|
| |||||||||||
| Adaptações : | |||
| Revogação parcial : | |||
| Diplomas revogados : | |||
| Diplomas relacionados : | |||
| Categorias relacionadas : | |||
| Notas em LegisMac | |||
Decreto-Lei n.º 55/97/M
de 9 de Dezembro
As expressões constantes do presente diploma foram sujeitas à adaptação nos termos da Lei n.º 27/2024.
Artigo 1.º
(Objecto)
É aprovada a Classificação das Actividades Económicas, Revisão 1, adiante designada por CAM-Rev. 1, anexa ao presente diploma, dele fazendo parte integrante.
Artigo 2.º
(Âmbito de aplicação da CAM-Rev. 1)
A CAM-Rev.1 constitui o quadro comum de classificação das actividades económicas da Região Administrativa Especial de Macau a utilizar pela Administração, nomeadamente na classificação de empresas e estabelecimentos, recolha e tratamento de informação para fins estatísticos ou outros, elaboração de estudos e publicação de textos oficiais.
Artigo 3.º
(Programa geral de aplicação)
1. A adopção da CAM-Rev.1 subordina-se a um programa geral de aplicação, a aprovar sob proposta da Direcção dos Serviços de Estatística e Censos, por despacho do Chefe do Executivo, a publicar no Boletim Oficial da Região Administrativa Especial de Macau.
2. O programa geral de aplicação referido no número anterior é elaborado de acordo com as condições de execução indicadas pelos serviços públicos intervenientes no processo de adopção da CAM-Rev. 1.
Artigo 4.º
(Competência)
No âmbito da adopção da CAM-Rev.1 compete à Direcção dos Serviços de Estatística e Censos, designadamente:
a) Elaborar, promover e acompanhar a execução do programa geral de aplicação;
b) Resolver as dúvidas suscitadas na sua interpretação e aplicação;
c) Promover as acções necessárias à sua correcta utilização;
d) Disponibilizar as tabelas de correspondência entre a CAM-Rev.1 e outras classificações económicas e afins, nomeadamente as emitidas por organizações internacionais.
Artigo 5.º
(Remissões)
A partir de 31 de Dezembro de 1998, as remissões contidas em disposições legais para posições da Classificação das Actividades de Macau aprovada pela Portaria n.º 87/88/M, de 23 de Maio, cuja actualização não se mostre realizada, consideram-se efectuadas para as posições equivalentes da CAM-Rev. 1, de acordo com as Tabelas de Correspondência anexas ao presente diploma.
Artigo 6.º*
* Não está em vigor - Consulte também: Lei n.º 27/2024
Artigo 7.º
(Entrada em vigor)
O presente diploma entra em vigor em 1 de Janeiro de 1998.
ANEXO
Classificação das Actividades Económicas
Revisão 1
ÍNDICE SISTEMÁTICO
- • Apresentação Geral
- 1. Objectivos
- 2. CAM-Rev. 1 e CAM-Versão 1.0
- 3. Correspondência entre a CAM-Rev. 1 e a CITA-Rev. 3
- 4. Sistema de Codificação
- 5. Delimitação de Âmbitos e Regras Gerais de compreensão da CAM-Rev. 1
- 6. Actividades Principal, Secundária e Auxiliares
- 7. Unidades Estatísticas
- 8. Classificação das Unidades Estatísticas
- 9. Mudança de Actividade das Unidades Estatísticas
- 10. Aspectos relevantes a nível das grandes categorias (Secção)
- 11. Definições e conceitos com interesse específico
- • Estrutura
- • Lista das secções e suas relações com as divisões
- • Lista das divisões e suas relações com a secção
- • Lista de todos os níveis (secção, divisão, grupo, classe e subclasse)
- • Tabela de Correspondência a Nível Elementar CAM-Rev. 1 CAM-Versão 1.0
- • Tabela de Correspondência a Nível Elementar CAM-Versão 1.0 CAM-Rev. 1
A CAM-Rev. 1 tem como objectivos principais:
• Classificação e agrupamento das unidades estatísticas produtoras de bens e serviços, segundo a actividade económica;
• Organização de forma coordenada e coerente, da informação estatística económico-social, por ramo de actividade económica, em diversos domínios (produção, emprego, energia, investimento, etc.);
• Comparabilidade estatística a nível territorial e internacional;
Os objectivos da CAM-Rev. 1 são essencialmente estatísticos, embora possa ser utilizada também para fins não-estatísticos. Neste sentido, os princípios básicos da sua construção, o tipo de unidades estatísticas a que se aplica, as regras de classificação e a determinação da actividade principal, entre outros aspectos, harmonizados com a CITA-Rev. 3, estão subordinados aos objectivos estatísticos.
2. CAM-REV. 1 E CAM- Versão 1.0
As diferenças estruturais e conceptuais entre a CAM-Rev. 1 e a CAM-Versão 1.0 são significativas (com particular incidência no âmbito do Comércio e Serviços) e de difícil sintetização neste espaço.
No sentido de preservação das séries estatísticas, a CAM-Rev. 1 procurou., sempre que possível, manter a harmonização estrutural e conceptual com a CAM-Versão 1.0, mas as alterações, por vezes profundas, do novo quadro internacional (CITA-Rev. 3) em que se baseou a construção da CAM-Rev. 1, não permitiram, em muitas situações, atingir plenamente este objectivo.
As principais diferenças, sem que daqui decorra qualquer possibilidade de correspondência de âmbito, podem resumir se no seguinte:
• A CAM-Rev. 1 tem um código alfa-numérico (alfa para o nível mais agregado e numérico para os restantes), enquanto na CAM-Versão 1.0 é só numérico;
• A CAM-Rev. 1 apresenta cinco níveis (Secção - uma letra, Divisão - dois dígitos, Grupo - três dígitos, Classe - quatro dígitos e Subclasse - cinco dígitos) e a CAM-Versão 1.0 seis (Divisão - um dígito, Subdivisão - dois dígitos, Classe - três dígitos, Grupo - quatro dígitos, Subgrupo - cinco dígitos e Desdobramento - seis dígitos);
• O número de posições a nível mais agregado (1.º nível) é de 17 na CAM-Rev. 1 e de 10 na CAM-Versão 1.0, oferecendo a nova classificação condições para estruturar a informação de forma mais homogénea a nível de grandes agregados económicos;
• O número de posições a nível mais detalhado (último nível) é de 447 na CAM-Rev. 1 e de 415 na CAM-Versão 1.0, permitindo também a CAM-Rev. 1, a este nível, uma informação estatística mais homogénea por ramo de actividade económica;
As diferenças de âmbito entre os vários níveis das duas classificações, atendendo ao volume de informação a tratar e ao pormenor técnico, serão consideradas em publicação autónoma, a editar pela DSEC, sob a designação «Tabelas de Correspondência».
3. CORRESPONDÊNCIA ENTRE A CAM-REV. 1 E A CITA-REV. 3
A CAM-Rev. 1 apresenta uma concepção integrada a partir do último nível (Classe) da CITA-Rev.3, respeitando todos os princípios desta classificação, isto é, a correspondência entre a CAM-Rev. 1 e a CITA-Rev. 3 é directa para todos os níveis comuns.
Para a escolha deste modelo de concepção foram determinantes os argumentos invocados pelos principais utilizadores da CAM-Rev. 1, nomeadamente, por permitir uma fácil compreensão e garantir uma maior eficácia em termos de comparabilidade no plano mundial.
A CAM-Rev. 1 apresenta, portanto, mais um nível (Subclasse) do que a CITA-Rev. 3, sendo, portanto, uma nomenclatura mais detalhada com passagem por agregação deste nível para os níveis comuns aos da CITA-Rev. 3.
O último nível da CAM-Rev. 1 (Subclasse), não comum à CITA-Rev. 3, procura reflectir a estrutura económica em termos de actividade, ajustada, no presente e na perspectiva do curto/médio prazos, à realidade da Região Administrativa Especial de Macau.
No quadro seguinte, onde se compara para cada nível, o número de actividades da CAM-Rev. 1 e da CITA-Rev. 3, depreende-se, facilmente, a «simetria» existente entre as duas classificações para os níveis comuns.
|
Nível |
Secção | Divisão | Grupo | Classe | Subclasse |
|
Nomenclatura |
|||||
| CAM-Rev.1 | 17 | 60 | 159 | 292 | 447 |
| CITA-Rev.3 | 17 | 60 | 159 | 292 | —— |
O sistema de codificação adoptado na CAM-Rev. 1, igual ao da CITA-Rev. 3 para os níveis comuns, pode dividir-se em duas partes: uma «alfabética» com um nível (Secção) e outra «numérica» com quatro níveis (Divisão, Grupo, Classe e Subclasse).
As Secções, parte alfabética, são codificadas com uma letra de A a Q.
A codificação numérica inicia-se no nível de Divisão com dois dígitos, desce ao Grupo (nível com três dígitos), segue-se a Classe (4 dígitos) e termina na Subclasse (nível com 5 dígitos). A relação entre níveis e número de dígitos é facilmente percepcionada a partir da representação feita para a Subclasse 15412 (Pastelaria e doçaria chinesas) que a seguir se apresenta.
|
|||||||||
| .................. | .................. | .................. | ............... | Divisão (2 dígitos) | |||||
| .................. | .................. | ............... | Grupo (3 dígitos) | ||||||
| .................. | ............... | Classe (4 dígitos) | |||||||
| ............... | Subclasse (5 dígitos) | ||||||||
O nível Divisão começa com o código 01 e termina no código 99. A codificação da Divisão não respeita a ordem sequencial nem ocupa todas as posições de dois dígitos, situação que permite a criação de eventuais novas Divisões.
A codificação do Grupo é feita a partir do código da Divisão, utilizando sequencialmente o sistema decimal (1 a 9). Nos casos em que o primeiro dígito da direita é zero, significa que a Divisão não foi subdividida em Grupo, mantendo nesta situação a Divisão e o Grupo a mesma designação e âmbito. Este princípio de interpretação dos zeros à direita de qualquer número real diferente de zero, aplica-se a todos os níveis.
A Classe é codificada a partir do Grupo e a Subclasse da Classe, utilizando o sistema de codificação os mesmos critérios definidos para a codificação do Grupo.
O dígito 9, particularmente nos níveis Classe e Subclasse, é sempre utilizado para identificar as actividades económicas residuais (a designação destas actividades, regra geral, termina com n.e. - não especificado), quebrando com frequência a sequência da codificação decimal (1 a 9).
5. DELIMITAÇÃO DE ÂMBITOS E REGRAS GERAIS DE COMPREENSÃO DA CAM-REV. 1
As várias categorias económicas da CAM-Rev. 1 assumem, por um lado, o quadro mundial definido pela CITA-Rev. 3 e, por outro, a capacidade de resposta às necessidades específicas da Região Administrativa Especial de Macau em termos de uma nomenclatura de actividades económicas.
Os principais critérios em que assentou a estruturação das actividades, idênticos à CITA-Rev. 3, foram o processo tecnológico, a natureza da matéria-prima, o produto obtido e o serviço prestado. Estes critérios constituem como que o «cimento» para a determinação do grau de afinidade das actividades económicas.
A estrutura hierárquica piramidal estabelecida representa a homogeneidade possível para aplicação do método estatístico (entenda-se observação e análise) com rigor.
A aplicação prática da CAM-Rev. 1 ou de qualquer outra classificação de actividades económicas às unidades estatísticas revela-nos, devido principalmente à diversidade de actividades exercidas pela mesma unidade, que a homogeneidade económica só é na prática tendencialmente conseguida. Na realidade, embora cada nível da classificação, regra geral, inclua as unidades que fornecem a maior parte do tipo de bens ou serviços, outras unidades, classificadas num nível diferente, por imperativo dos critérios definidos, podem produzir os mesmos bens e serviços.
A delimitação de âmbitos homogéneos e suficientemente representativos estiveram sempre presentes na definição da estrutura. Contudo, como as actividades exercidas pelas unidades estatísticas se apresentam, por vezes, combinadas de forma diversa, em muitas situações a homogeneidade terá de ser alcançada por métodos indirectos. A taxa de especialização e a taxa de cobertura representam os dois métodos mais importantes para calcular a homogeneidade das diversas categorias económicas.
A taxa de especialização duma actividade corresponde à produção de bens serviços específicos desta actividade em relação à produção total das unidades classificadas nessa actividade. À relação da produção de bens e serviços específicos de uma actividade com a produção total dos mesmos bens e serviços para todas as actividades define a taxa de cobertura.
As taxas de homogeneidade poderão ser calculadas, quer para a produção total das unidades classificadas num determinado nível da CAM-Rev. 1, quer para a produção de cada unidade estatística, embora neste caso a situação se apresente mais complexa.
A obtenção de taxas de homogeneidade altas ou baixas fornecem informações úteis para efeitos de análise económica e para o estabelecimento de nomenclaturas de actividade, mas devem ser sempre utilizadas em associação com outras informações e não como valores absolutos.
A designação de cada actividade e as notas explicativas correspondentes procuram dar o entendimento dos aspectos mais importantes cobertos por cada categoria económica da CAM-Rev. 1. Contudo, para uma boa aplicação da CAM-Rev. 1 é necessário fazer uma leitura de toda a hierarquia, dado que as notas explicativas apresentadas para os níveis mais agregados (Secção e Divisão), de aplicação geral a estes níveis, não são repetidas nos níveis mais detalhados (Classe e Subclasse).
A nota explicativa, de forma a precisar com um certo rigor os «limites» de cada actividade, apresenta-se, regra geral, dividida em duas partes:
- - Uma relativa à parte compreendida em cada actividade, geralmente iniciada com «Compreende as actividades... »;
- - A outra relativa às exclusões (correspondente à expressão «Não inclui»), remetendo as actividades e os produtos com mais «afinidades» com a actividade em questão para a categoria mais ajustada;
O exemplo que a seguir se apresenta para a Subclasse 15201 considera-se suficientemente representativo do que se acaba de dizer
15201 INDÚSTRIAS DO LEITE E DERIVADOS
- Compreende as actividades de recolha de leite......... e de produtos frescos ou conservados derivados do leite.
- Não inclui:
- • produção de leite bruto (01210);
As notas explicativas só são apresentadas para as situações em que há uma necessidade específica, quer decorrente do quadro internacional, quer territorial, e apresentam-se, tanto quanto foi possível, ajustadas à realidade da Região Administrativa Especial de Macau.
6. ACTIVIDADES PRINCIPAL, SECUNDÁRIA E AUXILIARES
A actividade económica é o resultado da combinação dos factores produtivos (mão-de-obra, matérias-primas, equipamentos, etc.), com vista à produção de bens ou serviços.
Independentemente dos factores produtivos que integram o bem ou serviço produzido, toda a actividade pressupõe, em termos genéricos, uma entrada de produtos (bens ou serviços), um processo de incorporação de valor acrescentado e uma saída (bens ou serviços).
As unidades produtoras dos bens ou serviços exercem, com frequência, mais de uma actividade, o que determina, em muitas situações, a necessidade de recorrer ao critério da actividade principal para classificar a unidade estatística.
A actividade principal corresponde à actividade que representa a maior importância no conjunto actividades exercidas por uma unidade de observação estatística.
A determinação da actividade principal pressupõe, portanto, a inventariação das várias actividades elementares de uma unidade e a fixação de um indicador económico de ponderação das actividades. A variável mais ajustada para à determinação da actividade principal é o valor acrescentado dos produtos vendidos ou dos serviços fornecidos. Como esta variável se revela em termos práticos de aplicação muito, difícil, a CITA-Rev. 3 recomenda também o recurso às variáveis valor da produção ou pessoal ao serviço para a determinação da actividade principal. Na aplicação da CAM-Rev. 1, para assegurar e continuidade dos procedimentos anteriores, deve utilizar-se as variáveis aplicadas até ao presente (vendas, volume de negócios, etc.).
A actividade secundária corresponde a uma actividade produtora de bens ou serviços para terceiros diferente da actividade principal da unidade.
As actividades principal e secundária são, em geral, exercidas com o apoio de diversas actividades auxiliares (ex: contabilidade, serviços administrativos, reparação, etc.).
As actividades auxiliares fornecem bens não duráveis ou serviços como apoio às actividades de produção de uma unidade. Uma actividade deve ser considerada como auxiliar se satisfaz as condições seguintes:
a) produzir serviços ou, pontualmente, bens não duráveis;
b) existir quanto ao tipo e importância em unidades produtoras similares;
c) servir unicamente a unidade produtora;
d) concorrer para os custos correntes da unidade, ou seja, não gerar formação de capital fixo;
Certas actividades exercidas por uma empresa para uso próprio não são actividades auxiliares (ex: construção por conta própria, por não satisfazer algumas das condições atrás referidas, nomeadamente, a d); a produção de energia e a investigação por não satisfazerem as condições b) e d)).
As actividades auxiliares não devem ser utilizadas, em princípio, para a determinação da actividade principal.
Por unidade estatística deve entender-se um elemento de um conjunto que se pretende observar ou analisar. As unidades estatísticas constituem, portanto, um elemento fundamental para a organização dos inquéritos, uma vez que é a este nível que se concretiza a classificação, o agrupamento e ordenamento das unidades susceptíveis de aplicação do método de observação.
A unidade estatística é utilizada, principalmente, como unidade de observação e/ou análise. A unidade estatística de observação define-se como a unidade onde os factos são observados e registados e a unidade de análise, coincidente com a unidade, de observação ou reconstituída a partir dos dados estatísticos desta unidade, define-se como a unidade adequada à análise dum facto.
Toda a unidade estatística, pelas suas repercussões em termos de observação e análise de resultados, deve ser bem definida e facilmente identificável, de forma a garantir uma melhor qualidade da informação.
As unidades estatísticas do sistema produtivo mais utilizadoras desta nomenclatura são as que a seguir se apresentam.
EMPRESA:
Entende-se por empresa uma entidade (correspondendo a uma única unidade jurídica ou ao mais pequeno agrupamento de unidades jurídicas ou institucionais) dotada de autonomia de organização e de decisão na afectação dos recursos às suas actividades de produção, exercendo uma ou várias actividades, num ou vários locais.
Sempre que no mesmo local sejam exercidas actividades económicas detidas e controladas por entidades institucionais diferentes, dotadas portanto de autonomia e de decisão próprias, cada uma das entidades constitui uma empresa, ainda que com uma morada única.
UNIDADE INSTITUCIONAL:
É um centro elementar de decisão económica, caracterizado por uma unicidade de comportamentos e uma autonomia de decisão no exercício da sua função principal. Uma unidade diz-se institucional desde que goze de autonomia de decisão (significa que a mesma é responsável pelas decisões e acções que empreende) no exercício da sua função principal e disponha de contabilidade completa (significa que dispõe, simultaneamente, de documentos contabilísticos onde aparece a totalidade das suas operações, económicas e financeiras, efectuadas durante o período de referência das contas e de um balanço dos seus activos e passivos). As unidades institucionais são a base da elaboração do sistema de contabilidade nacional. No plano internacional as unidades institucionais podem agrupar-se como a seguir se apresenta:
• Unidades com contabilidade completa e autonomia de decisão
a) Sociedades de capital;
b) Sociedades cooperativas e de pessoas com personalidade jurídica;
c) Empresas públicas dotadas de um estatuto que lhes confere personalidade jurídica;
d) Organismos sem fins lucrativos, dotados de personalidade jurídica;
e) Organismos administrativos públicos;
• Unidades com contabilidade completa e que, por convenção, têm autonomia de decisão
f) Quase-sociedades: empresas individuais, sociedades de pessoas, empresas públicas que não as indicadas nas alíneas a), b) e c), desde que o seu comportamento económico e financeiro seja diferenciado do dos seus proprietários e se assemelhe ao das sociedades de capital;
• Unidades que não têm necessariamente contabilidade e que, por convenção, têm autonomia de decisão
g) Famílias;
GRUPO DE EMPRESAS:
Por «grupo de empresas» entende-se o agrupamento de empresas, ligadas entre si por vínculos jurídicos, financeiros ou outros, possuídas, controladas ou dirigidas por interesses comuns.
UNIDADE FUNCIONAL:
A unidade funcional ou unidade de actividade económica a nível de empresa, corresponde a uma empresa ou parte dela, exercendo um só tipo de actividade económica em termos de CAM-Rev. 1, independentemente do local onde é exercida. Neste sentido, cada empresa tem pelo menos uma unidade funcional.
UNIDADE LOCAL (ESTABELECIMENTO NA ANTIGA CAM):
Corresponde a uma empresa ou parte de empresa (fábrica, oficina, mina, armazém, loja, entreposto, etc.) situada num local topograficamente identificado. Nesse local ou a partir dele exercem-se actividades económicas para as quais, regra geral, uma ou várias pessoas trabalham (eventualmente a tempo parcial), por conta de uma mesma empresa. Esta unidade privilegia a obtenção de dados estatísticos homogéneos a nível regional.
ESTABELECIMENTO (UNIDADE TÉCNICA NA ANTIGA CAM):
Por estabelecimento ou unidade de actividade económica a nível local deve entender-se uma empresa ou parte de uma empresa que exerce um só tipo de actividade económica em um só local ou a partir dum só local. Esta unidade dá resposta às necessidades estatísticas, tanto do ponto de vista da actividade económica como do nível regional. A capacidade de resposta desta unidade em termos homogéneos, quer a nível de actividade quer regional, fazem dela uma unidade muito utilizada, podendo considerar-se mesmo a unidade ideal para as estatísticas económicas.
UNIDADE HOMOGÉNEA DE PRODUÇÃO:
Esta unidade corresponde à mais pequena parte duma empresa, exercendo um só tipo de actividade económica num só local. Esta unidade é utilizada para analisar particularmente os processos de produção homogéneos em termos tecnológicos, dependendo apenas da capacidade de compilação dos dados. Os métodos de estimação e de imputação a esta unidade permitem ir mais longe do que no estabelecimento em termos de homogeneidade de actividade.
UNIDADE TÉCNICA:
Trata-se da unidade mais homogénea, podendo ser uma secção ou um departamento de uma empresa cuja actividade tem por objecto a produção homogénea de bens e serviços ou uma actividade intermédia ou auxiliar da produção desses bens e serviços. Trata-se de uma unidade a utilizar quando as unidades descritas anteriormente não são suficientemente homogéneas.
No quadro seguinte apresenta-se a relação entre actividade e localização das unidades estatísticas acima referidas
|
LOCALIZAÇÃO |
UM OU MAIS LOCAIS | UM SÓ LOCAL |
|
ACTIVIDADE |
||
| Uma ou mais actividades | •Empresa •Unidade institucional |
•Unidade local |
| Uma só actividade | •Unidade funcional | •Estabelecimento •Unidade homogénea de produção •Unidade técnica |
8. CLASSIFICAÇÃO DAS UNIDADES ESTATÍSTICAS
A CAM-Rev. 1 destina-se a classificar as unidades estatísticas, em especial as referidas no ponto anterior, segundo as diferentes actividades económicas, isto é, as actividades socialmente organizadas com vista à produção de bens e serviços.
A actividade de uma unidade estatística é determinada pela Subclasse da CAM-Rev.1 que represente mais de 50% do valor acrescentado (ou variável ajustada). Sempre que uma Subclasse não atinja este valor a unidade será classificada pela actividade principal, determinada a partir da aplicação do método descendente ou hierárquico, isto é, a classificação estabelecida ao nível mais elementar da nomenclatura deve ser coerente com o nível mais agregado. A identificação da actividade principal de uma unidade de inquérito com pluriactividades, utilizando este método, resume-se, tomando por base o exemplo a seguir apresentado, no seguinte:
Exemplo de uma situação (empresa com actividades nos âmbitos da Secção D - Indústrias Transformadoras, Secção H - Alojamento e Restauração e Secção I - Transportes, Armazenagem e Comunicações)
| SECÇÃO | DIVISÃO | GRUPO | CLASSE | SUBCLASSE |
% DO VAB |
|
D |
|
|
|
|
|
|
154 |
1541 |
15411 |
9 |
||
|
15 |
|
|
|
|
|
|
15511 |
7 |
||||
|
155 |
1551 |
||||
|
15519 |
6 |
||||
|
|
|
|
|
|
|
|
16 |
160 |
1600 |
16000 |
12 |
|
|
|
|
|
|
|
|
|
24231 |
12 |
||||
|
24 |
242 |
2423 |
|||
|
24239 |
13 |
||||
|
H |
55 |
||||
|
551 |
5510 |
55101 |
12 |
||
|
|
|
|
|
||
|
|
|
|
|
||
|
552 |
5520 |
55201 |
13 |
||
|
I |
63 |
630 |
6304 |
63040 |
16 |
a) Identificadas as subclasses CAM-Rev. 1 e a sua importância relativa em termos de VAB ou de outra variável ajustada caso não seja possível utilizar o VAB, determina-se em primeiro lugar a importância relativa de cada Secção
| D | ........................... | 59% VAB |
| H | ........................... | 25% VAB |
| I | ........................... | 16% VAB |
b) A partir da Secção principal, no caso presente a D, determina-se a Divisão mais importante
| 15 | ........................... | 22% VAB |
| 16 | ........................... | 12% VAB |
| 24 | ........................... | 25% VAB |
c) Dentro da Divisão mais importante (24) determina-se o Grupo mais importante. Como os valores (12 e 13) pertencem ao mesmo Grupo (242) e à mesma Classe (2423) não há que determinar o Grupo e a Classe mais importantes
| 242 | ................................ | 12% VAB | 2423 | ................................ | 12% VAB | |
| 242 | ................................ | 13% VAB | 2423 | ................................ | 13% VAB |
d) Dentro da Classe determina-se a Subclasse que detem a maior percentagem do VAB
| 24231 | ........................... | 12% VAB |
| 24239 | ........................... | 13% VAB |
No presente caso a actividade principal segundo o método hierárquico (de cima para baixo) é a 24239 (13% do VAB), embora a Subclasse 63040 apresente um VAB superior. Apesar desta situação, caso a atribuição fosse efectuada à Subclasse com a percentagem de VAB mais elevada (63040), obter-se-ia uma classificação fora do âmbito da Secção D (59% do VAB).
Para além destas regras básicas outros aspectos importa ter em conta para atribuição harmonizada da classificação económica às Unidades Estatísticas.
No caso de integração vertical de actividades na mesma unidade estatística, quer dizer actividades em que as diferentes fases de produção são sucessivamente efectuadas por diferentes partes da mesma unidade e em que os produtos de uma correspondem aos consumos da outra (ex: fabricação de fibras e de têxteis) a unidade deve ser classificada na actividade que mais contribui para o valor acrescentado dos bens ou serviços produzidos. Regra geral, a actividade integrante determina a actividade principal, diluindo-se a actividade integrada no processo produtivo.
Para as actividades integradas envolvendo sectores muito diversos (normalmente Secções diferentes da CAM-Rev. 1), as notas explicativas estabelecem, em muitos casos, regras particulares de classificação das unidades estatísticas.
Salvo indicação em contrário, as unidades que exercem actividades de subcontratação (actividades para terceiros) classificam-se nas mesmas Subclasses das unidades que produzem os mesmos bens ou serviços por conta própria. As unidades que têm uma influência determinante na concepção dos produtos que vendem e que mandam produzir os seus próprios produtos a terceiros devem deter a Subclasse do produtor.
As unidades que se dedicam principalmente à instalação ou montagens em edifícios (ex: equipamentos para arrefecimento, gás, electricidade, elevadores, janelas, etc.) classificam-se no âmbito da Construção. A instalação ou montagem no local de um bem (ex: electrodoméstico, sistema de alarme) pelo próprio estabelecimento comercial ou industrial, executadas numa base de assistência ao cliente revestem, regra geral, a natureza de actividades auxiliares.
As unidades que fazem reparação ou manutenção de equipamento classificam-se na Subclasse produtora do respectivo equipamento, excepto as unidades de reparação ou manutenção de: veículos automóveis (Grupo 502); motociclos (Grupo 504); computadores e de equipamento de escritório (Grupo 725); e a reparação de bens pessoais e domésticos (Grupo 526).
No âmbito do comércio a retalho em estabelecimentos para determinar a classificação do comércio especializado, não-especializado e de predominância alimentar, devem adoptar-se as seguintes regras:
a) Se as mercadorias comercializadas estiverem compreendidas exclusivamente ou tiverem um valor acrescentado (ou variável equivalente) de 50% ou mais numa Subclasse da CAM-Rev. 1, as unidades classificam-se no âmbito do comércio especializado (Grupos 522 e 523);
b) Se as mercadorias comercializáveis estiverem compreendidas em várias Subclasses da CAM-Rev.1 sem que qualquer delas represente 50% ou mais do valor acrescentado (ou variável equivalente), a unidade será classificada no Comércio não-especializado (Grupo 521);
c) Toda a unidade classificada no Comércio a retalho não-especializado (Grupo 521), em que os produtos alimentares, bebidas e tabaco representem, no mínimo, 35% do valor acrescentado (ou outra variável adequada), será classificada na Classe 5211 e a partir desta na Subclasse ajustada. Os restantes estabelecimentos do comércio a retalho não-especializado classificar-se-ão na Subclasse 52190;
9. MUDANÇA DE ACTIVIDADE DAS UNIDADES ESTATÍSTICAS
A actividade principal de uma unidade estatística pode mudar brusca ou progressivamente, dentro dum período de tempo mais ou menos curto, por razões muito diversas.
A actualização da classificação económica é um elemento fundamental para a melhoria da qualidade da informação por ramo de actividade, mas por vezes é necessário evitar que a actividade principal seja frequentemente alterada. A mudança de actividade de uma unidade é importante para a estatística desde que seja feita em períodos bem determinados (ex: no início de realização de um inquérito) e garantam a comparabilidade de resultados de inquéritos de periodicidade diferente relativamente ao mesmo ano de referência.
No plano internacional não há regras estabelecidas para a alteração da actividade de urna unidade estatística. Este facto não se considera contudo impeditivo de fixar as seguintes orientações:
- • A mudança de actividade deve ser analisada e decidida casuisticamente;
- • Na ausência de informações precisas ou tratando-se de unidades com variação frequente de actividade principal, a mudança só deve ocorrer após se ter a informação de que a unidade exerce uma nova actividade principal há pelo menos dois exercícios.
10. ASPECTOS RELEVANTES A NÍVEL DAS GRANDES CATEGORIAS (SECÇÃO)
Neste ponto pretende dar-se uma visão sintética dos aspectos mais relevantes de cada Secção, de forma a permitir um melhor conhecimento e interpretação da CAM-Rev. 1. As notas explicativas, ainda que abundantes e com algum detalhe em certas subclasses, não se substituem às observações a seguir apresentadas, constituindo-se mesmo como um complemento necessário.
Secção A - Agricultura...
• A actividade agrícola compreende a produção agrícola e animal, quer em termos de bens, quer de serviços específicos das actividades desta Secção;
• As unidades agrícolas de produção mista classificam-se de acordo com a sua actividade principal, enquanto que para as unidades de exploração agrícola e animal em regime de associação é necessário determinar previamente um rácio de especialização. As cooperativas agrícolas são classificadas em função da sua actividade principal.
Secção B - Pesca
• Esta Secção compreende, para além da actividade da pesca, a apanha de algas e de outros produtos de águas marítimas e interiores e a aquacultura de espécies piscícolas e afins em regime controlado;
• As unidades prestadoras de serviços classificam-se nas subclasses donde decorre a produção física dos bens;
Secção C - Indústrias Extractivas
• Além da extracção dos produtos em natureza (sólidos, líquidos e gasosos), esta Secção compreende a transformação e a beneficiação, feitas no local da extracção, assim como a refinação de sal, aglomeração de carvões e de minérios, associadas ou independentes da extracção;
Secção D - Indústrias Transformadoras
• As indústrias transformadoras produzem bens e serviços. Os serviços industriais importantes e executados por conta de terceiros, encontram-se individualizados em actividades. A grande reparação e manutenção (reparação e manutenção de bens de equipamento) decorrem, regra geral, das actividades onde é feita a produção física dos bens. A reparação e manutenção de pequena dimensão, regra geral, designados por bens de consumo, não pertencem ao âmbito da indústria transformadora;
Secção E - Produção...
• Esta Secção (produção e distribuição de electricidade, de gás e de água) apresenta-se como uma parte importante da área energética, encontrando-se as partes restantes na Secção C (extracção do carvão, petróleo, urânio e gás) e Secção D (fabricação de coque, produtos petrolíferos refinados e combustível nuclear);
• Compreende, além da produção e distribuição de electricidade, de gás e de água, alguns serviços específicos (ex: tratamento de águas) e a produção de gelo, de vapor e de água quente;
Secção F - Construção
• A actividade de construção engloba a construção propriamente dita e a demolição («desconstrução»), no âmbito da construção de edifícios e da engenharia civil, sendo as obras resultado de actividades diversas;
• Nem todas as actividades que concorrem para a edificação de tais obras estão compreendidas no âmbito desta Secção (ex: fabricação de materiais de construção, montagem ou instalação de equipamentos industriais que se classificam na Secção D). A montagem ou instalação de equipamentos concebidos para que um edifício funcione como tal (ex: instalação eléctrica) pertence ao âmbito da Construção;
Secção G - Comércio...
• Esta Secção engloba todas as formas de comércio e a reparação de veículos automóveis, motociclos e de bens de uso pessoal ou doméstico;
• Os agentes do comércio por grosso têm uma subclasse específica (Subclasse 51100) para a sua classificação, enquanto os agentes do comércio a retalho são classificados na subclasse por onde decorre a actividade normal do comércio a retalho;
• No comércio a retalho o grupo 525 trata do comércio não efectuado em estabelecimentos (correspondência, bancas, feiras, distribuição automática, etc.) e os grupos 521, 522, 523 e 524 correspondem ao comércio a retalho efectuado em estabelecimentos;
Secção H - Alojamento...
• O alojamento classificado nesta Secção corresponde ao alojamento de curta duração e engloba, quer as unidades hoteleiras, quer outros locais de curta duração;
• Os restaurantes e similares compreendem os restaurantes propriamente ditos, casas de pasto, estabelecimentos de bebidas e similares em que a alimentação e as bebidas são consumidas, regra geral, no próprio local, assim como cantinas e fornecimento de refeições ao domicílio (catering);
Secção I - Transportes...
• O transporte pode resultar de uma prestação colectiva ou individualizada (ex: táxi), assim como o aluguer com condutor de um meio de transporte;
• Esta Secção inclui, para além do transporte propriamente dito, um conjunto vasto de actividades mais ou menos associadas ao transporte (armazenagem, manuseamento de carga, gestão de infraestruturas de transportes, agências de viagem, organização do transporte, etc.), as actividades postais e de telecomunicações (transporte de informações sem tratamento da informação);
Secção J - Actividades Financeiras
• As actividades financeiras incluem as unidades de intermediação monetária (banca em sentido geral), as unidades de intermediação financeira (actividades financeiras realizadas por entidades diferentes das instituições monetárias), seguros, fundos de pensões e actividades auxiliares de intermediação financeira, de seguros e de fundos de pensões;
Secção K - Actividades Imobiliárias...
• Esta Secção inclui uma grande variedade de actividades no âmbito dos serviços: actividade imobiliária (ex: compra, venda, arrendamento, administração e mediação imobiliária); arrendamento de bens imóveis sem pessoal; actividades informáticas e conexas (inclui a manutenção e reparação de material informático); investigação e desenvolvimento; uma diversidade de serviços prestados, principalmente, às empresas (ex: jurídicos, engenharia, arquitectura, publicidade, etc.).
Secção L - Administração Pública...
• O conceito de Administração Pública é entendido como o conjunto de actividades de regulamentação e apoio à gestão de actividades que, pela sua natureza, não podem exercer-se numa base de mercado;
• O estatuto jurídico ou institucional não é determinante para classificar nesta Secção as unidades do «tipo administrativo». Há actividades (ex: ensino, saúde) que não pertencem ao âmbito desta Administração Pública desenvolva estas actividades num nível mais ou menos elevado;
Secção M - Educação
• Esta Secção compreende, para além do ensino a todos os níveis e formas, escolas de condução, formação profissional e o ensino artístico;
Secção N - Saúde e Acção Social
• Actividades de saúde humana (hospitalares, liberais, paramédicas, etc.) e veterinárias, exercidas em regime de internamento ou ambulatório, com ou sem fim lucrativo;
• No âmbito da acção social estão incluídas as actividades dos serviços dos equipamentos sociais, públicos ou privados, com ou sem alojamento;
Secção O - Outras Actividades de Serviços...
• Esta Secção inclui uma grande variedade de actividades no âmbito dos serviços colectivos, sociais e pessoais, nomeadamente, saneamento, higiene pública, actividades associativas, culturais, recreativas, desportivas, artísticas e de tratamentos pessoais;
Secção P - Famílias...
• Compreende as actividades dos empregados domésticos enquanto trabalhadores das famílias;
Secção Q - Organismos...
• Esta Secção inclui as actividades das organizações internacionais, embaixadas, consulados e de outras instituições extraterritoriais com imunidade diplomática estabelecidas na Região Administrativa Especial de Macau;
11. DEFINIÇÕES E CONCEITOS COM INTERESSE ESPECÍFICO
Neste ponto apresentam-se definições de alguns conceitos e termos utilizados na CAM-Rev. 1, no intuito de proporcionar ao seu utilizador um maior rigor na sua interpretação.
As definições apresentadas podem não ser compatíveis com outras para os mesmos conceitos ou termos utilizadas noutros contextos.
Locação Financeira
- Forma especial de concessão de crédito.
Processo Industrial
- Processo de transformação (físico, químico, manual, etc.) utilizado na fabricação de novos produtos (bens de consumo, intermédios ou de investimento), na prestação de serviços industriais definidos no âmbito das Secções C, D, E e F.
Produção
- Acção que tem por objectivo a criação de um bem ou serviço e para ela concorrem os factores de produção. A noção de produção pode ser dada por outros termos (ex: fabricação, processamento, etc.).
Produção comercializável e não comercializável
- A produção comercializável é vendida segundo as regras do mercado, enquanto a não comercializável pode ser distribuída gratuitamente ou a preços reduzidos. A produção comercializável e não comercializável depende, regra geral, da entidade financiadora.
Produto
- Bem ou serviço resultante da produção.
Instituição particular sem fim lucrativo (IPSFL)
- Entidade que produz bens ou serviços para outras unidades institucionais, em geral não comercializáveis, fornecendo muitas vezes os bens ou serviços gratuitamente ou os preços reduzidos.
Produto Acabado
- Produto com o processamento concluído.
Produto Semi-Acabado
- Produto que sofreu um processamento e necessita de novo processamento para posterior utilização (ex: moldes em bruto vendidos por uma unidade e acabamento noutra unidade).
Transformação
- Processo que modifica a natureza, composição ou forma das matérias-primas e dos produtos semi-acabados ou acabados, a fim de se obterem novos produtos.
Reciclagem
- Transformação de desperdícios e detritos em condições de poderem ser utilizados num processo produtivo.
Recuperação
- Actividade de triar resíduos, com ou em tratamento prévio, com objectivo da sua reciclagem, reemprego ou reutilização.
Valor Acrescentado Bruto (VAB)
- Diferença entre o valor bruto da produção (VBP) e o valor dos consumos intermédios (matérias primas e de outros consumos no processo produtivo).
ESTRUTURA |
| • LISTA DAS SECÇÕES E SUAS RELAÇÕES COM AS DIVISÕES |
| • LISTA DAS DIVISÕES E SUAS RELAÇÕES COM AS SECÇÕES |
| • LISTA DE TODOS OS NÍVEIS (SECÇÃO, DIVISÃO, GRUPO, CLASSE E SUBCLASSE) |
———
LISTA DAS SECÇÕES E SUAS RELAÇÕES COM AS DIVISÕES
| SECÇÃO | DESIGNAÇÃO | RELAÇÃO DA SECÇÃO COM A DIVISÃO |
| A | AGRICULTURA, PRODUÇÃO ANIMAL, CAÇA E SILVICULTURA | A = 01 + 02 |
| B | PESCA | B = 05 |
| C | INDÚSTRIAS EXTRACTIVAS | C = 10 + 11 + 12 + 13 + 14 |
| D | INDÚSTRIAS TRANSFORMADORAS | D = 15 + 16 + 17 + 18 + 19 + 20 + 21 + 22 + 23 + 24 + 25 + 26 + 27 + 28 + 29 + 30+ 31 + 32 + 33 + 34+ 35 + 36 + 37 |
| E | PRODUÇÃO E DISTRIBUIÇÃO DE ELECTRICIDADE, DE GÁS E DE ÁGUA | E = 40 + 41 |
| F | CONSTRUÇÃO | F = 45 |
| G | COMÉRCIO POR GROSSO E A RETALHO; REPARAÇÃO DE VEÍCULOS AUTOMÓVEIS, MOTOCICLOS E DE BENS DE USO PESSOAL E DOMÉSTICO | G = 50 + 51 + 52 |
| H | ALOJAMENTO, RESTAURANTES E SIMILARES | H = 55 |
| I | TRANSPORTES, ARMAZENAGEM E COMUNICAÇÕES | I = 60 + 61 + 62 + 63 + 64 |
| J | ACTIVIDADES FINANCEIRAS | J = 65 + 66 + 67 |
| K | ACTIVIDADES IMOBILIÁRIAS. ALUGUERES E SERVIÇOS PRESTADOS ÀS EMPRESAS | K = 70 + 71 + 72 + 73 + 74 |
| L | ADMINISTRAÇÃO PÚBLICA, DEFESA E SEGURANÇA SOCIAL OBRIGATÓRIA | L = 75 |
| M | EDUCAÇÃO | M = 80 |
| N | SAÚDE E ACÇÃO SOCIAL | N = 85 |
| O | OUTRAS ACTIVIDADES DE SERVIÇOS COLECTIVOS, SOCIAIS E PESSOAIS | O = 90 + 91 + 92 + 93 |
| P | FAMÍLIAS COM EMPREGADOS DOMÉSTICOS | P = 95 |
| Q | ORGANISMOS INTERNACIONAIS E OUTRAS INSTITUIÇÕES EXTRA-TERRITORIAIS | Q = 99 |
LISTA DAS DIVISÕES E SUAS RELAÇÕES COM A SECÇÃO
| DIVISÃO | DESIGNAÇÃO | SECÇÃO |
| 01 | AGRICULTURA, PRODUÇÃO ANIMAL, CAÇA E ACTIVIDADES DOS SERVIÇOS RELACIONADOS | A |
| 02 | SILVICULTURA, EXPLORAÇÃO FLORESTAL E ACTIVIDADES DOS SERVIÇOS RELACIONADOS | A |
| 05 | PESCA, AQUACULTURA E ACTIVIDADES DOS SERVIÇOS RELACIONADOS | B |
| 10 | EXTRACÇÃO DE HULHA, LINHITE E TURFA | C |
| 11 | EXTRACÇÃO DE PETRÓLEO BRUTO, GÁS NATURAL E ACTIVIDADES DOS SERVIÇOS RELACIONADOS, EXCEPTO A PROSPECÇÃO | C |
| 12 | EXTRACÇÃO DE MINÉRIOS DE URÂNIO E DE TÓRIO | C |
| 13 | EXTRACÇÃO E PREPARAÇÃO DE MINÉRIOS METÁLICOS | C |
| 14 | OUTRAS INDÚSTRIAS EXTRACTIVAS | C |
| 15 | INDÚSTRIAS ALIMENTARES E DAS BEBIDAS | D |
| 16 | INDÚSTRIA DO TABACO | D |
| 17 | FABRICAÇÃO DE TÊXTEIS | D |
| 18 | INDÚSTRIA DO VESTUÁRIO, PREPARAÇÃO, TINGIMENTO E FABRICAÇÃO DE ARTIGOS DE PELES COM PÊLO | D |
| 19 | CURTIMENTA E ACABAMENTO DE PELES SEM PÊLO; FABRICAÇÃO DE MALAS, DE CARTEIRAS, ARTIGOS DE CORREEIRO, SELEIRO E OUTROS ARTIGOS DE COURO; INDÚSTRIA DO CALÇADO | D |
| 20 | INDÚSTRIAS DA MADEIRA E DA CORTIÇA E SUAS OBRAS, EXCEPTO MOBILIÁRIO; FABRICAÇÃO DE OBRAS DE CESTARIA E DE ESPARTARIA | D |
| 21 | FABRICAÇÃO DE PASTA, DE PAPEL E CARTÃO E SEUS ARTIGOS | D |
| 22 | EDIÇÃO, IMPRESSÃO E REPRODUÇÃO DE SUPORTES DE INFORMAÇÃO GRAVADOS | D |
| 23 | FABRICAÇÃO DE COQUE, PRODUTOS PETROLÍFEROS REFINADOS E TRATAMENTO DE COMBUSTÍVEL NUCLEAR | D |
| 24 | FABRICAÇÃO DE PRODUTOS QUÍMICOS | D |
| 25 | FABRICAÇÃO DE ARTIGOS DE BORRACHA E DE MATÉRIAS PLÁSTICAS | D |
| 26 | FABRICAÇÃO DE OUTROS PRODUTOS MINERAIS NÃO METÁLICOS | D |
| 27 | INDÚSTRIAS METALÚRGICAS DE BASE | D |
| 28 | FABRICAÇÃO DE PRODUTOS METÁLICOS, EXCEPTO MÁQUINAS E EQUIPAMENTO | D |
| 29 | FABRICAÇÃO DE MÁQUINAS E DE EQUIPAMENTOS, N.E. | D |
| 30 | FABRICAÇÃO DE MÁQUINAS DE ESCRITÓRIO E DE EQUIPAMENTO PARA TRATAMENTO DA INFORMAÇÃO | D |
| 31 | FABRICAÇÃO, DE MÁQUINAS DE APARELHOS ELÉCTRICOS, N.E. | D |
| 32 | FABRICAÇÃO DE EQUIPAMENTO E APARELHOS DE RÁDIO, TELEVISÃO E DE COMUNICAÇÃO | D |
| 33 | FABRICAÇÃO DE APARELHOS E INSTRUMENTOS MÉDICOS-CIRÚRGICOS, ORTOPÉDICOS, DE PRECISÃO, DE ÓPTICA E DE RELOJOARIA | D |
| 34 | FABRICAÇÃO DE VEÍCULOS AUTOMÓVEIS, REBOQUES E SEMI-REBOQUES | D |
| 35 | FABRICAÇÃO DE OUTRO MATERIAL DE TRANSPORTE | D |
| 36 | INDÚSTRIA DE MOBILIÁRIO; OUTRAS INDÚSTRIAS TRANSFORMADORAS, N.E. | D |
| 37 | RECICLAGEM | D |
| 40 | PRODUÇÃO DE DISTRIBUIÇÃO DE ELECTRICIDADE; DE GÁS, DE VAPOR E ÁGUA QUENTE | E |
| 41 | CAPTAÇÃO, TRATAMENTO E DISTRIBUIÇÃO DE ÁGUA | E |
| 45 | CONSTRUÇÃO | F |
| 50 | COMÉRCIO, MANUTENÇÃO E REPARAÇÃO DE VEÍCULOS AUTOMÓVEIS E MOTOCICLOS; COMÉRCIO A RETALHO DE COMBUSTÍVEIS PARA VEÍCULOS | G |
| 51 | COMÉRCIO POR GROSSO E AGENTES DO COMÉRCIO, EXCEPTO DE VEÍCULOS AUTOMÓVEIS E DE MOTOCICLOS | G |
| 52 | COMÉRCIO A RETALHO (EXCEPTO DE VEÍCULOS AUTOMÓVEIS, MOTOCICLOS E COMBUSTÍVEIS PARA VEÍCULOS), REPARAÇÃO DE BENS PESSOAIS E DOMÉSTICOS | G |
| 55 | ALOJAMENTO, RESTAURANTES E SIMILARES | H |
| 60 | TRANSPORTES TERRESTRES; TRANSPORTES POR OLEODUTOS OU GASODUTOS (PIPELINES) | I |
| 61 | TRANSPORTES POR ÁGUA | I |
| 62 | TRANSPORTES AÉREOS | I |
| 63 | ACTIVIDADES ANEXAS E AUXILIARES DOS TRANSPORTES; AGENTES DE VIAGEM E DE TURISMO | I |
| 64 | CORREIOS E TELECOMUNICAÇÕES | I |
| 65 | INTERMEDIAÇÃO FINANCEIRA, EXCEPTO SEGUROS E FUNDOS DE PENSÕES | J |
| 66 | SEGUROS, FUNDOS DE PENSÕES E DE OUTRAS ACTIVIDADES COMPLEMENTARES DE SEGURANÇA SOCIAL | J |
| 67 | ACTIVIDADES AUXILIARES DE INTERMEDIAÇÃO FINANCEIRA | J |
| 70 | ACTIVIDADES IMOBILIÁRIAS | K |
| 71 | ALUGUER DE MÁQUINAS E DE EQUIPAMENTOS SEM PESSOAL E DE BENS PESSOAIS E DOMÉSTICOS | K |
| 72 | ACTIVIDADES INFORMÁTICAS E CONEXAS | K |
| 73 | INVESTIGAÇÃO E DESENVOLVIMENTO | K |
| 74 | OUTRAS ACTIVIDADES DE SERVIÇOS PRESTADOS PRINCIPALMENTE ÀS EMPRESAS | K |
| 75 | ADMINISTRAÇÃO PÚBLICA, DEFESA E SEGURANÇA SOCIAL OBRIGATÓRIA | L |
| 80 | EDUCAÇÃO | M |
| 85 | SAÚDE E ACÇÃO SOCIAL | N |
| 90 | SANEAMENTO, HIGIENE PÚBLICA E ACTIVIDADES SIMILARES | O |
| 91 | ACTIVIDADES ASSOCIATIVAS DIVERSAS, N.E. | O |
| 92 | ACTIVIDADES RECREATIVAS, CULTURAIS E DESPORTIVAS | O |
| 93 | OUTRAS ACTIVIDADES DE SERVIÇOS | O |
| 95 | FAMÍLIAS COM EMPREGADOS DOMÉSTICOS | P |
| 99 | ORGANISMOS INTERNACIONAIS E OUTRAS INSTITUIÇÕES EXTRA-TERRITORIAIS | Q |
LISTA DE TODOS OS NÍVEIS (SECÇÃO, DIVISÃO, GRUPO, CLASSE E SUBCLASSE)
* Consulte também: Lei n.º 27/2024: A expressão «Autoridade Monetária e Cambial de Macau» é alterada para «Autoridade Monetária de Macau»
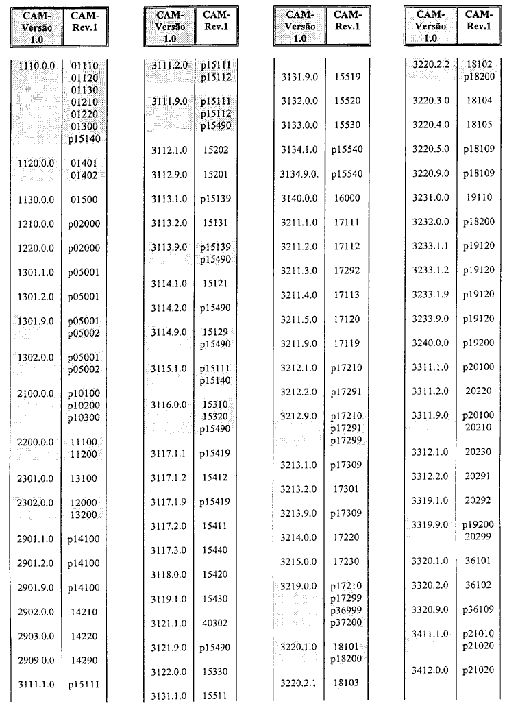
TABELA DE CORRESPONDÊNCIA A NÍVEL ELEMENTAR
CAM-Rev. 1 => CAM-Versão 1.0
TABELA DE CORRESPONDÊNCIA A NÍVEL ELEMENTAR
CAM-Versão 1.0→CAM-Rev. 1


































