°È³øªí«ö·Óªþµù1 ´yzªº¼Ð·Ç¡A¦b©Ò¦³«¤j¤è±»P¤w¼fp°]°È³øªí«O«ù¤F¤@P¡C
- §õ¬F¥ß
- °õ·~·|p®v
ù§L«w¥Ã¹D·|p®v¨Æ°È©Ò
¤G¹s¤G¥|¦~¥|¤ë¤Q¤C¤é¡A©ó¿Dªù
¤¤°ê¤H¥Á«OÀI¡]»´ä¡^¦³¤½¥q¿Dªù¤À¤½¥q
- ²n°]°È³øªí
- ¥Ñ¤G¹s¤G¤T¦~¤Q¤G¤ë¤T¤Q¤@¤é¤î´Á¶¡
ªþµù¤@ ²n°]°È³øªíªº½s»s¼Ð·Ç
¤¤°ê¤H¥Á«OÀI¡]»´ä¡^¦³¤½¥q¿Dªù¤À¤½¥q (¡u¶Q¤À¤½¥q¡v) ªºÂ²n°]°È³øªí¥]¬A¤G¹s¤G¤T¦~¤Q¤G¤ë¤T¤Q¤@¤éªº¸ê²£t¶Åªí¡B¥H¤ÎºI¦Ü¸Ó¤é¤î¦~«×ªºÀç·~ªí©M·l¯qªí¡B¥H¤Î¬ÛÃöªþµù¡C¥ÑºÞ²z¼h½s»sªºÂ²n°]°È³øªí¬O«ö·Ó¿Dªù«OÀI·~°Èªk«ß¨î«×²Ä¤K¤Q¤»±ø¦Ó¦b³ø³¹¤Î¿Dªù¯S§O¦æ¬F°Ï¤½³ø¥Zµn¡C²n°]°È³øªí¨Ó·½©ó¶Q¤½¥qºI¦Ü¤G¹s¤G¤T¦~¤Q¤G¤ë¤T¤Q¤@¤é¤î¦~«×¤w¼fpªº°]°È³øªí¡C
·~°È²³ø
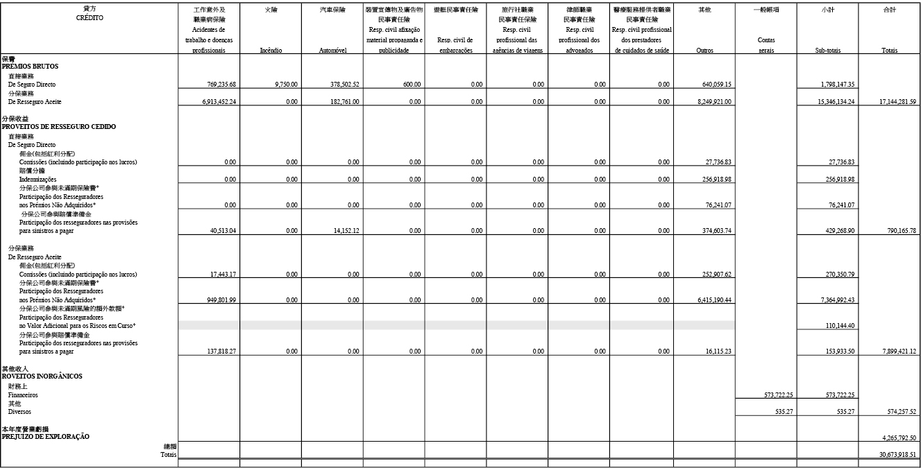
¥»¤½¥q¿Dªù¤À¤½¥q¦b¤G¹s¤G¤G¦~¤K¤ë¤Q¤K¤é¶}·~¡A¸gÀç¤@¯ë«OÀI·~°È¡C2023¦~«×¿ý±o¤ò«O¶O¦¬¤J¬°17,144,281.59¿Dªù¤¸¡C®i±æ2024¦~¡A¥»¤½¥q³z¹L¼W¥[«OÀI²£«~ºØÃþ¡A©Ý¼e¤À¾P´ë¹D¡A¿n·¥ÂX®i¿Dªù¦a°Ï·~°È¡AºÉ§Ö¹F¦Ü¦¬¤ä¥¿Å¡A³v¨B§áÁ«¬°¬Õ¡C
¤¤°ê¤H¹Ø«OÀI¡]®ü¥~¡^ªÑ¥÷¦³¤½¥q
¸ê²£t¶Åªí
¤G¹s¤G¤T¦~¤Q¤G¤ë¤T¤Q¤@¤é
¿Dªù¤¸
µù¡G¦³§Î¸ê²£¡X¡X¤£°Ê²£¡A¨ä¤¤MOP2,575¸U ÄÝ©ó ¾á«O§Þ³N·Ç³Æª÷¸ê²£¡X¡X¦Û¦³ªº¡X¡X¤£°Ê²£
¿Dªù¹ô
| °]°È·|p³¡°ÆÁ`¸g²z ®e㬌¤å | Àò±ÂÅv¤H ©P¤hx | 
Àç·~ªí
¤G¹s¤G¤T¦~
¿Dªù¹ô
·l¯qªí
¤G¹s¤G¤T¦~«×
¿Dªù¹ô
| °]°È·|p³¡°ÆÁ`¸g²z ®e㬌¤å | Àò±ÂÅv¤H ©P¤hx | 
¤½¥q·~°Èµo®i²³ø
2023¦~¡A¤¤°ê¤H¹Ø«OÀI(®ü¥~)ªÑ¥÷¦³¤½¥q¿Dªù¤À¤½¥q¡A¥þ¦~«O¶O·~°È¦¬¤J108»õ¿Dªù¤¸¡A¥þ¦~¹ê²{µ|«á§Q¼í4.3»õ¿Dªù¤¸¡C
§Ú¥q¦b¿Dªù¤w¦³34¦~ªº¸gÀç¾ú¥v¡A¥H¡u°í¦u©Ó¿Õ¡A²×¨¬Û¦ñ¡v§@¬°¥ø·~²z©À¡AºI¦Ü2023¦~©³¸ê²£Á`ÃB873.2»õ¿Dªù¤¸¡A¤W¯Å¤½¥q¤¤°ê¤H¹Ø«OÀI¡]®ü¥~¡^ªÑ¥÷¦³¤½¥qÀò¿p}±Â¤©«OÀI°]°È¹ê¤O¡uA1¡vµû¯Å1¡B¼Ð·Ç´¶º¸±Â¤©¥»¦a³f¹ôªø»·«OÀI¤½¥q°]°È¹ê¤Oµû¯Å¤Îµo¶Å¤H«H¥Îµû¯Å¡uA¡v2¡C¥À¤½¥q¤¤°ê¤H¹Ø«OÀI¡]¶°¹Î¡^¤½¥q2023¦~±Æ¦W¡m°]´I¡n¥þ²y500±j²Ä54¦ì¡A¹ê¤O¶¯«p¡C
¥¼¨Ó¡A§Ú¥q±NÄ~Äò¤ã®Ú¿Dªù¡A§V¤O¬°¼s¤j¿Dªù©~¥Á¥H¦Ü¤jÆW°Ï«È¤á´£¨Ñ§óÀu½è¡B§ó¦h¤¸¤Æªº¤H¹Ø«OÀIªA°È¡A¬°¿Dªùªº«Ø³]µo®i§@¥X§ó¤j°^Äm¡AÂǦ¹·PÁ¼s¤j«È¤á¤@ª½¥H¨Óªº¤ä«ù©M«H¿à¡C
1ºI¦Ü2023¦~10¤ë25¤é
2ºI¦Ü2023¦~10¤ë30¤é
- ¹ï²n°]°È³øªí¥X¨ãªº¿W¥ß¼fp®v³ø§i
- P¤¤°ê¤H¹Ø«OÀI(®ü¥~)ªÑ¥÷¦³¤½¥q - ¿Dªù¤À¦æºÞ²z¼h¡G
«áªþ¸ü©ó²Ä¤G¶¦Ü²Ä¤»¶ªº¤¤°ê¤H¹Ø«OÀI(®ü¥~)ªÑ¥÷¦³¤½¥q - ¿Dªù¤À¦æ(¡u¶Q¤À¦æ¡v)²n°]°È³øªí¥]¬A¤G¹s¤G¤T¦~¤Q¤G¤ë¤T¤Q¤@¤éªºÂ²n¸ê²£t¶Åªí¡B¥H¤ÎºI¦Ü¸Ó¤é¤î¦~«×ªºÂ²nÀç·~ªí©M²n·l¯qªí¥H¤Î¬ÛÃöªþµù¡C ¶Q¤À¦æÂ²n°]°È³øªí¨Ó·½©ó¶Q¤À¦æºI¦Ü¤G¹s¤G¤T¦~¤Q¤G¤ë¤T¤Q¤@¤é¤î¦~«×¤w¼fpªº°]°È³øªí¡C§Ṳ́w¦b¤G¹s¤G¥|¦~¥|¤ë¤G¤Q¤E¤éñ¸pªº¼fp³ø§i¤¤¹ïºc¦¨Â²n°]°È³øªí¨Ó·½ªº°]°È³øªíµoªí¤FµL«O¯d·N¨£¡C
²n°]°È³øªí¨S¦³¥]§t¿Dªù¯S§O¦æ¬F°Ï¤§¡m°]°È³ø§i·Ç«h¡nn¨Dªº©Ò¦³©ÜÅS¡A¦]¦¹¡A¹ï²n°]°È³øªíªº¾\Ū¤£¯à´À¥N¹ï¶Q¤À¦æ¤w¼fp°]°È³øªíªº¾\Ū¡C
ºÞ²z¼h¹ï²n°]°È³øªíªº³d¥ô
ºÞ²z¼ht³d«ö·Óªþµù¤@´yzªº¼Ð·Ç½s»s²n°]°È³øªí¡C
¼fp®vªº³d¥ô
§Ú̪º³d¥ô¬O¦b¹ê¬I¼fpµ{§Çªº°ò¦¤W¹ï²n°]°È³øªíµoªí¼fp·N¨£¡A¶È¦VºÞ²z¼h³ø§i¡A°£¦¹¤§¥~¥»³ø§i§OµL¨ä¥L¥Øªº¡C§Ṳ́£·|´N¥»³ø§iªº¤º®e¦V¥ô¦ó¨ä¥L¤H¤ht¤W©Î©Ó¾á¥ô¦ó³d¥ô¡C§ÚÌ«ö·Ó¿Dªù¯S§O¦æ¬F°Ï·|p®v±M·~©eû·|¹{¥¬¤§¡m¼fp·Ç«h¡n¤ºªº¡m°ê»Ú¼fp·Ç«h²Ä 810 ¸¹¡X¡X¹ï²n°]°È³øªí¥X¨ã³ø§iªº·~°È¡nªº³W©w°õ¦æ¤F¼fp¤u§@¡C
¼fp·N¨£
§ÚÌ»{¬°¡A¨Ó·½©ó¶Q¤À¦æºI¦Ü¤G¹s¤G¤T¦~¤Q¤G¤ë¤T¤Q¤@¤é¤î¦~«×¤w¼fp°]°È³øªíªºÂ²n°]°È³øªí«ö·Óªþµù¤@´yzªº¼Ð·Ç¡A¦b©Ò¦³«¤j¤è±»P¤w¼fp°]°È³øªí«O«ù¤F¤@P¡C
- §õ¬F¥ß
- °õ·~·|p®v
- ù§L«w¥Ã¹D·|p®v¨Æ°È©Ò
- ¤G¹s¤G¥|¦~¥|¤ë¤G¤Q¤E¤é¡A©ó¿Dªù
ªþµù¤@
ºÞ²z¼h«ö·Ó¤G¹s¤G¤T¦~¤Q¤G¤ë¤T¤Q¤@¤é¤î¦~«×¤w¼fpªº°]°È³øªí¡B¦³Ãöªº«OÀI·~°Èªk«ß¨î«×¥H¤ÎºÞ²z¼hªºÄÄÄÀ¡A½s¨î¸Ó²n°]°È³øªí¡C
ÁpÂצë¤H¹Ø«OÀIªÑ¥÷¦³¤½¥q
¸ê²£t¶Åªí
¤G¹s¤G¤T¦~¤Q¤G¤ë¤T¤Q¤@¤é
¿Dªù¤¸
Àç·~ªí
¤G¹s¤G¤T¦~«×
| 借方 | 澳門元 | 
| 貸方 | 澳門元 | 
·l¯qªí
¤G¹s¤G¤T¦~«×
¿Dªù¤¸
| °]°ÈÁ`ºÊ §õ°¶¥ú | ¨üÅv¤H ùÀA¨ä | 
¥DnªÑªF
| ªÑªF¦WºÙ | ªÑ¥÷¼Æ¥Ø | ¦ûªÑ¤ñ¨Ò | ¤jÂ׻ȦæªÑ¥÷¦³¤½¥q | 285,750 | 28.58% | ¤¤»È¶°¹Î«OÀI¦³¤½¥q | 275,000 | 27.50% | µØ¹´»È¦æ¡]¿Dªù¡^ªÑ¥÷¦³¤½¥q | 105,000 | 10.50% | ©Û°Ó¥Ã¶©«OÀI¦³¤½¥q | 60,000 | 6.00% | 
¥»¤½¥q¥X¸ê¶W¶V¦³Ãö¾÷ºc¸ê¥»5%¤§¦W³æ
¾÷ºc¦WºÙ ªÑ¥÷¼Æ¥Ø ¦ûªÑ¤ñ¨Ò
µL
ªÑªF¤j·|¥D®u¹Î
¥D®u ¡G ¤jÂ׻ȦæªÑ¥÷¦³¤½¥q
°Æ¥D®u ¡G ©Û°Ó¥Ã¶©«OÀI¦³¤½¥q
¯µ®Ñ ¡G ³Ð¿³«OÀI¦³¤½¥q
¸³¨Æ·|
¸³¨Æªø ¡G ¦ó¯E¥Í
°Æ¸³¨Æªø ¡G ¤¤»È¶°¹Î«OÀI¦³¤½¥q¡]ªLÞm¦¿¥Nªí¡^
¸³¨Æ ¡G ±i«Ø¬x¡]¤G¹s¤G¤T¦~¤@¤ë¤@¤éÂ÷¥ô¡^
¿c«O±d¡]¤G¹s¤G¤T¦~¤»¤ë¤G¤Q¤é¤W¥ô¡^
³¯ÀAÁp¡]©ó¦~«×¤º¨¬G¡^
³¢¿ü§Ó
®}Ä~©÷
ùÀA¨ä
¤½¥q¯µ®Ñ ¡G ªL¥¿¥ú
ºÊ¨Æ·|
¥D®u ¡G ³¯ùÚ©M
°Æ¥D®u ¡G ¨H°í½Ã
©eû ¡G °KºÖ©M
¦æ¬FºÞ²z
Á`¸g²z ¡G ùÀA¨ä
°ÆÁ`¸g²z ¡G ªL¥¿¥ú
·|p ¡G §õ°¶¥ú
¸³¨Æ·|º[ºÊ¨Æ·|Áp¦X³ø§i®Ñ
¥»¤½¥q2023¦~«×½ã¥Ø¤w®Öºâ§¹²¦¡A¸³¨Æº[ºÊ¨ÆÂÔ§e¤W¸Ó¦~«×·~°È¤Î°]°È³ø§i¡C
·~°È½d³ò¤ÎÀç·~·§ªp
¥»¤½¥q©ó°]¬F¦~«×¸gÀç¤H¹Ø«OÀI²£«~¤Î¨p¤H°h¥ðª÷ºÞ²z·~°È¡C
2023¦~ÀHµÛ¬Ì±¡Áͽw©M¡A¥»¿D¨¾¬Ì¬Fµ¦¥ç©ñ¼e¡AªÀ·|¥Í¬¡´_±`¡A¦ý»´ä»P¤º¦aºM¾P¥X¤J¹Ò¨î±¹¬I«á¡A¤º¦a©~¥Á¨Ó¿D§ëÁʤH¹Ø·~°ÈÅãµÛ¤U°¡A¥[¤W¥»¦a©Ð¦a²£¥æ§ë²HÀR©Mª«·~»ù®æ¤U°¡A¹ï¥»¤½¥q·~°È±a¨ÓÅãµÛ¼vÅT¡C®Ú¾Ú¿Dªùª÷¿ÄºÞ²z§½¤½§Gªº«OÀI·~Á{®É²Îp¼Æ¾Ú¡A2023¦~«×¿Dªù¤H¹Ø«OÀI·~°ÈÁ`¤ò«O¶O¦¬¤J342»õ¡]¿Dªù¤¸¡A¤U¦P¡^¡A¸û2022¦~´î¤Ö4.04%¡F¦b°h¥ðª÷ºÞ²z·~°È¤è±¡AÀHµÛ¸ê²£»ù®æ¦^¤É¤Î¨Ñ´Ú¼W¥[¡AºI¦Ü2023¦~©³¡A¥þ¿D°h¥ðª÷p¹º¨ü°UºÞ²zÁ`¸ê²£¬ù424»õ¤¸¡A¦P¤ñ¼W¥[9.44%¡C
¥»¤½¥qÄ~Äò¥Hð·°È¹êªºµ¦²¤©Ý®i·~°È¡A2023¦~¤H¹Ø·~°È¤ò«O¶O¦¬¤J¬°1.95»õ¤¸¡A¸û2022¦~´î¤Ö16.13%¡F¦b°h¥ðª÷ºÞ²z·~°È¤è±¡AºI¦Ü2023¦~©³¥»¤½¥q¨ü¦«ºÞ²z¸ê²£¬°89.95»õ¤¸¡A¦P¤ñ¼W¥[10.34%¡C
·~ÁZ¤Î¬Õ¾l¤À°t
¥»¤½¥qÀç¹Bµ²ªG¦C©ó°]°È³øªí¤§²Ä3¶¦Ü²Ä8¶¡C
¸g¸³¨Æ·|«ØÄ³¨ÃÀòºÊ¨Æ·|¦P·N¤§§Q¼í¤À°t¤è®×§eªÑªF¶g¦~¤j·|¼fij³q¹L¡C
¸³¨Æ¤ÎºÊ¨Æ
2023¦~°]¬F¦~«×¸³¨Æ·|¦¨û¬°¡G¦ó¯E¥Í¡B¤¤»È¶°¹Î«OÀI¦³¤½¥q¡]ªLÞm¦¿¥Nªí¡^¡B¿c«O±d¡B³¯ÀAÁp¡]©ó¦~«×¤º¨¬G¡^¡B³¢¿ü§Ó¡B®}Ä~©÷¤ÎùÀA¨ä¡C
2023¦~°]¬F¦~«×ºÊ¨Æ·|¦¨û¬°¡G³¯ùÚ©M¡B¨H°í½Ã¤Î°KºÖ©M¡C
¥~³¡¼fp®v
¥»¤½¥q°]°È³øªí¸g¥Ñ¦w¥Ã·|p®v¨Æ°È©Ò¬d®Ö§¹²¦¡A¨Ã¸gºÊ¨Æ·|¼f¾\¤Î«ØÄ³§eªÑªF¶g¦~¤j·|¨Mij³q¹L¡C¦Ó¦w¥Ã·|p®v¨Æ°È©Ò¤µ¦~¤w¥ôº¡§i°h¡A¦ýªí¥ÜÄ@·NÀ³¸u³s¥ô¡AºÊ¨Æ·|ij¨M³q¹L«ØÄ³Äò¸u¦w¥Ã·|p®v¨Æ°È©Ò¬°¥»¤½¥q2024¦~«×ªº¥~³¡¼fp®v¡C
| ¦ó¯E¥Í ¸³¨Æªø | ³¯ùÚ©M ºÊ¨Æ·|¥D®u | 
¤é´Á¡G2024¦~3¤ë27¤é
- ¹ï²n°]°È³øªí¥X¨ãªº¿W¥ß¼fp®v³ø§i
- P ÁpÂצë¤H¹Ø«OÀIªÑ¥÷¦³¤½¥q¥þÅéªÑªF¡G
- ¡]©ó¿Dªùµù¥U¦¨¥ß¤§ªÑ¥÷¦³¤½¥q¡^
«áªþ¸üªºÁpÂצë¤H¹Ø«OÀIªÑ¥÷¦³¤½¥q²n°]°È³øªí¥]¬A¤G¹s¤G¤T¦~¤Q¤G¤ë¤T¤Q¤@¤éªº¸ê²£t¶Åªí¡B¥H¤ÎºI¦Ü¸Ó¤é¤î¦~«×ªº·l¯qªí¡CÁpÂצë¤H¹Ø«OÀIªÑ¥÷¦³¤½¥q²n°]°È³øªí¨Ó·½©óÁpÂצë¤H¹Ø«OÀIªÑ¥÷¦³¤½¥qºI¦Ü¤G¹s¤G¤T¦~¤Q¤G¤ë¤T¤Q¤@¤é¤î¦~«×¤w¼fpªº°]°È³øªí¡C§Ṳ́w¦b¤G¹s¤G¥|¦~¤T¤ë¤Q¤G¤éñ¸pªº¼fp³ø§i¤¤¹ïºc¦¨Â²n°]°È³øªí¨Ó·½ªº°]°È³øªíµoªí¤FµL«O¯d·N¨£¡C³o¨Ç°]°È³øªí©M²n°]°È³øªí¨S¦³¤Ï¬M¼fp³ø§i¤é«áµo¥Í¨Æ¶µªº¼vÅT¡C
²n°]°È³øªí¨S¦³¥]§t¿Dªù¯S§O¦æ¬F°Ï¤§¡m°]°È³ø§i·Ç«h¡nn¨Dªº©Ò¦³©ÜÅS¡A¦]¦¹¡A¹ï²n°]°È³øªíªº¾\Ū¤£¯à´À¥N¹ïÁpÂצë¤H¹Ø«OÀIªÑ¥÷¦³¤½¥q¤w¼fp°]°È³øªíªº¾\Ū¡C
ºÞ²z¼h¹ï²n°]°È³øªíªº³d¥ô
ºÞ²z¼ht³d«ö·Ó²Ä229/2020¸¹¦æ¬Fªø©x§å¥Ü«·s¤½§G¡A¸g²Ä21/2020¸¹ªk«ßק諸¤»¤ë¤T¤Q¤é²Ä27/97/M¸¹ªk¥O®Ö㤧¡m«OÀI·~°Èªk«ß¨î«×¡n²Ä¤K¤Q¤»±ø¡]¤@¡^¶µ½s»s²n°]°È³øªí¡C
¼fp®vªº³d¥ô
§Ú̪º³d¥ô¬O¦b¹ê¬I¼fpµ{§Çªº°ò¦¤W¹ï²n°]°È³øªíµoªí¼fp·N¨£¡C§ÚÌ«ö·Ó¿Dªù¯S§O¦æ¬F°Ï¤§¡m¼fp·Ç«h¡n¤ºªº¡m°ê»Ú¼fp·Ç«h²Ä810¸¹¡X¡X¹ï²n°]°È³øªí¥X¨ã³ø§iªº·~°È¡nªº³W©w°õ¦æ¤F¼fp¤u§@¡C
¼fp·N¨£
§ÚÌ»{¬°¡A¨Ó·½©óÁpÂצë¤H¹Ø«OÀIªÑ¥÷¦³¤½¥qºI¦Ü¤G¹s¤G¤T¦~¤Q¤G¤ë¤T¤Q¤@¤é¤î¦~«×¤w¼fp°]°È³øªíªºÂ²n°]°È³øªí«ö·Ó²Ä229/2020¸¹¦æ¬Fªø©x§å¥Ü«·s¤½§G¡A¸g²Ä21/2020¸¹ªk«ßק諸¤»¤ë¤T¤Q¤é²Ä27/97/M¸¹ªk¥O®Ö㤧¡m«OÀI·~°Èªk«ß¨î«×¡n²Ä¤K¤Q¤»±ø¡]¤@¡^¶µªº¼Ð·Ç¡A¦b©Ò¦³«¤j¤è±»P¤w¼fp°]°È³øªí«O«ù¤F¤@P¡C
- ³¯±L °õ·~·|p®v
- ¦w¥Ã·|p®v¨Æ°È©Ò
¤G¹s¤G¥|¦~¤T¤ë¤Q¤G¤é¡A¿Dªù
ÁpÂצë«OÀI¦³¤½¥q
¸ê²£t¶Åªí
¤G¹s¤G¤T¦~¤Q¤G¤ë¤T¤Q¤@¤é
¿Dªù¤¸
Àç·~ªí
¤G¹s¤G¤T¦~«×
| 借方 | 澳門元 | 
| 貸方 | 澳門元 | 
·l¯qªí
¤G¹s¤G¤T¦~«×
¿Dªù¤¸
| °]°ÈÁ`ºÊ §õ°¶¥ú | ¨üÅv¤H ùÀA¨ä | 
¥DnªÑªF
| ªÑªF¦WºÙ | ªÑ¥÷¼Æ¥Ø | ¦ûªÑ¤ñ¨Ò | 
| ¤jÂ׻ȦæªÑ¥÷¦³¤½¥q | 152,400 | 38.10% | 
| ¤¤»È¶°¹Î«OÀI¦³¤½¥q | 128,000 | 32.00% | 
| µØ¹´»È¦æ¡]¿Dªù¡^ªÑ¥÷¦³¤½¥q | 48,000 | 12.00% | 
| ¤¤°ê¤u°Ó»È¦æ¡]¿Dªù¡^ªÑ¥÷¦³¤½¥q | 24,000 | 6.00% | 
¥»¤½¥q¥X¸ê¶W¶V¦³Ãö¾÷ºc¸ê¥»5%¤§¦W³æ
| 機構名稱 | 股份數目 | 佔股比例 | 
µL
ªÑªF¤j·|¥D®u¹Î
¥D®u ¡G ¤jÂ׻ȦæªÑ¥÷¦³¤½¥q
°Æ¥D®u ¡G µØ¹´»È¦æ¡]¿Dªù¡^ªÑ¥÷¦³¤½¥q
¯µ®Ñ ¡G ¤¤°ê¤u°Ó»È¦æ¡]¿Dªù¡^ªÑ¥÷¦³¤½¥q
¸³¨Æ·|
¸³¨Æªø ¡G ¦ó¯E¥Í
°Æ¸³¨Æªø ¡G ¤¤»È¶°¹Î«OÀI¦³¤½¥q¡]ªLÞm¦¿¥Nªí¡^
±i«Ø¬x¡]¤G¹s¤G¤T¦~¤@¤ë¤@¤éÂ÷¥ô¡^
¿c«O±d¡]¤G¹s¤G¤T¦~¤»¤ë¤Q¥|¤é¤W¥ô¡^
¸³¨Æ ¡G ³¯ÀAÁp¡]©ó¦~«×¤º¨¬G¡^
®}Ä~©÷
¨H°í½Ã
¯Î®aÓ}
¨º¸s«Â
ùÀA¨ä
µØ¹´»È¦æ¡]¿Dªù¡^ªÑ¥÷¦³¤½¥q¡]¿c«O±d¥Nªí¡A¤G¹s¤G¤T¦~¤»¤ë¤Q¥|¤éÂ÷¥ô¡^
µØ¹´»È¦æ¡]¿Dªù¡^ªÑ¥÷¦³¤½¥q¡]JŶ²¥Nªí¡A¤G¹s¤G¤T¦~¤»¤ë¤Q¥|¤é¤W¥ô¡^
ùڥͫOÀI¦³¤½¥q¡]¥Û°ö°ò¥Nªí¡A¤G¹s¤G¤T¦~¤K¤ë¤T¤é¤W¥ô¡^
¤½¥q¯µ®Ñ ¡G §õ°¶¥ú
ºÊ¨Æ·|
¥D®u ¡G ¤û«Øx
°Æ¥D®u ¡G ³¯ùÚ©M
©eû ¡G °KºÖ©M
¦æ¬FºÞ²z
Á`¸g²z ¡G ùÀA¨ä
°ÆÁ`¸g²z ¡G °ÏÄRÄR
·|p ¡G §õ°¶¥ú
¸³¨Æ·|º[ºÊ¨Æ·|Áp¦X³ø§i®Ñ
¥»¤½¥q2023¦~«×½ã¥Ø¤w®Öºâ§¹²¦¡A¸³¨Æº[ºÊ¨ÆÂÔ§e¤W¸Ó¦~«×·~°È¤Î°]°È³ø§i¡C
·~°È½d³ò¤ÎÀç·~·§ªp
¥»¤½¥q©ó°]¬F¦~«×¤º¸gÀç«D¤H¹Ø«OÀI©M¤À«O·~°È¡C
2023¦~ÀHµÛ¬Ì±¡ÂàÁͽw©M¡BªÀ·|¥Í¬¡´_±`¡A¥[¤W¿D¨®¥_¤W¬Fµ¦ªº¥X¥x¡A±a°Ê¬ÛÃöªº®È¹C«OÀI©M¨T¨®«OÀI·~°ÈÅãµÛ¼W¥[¡CµM¦Ó¡A¥»¦a©Ð¦a²£¥æ§ë²HÀR©Mª«·~»ù®æ¤U¶^¡A¹ï¥»¤½¥q·~°È¤ñ«¸û¤jªº¤õÀI·~°È±a¨Ó¤@©w¼vÅT¡C®Ú¾Ú¿Dªùª÷ºÞ§½³Ì·s¤½§Gªº«D¤H¹Ø«OÀI·~°ÈÁ{®É²Îp¼Æ¾Ú¡A2023¦~¥þ¦~ªº«D¤H¹Ø«OÀI¤ò«O¶O¦¬¤J¬°28.47»õ(¿Dªù¤¸¡A¤U¦P)¡A¸û2022¦~¦P´Á¼W¥[9.60 %¡C
¥»¤½¥qÄ~ÄòªÃ«ù𷪺¸gÀç¤è°w©M¦h¤¸¤Æªº·~°È©Ý®iµ¦²¤¡A¥Hª§¨ú§ó¨Îªº·~°È¬Õ§Q¬°¥Ø¼Ð¡A2023¦~¥þ¦~ªº¤ò«O¶O¦¬¤J¬ù6.09»õ¡A¸û2022¦~¼W¥[4.44%¡C
·~ÁZ¤Î¬Õ¾l¤À°t
¥»¤½¥qÀç¹Bµ²ªG¦C©ó°]°È³øªí¤§²Ä3¶¦Ü²Ä8¶¡C
¸g¸³¨Æ·|«ØÄ³¨ÃÀòºÊ¨Æ·|¦P·N¤§§Q¼í¤À°t¤è®×§eªÑªF¶g¦~¤j·|¼fij³q¹L¡C
¸³¨Æ¤ÎºÊ¨Æ
2023¦~°]¬F¦~«×¸³¨Æ·|¦¨û¬°¡G¦ó¯E¥Í¡B¤¤»È¶°¹Î«OÀI¦³¤½¥q(ªLÞm¦¿¥Nªí)¡B¿c«O±d¡B³¯ÀAÁp¡]©ó¦~«×¤º¨¬G¡^¡B®}Ä~©÷¡B¨H°í½Ã¡B¯Î®aÓ}¡B¨º¸s«Â¡BµØ¹´»È¦æ(¿Dªù)ªÑ¥÷¦³¤½¥q(JŶ²¥Nªí)¡BùڥͫOÀI¦³¤½¥q(¥Û°ö°ò¥Nªí)¤ÎùÀA¨ä¡C
2023¦~°]¬F¦~«×ºÊ¨Æ·|¦¨û¬°¡G¤û«Øx¡B³¯ùÚ©M¤Î°KºÖ©M¡C
¥~³¡¼fp®v
¥»¤½¥q°]°È³øªí¸g¥Ñ¦w¥Ã·|p®v¨Æ°È©Ò¬d®Ö§¹²¦¡A¨Ã¸gºÊ¨Æ·|¼f¾\¤Î«ØÄ³§eªÑªF¶g¦~¤j·|¨Mij³q¹L¡C¦Ó¦w¥Ã·|p®v¨Æ°È©Ò¤µ¦~¤w¥ôº¡§i°h¡A¦ýªí¥ÜÄ@·NÀ³¸uÄò¥ô¡CºÊ¨Æ·|ij¨M³q¹L«ØÄ³Äò¸u¦w¥Ã·|p®v¨Æ°È©Ò¬°¥»¤½¥q2024¦~«×ªº¥~³¡¼fp®v¡C
| ¦ó¯E¥Í ¸³¨Æªø | ¤û«Øx ºÊ¨Æ·|¥D®u | 
¤é´Á¡G2024¦~3¤ë27¤é
- ¹ï²n°]°È³øªí¥X¨ãªº¿W¥ß¼fp®v³ø§i
- P ÁpÂצë«OÀI¦³¤½¥q¥þÅéªÑªF:
- (©ó¿Dªùµù¥U¦¨¥ß¤§ªÑ¥÷¦³¤½¥q)
«áªþ¸üªºÁpÂצë«OÀI¦³¤½¥q²n°]°È³øªí¥]¬A¤G¹s¤G¤T¦~¤Q¤G¤ë¤T¤Q¤@¤éªº¸ê²£t¶Åªí¡B¥H¤ÎºI¦Ü¸Ó¤é¤î¦~«×ªº·l¯qªí¡CÁpÂצë«OÀI¦³¤½¥q²n°]°È³øªí¨Ó·½©óÁpÂצë«OÀI¦³¤½¥qºI¦Ü¤G¹s¤G¤T¦~¤Q¤G¤ë¤T¤Q¤@¤é¤î¦~«×¤w¼fpªº°]°È³øªí¡C§Ṳ́w¦b¤G¹s¤G¥|¦~¤T¤ë¤Q¤G¤éñ¸pªº¼fp³ø§i¤¤¹ïºc¦¨Â²n°]°È³øªí¨Ó·½ªº°]°È³øªíµoªí¤FµL«O¯d·N¨£¡C³o¨Ç°]°È³øªí©M²n°]°È³øªí¨S¦³¤Ï¬M¼fp³ø§i¤é«áµo¥Í¨Æ¶µªº¼vÅT¡C
²n°]°È³øªí¨S¦³¥]§t¿Dªù¯S§O¦æ¬F°Ï¤§¡m°]°È³ø§i·Ç«h¡nn¨Dªº©Ò¦³©ÜÅS¡A¦]¦¹¡A¹ï²n°]°È³øªíªº¾\Ū¤£¯à´À¥N¹ïÁpÂצë«OÀI¦³¤½¥q¤w¼fp°]°È³øªíªº¾\Ū¡C
ºÞ²z¼h¹ï²n°]°È³øªíªº³d¥ô
ºÞ²z¼ht³d«ö·Ó²Ä229/2020¸¹¦æ¬Fªø©x§å¥Ü«·s¤½§G¡A¸g²Ä21/2020¸¹ªk«ßק諸¤»¤ë¤T¤Q¤é²Ä27/97/M¸¹ªk¥O®Ö㤧¡m«OÀI·~°Èªk«ß¨î«×¡n²Ä¤K¤Q¤»±ø¡]¤@¡^¶µ½s»s²n°]°È³øªí¡C
¼fp®vªº³d¥ô
§Ú̪º³d¥ô¬O¦b¹ê¬I¼fpµ{§Çªº°ò¦¤W¹ï²n°]°È³øªíµoªí¼fp·N¨£¡C§ÚÌ«ö·Ó¿Dªù¯S§O¦æ¬F°Ï¤§¡m¼fp·Ç«h¡n¤ºªº¡m°ê»Ú¼fp·Ç«h²Ä 810 ¸¹¡X¡X¹ï²n°]°È³øªí¥X¨ã³ø§iªº·~°È¡nªº³W©w°õ¦æ¤F¼fp¤u§@¡C
¼fp·N¨£
§ÚÌ»{¬°¡A¨Ó·½©óÁpÂצë«OÀI¦³¤½¥qºI¦Ü¤G¹s¤G¤T¦~¤Q¤G¤ë¤T¤Q¤@¤é¤î¦~«×¤w¼fp°]°È³øªíªºÂ²n°]°È³øªí«ö·Ó²Ä229/2020¸¹¦æ¬Fªø©x§å¥Ü«·s¤½§G¡A¸g²Ä21/2020¸¹ªk«ßק諸¤»¤ë¤T¤Q¤é²Ä27/97/M¸¹ªk¥O®Ö㤧¡m«OÀI·~°Èªk«ß¨î«×¡n²Ä¤K¤Q¤»±ø¡]¤@¡^¶µªº¼Ð·Ç¡A¦b©Ò¦³«¤j¤è±»P¤w¼fp°]°È³øªí«O«ù¤F¤@P¡C
- ³¯ ±L °õ·~·|p®v
- ¦w¥Ã·|p®v¨Æ°È©Ò
- ¤G¹s¤G¥|¦~¤T¤ë¤Q¤G¤é¡A¿Dªù
¤¤°ê¤Ó¥«OÀI¡]¿Dªù¡^ªÑ¥÷¦³¤½¥q
¸ê²£t¶Åªí
©ó¤G¹s¤G¤T¦~¤Q¤G¤ë¤T¤Q¤@¤é
¡]¿Dªù¤¸¡^
Àç·~ªí
¤G¹s¤G¤T¦~¤Q¤G¤ë¤T¤Q¤@¤é
¡]¿Dªù¤¸¡^
·l¯qªí
¤G¹s¤G¤T¦~¤Q¤G¤ë¤T¤Q¤@¤é
¡]¿Dªù¤¸¡^
| ·|p¡G½²ª÷¾W | ¨üÅv¤H¡G§d´f¦B | 
¤G¹s¤G¤T¦~«×·~°Èµo®i²³ø
2023¦~¡A¨ü´f©ó¿Dªù¸gÀÙ´_µd¤Î´N·~±¡ªp§ïµ½µ¥§Q¦n¦]¯À¡A«OÀI¥«³õµo®i¥ç³v¨B«ì´_¡C¹L¥hªº¤@¦~¡A¤Ó¥¿Dªù¶¶®ÉÀ³¶Õ¡A§â´¤¸f´ä¿D¤jÆW°Ï¤Î¾îµ^¸f¿D²`«×¦X§@°Ïµo®i¾÷¹J¡A¦P®É¿n·¥°t¦X¯S°Ï¬F©²º¡¨¬¥Á¥Í©MªÀ·|ªº«OÀIªA°È»Ý¨D¡Aµo´§¥D·~Àu¶Õ¡A¬°¿Dªù¦a°Ï¸gÀÙµo®i©MªÀ·|¥Á¥Í°µ¥X¤FÀ³¦³ªº°^Äm¡C
2024¦~3¤ë21¤é¡A¨©¤óµû¯Å¤½¥q¡]A.M.Best¡^µo§G³q§i¡Aºû«ù¤½¥q°]°È¹ê¤Oµû¯Å¡§A¡¨©Mµo¦æ¤H«H¥Îµû¯Å¡§a¡¨¡Aµû¯Å®i±æÃ©w¡A³o¬O¤½¥q³sÄò²Ä¤Q¤G¦~Àò¦¹µû¯Å¡C¨©¤óµû¯Å¤½¥q¹ï¤½¥q«D±`强«lªº¸ê²£t¶Å¹ê¤O¡B¶¯«pªº°]°È¹ê¤O¡BÀu¨qªº¸gÀçªí²{¡B𷪺·~°Èµ²ºc©M¥ý¶iªº·ÀIºÞ²z¯à¤Oµ¹¤©¤F°ª«×µû»ù¡A¥R¤ÀªÖ©w¤½¥q¦b¿Dªù«D¹ØÀI¥«³õªº«ùÄò»â¥ý¦a¦ì¡C
¤Ó¥¿Dªù±NªÃ©Ó¡§¤ã®Ú¿Dªù¡AªA°È¿Dªù¡¨ªºµo®i²z©À¡A°í«ù¥H«È¤á¬°¤¤¤ß¡AP¤O¬°«È¤á´£¨Ñ©P¥þªº«OÀI«O»Ù©M«K±¶ªºª÷¿Ä«OÀIªA°È¡C¥þ²y¸gÀÙ¥«³õ¤´¦s¦b½Ñ¦h¤£½T©w©Ê¡A¤Ó¥¿Dªù±N¤£§Ñªì¤ß¡A¿n·¥¼i¦æ¦b¿Dª÷¿Ä¥¡¥ø³d¥ô¡AÅTÀ³¨Ã¤ä«ù¿Dªù¯S°Ï¬F©²ªº¦U¶µªÀ·|¬Fµ¦¡A¬°¯S°Ï¬F©²§ïµ½ªÀ·|¥Á¥Í´£¨Ñ©P¥þªº«OÀI«O»Ù¡C
¦b¦¹¡A¦V¤@ª½¹©¤O¤ä«ù¤½¥qªº¼s¤j«È¤á¡B¦X§@¹Ù¦ñ¡BªÀ·|¦U¬É¤H¤h¡AP¥H³Ì°J¤ßªº·PÁ©M³Ì¬ü¦nªº¯¬ºÖ¡I¤]·PÁ¤½¥q¥þÅéû¤uªº¨D¯u°È¹ê¡A¾á·í§@¬°¡A¥H¤Î¬°±À°Ê¤½¥q¹ê²{°ª½è¶qµo®i¥I¥XªºÁ}¨¯§V¤O¡C
³Ì«á¡A¯¬Ä@¤½¥qÄ~©¹¶}¨Ó¡A¦A±Ò©ºµ{¡AÃмg¤½¥q°ª½è¶qµo®i·sªº½g³¹¡I
ºÊ¨Æ·|³ø§i®Ñ
¥»ºÊ¨Æ·|¤w¾\±x¤¤°ê¤Ó¥«OÀI¡]¿Dªù¡^ªÑ¥÷¦³¤½¥q¤G¡³¤G¤T¦~«×¸g¼fp°]°È³ø§i¤Î©ÜÅS¸ê®Æ¡A¨ÃµLµo²{¥ô¦ó¹H¤Ïªk«ß¤Î¤½¥q³¹µ{¤§«¤j¨Æ©y¡C
¥»ºÊ¨Æ·|¬Û«H¸Óµ¥°]°È¸ê®Æ¨¬¥H¤½¥¦aªí¹F¤¤°ê¤Ó¥«OÀI¡]¿Dªù¡^ªÑ¥÷¦³¤½¥q¤§·~°È¬¡°Ê¡A¦Ó½ã¥Ø¤å¥ó¥ç²Å¦Xªk«ß¤Îªk©w±ø´Ú¡C
°ò©ó¤Wzªº¼f¬d¤Îµ²½×¡A¥»ºÊ¨Æ·|¦P·N¨ü¯Ç¸³¨Æ·|§e¥æ¤§¸g¼fp°]°È³ø§i¤Î©ÜÅS¸ê®Æ¡C
¥»·|«ØÄ³¦UªÑªF³q¹L¡G
¡]1¡^¤G¡³¤G¤T¦~«×¸g¼fp°]°È³ø§i¡F
¡]2¡^¤G¡³¤G¤T¦~«×¸³¨Æ·|³ø§i®Ñ¡F
¤G¡³¤G¥|¦~¤T¤ë¤G¤Q¤C¤é
ºÊ¨Æ·|
»â¾É¬[ºc
ªÑªF¤j·|°õ¦æ©eû·|
¥D®u¡G¤¤°ê¤Ó¥°ê»Ú¦³¤½¥q¡]¥Nªí¤H¡G¦¶±¶¡^
¯µ®Ñ¡G®O·s°ê
¸³¨Æ·|
¸³¨Æ¡G¦¶±¶
¸³¨Æ¡G¯Õª÷®ü
¸³¨Æ¡G§d´f¦B
ºÊ¨Æ·|
¥D®u¡G¼BÀÜ
©eû¡G´¿ªQ¦
©eû¡G±i¤ÖªF
¥DnªÑªF
| ªÑªF¦WºÙ | «ùªÑ¶q | ¦Ê¤À²v | 
| ¤¤°ê¤Ó¥°ê»Ú¦³¤½¥q | 948,000 | 79% | 
| ¤Ó¥«H°U¦³¤½¥q | 240,000 | 20% | 
¹ï²n°]°È³øªí¥X¨ãªº¿W¥ß¼fp®v³ø§i
- P¤¤°ê¤Ó¥«OÀI¡]¿Dªù¡^ªÑ¥÷¦³¤½¥q¥þÅéªÑªF¡G
- ¡]©ó¿Dªùµù¥U¦¨¥ß¤§ªÑ¥÷¦³¤½¥q¡^
«áªþ¸ü©ó²Ä¤G¶¦Ü²Ä¥|¶ªº¤¤°ê¤Ó¥«OÀI¡]¿Dªù¡^ªÑ¥÷¦³¤½¥q¡]¡u¶Q¤½¥q¡v¡^²n°]°È³øªí¥]¬A¤G¹s¤G¤T¦~¤Q¤G¤ë¤T¤Q¤@¤éªºÂ²n¸ê²£t¶Åªí¥H¤ÎºI¦Ü¸Ó¤é¤î¦~«×ªºÂ²nÀç·~ªí¤Î·l¯qªí¡C¶Q¤½¥q²n°]°È³øªí¨Ó·½©ó¶Q¤½¥qºI¦Ü¤G¹s¤G¤T¦~¤Q¤G¤ë¤T¤Q¤@¤é¤î¦~«×¤w¼fpªº°]°È³øªí¡C§Ṳ́w¦b¤G¹s¤G¥|¦~¤T¤ë¤G¤Q¤C¤éñ¸pªº¼fp³ø§i¤¤¹ïºc¦¨Â²n°]°È³øªí¨Ó·½ªº°]°È³øªíµoªí¤FµL«O¯d·N¨£¡C³o¨Ç°]°È³øªí©M²n°]°È³øªí¨S¦³¤Ï¬M¼fp³ø§i¤é¡]¤G¹s¤G¥|¦~¤T¤ë¤G¤Q¤C¤é¡^«áµo¥Í¨Æ¶µªº¼vÅT¡C
²n°]°È³øªí¨S¦³¥]§t¿Dªù¯S§O¦æ¬F°Ï¤§¡m°]°È³ø§i·Ç«h¡nn¨Dªº©Ò¦³©ÜÅS¡A¦]¦¹¡A¹ï²n°]°È³øªíªº¾\Ū¤£¯à´À¥N¹ï¶Q¤½¥q¤w¼fp°]°È³øªíªº¾\Ū¡C
ºÞ²z¼h¹ï²n°]°È³øªíªº³d¥ô
ºÞ²z¼ht³d«ö·Ó«OÀI·~ªk«ß¨î«×¡]¸g²Ä21/2020¸¹ªk«ßק諸6¤ë30¤é²Ä27/97/M¸¹ªk¥O¡^½s»s²n°]°È³øªí¡C
¼fp®vªº³d¥ô
§Ú̪º³d¥ô¬O¦b¹ê¬I¼fpµ{§Çªº°ò¦¤W¹ï²n°]°È³øªíµoªí¼fp·N¨£¡A°£¦¹¤§¥~¥»³ø§i§OµL¨ä¥L¥Øªº¡C§Ṳ́£·|´N¥»³ø§iªº¤º®e¦V¥ô¦ó¨ä¥L¤H¤ht¤W©Î©Ó¾á¥ô¦ó³d¥ô¡C§ÚÌ«ö·Ó¿Dªù¯S§O¦æ¬F°Ï·|p®v±M·~©eû·|¹{¥¬¤§¡m¼fp·Ç«h¡n¤ºªº¡m°ê»Ú¼fp·Ç«h²Ä 810 ¸¹¡X¡X¹ï²n°]°È³øªí¥X¨ã³ø§iªº·~°È¡nªº³W©w°õ¦æ¤F¼fp¤u§@¡C
¼fp·N¨£
§ÚÌ»{¬°¡A¨Ó·½©ó¶Q¤½¥qºI¦Ü¤G¹s¤G¤T¦~¤Q¤G¤ë¤T¤Q¤@¤é¤î¦~«×¤w¼fp°]°È³øªíªºÂ²n°]°È³øªí«ö·Ó«OÀI·~ªk«ß¨î«×¡]¸g²Ä21/2020¸¹ªk«ßק諸6¤ë30¤é²Ä27/97/M¸¹ªk¥O¡^¡A¦b©Ò¦³«¤j¤è±»P¤w¼fp°]°È³øªí«O«ù¤F¤@P¡C
- §õ¬F¥ß
- °õ·~·|p®v
- ù§L«w¥Ã¹D·|p®v¨Æ°È©Ò
¤G¹s¤G¥|¦~¥|¤ë¤G¤Q¤»¤é¡A©ó¿Dªù
FIDELIDADE MACAU - COMPANHIA DE SEGUROS S.A.
BALANÇO EM 31 DE DEZEMBRO DE 2023
Patacas
- CONTA DE EXPLORAÇÃO DO EXERCÍCIO DE 2023 -
(RAMOS GERAIS)
| DÉBITO | Patacas | 
| CRÉDITO | Patacas | 
- CONTA DE GANHOS E PERDAS DO EXERCÍCIO DE 2023 -
Patacas
| Chefe da Contabilidade Chan Soi Ngo | Presidente da Comissão Executiva Paulo Barbosa | 
ORGÃOS SOCIAIS
Assembleia Geral
Jorge Neto Valente (Presidente)
Sérgio Silva Gaspar (Secretário)
Conselho de Administração
André Simões Cardoso (Presidente)
Wai Lam William Mak (³Á°¶ªL)
Paulo Manuel Gomes Barbosa
Cheung Ming Fai Ivan (±i©ú½÷)
Comissão Executiva
Paulo Manuel Gomes Barbosa (Presidente)
Cheung Ming Fai Ivan (±i©ú½÷)
Secretário da Sociedade
Sérgio Silva Gaspar
Fiscal Único
CSC & Associados ¡V Sociedade de Auditores, representado por Mok Chi Meng (²ö¤l»Ê)
INSTITUIÇÕES EM QUE DETÉM PARTICIPAÇÃO SUPERIOR A 5% DO RESPECTIVO CAPITAL OU SUPERIOR A 5% DOS SEUS FUNDOS PRÓPRIOS
Nenhuma
ACCIONISTAS COM PARTICIPAÇÃO QUALIFICADA
| Nome | Acções detidas (n.º) | Valor percentual (%) | 
| Fidelidade - Companhia de Seguros, S.A. | 287.964 | 99,9875 | 
Responsável do Departamento de Contabilidade: Chan Soi Ngo (³¯·ç®Z)
Para: Accionistas da Fidelidade Macau ¡V Companhia de Seguros, S.A
FIDELIDADE MACAU - COMPANHIA DE SEGUROS, S.A.
SÍNTESE DO RELATÓRIO DO CONSELHO DE ADMINISTRAÇÃO A 31/12/2023
O ano de 2023 foi marcado por um crescimento do produto interno bruto de Macau de 80,5% em termos reais, associado a uma baixa taxa de inflação de 0,94%.
Em 2023, a pandemia global chegou ao fim e novas concessões foram concedidas aos seis operadores históricos de casino. Nesta conjuntura económica favorável, a seguradora registou um volume de prémios de 190,9 milhões de patacas, representando um crescimento de 27,3% face ao ano de 2022.
A 31/12/2023 as provisões técnicas da seguradora cifravam-se em 212,2 milhões de patacas, das quais cerca de 45% respeitavam a provisões para sinistros.
Em 2023, a seguradora registou um resultado líquido (após impostos) de 27,5 milhões de patacas.
Por fim, expressamos os nossos agradecimentos a todos os clientes pela confiança depositada, a todos os colaboradores pela sua dedicação, bem como às competentes Autoridades da Região Administrativa Especial de Macau e, em especial, à Autoridade Monetária de Macau por todo o apoio e colaboração prestados.
Macau, 23 de Abril de 2024
O Conselho de Administração
RELATÓRIO E PARECER DO FISCAL ÚNICO
2023
Em cumprimento das disposições legais aplicáveis, e dos estatutos da sociedade, apresentamos o relatório da actividade fiscalizadora e o parecer sobre os documentos de prestação de contas elaborados pelo Conselho de Administração e da sua responsabilidade.
Acompanhámos, desde a nossa nomeação, a evolução da actividade da sociedade e verificamos a regularidade dos seus registos contabilísticos e o cumprimento das normas legais e estatutárias em vigor, tendo procedido às verificações consideradas adequadas.
Obtivemos do Conselho de Administração regular informação e esclarecimento sobre o funcionamento da sociedade e o andamento dos seus negócios.
Examinámos o Relatório de Gestão e demais documentos de prestação de contas individuais do exercício, bem como o relatório dos auditores externos, Ernst & Young - Auditores, com que concordamos.
Em face de quanto entecede, o Fiscal Único emite o seguinte
PARECER
Que seja aprovado o Relatório de Gestão de 2023 e demais documentos de prestação de contas individuais do exercício, tal como apresentados pelo Conselho de Administração.
O Fiscal Único agracede ao Conselho de Administração e dos auditores externos a boa colaboração recebida ao longo do exercício.
Macau, 18 de Março de 2024
CSC & Associados - Sociedade de Auditores
Representada por Mok Chi Meng (CPA)
Fiscal Único
Relatório do Auditor Independente sobre as Demonstrações Financeiras Resumidas
- Para os accionistas da Fidelidade Macau - Companhia de Seguros, S.A.
- (sociedade de responsabilidade limitada, registada em Macau)
As demonstrações financeiras resumidas anexas que compreendem o balanço em 31 de Dezembro de 2023 e a conta de ganhos e perdas relativas ao exercício findo, são extraídas das demonstrações financeiras auditadas da Fidelidade Macau ¡V Companhia de Seguros, S.A. relativas ao exercício findo em 31 de Dezembro de 2023. Expressámos uma opinião de auditoria não modificada sobre essas demonstrações financeiras no nosso relatório datado de 19 de Março de 2024. Essas demonstrações financeiras e as demonstrações financeiras resumidas não reflectem os efeitos de acontecimentos subsequentes à data do nosso relatório sobre essas demonstrações financeiras.
As demonstrações financeiras resumidas não contêm todas as divulgações exigidas pelas Normas de Relato Financeiro da Região Administrativa Especial de Macau. Por isso, a leitura das demonstrações financeiras resumidas não substitui a leitura das demonstrações financeiras auditadas da Fidelidade Macau ¡V Companhia de Seguros, S.A.
- Responsabilidade da Gerência pelas Demonstrações Financeiras Resumidas
- A Gerência é responsável pela preparação de um resumo das demonstrações financeiras auditadas de acordo com os termos da alínea 1) do artigo 86.º do Decreto-Lei n.º 27/97/M, de 30 de Junho (Regime jurídico da actividade seguradora), alterado pela Lei n.º 21/2020 e republicado pelo Despacho do Chefe do Executivo n. º 229/2020.
- Responsabilidade do Auditor
- A nossa responsabilidade é expressar uma opinião sobre as demonstrações financeiras resumidas baseada nos nossos procedimentos, os quais foram conduzidos de acordo com a Norma Internacional de Auditoria (ISA) 810, Trabalhos para Relatar sobre Demonstrações Financeiras Resumidas, constante das Normas de Auditoria.
- Opinião
- Em nossa opinião, as demonstrações financeiras resumidas extraídas das demonstrações financeiras auditadas da Fidelidade Macau ¡V Companhia de Seguros, S.A. relativas ao exercício findo em 31 de Dezembro de 2023 são consistentes, em todos os aspectos materiais, com essas demonstrações financeiras, de acordo com os termos da alínea 1) do artigo 86.º do Decreto-Lei n.º 27/97/M, de 30 de Junho, (Regime jurídico da actividade seguradora), alterado pela Lei n.º 21/2020 e republicado pelo Despacho do Chefe do Executivo n. º 229/2020.
CHAN Wai Contabilista habilitado a exercer a profissão
Ernst & Young ¡V Auditores
19 de Março de 2024, em Macau
Fidelidade Macau Vida ¡V Companhia de Seguros, S.A.
BALANÇO EM 31 DE DEZEMBRO DE 2023
Patacas
- CONTA DE EXPLORAÇÃO (RAMO VIDA) DO EXERCÍCIO DE 2023 -
| DÉBITO | Patacas | 
| CRÉDITO | Patacas | 
- CONTA DE GANHOS E PERDAS DO EXERCÍCIO DE 2023 -
Patacas
| Chefe da Contabilidade Chan Soi Ngo | Presidente da Comissão Executiva Paulo Barbosa | 
ORGÃOS SOCIAIS
Assembleia Geral
Jorge Neto Valente (Presidente)
Sérgio Silva Gaspar (Secretário)
Conselho de Administração
André Simões Cardoso (Presidente)
Wai Lam William Mak (³Á°¶ªL)
Paulo Manuel Gomes Barbosa
Cheung Ming Fai Ivan (±i©ú½÷)
Comissão Executiva
Paulo Manuel Gomes Barbosa (Presidente)
Cheung Ming Fai Ivan (±i©ú½÷)
Secretário da Sociedade
Sérgio Silva Gaspar
Conselho Fiscal
CSC & Associados ¡V Sociedade de Auditores,
representado por Mok Chi Meng (²ö¤l»Ê) (Presidente)
Si Chi Hok (¬I¤l¾Ç)
Maria Luísa Man (¸U¬ü¬Â)
INSTITUIÇÕES EM QUE DETÉM PARTICIPAÇÃO SUPERIOR A 5% DO RESPECTIVO CAPITAL OU SUPERIOR A 5% DOS SEUS FUNDOS PRÓPRIOS
Nenhuma
ACCIONISTAS COM PARTICIPAÇÃO QUALIFICADA
| Nome | Acções detidas (n.º) | Valor percentual (%) | 
| Fidelidade - Companhia de Seguros, S.A. | 169.980 | 99,9882 | 
Responsável do Departamento Contabilidade : Chan Soi Ngo (³¯·ç®Z)
FIDELIDADE MACAU VIDA - COMPANHIA DE SEGUROS, S.A.
SÍNTESE DO RELATÓRIO DO CONSELHO DE ADMINISTRAÇÃO A 31/12/2023
O ano de 2023 foi marcado por um crescimento do produto interno bruto de Macau de 80,5% em termos reais, associado a uma baixa taxa de inflação de 0,94%.
Em 2023, a pandemia global chegou ao fim e novas concessões foram concedidas aos seis operadores históricos de casino. Nesta conjuntura económica favorável, a seguradora registou um volume de prémios de 476,2 milhões de patacas, cifrando-se as suas provisões matemáticas em 1,16 mil milhões de patacas a 31 de Dezembro de 2023.
Em 2023, a seguradora registou um resultado líquido (após impostos) de 17,7 milhões de patacas.
Por fim, expressamos os nossos agradecimentos a todos os clientes pela confiança depositada, a todos os colaboradores pela sua dedicação, bem como às competentes Autoridades da Região Administrativa Especial de Macau e, em especial, à Autoridade Monetária de Macau por todo o apoio e colaboração prestados.
Macau, 23 de Abril de 2024
O Conselho de Administração
Para: Accionistas da Fidelidade Macau Vida ¡V Companhia de Seguros, S.A
RELATÓRIO E PARECER DO CONSELHO FISCAL
2023
Em cumprimento das disposições legais aplicáveis e dos estatutos da sociedade, apresentamos o relatório da actividade fiscalizadora e o parecer sobre os documentos de prestação de contas elaborados pelo Conselho de Administração e da sua responsabilidade.
Acompanhámos, ao longo do ano, a evolução da actividade da sociedade e verificamos a regularidade dos seus registos contabilísticos e o cumprimento das normas legais e estatutárias em vigor, tendo procedido às verificações consideradas adequadas.
Obtivemos do Conselho de Administração regular informação e esclarecimento sobre o funcionamento da sociedade e o andamento dos seus negócios.
Examinámos o Relatório de Gestão e demais documentos de prestação de contas individuais do período, bem como o relatório dos auditores externos, Ernst & Young - Auditores, com o qual concordamos.
Em face de quanto antecede, os membros do Conselho Fiscal emitem o seguinte
PARECER
Que seja aprovado o Relatório de Gestão e demais documentos de prestação de contas individuais do período, tal como apresentados pelo Conselho de Administração.
Os membros do Conselho Fiscal agradecem ao Conselho de Administração e aos auditores externos a boa colaboração recebida ao longo do exercício.
Macau, 18 de Março de 2024
CSC & Associados - Sociedade de Auditores, representada por MOK CHI MENG (Auditor)
¬I¤l¾Ç SI CHI HOK
¸U¬ü¬Â MAN MARIA LUISA
Relatório do Auditor Independente sobre as Demonstrações Financeiras Resumidas
Para os accionistas da Fidelidade Macau Vida - Companhia de Seguros, S.A.
(sociedade de responsabilidade limitada, registada em Macau)
As demonstrações financeiras resumidas anexas que compreendem o balanço em 31 de Dezembro de 2023 e a conta de ganhos e perdas relativas ao exercício findo, são extraídas das demonstrações financeiras auditadas da Fidelidade Macau Vida ¡V Companhia de Seguros, S.A. relativas ao exercício findo em 31 de Dezembro de 2023. Expressámos uma opinião de auditoria não modificada sobre essas demonstrações financeiras no nosso relatório datado de 19 de Março de 2024. Essas demonstrações financeiras e as demonstrações financeiras resumidas não reflectem os efeitos de acontecimentos subsequentes à data do nosso relatório sobre essas demonstrações financeiras.
As demonstrações financeiras resumidas não contêm todas as divulgações exigidas pelas Normas de Relato Financeiro da Região Administrativa Especial de Macau. Por isso, a leitura das demonstrações financeiras resumidas não substitui a leitura das demonstrações financeiras auditadas da Fidelidade Macau Vida ¡V Companhia de Seguros, S.A.
- Responsabilidade da Gerência pelas Demonstrações Financeiras Resumidas
- A Gerência é responsável pela preparação de um resumo das demonstrações financeiras auditadas de acordo com os termos da alínea 1) do artigo 86.º do Decreto-Lei n.º 27/97/M, de 30 de Junho (Regime jurídico da actividade seguradora), alterado pela Lei n.º 21/2020 e republicado pelo Despacho do Chefe do Executivo n. º 229/2020.
- Responsabilidade do Auditor
- A nossa responsabilidade é expressar uma opinião sobre as demonstrações financeiras resumidas baseada nos nossos procedimentos, os quais foram conduzidos de acordo com a Norma Internacional de Auditoria (ISA) 810, Trabalhos para Relatar sobre Demonstrações Financeiras Resumidas, constante das Normas de Auditoria.
- Opinião
- Em nossa opinião, as demonstrações financeiras resumidas extraídas das demonstrações financeiras auditadas da Fidelidade Macau Vida ¡V Companhia de Seguros, S.A. relativas ao exercício findo em 31 de Dezembro de 2023 são consistentes, em todos os aspectos materiais, com essas demonstrações financeiras, de acordo com os termos da alínea 1) do artigo 86.º do Decreto-Lei n.º 27/97/M, de 30 de Junho, (Regime jurídico da actividade seguradora), alterado pela Lei n.º 21/2020 e republicado pelo Despacho do Chefe do Executivo n. º 229/2020.
CHAN Wai Contabilista habilitado a exercer a profissão
Ernst & Young ¡V Auditores
19 de Março de 2024, em Macau
§ó¥¿2023¦~«×Àç·~±b¥Ø³ø§iªº³¡¥÷¤º®e¡A²{«·s¥Zµn¦p¤U¡G
¤j¦è¬v»È¦æªÑ¥÷¦³¤½¥q
²{ª÷¬y¶qªí
©ó¤G¹s¤G¤T¦~¤Q¤G¤ë¤T¤Q¤@¤é
¿Dªù¤¸
·l¯q©M¨ä¥Lºî¦X¦¬¯qªí
ºI¦Ü¤G¹s¤G¤T¦~¤Q¤G¤ë¤T¤Q¤@¤é
¿Dªù¤¸
| ·|p¥DºÞ ¾G¹Ø¦¨ | ¦æ¬FºÞ²z©eû·|¦¨û VÍTOR FERNANDO GUERREIRO DO ROSÁRIO | 
¹ï²n°]°È³øªí¥X¨ãªº¿W¥ß¼fp®v³ø§i
P¤j¦è¬v»È¦æªÑ¥÷¦³¤½¥q¥þÅéªÑªF¡G
¡]©ó¿Dªùµù¥U¦¨¥ß¤§ªÑ¥÷¦³¤½¥q¡^
¤j¦è¬v»È¦æªÑ¥÷¦³¤½¥q¡]¡u¶Q»È¦æ¡v¡^²n°]°È³øªí¥]¬A¤G¹s¤G¤T¦~¤Q¤G¤ë¤T¤Q¤@¤éªºÂ²n°]°Èª¬ªpªí¡B¥H¤ÎºI¦Ü¸Ó¤é¤î¦~«×ªºÂ²n·l¯q©M¨ä¥Lºî¦X¦¬¯qªí¡B²nÅv¯qÅܰʪí¥H¤Î²n²{ª÷¬y¶qªí¡C¶Q»È¦æÂ²n°]°È³øªí¨Ó·½©ó¶Q»È¦æºI¦Ü¤G¹s¤G¤T¦~¤Q¤G¤ë¤T¤Q¤@¤é¤î¦~«×¤w¼fpªº°]°È³øªí¡C§Ṳ́w¦b¤G¹s¤G¥|¦~¤T¤ë¤Q¤K¤éñ¸pªº¼fp³ø§i¤¤¹ïºc¦¨Â²n°]°È³øªí¨Ó·½ªº°]°È³øªíµoªí¤FµL«O¯d·N¨£¡C³o¨Ç°]°È³øªí©M²n°]°È³øªí¨S¦³¤Ï¬M¼fp³ø§i¤é«áµo¥Í¨Æ¶µªº¼vÅT¡C
²n°]°È³øªí¨S¦³¥]§t¿Dªù¯S§O¦æ¬F°Ï¤§¡m°]°È³ø§i·Ç«h¡nn¨Dªº©Ò¦³©ÜÅS¡A¦]¦¹¡A¹ï²n°]°È³øªíªº¾\Ū¤£¯à´À¥N¹ï ¶Q»È¦æ¤w¼fp°]°È³øªíªº¾\Ū¡C
ºÞ²z¼h¹ï²n°]°È³øªíªº³d¥ô
ºÞ²z¼ht³d«ö·Ó¤K¤ë¤Q¥|¤é²Ä13/2023¸¹ªk«ß®Ö㤧¡mª÷¿ÄÅé¨tªk«ß¨î«×¡n²Ä¤K¤Q¤±ø¡]¤@¡^¶µ½s»s²n°]°È³øªí¡C
¼fp®vªº³d¥ô
§Ú̪º³d¥ô¬O¦b¹ê¬I¼fpµ{§Çªº°ò¦¤W¹ï²n°]°È³øªíµoªí¼fp·N¨£¡C§ÚÌ«ö·Ó¿Dªù¯S§O¦æ¬F°Ï¤§¡m¼fp·Ç°]¡n¤ºªº¡m°ê»Ú¼fp·Ç«h²Ä810¸¹¡X¡X¹ï²n°]°È³øªí¥X¨ã³ø§iªº·~°È¡nªº³W©w°õ¦æ¤F¼fp¤u§@¡C
¼fp·N¨£
§ÚÌ»{¬°¡A¨Ó·½©ó ¶Q»È¦æºI¦Ü¤G¹s¤G¤T¦~¤Q¤G¤ë¤T¤Q¤@¤é¤î¦~«×¤w¼fp°]°È³øªíªºÂ²n°]°È³øªí«ö·Ó¤K¤ë¤Q¥|¤é²Ä13/2023¸¹ªk«ß®Ö㤧¡mª÷¿ÄÅé¨tªk«ß¨î«×¡n²Ä¤K¤Q¤±ø¡]¤@¡^¶µªº¼Ð·Ç¡A¦b©Ò¦³«¤j¤è±»P¤w¼fp°]°È³øªí«O«ù¤F¤@P¡C
³¯±L °õ·~·|p®v
¦w¥Ã·|p®v¨Æ°È©Ò
¤G¹s¤G¥|¦~¤T¤ë¤Q¤K¤é¡A¿Dªù
BANCO NACIONAL ULTRAMARINO, S.A.
DEMONSTRAÇÃO DO RESULTADO E DO RENDIMENTO INTEGRAL
EM 31 DE DEZEMBRO DE 2023
Patacas
| O RESPONSÁVEL PELA CONTABILIDADE EVAN CHEANG | MEMBRO DA COMISSÃO EXECUTIVA VÍTOR FERNANDO GUERREIRO DO ROSÁRIO | 




































