| 經適應化處理 : | |||
| 部份被廢止 : | |||
| 廢止 : | |||
| 相關法規 : | |||
| 相關類別 : | |||
| 《LegisMac》的法例註釋 | |||
第55/97/M號法令
十二月九日
本法規的詞句已被第27/2024號法律適應化處理。
第一條
(標的)
核准附於本法規並成為其組成部分之澳門行業分類第一修訂版(葡文縮寫為CAM-Rev.l)。
第二條
(澳門行業分類第一修訂版之適用範圍)
澳門行業分類第一修訂版係行政當局使用之澳門特別行政區行業分類之共有框架,尤其在對企業及商業場所作分類,收集並處理作統計及其他用途之資料,制定研究報告及出版官方文本時使用。
第三條
(適用之大綱)
一、為採用澳門行業分類第一修訂版,需有一適用之大綱,該適用之大綱須由行政長官根據統計暨普查局之建議,以批示核准並將之公布於《澳門特別行政區公報》。
二、上款所指適用之大綱,係根據採用澳門行業分類第一修訂版之公共機關所指定之執行方式制定。
第四條
(權限)
統計暨普查局在澳門行業分類第一修訂版之採用方面尤其有權限:
a)制定及推行適用之大綱,並跟進其執行;
b)解決在解釋及適用上所出現之問題;
c)推行為正確使用該分類所需之活動;
d)提供澳門行業分類第一修訂版與其他經濟及類似性質分類之對照表,尤其是該分類第一修訂版與國際組織發出之分類之對照表。
第五條
(提及)
自一九九八年十二月三十一日起,在法律規定上所提及之經五月二十三日第87/88/M號訓令核准且未更新之澳門行業分類之編碼所處之位置,均按附於本法規之對照表視作提及相應於澳門行業分類第一修訂版之編碼所處之位置。
第六條*
* 不生效 - 請查閱:第27/2024號法律
第七條
(開始生效)
本法規自一九九八年一月一日開始生效。
附件
行業分類
第一修訂版
目錄
- ◆ 一般說明
- 1. 目的
- 2. 澳門行業分類第一修訂版與澳門行業分類第一版
- 3. 澳門行業分類第一修訂版與國際標準行業分類第三修訂版的對照
- 4. 編碼制度
- 5. 澳門行業分類第一修訂版使用範圍的限制及理解規則
- 6. 主要、次要及輔助行業
- 7. 統計單位
- 8. 統計單位分類
- 9. 統計單位行業的變更
- 10. 大類的主要情況(大類)
- 11. 特殊定義及概念
- ◆ 結構
- .大類與分類之關係表
- .分類與大類之關係表
- .所有級別(大類、分類、組別、級別及細分級)表
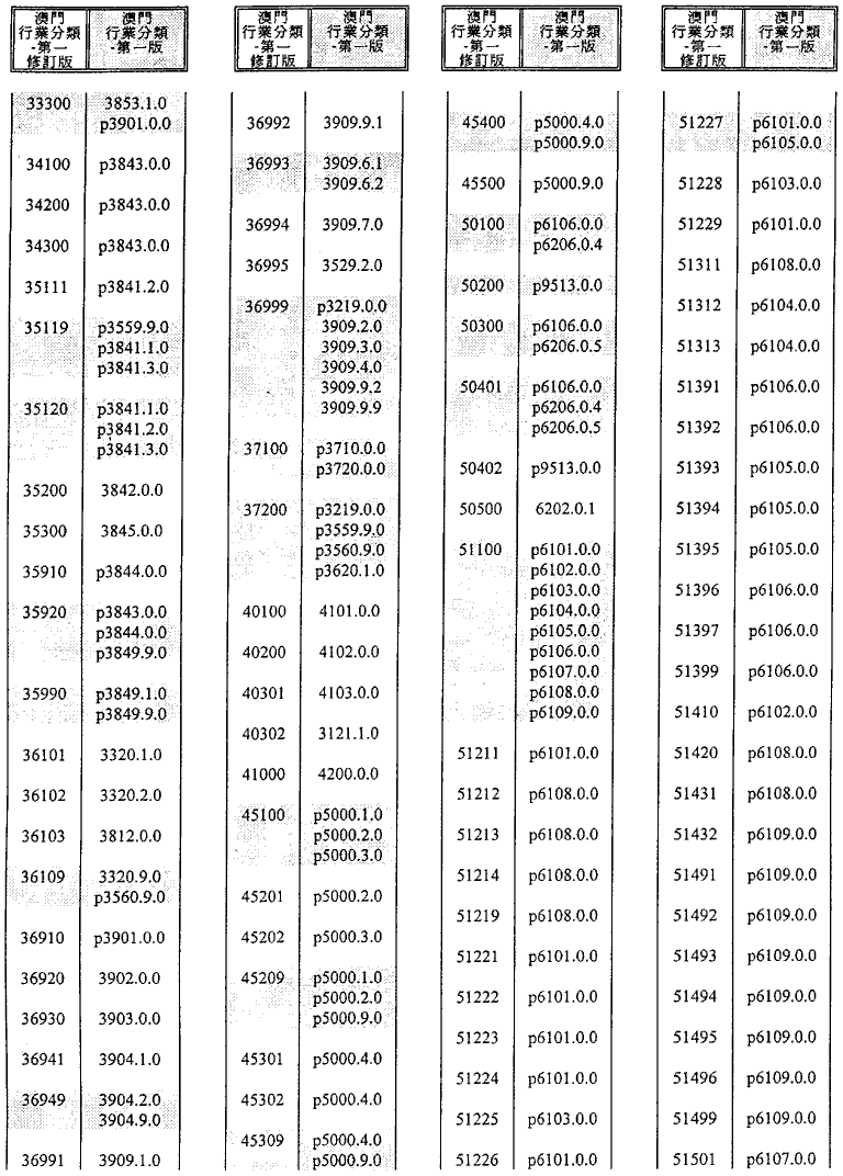
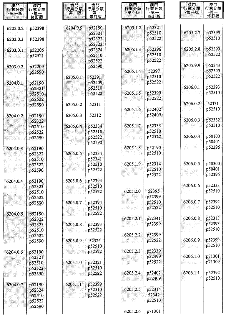
- ◆按細分級別之對照表澳門行業分類——第一修訂版→澳門行業分類——第一版
- ◆按細分級別之對照表澳門行業分類——第一版→澳門行業分類——第一修訂版
澳門行業分類第一修訂版具有以下主要目的:
.按照經濟行業將生產物品及服務的統計單位分類及整合;
.在各個範疇(生產、就業、能源、投資等)按經濟行業將社會經濟的統計資料,有系統及適時地進行組合;
.使地區及國際性統計資料具備可比性;
雖然澳門行業分類第一修訂版的目的亦適用於非統計用途,但它們主要是為統計用途而訂立的。故此,其編制的基本原則、可適用的統計單位類別、分類的規則及決定主要行業等各種情況,是配合國際標準行業分類第三修訂版而成的。
澳門行業分類第一修訂版與澳門行業分類第一版的編造結構與概念有明顯的差異,特別是在商業貿易及服務方面,亦難以在此作綜合性的介紹。
為延續歷年統計資料,澳門行業分類第一修訂版已在可能的情況下,儘量嘗試在結構及概念上與澳門行業分類第一版作出協調。但根據新國際性建議國際標準行業分類第三修訂版為基礎而編成的澳門行業分類第一修訂版仍有一些重大的變更,使在很多情況下未能達到上述的目的。
上述兩個版本的主要分別,特別是未能相對照的部份隨後逐一列出:
.澳門行業分類第一修訂版採用字母及數字編碼(大類按字母排列,而其他分類則按數字進行),而澳門行業分類第一版則只使用數字編碼。
.澳門行業分類第一修訂版由五個層級組成(大類用一個字母表示,分類用兩個數字,組別用三個數字,級別用四個數字,細分級用五個數字來表示),而澳門行業分類第一版則由六個數字來組成(大類用一個數字,分類用兩個數字,級別用三個數字,組別用四個數字,分組用五個數字,再分組用六個數字來表示);
.澳門行業分類第一修訂版的第一層級總項數目是十七個,而第一版則是十個,因而使新的分類表具更有利條件在經濟大類層次方面較劃一地將資料整合;
.澳門行業分類第一修訂版的最後一層總項數目是四百四十七個,而第一版則是四百一十五個,因而使新分類表在最後層次上將經濟行業更劃一地將資料整合;
基於要處理的資料數量及技術細節,兩份分類表各級的主要差異將在由統計暨普查局出版,稱為《對照表》的獨立刊物中說明。
3. 澳門行業分類第一修訂版與國際標準行業分類第三修訂版的對照
澳門行業分類第一修訂版與國際標準行業分類第三修訂版除最後的級別外,之前各層級的概念是一致的,並遵守了所有的編類原則,即澳門行業分類第一修訂版與國際標準行業分類第三修訂版在共有的層級內之編碼可直接對照。
選擇上述概念模式主要是考慮到澳門行業分類第一修訂版主要使用者所持的理由,尤其是使人更易理解及確保統計資料的國際可比性。
澳門行業分類第一修訂版比國際標準行業分類第三修訂版編碼增加了“細分級”,因而使其結構更為詳細。同時,其各項之組合可歸納於國際標準行業分類第三修訂版的共有層級之內。
澳門行業分類第一修訂版的最後一層級(細分級)並不存在於國際標準行業分類第三修訂版之內。其作用是用以反映澳門特別行政區現時、短期及中期性的經濟行業結構情況。
下表對澳門行業分類第一修訂版與國際標準行業分類第三修訂版內每一層級的行業數目作比較,可簡單認識兩份分類各層級的直接比較情況。
|
層級 |
大類 | 分類 | 組別 | 級別 | 細分級 |
|
分類表 |
|||||
| 澳門行業分類 第一修訂版 |
17 | 60 | 159 | 292 | 447 |
| 國際標準行業分 類第三修訂版 |
17 | 60 | 159 | 292 | —— |
澳門行業分類第一修訂版所採用的編碼制度與國際標準行業分類第三修訂版的相同(至級別為止),可分兩部份,第一部份為字母(大類),第二部份是數字編碼,共有四個層級,分別是分類、組別、級別和細分級。
大類是按字母編碼,由A至Q。
數字編碼由分類開始(兩位數字),繼為組別(三位數字)、級別(四位數字)及細分級(五位數字),各層級間的關係與數字的編碼關係可由以下細分級15412(中式糕餅及甜點)的例子看出:
|
|||||||||
| .................. | .................. | .................. | ............... | 分類(兩位數字) | |||||
| .................. | .................. | ............... | 組別(三位數字) | ||||||
| .................. | ............... | 級別(四位數字) | |||||||
| ............... | 細分級(五位數字) | ||||||||
分類的層級由編碼01開始至編碼99,分類的編碼並非順序進行,同時亦有部份編碼暫時留空,以供日後新增分類時用。
組別之編碼是由分類編碼開始,使用十進制進行(由1至9),若分類編碼右邊數字為0時,即表示無再細分的組別。因而,分類及組別的項目名稱相同。上述原則(右邊數字為0的解釋)是適用於所有層級的。
級別是由組別的編碼開始,而細分級則由級別編碼開始,所採用的編碼系統均與組別的編碼標準相同。
數字9,尤其是在級別與細分級層級方面,主要用作認別其他未指明的經濟行業,使十進制數字可能不是全部順序出現。
澳門行業分類第一修訂版中的各經濟行業分類,一方面配合國際標準行業分類第三修訂版的世界性規定,同時也顧及澳門特別行政區對經濟行業分類表的特殊需要。
行業組合的分類原則是與國際標準行業分類第三版相同,其中以涉及的技術方法、原料性質、製成品及所提供的服務為主要考慮因素。上述因素成為組合各行業的主要基礎。
已訂出的金字塔式分類編碼具有一致性,可準確地使用於各統計方法(調查及分析)上。
澳門行業分類表第一修訂版或其他任何經濟行業分類的實際應用顯示出,因每一統計單位所面對的行業有所不同,經濟分類的一致性在實際上只能達到部份目的。事實上,雖然分類表每一層級一般已包括供應大部份某類物品或服務的統計單位,但其他被編於另一層級的統計單位,會因已訂原則提供同類的物品或服務。
將類似及具代表性範圍整合是訂定有關結構的主要依據,但有關統計單位在進行其經濟活動時,偶然地是各種情況的混合,因而在很多情況下,需要使用間接的方式找出其是否相似,專門性比率及覆蓋比率是推定不同經濟級別的類似性的兩個最重要方法。
某行業的專門性比率是指該行業專門物品及服務之產出與該行業的總產出值之比較。而覆蓋比率是指某行業的專門物品及服務之產出與由所有行業生產之相同物品及服務的總產出值之比較。
不論是按照澳門行業分類第一修訂版的某一層級的所有單位的總產值,或按每一統計單位的產值,都可計算有關的類似程度比率。但後者的計算方法將較為複雜。
類似程度比率的高低水平可為經濟分析及行業分類之訂定工作提供有用的資料,但仍需配合其他資料加以考慮,而非絕對的準則。
行業名稱及相關附註是解釋澳門行業分類第一修訂版內各經濟行業所概括的重要事項,但為有效地使用澳門行業分類第一修訂版還需要詳細了解每一層級的結構,因在大類及分類的註釋並不會在級別及細分級內重覆描述。
註釋是準確地界定每行業的範圍,一般分為兩部份:
- ——第一部份是每行業所包括的內容,一般用“包括行業有…”
- ——第二部份載有要剔除的行業,一般用“不包括…”,將上述相關的其他行業及物品組合於其他更合適的層級內。
以下例子(細分級15201)可清晰地顯示上述情況:
15201乳類及其衍生產品工業
- 包括行業有:牛奶加工…新鮮及防腐牛奶衍生產品的生產
- 不包括:未經處理牛奶的生產(01210)
不論是國際性或地區性,只在特殊需要的情況下,方提供註釋加以說明,同時儘量配合澳門特別行政區實際環境使用。
經濟活動是由各種生產因素結合而成(勞動力、原材料、設備等),從而產出物品或服務,不論任何生產因素,所有活動一般是由物品的投入(物品或服務),經加工(增加附加值)後生產出物品或服務。
一般物品或服務的生產單位通常進行多於一項的活動,因而需要在多種情況下,按照主要行業的標準對有關統計單位進行分類。
主要行業是有關統計調查單位所進行的所有經濟活動中最重要的一種。
因此,主要經濟活動的釐定首先要列出該單位所進行的不同基本活動,同時亦需訂出衡量該行業的經濟指標,售出物品或服務之增添值是訂出主要行業的最佳變數,但在實際使用時有一定困難,故國際標準行業分類第三修訂版建議亦可採用生產值或工作人數來釐定主要行業。在使用澳門行業分類第一修訂版時,為確保其可比較性(與過去相比),應沿用一向所使用的準則(例如:銷售額、營業額等)。
次要行業是有關單位所生產供給第三者的物品及服務之中非主要行業的活動。
主要及次要行業一般是需要輔助活動的協助(例如:會計、行政服務、維修等),輔助行業是提供非耐用品及服務以協助有關單位進行生產活動,並須符合以下條件:
a)提供服務或偶然地生產非耐用品;
b)就其性質及比重,存在於類似生產活動的單位中;
c)只供應有關生產單位使用;
d)屬單位的一般支出,亦即並不產出固定資產增添值。
企業作自用之某些活動不能歸入輔助活動之內(例如:自資興建之建築物,因並未符合上述條件的d項;另外,生產能源及研究活動亦是,因未能符合b及d項)。
輔助活動基本上並不能用作釐定主要行業之用。
統計單位是計劃要調查及分析的整體中的一個單位。因此統計單位成為組織調查的基本元素,因而在此一層級內對可適用觀察方法的單位進行分類、重組及編排。
統計單位主要是作為調查及分析之單位。統計調查單位是作調查及紀錄有關情況的單位,而分析單位可與調查單位為同一單位,或由來自調查單位,它就是適合對某一情況進行分析之單位。
所有統計單位均會對調查及分析結果有影響,因此,應明確界定其定義和可容易認別,以便確保資料更具質量。
本分類常用的生產系統內的統計單位有以下幾種:
企業:
企業(相等於具有法人身份或一群具法人身份單位的組合)是一個在一個或多個地點,進行一項或多項活動,對在調配資源用於生產活動擁有組織及決策自主權力的單位。
具有組織及決策自主能力的不同法人實體,在同一地點展開其擁有及控制的經濟活動時,即使在單一的地址內、每一實體皆構成一個企業。
實體單位:
一個具有經濟決策權的中心單位,其特徵在於執行其主要活動時具有統一的行為表現,並具有決策自主權。實體單位是指:在執行其主要功能時可享有決策自主權(即表示需負責其決策及行動結果),同時具有完整會計制度(即可同時提供有關年度所進行活動的經濟及財政數據資料,並具有資產負債表)者。實體單位是進行計算國民經濟核算體系內的重要基礎部份。國際上,實體單位可按以下組別劃分:
.具完整會計制度及決策自主權的單位
a)股份公司;
b)具法人地位的合作社及集體公司;
c)具有等同法人地位的公營機構;
d)具有法人地位的非牟利組織;
e)公共行政組織;
.具有完整會計制度及公認具獨立決策權的單位
f)準公司:個人企業、合夥公司及公共企業(a,b及c項所指除外),其經濟及財政行為與其擁有者的行為不同,出現類似股份公司運作結果;
.可不具有會計制度,但被公認為有決策自主權的單位
g)家庭;
企業集團:
企業集團為一組企業具有法律、財務或其他關係,由目標相同者所擁有、控制或領導。
功能單位:
在企業內,一個功能或經濟活動單位相等於按澳門行業分類第一修訂版內進行單一經濟活動的一間企業或其部份,而不論其在何處展開該項活動。這樣,每一企業均最少包括一個功能單位。
本地單位(舊澳門行業分類稱之為場所):
亦即是企業或其部份(工廠、工場、礦坑、貨倉、商店、中轉站等)處於一個可認別的地點。在此地點進行多項經濟活動,一般是一或多人(包括兼職)為同一企業工作,該單位對取得地區性的一致統計資料較重視。
場所(舊澳門行業分類稱之為技術單位):
地區性場所或經濟活動單位為一企業或其部份,在單一地點上從事單一類別的經濟活動。此單位可提供經濟活動及地區性的統計資料。基於有關單位具有提供上述同類型資料的能力,而成為常用的調查單位,亦是經濟統計方面最理想的單位。
同類型生產單位:
此單位為企業的最細分部份,它在單一地點從事單一類別的經濟活動。這單位是特別用作技術性分析同類型生產程序,只視乎其編製資料能力。以同類活動而言,對此單位所作的估計及推算是較對場所的估計深入。
技術單位:
為最相似的單位,可為企業內的一個組或部門,其活動目的是生產同類的物品及服務或作為生產這些物品及服務的中間或輔助活動。這個單位是在前述各單位並不很類同時才採用。
下表顯示經濟活動與上述統計單位地點之間的關係。
|
地點 |
一或多個地點 | 單一地點 |
|
活動 |
||
| 一或多項活動 | .企業 .實體單位 |
.本地單位 |
| 單一活動 | .功能單位 | .場所 .同類型生產單位 .技術單位 |
澳門行業分類第一修訂版是按照不同的經濟活動(亦即為生產物品及服務而組織的活動)對統計單位,尤其是前點所述的單位進行分類。
一個統計單位的活動是由超過其百分之五十的增添值(或調節後變量)之澳門行業分類第一修訂版中之細分級所決定的。當有關的細分級並未達到上述要求時,應按其主要活動分類,按照垂直層級方法,即有關分類至最細分級別應與其所屬大類相配合, 對其進行分類。對於一個有多行業活動的被調查單位進行主要行業認別,在採用上述方法所得出結果可由以下例子說明。
例子:(同一企業有多種活動,包括D大類——製造業,H大類——住宿、餐廳酒樓及同類場所及I大類——運輸、儲藏及通訊)。
| 大類 | 分類 | 組別 | 級別 | 細分級 | 增添值佔比例 |
| D | 154 | 1541 | 15411 | 9 | |
| 15 | ................. | ................. | ................. | ................. | |
| 15511 | 7 | ||||
| 155 | 1551 | ||||
| 15519 | 6 | ||||
| ................. | ................. | ................. | ................. | ................. | |
| 16 | 160 | 1600 | 16000 | 12 | |
| ................. | ................. | ................. | ................. | ................. | |
| 24231 | 12 | ||||
| 24 | 242 | 2423 | |||
| 24239 | 13 | ||||
| H | 551 | 5510 | 55101 | 12 | |
| 55 | ................. | ................. | ................. | ................. | |
| 552 | 5520 | 55201 | 13 | ||
| I | 63 | 630 | 6304 | 63040 | 16 |
a)當按澳門行業第一修訂版對各細分級的認別及有關增添值比重, 或當未能按照增添值比重, 或當未能按照增添值計算而採用其他調節後變數,首先按每一大類所佔比重劃分。
| D | ........................... | 59%增添值 |
| H | ........................... | 25%增添值 |
| I | ........................... | 16%增添值 |
b)抽出D大類後,按最重要的分類進行挑選。
| 15 | ........................... | 22%增添值 |
| 16 | ........................... | 12%增添值 |
| 24 | ........................... | 25%增添值 |
c)抽出24分類,再選取最重要的組別,因12%及13%之數值同屬242組別及2423級別,故無需選出其組別及級別。
| 242 | ............. | 12%增添值 | 2423 | ............. | 12%增添值 | |
| 242 | ............. | 13%增添值 | 2423 | ............. | 13%增添值 |
d)在同一級別內,需選出佔增添值最大比重的細分級。
| 24231 | ........................... | 12%增添值 |
| 24239 | ........................... | 13%增添值 |
在此情況下,雖然細分級63040佔更大的增添值,但按照分層(由上至下)方法所選出的主要行業是24239(佔增添值的13%),儘管如此,倘若是按佔增添值比例最高的細分級來作分類(63040),則所得之分類將處於D大類以外(佔增添值的59%)。
除上述的基本規則外,在對統計單位進行一致性的經濟活動分類時,亦需注意其他重要事項。
當在流水式作業活動時,即在同一單位內各不同部門進行各個階段的生產程序活動,同時某一部門生產的物品,是供其他部門消耗使用的(例如生產纖維及紡織物料),該單位應按該產品或服務中所佔最大增添值者進行分類。一般而言,最終活動為主要活動,其他則為次要生產活動。
當主要活動包括多個不同的層級時(澳門行業分類第一修訂版的各不同大類),在很多情況下,註釋已對統計單位的分類作出特別的規則說明。
除特別指明外,進行分包工序(為第三者進行之活動)的單位按照生產同類型物品及服務的自資經營單位所處的細分級進行分類。那些對其售賣的產品之構思有重要影響力,而又將其產品交由第三者生產之單位,按生產者所屬的細分級分類。
對於主要進行大廈安裝工程(例如冷氣設備、煤氣、電力裝置 、升降機、窗等)的單位應被分類於建築範圍內。在某地點安裝某設備(例如家用電器、警報系統),倘是由售出的商業或工業場所以包安裝形式協助顧客處理時,則一般會屬於輔助性質分類。
進行設備維修及保養的單位是被分類於該設備生產的細分級範圍內,但以下單位除外:機動車(組別502);摩托車(組別504),電腦及辦公室設備(組別725);個人及家庭物品修理(組別526)。
對於零售業場所的分類應按照以下規則劃分為專業、非專業及主要為食品類:
a)如出售貨物的增添值(或相等的項目)在澳門行業分類第一修訂版內某一細分級內佔百分之五十或以上時,該單位被定為專業類(組別522,523);
b) 如出售貨物的類別被分類於澳門行業分類第一修訂版內多個細分級範圍,同時各個部份所佔增添值比重在百分之五十以下(或相等的項目)時,有關單位被定為非專業類(組別521);
c) 所有被分別為非專業零售(組別521) 內的所有單位,其所售賣的糧食、飲品及菸草的增添值(或相等的項目)所佔比重在百分之三十五或以上時,該單位應分類於組別5211內,而當中尚有細分級劃分,其他非專業零售場所將被分類於細分級52190內。
一個統計單位的主要行業可在其一長或短期內,基於不同理由而急速或漸進地有所變更。
經濟行業分類的更新是作為改善行業資料質量的重要因素,但需避免主要經濟行業被經常更改。一個單位的經濟行業分類的更改對統計而言十分重要,但需在某一特定時間內進行(例如在進行調查前或初期),同時亦需確保在調查期年份內不同期間所進行的調查結果的可比較性。
在國際方面,並沒有對統計單位行業分類的更改製定明確的規則,但應按以下指示進行:
- .行業分類的更改應仔細地進行分析及決定;
- .當缺乏確定性資料或屬經常性變更主要行業的單位的情況下,更改行業應在已確定該單位進行新的行業最少兩運作年後進行。
本節概括了每一大類的最重要事項,以便對澳門行業分類第一修訂版有更清楚了解及認識。某些細分級內已載有詳細及豐富的註釋,雖然仍未能代替以下的附註,但也是相當重要的補充。
A大類——農業…
- .農業包括農業及畜牧業,不論在該大類行業內所進行的專門性的物品及服務產出;
- .綜合性生產的農業單位是按照其主要行業作出分類,而合併的農及畜牧業單位分類應先訂出其專業性比率後才進行分類。農業合作社則應按其主要行業分類。
B大類——捕魚業
- .本大類除捕魚業外,亦包括收集海藻及其他海產、海產養殖及其有關工作;
- .提供服務單位將按照其生產物品的細分級進行分類。
C大類——採礦工業
- .採礦工業除包括固體、液體及氣體等天然產品開採外,亦包括在開採地點進行之加工及提煉,例如鹽的提煉,在開採時一併或分開進行的煤及礦物的壓製。
D大類——製造業
- .製造業生產物品及服務。重要的工業服務及為第三者提供的服務均在分類內有獨立處理。重大的修理及保養(設備的修理及保養)一般而言作為該物品的生產處理。小型的維修及保養一般作消耗物品,均不被包括在製造業的範圍內。
E大類——電力、氣體及水的生產及分配
- .此大類(電力、氣體及水的生產及分配)在能源部份佔非常重要地位,而其他則被分類於C大類(煤、原油、鈾及天然氣)及D大類(焦炭、經提煉的石油產品及核原料的生產);
- .除電力、氣體及水的生產及分配外,亦包括一些特殊服務(例如水質處理)及冰塊、蒸氣及熱水的生產。
F大類——建築
- .建築行業包括屬於樓宇建設及公共工程範圍的建造及拆卸,其中有關工程是多種不同活動的結果;
- .但並非建造該等工程的所有活動均被包括在本大類內(例如:建材的製造、工業設備的安裝等被分類於D大類內)。而適用於大廈的設備或安裝 (例如電力裝置)則屬本大類範圍。
G大類——批發及零售…
- .本大類包括所有方式進行的商業活動以及機動車、摩托車和個人或家庭物品的維修;
- .批發業的經營單位有特殊的細分級( 51100 )作為分類,而零售業經營單位則被分類為其正常經營業務的相關分類中;
- .在零售業方面,525組別包括所有並非在場所內進行的經營活動(郵購、街檔、市集或自動販賣等),而組別521,522,523及524則用以分類在場所內進行的經營活動。
H大類——住宿…
- .本大類所指的住宿屬短期性,包括酒店及其他短期性住宿地點;
- .餐廳及同類場所包括餐廳及酒樓、食肆、飲品店及同類場所,一般而言,有關的飲品及食品會在同一場所內售出及耗用,亦包括飯堂及送外賣服務。
I大類——運輸…
- .運輸包括向集體或個人(例如:的士) 提供服務,亦包括連司機交通工具的租賃;
- .本大類除包括運輸方面外,多項與運輸有關行業(貯藏、貨運處理、運輸基本設施的管理、旅行社、組織運輸等)及郵遞電訊(資料傳遞但不包括整理)。
J大類——金融業務…
- .金融業務包括貨幣中介業務單位(以廣泛定義所指的銀行業 )、金融中介業務單位(由非貨幣單位進行的金融業務)、 保險、退休基金及金融中介、保險及退休基金之輔助服務。
K大類——不動產業務…
- .本大類包括服務性方面的眾多不同的行業;不動產行業(例如買賣、租賃、管理及中介服務);不動產租賃;資訊及相關活動(包括保養及維修資訊設備);研究及發展;主要向企業提供的多項服務(例如法律、工程、建築設計、宣傳等)。
L大類——公共行政
- .公共行政概念包括一組參與法規訂定及協助管理,但因其本身的特性,不能按市場機制運作之活動;
- .法律地位並非本大類對行政上單位分類時所考慮的主要因素。有某些活動(例如教育、衛生)雖然行政當局亦會參與或進行不同程序的活動,但該等活動並不包括於本大類中。
M大類——教育
- .本大類除包括所有不同程度及形式的教育外,亦包括駕駛學校、職業培訓及藝術修習。
N大類——醫療衛生及社會福利
- .本大類包括提供住院或不住院、牟利或非牟利形式的人類醫療衛生服務(醫院、私家醫務所、帶醫療性質的服務等),及獸醫服務。
- .在社會福利方面,則包括社會設施服務,不論公共或私人、提供或不提供住宿服務者。
O大類——團體、社會及個人的其他服務
- .本大類包括屬於團體社群或個人方面的眾多服務活動,尤其清潔、公共衛生、團體、文化、文娛、體育、藝術及個人服務。
P大類——僱用傭人的家庭
- .包括為家庭成員提供服務的家庭傭人的活動。
Q大類——國際組織及其他領土以外的機構
- .本大類包括國際組織、大使館、領事館及其他領土之外的機構(在澳門特別行政區均享有外交豁免權者)所進行的活動。
本部份載有澳門行業分類第一修訂版中一些概念及常用語的定義,以便供使用者對某些項目有更明確的了解。
有關定義可能與其他文章內所載的同一概念或名詞所訂定的定義不同。
財務性租賃
——提供信貸的一種特殊形式
工業生產程序
——為製造新貨品 (消費品、半製成品或投資貨物)而採用的加工程序(包括實物加工、化學處理或人手處理等),以便作為提供C,D,E,F大類內所指的工業服務使用。
生產
——有關活動的目的是作為產出物品或服務,同時需有多個生產元素參與,生產的概念可用其他的名稱來表示(例如製造、處理等)。
商業性與非商業性生產
——商業性生產的產品的銷售是按照市場規則進行,而非商業性生產的產品則可免費或以低價進行供應。商業性或非商業性生產一般而言由供應者決定。
產品
——生產出來的物品或服務
非牟利私人團體
——為提供予其他單位使用,一般而言屬非商業性生產,通常提供免費或低價物品或服務之單位。
製成品
——已完成所有生產處理程序之物品。
半製成品
——曾經過處理,但需再經處理才可使用之物品(例如批發予某一單位並需再加工之非最終產品)。
加工
——用作改變原料、半製成品或製成品之性質、結構或形狀的過程,以便取得新的產品。
循環再造
——將廢料加工以便使用於另一生產程序的過程。
回收
——收集廢料,經或未經預先處理,以供循環再造或再使用。
增添值
——生產總值與中間消耗值(原料及其他生產過程中的消耗)之差。
|
結構 |
|
| .大類與分類之關係表 | |
| .分類與大類之關係表 | |
|
.所有級別(大類、分類、組別及細分級)表 |
|
———
大類與分類之關係表
| 大類 | 名稱 | 大類與分類的關係 |
| A | 農業,畜牧業,狩獵及林業 | A = 01 + 02 |
| B | 捕魚業 | B = 05 |
| C | 採礦工業 | C = 10 + 11 + 12 + 13 + 14 |
| D | 製造業 | D = 15 + 16 + 17 + 18 + 19 + 20 + 21 + 22 + 23 + 24 + 25 + 26 + 27 + 28 + 29 + 30 + 31 + 32 + 33 + 34 + 35 + 36 + 37 |
| E | 電力、氣體及水的生產及分配 | E = 40 + 41 |
| F | 建築 | F = 45 |
| G | 批發及零售業;機動車、摩托車、個人及家庭物品的維修 | G = 50 + 51 + 52 |
| H | 住宿、餐廳、酒樓及同類場所 | H = 55 |
| I | 運輸、貯藏及通訊 | I = 60 + 61 + 62 + 63 + 64 |
| J | 金融業務 | J = 65 + 66 + 67 |
| K | 不動產業務、租賃及向企業提供的服務 | K = 70 + 71 + 72 + 73 + 74 |
| L | 公共行政,防衛及強制性社會保障 | L = 75 |
| M | 教育 | M = 80 |
| N | 醫療衛生及社會福利 | N = 85 |
| O | 團體、社會及個人的其他服務 | O = 90 + 91 + 92 + 93 |
| P | 僱用傭人的家庭 | P = 95 |
| Q | 國際組織及其他領土以外的機構 | Q = 99 |
分類與大類之關係表
| 分類 | 名稱 | 大類 |
| 01 | 農業,畜牧業,狩獵及其有關的工作 | A |
| 02 | 林業、樹林開發及其有關的工作 | A |
| 05 | 捕魚業,海產養殖業及其有關的工作 | B |
| 10 | 煤、褐煤及泥煤的開採 | C |
| 11 | 原油和天然氣的開採及其相關之工作,但不包括勘察 | C |
| 12 | 鈾及釷礦的開採 | C |
| 13 | 金屬礦的開採及加工 | C |
| 14 | 其他工業開採 | C |
| 15 | 食品及飲品工業 | D |
| 16 | 菸草業 | D |
| 17 | 紡織工業 | D |
| 18 | 製衣業;毛皮製品的處理、染色及製造 | D |
| 19 | 皮革的鞣製及完成工序,袋、錢包和同類物品、皮具、鞍具及鞋的製造 | D |
| 20 | 除傢具外之木料、軟木及其製品的工業,編籃結品及草編結品的製造 | D |
| 21 | 紙漿、紙和紙板及其製品的製造 | D |
| 22 | 出版、印刷及錄有資訊的媒體的複製 | D |
| 23 | 煤、石油提煉產品及核能燃料的製造 | D |
| 24 | 化學產品的製造 | D |
| 25 | 橡膠及塑膠物品的製造 | D |
| 26 | 其他非金屬礦物產品的製造 | D |
| 27 | 基礎冶金工業 | D |
| 28 | 除機器及設備外之金屬產品的製造 | D |
| 29 | 其他未列明的機械及設備的製造 | D |
| 30 | 辦公室、會計及計算機用機器的製造 | D |
| 31 | 其他未列明的電力機器及儀器的製造 | D |
| 32 | 無線電、電視和通訊器材及設備的製造 | D |
| 33 | 醫療、精確、光學及鐘錶器材和工具的製造 | D |
| 34 | 機動車輛、全拖車及半拖車的製造 | D |
| 35 | 其他運輸器材的製造 | D |
| 36 | 傢具的製造及其他未列明的製造工業 | D |
| 37 | 循環再造 | D |
| 40 | 電力、氣體、蒸氣和熱水的生產及分配 | E |
| 41 | 水的利用、處理及分配 | E |
| 45 | 建築 | F |
| 50 | 機動車及摩托車貿易、保養及維修;車輛用燃料的零售 | G |
| 51 | 機動車及摩托車貿易以外的批發貿易代理 | G |
| 52 | 零售(機動車、摩托車及車輛用燃料除外);個人及家居用品修理 | G |
| 55 | 住宿、餐廳、酒樓及同類場所 | H |
| 60 | 陸路運輸、油管或天然氣管運輸(Pipelines) | I |
| 61 | 水路運輸 | I |
| 62 | 航空運輸 | I |
| 63 | 與運輸相關及輔助的服務、旅行及旅遊社 | I |
| 64 | 郵政及通訊 | I |
| 65 | 金融中介業務、但不包括保險及退休基金 | J |
| 66 | 保險及退休基金、但不包括強制性社會保障基金 | J |
| 67 | 金融中介服務的輔助性業務 | J |
| 70 | 不動產業務 | K |
| 71 | 不包括操作員的機器和設備及個人和家庭用品的租賃 | K |
| 72 | 資訊及其相關的業務 | K |
| 73 | 研究及拓展 | K |
| 74 | 主要向企業提供的其他服務 | K |
| 75 | 公共行政、防衛及強制性社會保障 | L |
| 80 | 教育 | M |
| 85 | 醫療衛生及社會福利 | N |
| 90 | 衛生、清潔及同類工作 | O |
| 91 | 未列明的各項社團活動 | O |
| 92 | 康樂、文化及體育活動 | O |
| 93 | 其他服務 | O |
| 95 | 僱用傭人的家庭 | P |
| 99 | 國際組織及其他領土以外的機構 | Q |
所有級別(大類、分類、組別、級別及細分級)表
* 請查閱:第27/2024號法律:“澳門貨幣暨匯兌監理署”改為“澳門金融管理局”


































